Research on the Properties of Nano-Al2O3- and Nano-SiO2-Modified Bio-Asphalt and Mixtures
Abstract
1. Introduction
2. Test Materials and Methods
2.1. Original Materials
2.1.1. Asphalt
2.1.2. Bio-Oil
2.1.3. Nanomaterial
2.1.4. Aggregate
2.1.5. Gradation
2.2. Preparation Process of Modified Asphalt
2.3. Test Methods
2.3.1. Basic Characteristics Test
2.3.2. Aging Test
2.3.3. Brookfield Rotational Viscosity Test (BRV)
2.3.4. Temperature Sweep (TS) Tests
2.3.5. Multiple Stress Creep Recovery (MSCR) Tests
2.3.6. Bending Beam Rheology (BBR) Test
2.3.7. Asphalt Mixture Road Performance Test
3. Test Results and Discussion
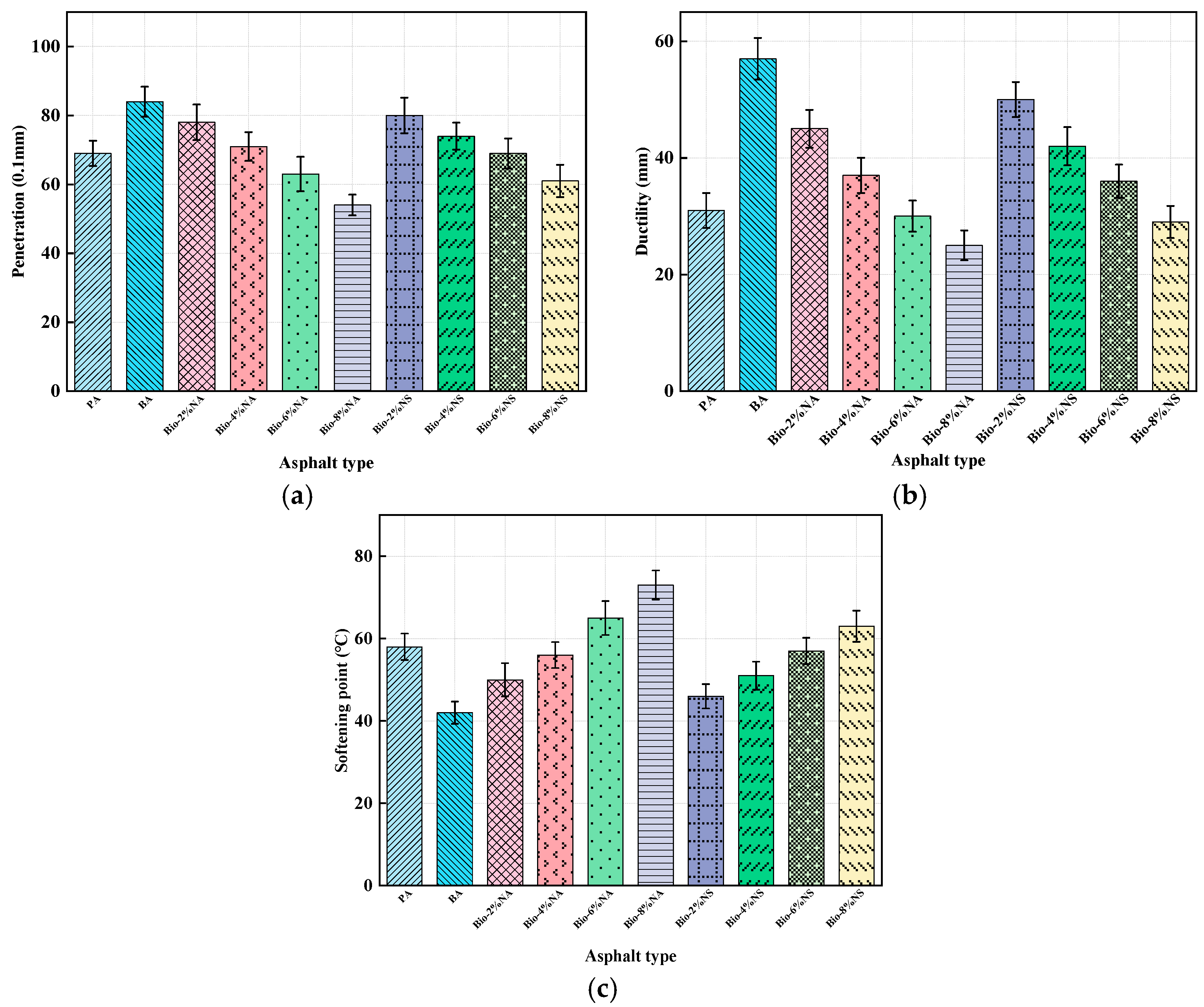
3.1. Basic Characteristic Analysis
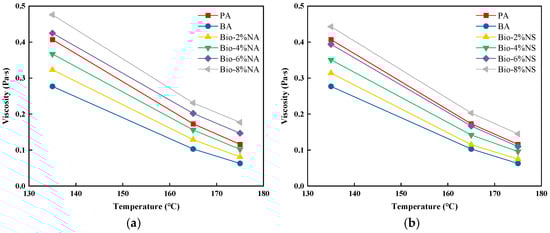
3.2. BRV Analysis
3.3. TS Result Analysis
3.4. Anti-Aging Characteristic Analysis
3.5. MSCR Result Analysis
3.6. BBR Result Analysis
3.7. Road Behavior Analysis
4. Conclusions
- (1)
- Incorporating bio-oil reduced the temperature sensitivity, high-temperature characteristics, and anti-aging characteristics of PA, but the low-temperature cracking resistance was dramatically strengthened.
