Abstract
The Project Management Contracting (PMC) project espouses a non-confrontational cooperation model. This paper employs a dynamic Bayesian network approach, grounded in social exchange theory, to construct a dynamic model of the evolution of trust levels between owners and PMC contractors. The findings of the study suggest that the trust level between the owner and the PMC contractor is primarily influenced by the extent of calculative and relational trust. Furthermore, the reciprocal behaviours and contractual flexibility emerge as the key drivers of both calculative and relational trust. Furthermore, reciprocal behaviours exert a more pronounced influence on the advancement of relational trust, whereas contract flexibility exerts a more pronounced influence on the advancement of calculative trust. Additionally, the level of calculative trust is higher at the outset of project implementation, with the generation of calculative trust subsequently leading to the generation of relational trust in the middle and later stages. In the middle and later stages of the project, the importance of relational trust increases, reaching a point where it surpasses that of calculative trust. Furthermore, the decline of relational trust has a greater negative impact on the overall trust level than calculative trust. The results of the research can provide theoretical guidance for the construction body to solve the problem of a low level of trust in the process of PMC project implementation.
1. Introduction
The construction industry is characterised by a high degree of separation and an adversarial culture, which has led owners and contractors to prioritise contract control over relational cooperation and the inherent uncertainty of the project. The limited rationality of the owner, the incomplete contracts and the opportunistic behaviours of the contractor have resulted in a vicious cycle of confrontation between the two parties, which has led to inefficiencies in the construction industry. The growing demand for comprehensive, cross-phase, and integrated whole process management services has resulted in a significant transformation in the project management paradigm, characterised by a shift towards the holistic governance of fragmentation. This is exemplified by the application of the PMC (Project Management Contracting) model in the construction industry. In comparison to the conventional project management model, the PMC contractor, in their capacity as an extension of the owner, is able to not only compensate for the owner’s deficiencies in terms of management capacity and experience, but also to undertake comprehensive management of the project construction in order to achieve safety, high quality and low cost in accordance with the predetermined objectives. Furthermore, they are able to optimise the technical and economic indicators throughout the lifespan of the project. Furthermore, they are tasked with coordinating and liaising with all relevant professionals, fostering closer collaboration and integration. They are also responsible for managing all contractors in an integrated manner, optimising the allocation of resources based on needs, and effectively managing costs and schedules.
The PMC model espouses a non-confrontational approach to the working relationship between the proprietor and the PMC contractor []. It has been demonstrated that the formation of efficient partnership patterns is a challenging process that does not occur spontaneously or automatically. In contrast to short-term or transactional contracts, such as spot buy, regular trading, blanket contracts, and fixed contracts, the formation of trust plays an important role in reducing the costs associated with negotiation, monitoring, and the promotion of mutually beneficial cooperation []. The results of Ivic and Ceric [] demonstrate that the most effective means of mitigating information asymmetry in construction projects is to establish trust between clients and contractors, conduct regular supervision and monitoring of work, validate bidders thoroughly, and allocate risks in a fair manner. A substantial body of research has indicated that trust can foster positive relationships between key project participants and project stakeholders []. The establishment of trust among stakeholders serves to mitigate the impact of unforeseen occurrences and to enhance resilience in construction projects []. It can be argued that collaboration, for example, in the form of construction partnering, project alliancing, and joint venture, may be the most effective way to deliver projects efficiently and reduce construction disputes. In order for a construction alliance to achieve its construction goals, it is essential that a high level of trust is fostered between partners [].
The existing literature on trust between construction project participants predominantly focuses on traditional DB, DBB, and PPP models. However, there is a paucity of research on the distinctive trust relationship between the owner and PMC contractor in the PMC model. PMC contractors serve as an extension of the owner, managing the project across all aspects and processes on behalf of the owner. The level of trust between the two parties is a crucial determinant of project management effectiveness, which in turn affects the success or failure of the project. Furthermore, the collaboration between the two parties is contingent upon the establishment of inter-organisational trust. In light of the stewardship theory, which serves as the guiding ideology of the national policy and the background of the implementation of the PMC project management model, it is posited that the owner and PMC contractor can be inclined towards a kind of “stewardship” relationship. This is with the aim of maximising the benefits of the project’s entire process management. In a stewardship relationship, it is emphasised that cooperation is based on trust and authorisation. The core of this relationship is the establishment of contact and cooperation between the two parties through the development of trust and authorisation. The concept of the stewardship theory is concerned with the fulfilment of the needs associated with self-actualisation and respectability. These needs are addressed through the establishment of trust and empowerment between those in managerial roles and trustees. The key to effective governance is to motivate managers through a spirit of trust, empowerment, respect, and cooperation. The objective of this form of governance is to encourage managers to work diligently and autonomously, rather than through the use of control and supervision []. In the context of the stewardship theory, ethical considerations are regarded as the paramount factor, with the relationship between the parties involved defined by an implicit contract. In an environment characterised by mutual trust, the proprietor is well advised to relinquish control to the PMC contractor, thereby compensating for deficiencies in their own managerial capabilities and experience. In the event of unforeseen risks, the PMC contractor is able to take appropriate action without consulting the owner, as the ceded control allows for reasonable measures to be taken. Conversely, the PMC contractor is able to gain control and utilise its management expertise to enhance efficiency.
The construction cycle of PMC projects is typically lengthy. During the project implementation phase, the owner and the PMC contractor gain a deeper understanding of each other’s needs, preferences, and interest demands after a prolonged period of interaction []. By modifying and improving the transaction system and relevant regulations to guarantee that the project will be carried out, the uncertainty is controlled within a certain range. This allows the two parties to establish a long-term and solid cooperative relationship. It can therefore be determined that the trust level between the owner and the PMC contractor is a dynamic evolution process. The objective of this study is to address the following two research questions: (1) How does the level of trust between owners and PMC contractors fluctuate as projects are implemented? (2) What are the underlying mechanisms that drive this evolutionary fluctuation? This paper employs the Dynamic Bayesian Network (DBN) approach to examine the evolution of trust between the project owner and the PMC contractor within the context of Chinese culture. Based on the findings of the literature review, 15 influencing factors affecting the evolution of project trust levels were selected from four dimensions and combined with a sample of 157 questionnaire examples to establish a dynamic Bayesian model of trust level evolution between owners and PMC contractors. By employing the two-way inference function of the dynamic Bayesian network, this study identifies the principal factors influencing the decline or growth of the trust level and its dynamic evolution law. Furthermore, it analyses the influence mechanism of the trust level through simulation results and proposes a strategy for improving the trust level.
2. Literature Review
Trust is a potential psychological state that may be influenced by behaviours or choices, which, in turn, may influence subsequent behaviours or choices. It is therefore not a static phenomenon, but rather a dynamic evolutionary process that is influenced by the interactive behaviour of both parties. The key to exploring the trust enhancement strategies of the transaction is to study and master the dynamic evolution of trust. The study of trust between participants in construction projects represents a field of considerable research, with a wealth of conclusions and results. This paper focuses on two key areas of research: the definition and generation of trust and the development of trusting relationships.
2.1. Definition and Generation of Trust
There is no established theoretical explanation for the role of trust in the context of engineering projects. The focus of scholars is on the type of trust between the participants, and a clear delineation of the types of trust is a prerequisite for subsequent research. Currently, there are numerous approaches to classifying trust, and the resulting research is abundant. However, a unified conclusion has yet to emerge. In their study, Pirson and Martin [] identified a number of essential factors for building trust in project stakeholder relationships. These include reliable actions, effective communication, sincerity, commitment, kindness and competence, acting with integrity, striving to achieve project milestones, and establishing common goals. Dupont and Karpoff [] indicated that, based on empirical evidence derived from survey data, improving communication effectiveness, demonstrating reliability and competence, and acting with integrity are key factors in building trust in project stakeholder relationships. Furthermore, they highlighted the importance of demonstrating commitment, sincerity, kindness and competence, striving to achieve project milestones, and establishing common goals. Ahlf and Horak et al. [] put forth three fundamental tenets for fostering trust: the attainment of successful outcomes, consistency between verbal and physical actions, and the demonstration of compassion. They substantiated these assertions through an examination of the Singapore public construction project. Fu C and Yang S [] put forth a novel proposition that interpersonal trust is contingent upon individual trust traits, shaped by the dynamic equilibrium between trust risk and trust expectation, and ultimately manifests in trusting behaviours. They further posit that interpersonal trust is a consequence of the synergistic interplay between individual and environmental factors. The categorisation of trust has been the subject of earlier research, with subsequent scholars conducting more in-depth extension research on trust based on the findings of earlier researchers. In their study, Zhang et al. [] delineated the spectrum of trust in engineering project organisations under Chinese management scenarios, identifying four distinct categories: mistrust, attempted trust, cognitive trust, and relational trust. These categories exhibited a discernible pattern of progression, demonstrating a shift from low to high levels of trust. Druckman and Lewicki et al. [] concluded that the initial stage of trust is a calculative trust, which gradually develops into an informed trust with the exchange of information, and eventually forms an identity trust based on the deepening of cooperation.
The level of trust between the owner and the PMC contractor has a significant positive effect on the level of cooperation. As Morgan and Hunt [] have suggested, trust in the capabilities of the other party is a direct driver of cooperative behaviour. In situations where complex tasks must be completed by multiple parties within a project organisation, competence trust can encourage proactive cooperation behaviours among those involved, thereby increasing the efficiency of the cooperation in question. Lau and Engebo [] posited that trust in engineering projects can mitigate claims, reduce time and costs, and enhance quality. The most significant benefit is that trust fosters harmonious working relationships, wherein robust inter-company trust engenders collaboration and accountability. Trust is a relational state that arises from interactions between different subjects within a project organisation. The presence of trust is associated with positive organisational behaviours []. Each party determines the level of trust they place in another party by gathering information about that party or observing their behaviour. This allows them to adjust their own trust levels in line with their observations. Consequently, the behaviour of each party influences the level of trust in the transaction. Therefore, the ongoing interaction between the project owner and the PMC contractor throughout the project’s implementation results in an uneven evolution of trust levels as the project progresses and the external environment changes. There may be a time when one party recognises and rewards the other party’s selfless actions promptly, and both parties demonstrate a high level of mutuality. However, at other times, the mutuality may not be as strong. The trust relationship between the parties is subject to a range of dynamic factors that evolve throughout the implementation phase []. The extant literature indicates that the level of trust is a function of multiple dimensions, with the ratio of these dimensions varying across contexts. As information asymmetry diminishes, the trust subject dimension undergoes a progression from schematic trust to understanding trust and then to identity trust.
The delineation of trust dimensions is based on the findings of Rousseau et al. [], which have been widely acknowledged in the field of management as an important contribution to the understanding of trust as a resource. Trust can be classified into three categories: computational, relational, and institutional. Each category is characterised by distinct sources and attributes. Calculative trust is founded upon objective judgement and a mutually agreed-upon outcome that is beneficial to both parties. Relational trust is formed through prolonged and multifaceted interactions, often imbued with emotional nuances. In contrast, institutional trust is founded upon the establishment of contracts and the implementation of systems. In the context of China’s domestic engineering projects, three distinct types of trust have been identified. However, an analysis of the extant literature and project practice reveals that the prevailing laws and regulations governing the PMC model are generally inadequate, the institutional norms are imperfect, and institutional trust is relatively limited. To focus more narrowly on the research problem at hand, this study has chosen to concentrate on computational trust and relational trust.
In light of the aforementioned analysis, this paper posits that the trust between the owner and the PMC contractor can be defined as follows: The objective environment, including the execution of the contract, the interaction between the two parties, the exchange of resources, and the exchange of information, serves to psychologically update the behavioural expectation during the implementation stage. This ultimately leads to the formation of the dynamic evolution of the trust relationship. Trust can be defined as the predictability and credibility of performance based on mutual understanding, with emotional characteristics based on the degree of satisfaction with the cooperative relationship between the two parties. This includes mutual understanding in the transaction process, information exchange, performance, good personal relationships, a cooperative attitude, a sincere attitude in negotiation, and consideration of the interests of the other party in decision-making, among other factors.
2.2. Development of Trusting Relationships
Some scholars have undertaken an analysis of the development of different types of trust, dividing the project into different stages. Kramer and Tyler [] put forth a three-stage model for the formation of trust. The first stage is based on the individual’s precise calculation of the outcome of the interaction, which they term “calculus-based”. The second stage is based on the individual’s cognitive understanding of the object of the interaction, which they term “knowledge-based”. The third stage is based on the mutual recognition of both parties in the interaction, which they term “identification-based”. It is only at the third stage that a relationship between two parties reaches a level of intimacy and is capable of developing real mutual trust.
The prevailing view among researchers is that trust is a dynamic phenomenon, influenced by the evolution of transactions and even the potential for its destruction. Urena et al. [] demonstrated that the dynamic network structure of interpersonal interactions gives rise to a process of change in trust relationships between individuals over time. They also analysed the dynamic trust level between individuals. Empirical evidence from Laan and Voordijk et al. [] indicates that the level of trust between the owner and the contractor of a construction project is subject to significant fluctuations in response to a range of factors, including past experience and future prospects, bidding procedures, and delivery systems. Yan L. [] and Liu J.Y. [] found that the level of trust between owners and contractors increases when the behaviours exhibited by the parties involved are perceived as trustworthy. These behaviours encompass a range of dimensions, including honesty, dependability, value sharing, reciprocity, commitment, and responsibility. As demonstrated by Fabrice L. et al. [], mutual understanding between participants can be enhanced through fruitful information exchange and acquaintanceship, thus increasing the level of cognitive trust. This mainly includes regular contact, such as progress meetings, technical meetings, quality control workshops, site safety workshops, or site visits. Zhang et al. [] posited that organisational trust can be cultivated and reinforced through an individual’s beliefs about organisational policies. They proposed that consistent organisational structures and an appropriate organisational culture can facilitate the development of trust by providing communication channels.
The majority of existing trust studies have concentrated on static portfolios with the objective of elucidating the prevailing state of trust in project organisations. However, the trust relationship is subject to change as a result of interactions between the transactional parties, and few studies have considered this dynamic process. In particular, the construction project cycle is lengthy, and the relationship between the participants undergoes changes over time. Therefore, it is not possible to evaluate the trust between the participants using only a static perspective. In contrast to existing studies, which are predominantly based on a static perspective to examine the trust relationship, we construct a Bayesian network that evolves dynamically over time to analyse the mechanism of the continuous trust’s evolution. This allows us to investigate the rising or falling law of the continuous trust level between the two parties as the project is implemented and influenced by the owner’s and PMC contractors’ diverse interaction behaviours. Furthermore, it enables us to identify the dynamic change mechanism of the continuous trust level over time.
Jay and Mark [] proposed a typology of trust, distinguishing between weak, semi-strong, and strong forms of trust. In this paper, we build on the research of Jay and Mark to distinguish between three levels of trust: high, medium, and low. We define the high level of trust as a situation in which the owner and the PMC contractor have a level of trust that is higher than the average. Each party believes that the other will not fail to fulfil their obligations. The owner is willing to authorise the PMC contractor, and the PMC contractor will not engage in opportunistic behaviour, exploit the advantages of the management structure, or act in a way that is detrimental to the project. There is a high level of mutual understanding and support between the two parties, which allows for the effective management of the project. A low level of sustained trust indicates that the level of trust between the owner and the PMC contractor is below the average level. In such a scenario, there is a lack of mutual trust, with each party attempting to guard against opportunistic behaviours. This is primarily achieved through the contract, which constrains the behaviour of both parties. Additionally, the reliance on inspection to ascertain the quality of work being carried out has a negative impact on the level of cooperation between the two parties. The current level of trust is situated at an intermediate point between the low and high states, exhibiting an average level of trust. Both parties engage in active monitoring and assessment of each other’s capabilities, motivations, and behaviours. However, compliance with contractual provisions remains essential to ensure the safeguarding of both parties’ rights.
Synthesising the literature studies in Section 2.1 and Section 2.2, a summary of the following research themes and representative literature was made, as shown in Table 1.
Table 1.
Summary of literature.
3. Analysis of Key Factors Affecting the Evolution of Trust Level
3.1. Analysis Based on Social Exchange Theory
The proprietor and PMC contractor are contingent upon the implementation of the project. They facilitate an incremental, reciprocal relationship, which is predicated on the assumption of reliability on the part of the other party. This assumption is formed on the basis of behavioural observation and evaluation by both parties, and it requires constant adjustment to ensure long-term stability. The establishment of a trusting relationship is a lengthy and intricate process that is contingent upon the emotional states of both parties, in addition to their capabilities and conduct. The theory of social exchange posits that the basis of human behaviour is the pursuit of benefits derived from exchange activity between individuals. Accordingly, the objective is to examine the exchange activities between individuals and the psychological motivations underlying these activities, with a view to gain a deeper understanding of the social behaviour of individuals []. Accordingly, social exchange theory posits that interpersonal relationships and social ties are an efficacious mechanism that can be actualised through exchange. In the context of exchange, individual choices and decisions are informed by a process of objective and well-considered evaluation. The outcomes of such choices and decisions are shaped by the resources invested and the returns obtained.
The principle of reciprocity represents the fundamental norm of social interaction. It emphasises that both parties should treat each other with mutual respect throughout the process of interaction. Furthermore, it suggests that a mechanism of mutual trust and respect should be established in the social relationship between the two parties. This is to ensure that both parties are treated fairly []. The principle of reciprocity serves as a safeguard mechanism, ensuring the sustainability of social exchange. In the event that one party provides assistance or resources to another, the latter is expected to offer a reciprocal response. Reciprocity represents a fundamental exchange behaviour []. Conversely, various scholars have proposed differing interpretations and categorisations of reciprocity. In the field of management, the conjunction of the principle of reciprocity and social interaction theory provides a comprehensive framework for organisational models, offering insights into the dynamics between individuals and organisations and facilitating more effective governance and regulation of member behaviour.
In light of the aforementioned analysis of social exchange theory, it is proposed that the following academic perspective be adopted with regard to the implementation phase of a PMC project: the behaviour of information exchange, resource exchange, and interaction and cooperation between the owner and the PMC contractor affects the levels of sustained trust between the two parties, both positively and negatively.
3.2. Analysis of Influencing Factors
3.2.1. Trust and Contract Flexibility
Given the constraints on cognitive capacity and the incomplete nature of the information available regarding the project, the contract is inherently uncertain. In such circumstances, contract flexibility, which allows for a rapid response to uncertainty, has a positive effect on the improvement of project management performance. The establishment of trust as a relational element to cope with project uncertainty can serve to reduce the necessity for contractual completeness and rigidity on the part of the contracting parties, thereby enhancing the necessity for contract flexibility. The design of the degree of contract flexibility is contingent upon the level of trust between the parties involved. The extant literature indicates that the formation of beneficial partnerships can facilitate the expansion of contract flexibility and enhance project management performance []. Seepana et al. [] discovered through a case study that effective relationship governance between contractors can facilitate the expansion of contract openness and enhance contract flexibility. Yue Teng and Xiao Li [] put forth the proposition that contract flexibility in the contracting process, which facilitates the flexible alignment of the parties’ interests in response to new changes or uncertainties, can assist in the development of positive relationships and reinforce trusting relationships.
The utilisation of informal contracts typically signifies that the contractor deems flexible execution to be an efficacious means of safeguarding their interests and generating greater revenue than would be possible through adherence to the original contract. This approach is likely to engender a climate conducive to the avoidance of opportunistic behaviours and the maintenance of a positive outlook with regard to project returns []. In the PMC model, the compensation of uncertainty by contract flexibility is also reflected in the management flexibility created by the transfer of control. As Ameyaw and Edwards [] have demonstrated, the flexibility of contracts facilitates the achievement of flexibility in management. In the event of an unforeseen circumstance, the contractor is not required to seek the owner’s input and can act promptly and reasonably through the control ceded, thereby demonstrating the efficacy of contract flexibility in facilitating a rapid response. Similarly, Liu TY and Chong HY [] evaluate the positive effect of contract flexibility on the success of the project. They posit that the concessionaire should be granted the right to adjust to the project scenario under certain boundary conditions. This facilitates the enhancement of the project value, especially with regard to the design of the flexibilities for the function of the facility. As project implementation progresses, the flexibility of management exerts an influence on the evolution of the level of trust between the two parties.
3.2.2. Trust and Communication
Conrads and Lotz [] proposed that team communication can be defined as the activity of team members passing information to each other in an appropriate manner or the active exchange of information between teams. Tchupo et al. [] highlighted that team communication encompasses the exchange of information and the interaction of ideas and emotions between teams. Consequently, it can be defined as an activity of information transfer and emotional exchange. Furthermore, they emphasise that communication difficulties or barriers during a project can directly result in a significant decline in trust between the two parties. A strong willingness to communicate is a prerequisite for effective communication between the owner and PMC contractor. It helps to enhance the emotional well-being of the team, increase trust between members, and build rapport between the team, thereby enabling the team to work together to accomplish project goals and contribute to the success of the project. In the absence of trust, project teams are likely to be reluctant to share information, which may give rise to tensions. However, given the inherently transient, uncertain, and fragmented nature of construction projects, the divergence of team objectives and inconsistent core competencies that arise as a project progresses may result in a reduction in the willingness to communicate, leading to miscommunication and inappropriate communication. The latter has a significant detrimental impact on trust, undermining the maintenance of trust and leading to a decline in the level of trust []. Communication within a construction project encompasses a range of activities, including progress meetings, document delivery, regular information exchange, informal meetings, and private conversations. Accordingly, this study distinguishes between formal and informal communication.
3.2.3. Trust and Reciprocal Behaviours
In social interaction, people need to follow social exchange norms to maintain stable social relationships. Social exchange theory focuses on the voluntary behaviour of the parties to an exchange, motivated by the rewards expected to be gained []. Reciprocity, as the core of social exchange theory, is an important factor in maintaining long-term exchange relationships, where trust and reciprocity support each other and thus help exchange partners pursue common goals. Gouldner [] defined reciprocity as “the construction of a moral code of obligation to provide assistance and to reciprocate”. The term “reciprocity” is used to describe a set of accepted norms that govern the exchange process. These norms dictate that when one party provides help or resources to another, the latter is obliged to return the favour to the person who has given it. The interaction between the owner and the PMC contractor can be considered an example of a management activity with typical social exchange characteristics. This is particularly relevant in Chinese society, where relationships are highly valued and mutual benefit is a key objective []. For example, if the contractor has liquidity difficulties, the owner provides support, and the contractor accelerates the construction schedule for early completion of the project; these actions are mutual, and there is no such thing as paying for each other without a reason. Once the giving party does not receive a corresponding response, trust in the other party will decrease. Therefore, more reciprocal behaviours between the owner and the PMC contractor during the project implementation will increase the trust level.
The theoretical analysis presented above indicates that the evolution of trust between the owner and the PMC contractor is influenced by four dimensions, including contract flexibility, formal communication, informal communication, and reciprocal behaviours. For the purpose of the quantitative study, each dimension contains a number of measures drawn from the existing research literature, which are selected from the following representative literature dealing with contractual flexibility, formal communication, informal communication, and reciprocal behaviours. These factors are represented by a total of 15 indicators, as shown in Table 2.
Table 2.
Indicators influencing the evolution of trust level and explanatory notes.
4. Methodology
4.1. Questionnaires Collection and Data Processing
The questionnaire was developed in collaboration with experts in the field of trust, and its structure was based on a 5-point scale, with each observed variable scored on a 5-point Likert scale (1 = very bad, 5 = very good). Higher scores indicate that the PMC programme is performing better in this area. The survey of PMC contractor leadership and owner-side leadership personnel involved in the construction work of the eight PMC projects listed in Table 3 was conducted in order to accurately reflect the level of trust. The questionnaire was made available for completion online via the Questionnaire Star application. A total of 282 questionnaires were distributed, of which 256 were returned, representing a valid return rate of 91%.
Table 3.
Overview of data acquisition.
The model nodes for the construction of Bayesian networks were selected as follows: trust level (TRU), calculative trust (CAL), relational trust (REL), and 15 influencing factors. To facilitate the calculation, 256 training samples gathered from the questionnaires were classified into three categories: high, medium, and low. The low state (low) represents the organisation’s markedly poor and poor ability in this area (mean score less than 2), the moderate state (moderate) represents an average ability (mean score 2–3.5), and the high state (high) represents a good and very good ability (mean score 3.5–5). Table 4 illustrates the statistical distribution of the transformed trust level factors.
Table 4.
Statistical distribution of trust level nodes in different states (unit: %).
4.2. BBN Modelling
Dynamic Bayesian networks represent a network quantisation method based on Bayesian inference and are extended in the time dimension. They have been demonstrated to be one of the most effective methods for obtaining confidence when representing uncertain knowledge []. First, 157 training samples are used as input data to learn the network structure, then the structure is learned using the scoring search method, and the Bayesian network is corrected and modified according to the expert knowledge; second, the parameters of the Bayesian network are further learned to obtain the conditional probability table (CPT) of each node in the network. The purpose is to obtain the CPTs of all nodes, which provide the basis for building DBN models later. Referring to the IPCC (The Intergovernmental Panel on Climate Change), we introduce “very high”, “high”, “high”, “high”, “medium”, “low”, “very low”, “medium”, “low”, “low”, and “very low”. Seven linguistic variables (numbered P1–P7) characterise the factors influencing the evolution of trust levels, as shown in Table 5.
Table 5.
Linguistic variables and their percentage expressions.
The conditional percentage table of nodes is obtained from the data of questionnaires; its average value is taken as the fuzzy percentage of the node, i.e., Equation (1):
On the basis of obtaining the fuzzy probability, the exact percentage of nodes is calculated by the mean area method, and, finally, the conditional percentage of nodes is obtained by the normalisation of the probability, that is, Equations (2) and (3).
For the parent nodes for which statistics exist, prior percentage can be obtained from the statistics. There are 15 nodes in the Bayesian network structure constructed in this paper for which the prior percentage table can be obtained directly (see Table 6). The network model constructed for the evolution of trust level between the owner and the PMC contractor is shown in Figure 1.
Table 6.
Prior percentages of nodes.
Figure 1.
Bayesian network model of the evolution of trust level.
4.3. DBN Modelling
DBN represents the state of the system at the present moment in time by decomposing the system into a series of snapshots at different moments in time [], with each snapshot representing the complete BBN in a state of time. The relationship between the states of the nodes in different time slices is expressed using correlated nodes with added causal links between them and between the two preceding and subsequent snapshots. Figure 2 illustrates a DBN comprising three time slots. The posterior probability of the trust level over time can be determined through the DBN model, which elucidates the dynamic characteristics of trust evolution. The expansion from BBN to DBN can be accomplished through the state transfer probability table. The DBN model consists of a prior network () and a transition network (), where defines the probability distribution of the initial moment and is a Bayesian network containing 2 time slots and defines the conditional distributions between the variables of the two neighbouring time slots, namely
where is the i-th node at time slot t and is the parent node of .
Figure 2.
Dynamic Bayesian network representation.
Based on the initial distribution and the transfer probability and conditional probability distributions between neighbouring time slices, the dynamic Bayesian network is expanded to the Tth time slice to obtain the joint probability distribution spanning multiple time slices, that is
In Equation (5), .
The construction project implementation node (monthly) is taken as the time slot of the dynamic Bayesian network, with a total of six time slots, to extend the BBN network model into the DBN dynamic Bayesian network structure. In the event that the study has access to a sufficient quantity of historical data, the Bayesian estimation method, along with other techniques such as maximum likelihood estimation, are typically employed in order to obtain the transfer probability table (TPT) []. Since this study does not have historical data and the evolution mechanism is not clear, the transfer probability can be obtained based on the Markovian process. The DBN model contains Markovian assumptions and conforms to the following Markovian assumptions about the transfer probability: the transfer probability is invariant between different time slices t and the state of each moment depends only on the state of the previous moment. A Markovian transfer matrix is used to represent the transfer probability of the DBN, and the transfer probability of a node is obtained using Equation (3), which defines the TPT of the trust level from moment t-1 to moment t. The results are shown in Table 6.
In Equation (6), is the transfer matrix, is two neighbouring states, is the transfer probability, and ; .
According to Table 7, if the trust level is at a high level at t-1, the probability of maintaining a high level at t is 0.75, the probability of shifting to a medium level is 0.20, and the probability of dropping to a low level is 0.05. Based on the experience of the project management, it is also possible to obtain TPTs of the trust level from t-1 to t for the other states. The model sets each time slot to be 30 d; after formulating the initial network model and TPTs, the DBN model is built using GeNie software, and the trust evolution trend is updated in real time according to the initial data and the transfer probability, as shown in Figure 3.
Table 7.
TPT of trust level nodes.
Figure 3.
Dynamic Bayesian network for the evolution of trust level.
5. Dynamic Bayesian Network Simulation Analysis
5.1. Sensitivity Analysis
Sensitivity analysis is performed using the mutual information (MI) index method, which uses the MI mentioned in Shannon’s information theory to measure the importance of parent nodes to leaf nodes. The MI helps to assess the contribution of influencing factors to the outcome by quantifying the amount of information provided by one variable to another. Sensitivity analysis using the MI allows the most influential factors to be identified and prioritised. This is one of the most widely used methods to measure the importance of information sources and is also a global sensitivity analysis method that assesses the sensitivity of individual input taking into account the influence of other inputs. MI is a measure of statistical correlation between two random variables. The MI between two random variables X and Y is given in Equation (7):
In Equation (7), is the joint probability distribution function of X and Y; and is the marginal probability distribution function of X and Y, respectively.
The MI depends on the prior probability of each indicator, the posterior probability, and the probability of connection between the indicators. Based on Equation (7), the MI between trust and its influencing indicators are obtained, as shown in Table 8. The MI measures the degree of influence of each influence indicator on the level of trust; a larger MI value indicates that the influence indicator has a greater impact on the level of trust, and a smaller change in this indicator will cause a greater impact on the trust level. The MI index ranking shows that, firstly, the relational trust between owner and PMC contractor has more influence on the evolution of trust level; secondly, reciprocal behaviours and contract flexibility have more influence on the evolution of trust level compared to formal and informal communication. Among the top 15 influencing indicators, most of them are from reciprocal behaviour and contract flexibility, so reciprocal behaviour and contract flexibility are sensitive indicators that should be focused on for improving trust levels in PMC projects, and it is necessary to strengthen the monitoring and management of them.
Table 8.
Basic information on the indicators influencing the evolution of trust levels.
5.2. Forward Prediction Analysis
The forward predictive analysis aims to predict the trust level between the owner and the PMC contractor using the given evidence. The propagation of evidence of indicators on the evolution of trust level allows updating the probability distribution of trust level in the Bayesian network based on newly discovered evidence. During the implementation of a PMC project, the set of all indicators whose states are known is the evidence (no evidence predicted, i.e., is empty set) and the probability of the leaf node (trust level) occurring (i.e., the state of being confirmed) in this case is examined, as shown in Equation (8):
In Equation (8), is the number of nodes with known states, and each node has two different states, and . indicates that the event described by the node occurs; indicates that the event described by the node does not occur. denotes the CPT of BN forward transmission; denotes the joint probability that all state known risk factors occur simultaneously with the risk event; denotes the joint probability of state known events. Both and can be obtained by calculating lower-order probabilities using higher-order joint probabilities.
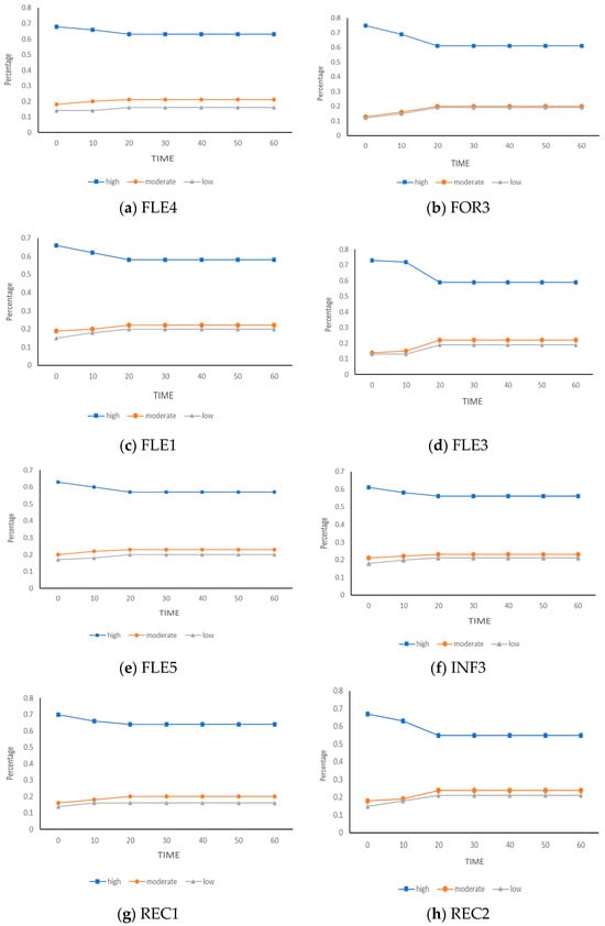
The key indicators of trust level from the chain of influence analysis and the top 15 indicators of influence from the sensitivity analysis were set to “high” as evidence to predict the probability of different states of trust level in different situations. These include flexibility based on engineering changes (FLE4), regular information exchange between teams (FOR3), flexibility based on price changes (FLE1), flexibility based on force majeure (FLE3), flexibility based on engineering claims (FLE5), informal meetings (INF3), uncertainty-based reciprocity (REC1), difficulty-based reciprocity (REC2), benefit return-based reciprocity (REC3), contract flexibility (FLE), formal communication (FOR), informal communication (INF), reciprocal behaviours (REC), calculative trust (CAL), and relational trust (REL). Figure 4 illustrates the probabilities of different states of trust level when predictive analysis is performed in different situations.

Figure 4.
Percentage of different states of trust level.
From a short-term perspective (Time = 0–10), as shown in Figure 4, the highest probability of trust level being “high” is when the state of calculative trust (CAL) and contractual flexibility (FLE) are set to “high”; the second highest probability of trust level being “high” is when the values P (FOR = high) = 1 and P (FOR3 = high) = 1 are given; meanwhile, the top six key indicators that make the percentage of trust level being “high” are P (trust level = high|CAL = high) > P (trust level = high|FLE = high) > P (trust level = high|FOR = high) > P (trust level = high|FOR3 = high) > P (trust level = high|FLE3 = high) > P (trust level = high|REL = high) high|REL = high), indicating that these six are the most critical indicators of the trust level between the owner and the PMC contractor in the pre-PMC project. The overall comparison of key impact indicators shows that the calculative trust and the associated factors of formal control are more important in the early stages of a PMC project. In the early stages of construction, the owner and PMC contractor are often unfamiliar with each other, so calculative trust becomes the primary type of trust, with both parties deepening their understanding through formal communication and information exchange, reviewing their respective interests and risks, and considering each other’s ability to fulfil the terms of the contract. Because construction teams have unique characteristics, such as temporary, task orientation, different team goals, and inconsistent core competencies, a lack of communication between construction project teams related to strategic direction and goals can lead to time and cost overruns. Formal communication is characterised by seriousness, bindingness and confidentiality, and owners and PMC contractors need to collect, analyse, and communicate information in real time in order to provide an early warning for deviations from the plan and make timely decisions. Formal communication can effectively deal with conflicts and exchange information to maximise the information asymmetry, which is conducive to reaching consensus and forming a unified view, thus enhancing the calculative level of trust between the two parties.
From a long-term perspective (after Time = 10), as shown in Figure 4, the percentage of trust level in different states varies with time, and the maximum value of trust level percentage is stable in the high state. It can be seen that when the state of key indicator nodes is set to “high”, the trust level curve in the “high” state will keep decreasing and then stabilise, while the trust level curve in the “moderate” and “low” states will gradually increase and then stabilise. The main reason is that DBN networks can preserve and accumulate the results of reasoning from previous moments and have memory learning properties. The network model can effectively capture more evidence and information, so the dynamic nature of trust level can be reflected over time. In Figure 3, the top seven indicators in terms of the percentage of keeping the trust level “high” over time are P (trust level = high|REL = high) > P (trust level = high|CAL = high) > P (trust level = high|REC = high) > P (trust level = high|FLE = high) > P (trust level = high|FLE = high) > P (trust level = high|REC1 = high) > P (trust level = high|FLE4 = high) > P (trust level = high| FLE4 = high). high|FLE = high) > P (trust level = high|REC1 = high) > P (trust level = high|FLE4 = high) > P (trust level = high|INF = high). As the project unfolds, the importance of relational trust gradually overtakes that of calculative trust and the importance of indicators such as reciprocal behaviours (REC), contract flexibility (FLE), and informal communication (INF), which are not limited by organisational structure and are characterised by openness, spontaneity, fast transfer, flexibility, and multiple communication methods. Information transfer can be vertical, horizontal, and efficient, and it is arguably easier for people to express their true thoughts when they communicate with each other in a relaxed and friendly atmosphere. Thus, informal communication is a truer reflection of the team’s opinions, ideas, and motivations than formal communication, and more information is obtained, thus helping the emotional exchange between the owner and the PMC contractor, fostering a good relationship between the team and promoting an increased level of relational trust. If the PMC contractor does not have the appropriate management competence, the negative impact on the project will be more serious than that of a traditional DBB project, which will lead to dissatisfaction among the participants and even project failure, resulting in a significant decrease in the owner’s trust and bypassing the PMC contractor to take measures to promote their own objectives. Accordingly, the higher the level of management competence of the PMC contractor, the more it can promote the owner’s trust, so the more calculative trust between the owner and the PMC contractor, the more relational trust will be promoted. Under the influence of China’s tradition of valuing social relationships, harmonious relationships have become an emotional need for organisation members. As a collection of various complex social network relationships, the reliance on inter-organisational trust is also more significant in medium- and large-scale engineering projects, As the project progresses and continuous communication is established, a close working relationship is established and relational trust is developed. Therefore, in the early stage of PMC project implementation, the owner and the PMC contractor should focus on the maintenance of calculative trust and the operation of formal systems, while in the middle and late stage, they should focus more on the cultivation of relational trust in terms of emotional motivation and psychological needs.
5.3. Reverse Diagnostic Analysis
Reverse diagnostic analysis aims to use backward inference techniques to identify the immediate causes that have a greater impact on trust level. The principle is to calculate the posterior probability of each indicator and identify the most suspicious causes when trust level decrease, thus identifying the indicators in the Bayesian network that have the greatest impact on trust levels. For example, to calculate the posterior percentage distribution of each node in the state of occurrence of leaf node (key influencing indicator), the posterior percentage of occurrence of the th node is denoted by , which is calculated as shown in Equation (9):
The higher the , the higher the probability that the node is the cause of the trust level decline, which guides the managers to conduct targeted diagnosis, quickly identify the most likely combination of causes, and take timely countermeasures. The node status of trust level is set to “low”, and the software GeNie 2.4 is used to calculate the posterior percentage of the nodes that are the main indicators of trust level. As shown in Figure 5, the posterior percentage of the nodes in the diagnostic analysis in different cases are listed (Note: sum = low + moderate).
Figure 5.
Posterior percentage of diagnostic analysis nodes in different cases.
The results in Figure 5 show that the posterior percentage of relational trust (REL), computational trust (CAL), and contractual flexibility (FLE) have the maximum value when the node state of trust level is “low”. The posterior percentage of calculative trust (CAL), relational trust (REL), and reciprocal behaviours (REC) are the highest when the node state is “moderate”. In the sum (sum) ranking, when P (OL = low) = 1, the order of node posterior percentage size is REL > CAL > REC > FLE > FOR3 > FOR > FLE4 > FLE1 > FLE3 > FLE5 > REC1 > REC2 > INF3 > INF > REC3. Therefore, relational trust (REL), calculative trust (CAL), reciprocal behaviours (REC), and contract flexibility (FLE) are the most suspected indicators that contribute to the reduced level of trust between the owner and the PMC contractor during the implementation of a PMC project. While reciprocal behaviours (REC) and contract flexibility (FLE) are secondary indicators of relational and calculative trust, that is, relational trust has a greater impact on the decrease in trust level than calculative trust, reciprocal behaviours (REC) and contract flexibility (FLE) have the greatest impact on the decrease in relational and calculative trust.
6. Discussion
Lewicki and Bunker [] revealed that trust undergoes a transformation in its structure and attributes as interpersonal relationships evolve. Additionally, the study identified that distinct forms of trust, such as calculative trust and relational trust, possess disparate connotations. However, the various forms of trust are interrelated and mutually reinforcing. The findings of the comprehensive dynamic Bayesian net simulation analysis yielded the following research conclusions: (1) The level of trust between the owner and the PMC contractor during the implementation phase of a PMC project is primarily influenced by the extent of calculative trust and relational trust. (2) Calculative trust plays a more significant role in the initial stages of project implementation, while relational trust gains prominence and surpasses calculative trust in the subsequent stages. (3) Higher levels of calculative trust in the initial period foster the emergence of relational trust in the subsequent periods. (4) A reduction in the level of relational trust exerts a more detrimental influence on the overall trust level than calculative trust. (5) The principal drivers of calculative and relational trust are reciprocal behaviours and contractual flexibility between the parties. Reciprocal behaviours exert a more pronounced driving effect on the promotion of relational trust, whereas contract flexibility exerts a greater driving effect on the promotion of calculative trust. The manner in which trust levels evolve between the owner and the PMC contractor is illustrated in Figure 6.
Figure 6.
Mechanism of trust level evolution.
The implementation of the PMC project is characterised by a considerable degree of uncertainty, the confirmation of which is inherently challenging. Contract flexibility allows the PMC contractor to be less constrained by the design unit and the owner. It enables the optimisation of the design in accordance with the owner’s interests, affords the contractor a greater capacity to cope with uncertainties, allows the full realisation of management advantages, facilitates a more streamlined construction process, enhances the flexibility to cope with uncertainties, and thus improves the level of trust. A high degree of reciprocity can facilitate the formation of a close cooperative relationship between the owner and the PMC contractor. This approach effectively prevents opportunism, reduces the risk of betrayal, and improves mutual trust between the two parties. In light of the aforementioned research findings, the following recommendations are put forth with the aim of enhancing the level of trust between owners and PMC contractors:
6.1. Adopt Positive Reciprocity, Consolidate the Basis for Trust Maintenance and Development
The phenomenon of reciprocal behaviour is pervasive in the context of socioeconomic activities. The practice of reciprocity serves not only to align the objectives of inter-organisational actions with those of the parties involved, but it also provides a source of intrinsic motivation, which can enhance the efficiency of cooperation. The presence of calculative trust provides cooperative parties with a reciprocal motivation, which in turn gives rise to substantial reciprocal cooperative behaviour. This, in turn, serves to further reinforce the relational trust. Reciprocity implies a reasonable risk-sharing arrangement, whereby both parties take each other’s interests into account in their decision-making processes. Following an extended period of interaction and communication between the proprietor and the contractor, both parties develop a more nuanced understanding of each other’s capabilities, needs, and preferences. This enables them to utilise the information obtained to construct stable expectations of each other’s future behaviour. If the act of trust can be rewarded, then the owner will become a strong supporter of the PMC contractor, facilitate the PMC contractor’s ability to exercise full authority over management and subsequently optimise the degree of risk-sharing, enhance management efficiency, and encourage the continuous improvement of the level of relational trust. It thus follows that the PMC project implementation process requires both parties to address issues in a constructive and reciprocal manner. In the event of a change in the status of the contract, the owner is required to provide compensation to the PMC contractor in accordance with the flexible mechanism and the contract status compensation principle, taking into account any changes in the project scenario. The PMC contractor is obliged to continue fulfilling the terms of the contract, regardless of the potential for disputes or the owner’s mere verbal commitment to remuneration.
6.2. Injecting Contract Flexibility, Enhance Contract Efficiency and Psychological Motivation
The PMC contractor assumes responsibility for the entirety of the project, acting on behalf of the owner. The PMC contractor employs a more flexible approach to dealing with changes in the environment, thereby reducing the time and cost associated with repeated negotiations caused by the mutual shirking and evasion of responsibilities. This approach also reduces transaction costs and significantly improves the efficiency of contract execution. It is to be expected that the PMC contract will undergo a number of adjustments and revisions during its execution. In order to effectively cope with the inherent uncertainty of any given project, it is essential that both parties to the transaction demonstrate a high degree of flexibility. The greater the confidence that both parties have in each other’s good faith, integrity, and commitment to fulfilment following the conclusion of the contract, the more flexible they can be in addressing uncertainty in the context of unforeseen circumstances and in aligning their actions with the original intention of completing the project collectively. It is therefore essential that the PMC contractor is able to demonstrate flexibility in order to fully utilise their management advantages. An excessively inflexible contract not only acts as a deterrent to the PMC contractor, but also imposes additional constraints on the deployment of the PMC contractor’s management competencies. Contract flexibility facilitates a more flexible project implementation process, enabling PMC contractors to receive appropriate and dynamic incentives that allow them to reach their full potential and achieve project goals. This, in turn, ensures effective project management performance and increases the level of trust based on competence.
7. Conclusions
As the project proceeds, the trust level evolves in an upward or downward trend influenced by the interactive behaviours between the two parties. Based on social exchange theory and literature analysis, the indicators affecting the evolution of trust level between the owner and the PMC contractor are analysed in four dimensions: contractual flexibility, formal communication, informal communication, and reciprocal behaviours. A questionnaire survey is used to obtain model training samples, and a Bayesian network topology is designed using a machine learning approach, which is expanded in the time dimension to construct a Bayesian network model of the dynamic evolution of trust level over time. After a sensitivity analysis, corresponding to the research questions posed in the Introduction section, a forward prediction analysis, and a reverse diagnostic analysis, the following conclusions can be drawn. (1) The evolutionary mechanism of trust level is as follows: During the implementation phase of PMC project, the trust level between the owner and the PMC contractor mainly depends on the level of calculative trust and relational trust. The higher the level of calculative trust in the early implementation stage, the more calculative trust is conducive to the development of relational trust in the middle and later stages. The importance of relational trust gradually increases and overtakes calculative trust in the middle and later stages of the project. The decline in the relational trust level has a greater negative impact on the overall trust level than the calculative trust. (2) The following factors drive the evolution of trust levels: The most important drivers of the calculative and relational trust levels are reciprocal behaviours and contract flexibility; reciprocal behaviours have a greater driving effect on the promotion of relational trust, and the contract flexibility has a greater driving effect on the promotion of calculative trust. These are sensitive indicators that should be focused on to improve the trust level between the owner and the PMC contractor. Furthermore, based on the mechanism of trust level evolution, suggestions for improvement are made from the perspectives of both positive reciprocity and contract flexibility to facilitate the trust level between the owner and the PMC contractor.
The research results clarify the mechanisms of the evolution of the trust level and the strategy to improve the trust level, which helps to establish a strong cooperative relationship among the participants and promote the theoretical reference of the change in China’s project management model from loose and fragmented to integrated and coordinated. The present study has explored the evolutionary mechanisms and influencing factors of trust between owners and PMC contractors. The linear planning of the dynamic Bayesian network model used in this paper can deal with linear problems, and the solution speed is relatively fast. However, it is not strong enough to deal with nonlinear problems with uncertainty, which is a limitation of this paper. Thus, subsequent research will continue to improve this defect. Subsequent research will be based on the results of this study to construct a simulation model for the analysis of the key conditions and to explore effective strategies for improving the level of trust between the two parties.
Author Contributions
Conceptualization, H.L.; Methodology: H.L.; software: A.B.; validation: A.Y.; formal analysis: A.Y.; funding acquisition: H.L. All authors have read and agreed to the published version of the manuscript.
Funding
This research was funded by Jiangsu Provincial Department of Education, fund number: 2024SJYB1614 and Jiangsu University of Science and Technology, fund number: 1122932401.
Institutional Review Board Statement
According to institutional guidelines and national laws and regulations, this article does not require ethical approval as there are no unethical behaviours or experiments targeting humans in this study. As this study does not involve human clinical or animal experiments, approval from the ethics committee is not required.
Informed Consent Statement
The questionnaires were answered by human participants. All methods were carried out in accordance with relevant guidelines and regulations. We confirm that informed consent was obtained from all subjects and/or their legal guardian(s). We only conducted a questionnaire survey, and all participants provided written informed consent. The survey subjects were ensured to be confidential and anonymous, without involving their privacy. All participation was voluntary.
Data Availability Statement
All data generated or analysed during this study are included in this published article.
Conflicts of Interest
The authors declare no conflicts of interest.
References
- Liu, Z.; Ding, R.; Gong, Z.; Ejohwomu, O. Fostering Digitalization of Construction Projects through Integration: A Conceptual Project Governance Model. Buildings 2023, 13, 825. [Google Scholar] [CrossRef]
- Barretta, A.D.; Ruggiero, P. PFIs involving multiple public partners: A case study from the Italian healthcare sector. Public Money Manag. 2018, 38, 519–526. [Google Scholar] [CrossRef]
- Ivic, I.; Ceric, A. Mitigation Measures for Information Asymmetry between Participants in Construction Projects: The Impact of Trust. Sustainability 2024, 16, 6808. [Google Scholar] [CrossRef]
- Song, J.; Li, Y.; Feng, Z.; Wang, H. Cluster Analysis of the Intellectual Structure of PPP Research. J. Manag. Eng. 2019, 35, 04018053. [Google Scholar] [CrossRef]
- Ceric, A. Reducing information asymmetry and building trust in projects using blockchain technology. Gradevinar 2021, 73, 967–978. [Google Scholar] [CrossRef]
- Moradi, S.; Kahkonen, K. Success in collaborative construction through the lens of project delivery elements. Built Environ. Proj. Asset Manag. 2022, 12, 973–991. [Google Scholar] [CrossRef]
- Chrisman, J.J. Stewardship Theory:Realism, Relevance, and Family Firm Governance. Entrep. Theory Pract. 2019, 43, 1051–1066. [Google Scholar] [CrossRef]
- Li, H.Y.; Feng, J.C.; Zhang, K.; Chen, X.; Yang, R. An empirical study on the formation mechanism of trust between the owner and the PMC contractor under the PMC model. Ain Shams Eng. J. 2023, 14, 101974. [Google Scholar] [CrossRef]
- Pirson, M.; Martin, K.; Parmar, B. Formation of Stakeholder Trust in Business and the Role of Personal Values. J. Bus. Ethics 2017, 145, 1–20. [Google Scholar] [CrossRef]
- Dupont, Q.; Karpoff, J.M. The Trust Triangle: Laws, Reputation, and Culture in Empirical Finance Research. J. Bus. Ethics 2020, 163, 217–238. [Google Scholar] [CrossRef]
- Ahlf, H.; Horak, S.; Klein, A.; Yoon, S.-W. Demographic homophily, communication and trust in intra-organizational business relationships. J. Bus. Ind. Mark. 2019, 34, 474–487. [Google Scholar] [CrossRef]
- Fu, C.; Yang, S.; Zhai, M.; Yong, T.; Zheng, C.; Ma, X.; Hou, G.; Su, P. The component and structure of interpersonal trust. Heliyon 2024, 10, e30071. [Google Scholar] [CrossRef]
- Zhang, Y.J.J.; Chen, X.; Gao, L.; Dong, Y.C.; Pedryczc, W. Consensus reaching with trust evolution in social network group decision making. Expert Syst. Appl. 2022, 188, 116022. [Google Scholar] [CrossRef]
- Druckman, D.; Lewicki, R.J.; Doyle, S.P. Repairing violations of trustworthiness in negotiation. J. Appl. Soc. Psychol. 2019, 49, 145–158. [Google Scholar] [CrossRef]
- Morgan, R.M.; Hunt, S.D. The Commitment-Trust Theory of Relationship Marketing. J. Mark. 1994, 58, 20–38. [Google Scholar] [CrossRef]
- Engebø, A.; Klakegg, O.J.; Lohne, J.; Bohne, R.A.; Fyhn, H.; Lædre, O. High-performance building projects: How to build trust in the team. Archit. Eng. Des. Manag. 2022, 18, 774–790. [Google Scholar] [CrossRef]
- Shang, K.J.; Wu, J.; Cao, Y.Y. Study on the Impact of Trust and Contract Governance on Project Management Performance in the Whole Process Consulting Project-Based on the SEM and fsQCA Methods. Buildings 2023, 13, 3006. [Google Scholar] [CrossRef]
- Cheng, J.; Zhang, L.; Chen, J.; Jiang, L.; Lin, Y. How Does Relational Governance Affect Knowledge Collaboration in Integrated Project Delivery? A Transactive Memory System Process. Eng. Manag. J. 2023, 35, 299–312. [Google Scholar] [CrossRef]
- Rousseau, D.M.; Sitkin, S.B.; Burt, R.S.; Camerer, C. Not so different after all: A cross-discipline view of trust. Acad. Manag. Rev. 1998, 23, 393–404. [Google Scholar] [CrossRef]
- Kramer, R.M.; Tyler, T.R. Trust in Organizations: Frontiers of Theory and Research; Sage: Los Angeles, CA, USA, 1996. [Google Scholar]
- Ureña, R.; Kou, G.; Dong, Y.; Chiclana, F.; Herrera-Viedma, E. A review on trust propagation and opinion dynamics in social networks and group decision making frameworks. Inf. Sci. 2019, 478, 461–475. [Google Scholar] [CrossRef]
- Laan, A.; Voordijk, H.; Noorderhaven, N.; Dewulf, G. Levels of Interorganizational Trust in Construction Projects: Empirical Evidence. J. Constr. Eng. Manag. 2012, 138, 821–831. [Google Scholar] [CrossRef]
- Yan, L.; Pan, Y.C.; Chen, Y.C. Understanding the Double-Edged Sword Effect of Contract Flexibility on Contractor’s Opportunistic Behavior in Construction Project: Moderating Role of BIM Application Degree. J. Constr. Eng. Manag. 2024, 150, 04024124. [Google Scholar] [CrossRef]
- Liu, J.; Wang, Z.; Skitmore, M.; Yan, L. How Contractor Behavior Affects Engineering Project Value-Added Performance. J. Manag. Eng. 2019, 35, 04019012. [Google Scholar] [CrossRef]
- Fabrice, L.; Wang, W.Q.; Oliver, S. Blockchain Governance—A New Way of Organizing Collaborations? Organ. Sci. 2021, 32, 500–521. [Google Scholar]
- Zhang, T.; Qian, L.P. Investing in IT: A new method for improving the efficiency of contract governance in interfirm relationships. Ind. Manag. Data Syst. 2020, 120, 1245–1262. [Google Scholar] [CrossRef]
- Barney, J.; Hansen, M. Competitive Organizational Behavior-Trustworthiness as a Source of Competitive Advantage. Strateg. Manag. J. 1994, 15, 175–190. [Google Scholar] [CrossRef]
- Ahmad, R.; Nawaz, M.R.; Ishaq, M.I.; Khan, M.M.; Ashraf, H.A. Social exchange theory: Systematic review and future directions. Front. Psychol. 2023, 13, 1015921. [Google Scholar] [CrossRef]
- Li, X.; Zhu, P.; Yu, Y.; Zhang, J.; Zhang, Z. The effect of reciprocity disposition on giving and repaying reciprocity behavior. Personal. Individ. Differ. 2017, 109, 201–206. [Google Scholar] [CrossRef]
- Deng, Y.; Wang, C.S.; Aime, F.; Wang, L.; Sivanathan, N.; Kim, Y.C. Culture and Patterns of Reciprocity: The Role of Exchange Type, Regulatory Focus, and Emotions. Personal. Soc. Psychol. Bull. 2021, 47, 20–41. [Google Scholar] [CrossRef]
- Tian, B.; Fu, J.X.; Xu, Y.S.; Sun, L.S. How does contract flexibility affect the sustainability performance of public-private partnership projects? A serial multiple mediator model. Eng. Constr. Archit. Manag. 2022, 31, 28–47. [Google Scholar] [CrossRef]
- Seepana, C.; Khraishi, A.; Huq, F.A. Offshore outsourcing of innovation by SMEs: A 4F perspective of governance. Supply Chain Manag.-Int. J. 2022, 27, 663–680. [Google Scholar] [CrossRef]
- Teng, Y.; Li, X.; Wu, P.; Wan, X. Using cooperative game theory to determine profit distribution in IPD projects. Int. J. Constr. Manag. 2019, 19, 32–45. [Google Scholar] [CrossRef]
- Schoenherr, T.; Narayanan, S.; Narasimhan, R. Trust Formation in Outsourcing Relationships: A Social Exchange Theoretic Perspective. Int. J. Prod. Econ. 2015, 169, 401–412. [Google Scholar] [CrossRef]
- Ameyaw, E.E.; Edwards, D.J.; Kumar, B.; Thurairajah, N.; Owusu-Manu, D.-G.; Oppong, G.D. Critical Factors Influencing Adoption of Blockchain-Enabled Smart Contracts in Construction Projects. J. Constr. Eng. Manag. 2023, 149, 04023003. [Google Scholar] [CrossRef]
- Liu, T.; Chong, H.-Y.; Zhang, W.; Lee, C.-Y.; Tang, X. Effects of Contractual and Relational Governances on BIM Collaboration and Implementation for Project Performance Improvement. J. Constr. Eng. Manag. 2023, 148, 04022029. [Google Scholar] [CrossRef]
- Conrads, J.; Lotz, S. The effect of communication channels on dishonest behavior. J. Behav. Exp. Econ. 2015, 58, 88–93. [Google Scholar] [CrossRef]
- Tchupo, D.E.; Kim, J.H.; Macht, G.A. Fuzzy cognitive maps (FCMs) for the analysis of team communication. Appl. Ergon. 2020, 83, 102979. [Google Scholar] [CrossRef]
- Suleiman, A. Causes and effects of poor communication in the construction industry in the mena region. J. Civ. Eng. Manag. 2022, 28, 365–376. [Google Scholar] [CrossRef]
- Butt, A.; Naaranoja, M.; Savolainen, J. Project change stakeholder communication. Int. J. Proj. Manag. 2016, 34, 1579–1595. [Google Scholar] [CrossRef]
- Gouldner, A.W. The Norm of Reciprocity: A Preliminary Statement. Am. Sociol. Rev. 1960, 25, 161–178. [Google Scholar] [CrossRef]
- Song, H.; Hou, J.; Tang, S. From Contractual Flexibility to Contractor’s Cooperative Behavior in Construction Projects: The Multiple Mediation Effects of Ongoing Trust and Justice Perception. Sustainability 2021, 13, 13654. [Google Scholar] [CrossRef]
- Harris, A.; Giunipero, L.C.; Hult, G.T.M. Impact of Organizational and Contract Flexibility on Outsourcing Contracts. Ind. Mark. Manag. 1998, 27, 373–384. [Google Scholar] [CrossRef]
- Yan, L.; Zhang, S.R.; Zheng, T. The dynamic relationship between contract governance and trust and project management performance: An integrated analysis perspective of the whole process of contracting in the context of construction projects. Manag. Rev. 2022, 34, 251–264. [Google Scholar]
- Chen, M.L.; Yin, Y.L.; Peng, F. Opening the Schrdinger black box between flexible contract and agent behaviorA competitive mediation model based on principal-agent and contract reference point. Manag. Rev. 2021, 33, 263–277. [Google Scholar]
- Wang, Y.H.; Tian, P.Y.; Chen, D. Contract, network or hierarchy? Selecting governance mechanisms in megaprojects from the perspective of contractor alliances. Prod. Plan. Control. 2024; Early Access. [Google Scholar] [CrossRef]
- Johnson, J.D.; Donohue, W.A.; Atkin, C.K.; Johnson, S. Differences Between Formal and Informal Communication Channels. J. Bus. Commun. 1994, 31, 111–122. [Google Scholar] [CrossRef]
- Luo, L.; Liu, Y.; Yang, Y.; Xie, J.; Wu, G. Interactive roles of megaproject governance mechanisms and their effects on governance performance. Eng. Constr. Archit. Manag. 2024; Early Access. [Google Scholar] [CrossRef]
- Wu, G.; Liu, C.; Zhao, X.; Zuo, J. Investigating the relationship between communication-conflict interaction and project success among construction project teams. Int. J. Proj. Manag. 2017, 35, 1466–1482. [Google Scholar] [CrossRef]
- Roehrich, J.K.; Davies, A.; Tyler, B.B.; Mishra, A.; Bendoly, E. Large interorganizational projects (LIPs): Toward an integrative perspective and research agenda on interorganizational governance. J. Oper. Manag. 2024, 70, 4–21. [Google Scholar] [CrossRef]
- Wang, D.; Fang, S.; Fu, H. Impact of Control and Trust on Megaproject Success: The Mediating Role of Social Exchange Norms. Adv. Civ. Eng. 2019, 2019, 4850921. [Google Scholar] [CrossRef]
- Jordan, M.I.; Ghahramani, Z.; Jaakkola, T.S.; Saul, L.K. An Introduction to Variational Methods for Graphical Models. Learn. Graph. Models 1998, 37, 105–161. [Google Scholar] [CrossRef]
- Lewicki, R.J.; Bunker, B.B. Trust in relationships: A model of development and decline. In Conflict, Cooperation, and Justice: Essays Inspired by the Work of Morton Deutsch; Bunker, B.B., Rubin, J.Z., Eds.; Jossey-Bass/Wiley: Hoboken, NJ, USA, 1995; pp. 133–173. [Google Scholar]
Disclaimer/Publisher’s Note: The statements, opinions and data contained in all publications are solely those of the individual author(s) and contributor(s) and not of MDPI and/or the editor(s). MDPI and/or the editor(s) disclaim responsibility for any injury to people or property resulting from any ideas, methods, instructions or products referred to in the content. |
© 2024 by the authors. Licensee MDPI, Basel, Switzerland. This article is an open access article distributed under the terms and conditions of the Creative Commons Attribution (CC BY) license (https://creativecommons.org/licenses/by/4.0/).