- (2)
- The incorporation of NA and NS improved the temperature sensitivity, high-temperature characteristics, and anti-aging capability of BA. At −12 °C, the S and m indexes display that incorporating NA and NS will negatively affect the low-temperature capability of BA.
- (3)
- Combining the results of the high- and low-temperature capability of NMBA, an NA content between 4 and 6% or an NS content between 6 and 8% can realize the enhancement of BA’s high-temperature and anti-aging capability, and the low-temperature capability is better than that of PA. Through the adjustment of the content of nanomaterials, the performance of BA can be adjustable and designable.
- (4)
- When the NA dosage was 4–6% or the NS dosage was 6–8%, the dynamic stability, cracking resistance, and water loss resistance of the NMBAMs met the specification requirements.
Author Contributions
Funding
Data Availability Statement
Conflicts of Interest
References
- Zhang, Z.; Fang, Y.; Yang, J.; Li, X. A comprehensive review of bio-oil, bio-binder and bio-asphalt materials: Their source, composition, preparation and performance. J. Traffic Transp. Eng. (Engl. Ed.) 2022, 9, 151–166. [Google Scholar] [CrossRef]
- Al-Sabaeei, A.M.; Napiah, M.B.; Sutanto, M.H.; Alaloul, W.S.; Usman, A. A systematic review of bio-asphalt for flexible pavement applications: Coherent taxonomy, motivations, challenges and future directions. J. Clean. Prod. 2020, 249, 119357. [Google Scholar] [CrossRef]
- Dong, R.; Zhao, M.; Tang, N. Characterization of crumb tire rubber lightly pyrolyzed in waste cooking oil and the properties of its modified bitumen. Constr. Build. Mater. 2019, 195, 10–18. [Google Scholar] [CrossRef]
- Mills-Beale, J.; You, Z.; Fini, E.; Zada, B.; Lee, C.H.; Yap, Y.K. Aging Influence on Rheology Properties of Petroleum-Based Asphalt Modified with Biobinder. J. Mater. Civ. Eng. 2014, 26, 358–366. [Google Scholar] [CrossRef]
- Wang, H.; Ma, Z.; Chen, X.; Hasan, M.R.M. Preparation process of bio-oil and bio-asphalt, their performance, and the application of bio-asphalt: A comprehensive review. J. Traffic Transp. Eng. (Engl. Ed.) 2020, 7, 137–151. [Google Scholar]
- Bridgwater, A.V. Review of fast pyrolysis of biomass and product upgrading. Biomass Bioenergy 2012, 38, 68–94. [Google Scholar] [CrossRef]
- Yadykova, A.Y.; Ilyin, S.O. Bitumen improvement with bio-oil and natural or organomodified montmorillonite: Structure, rheology, and adhesion of composite asphalt binders. Constr. Build. Mater. 2023, 364, 129919. [Google Scholar] [CrossRef]
- Zhang, R.; Shi, Q.; Hu, P.; Ji, J.; Suo, Z. Influence of castor oil-based bio-oil on the properties and microstructure of asphalt binder. Constr. Build. Mater. 2023, 408, 133564. [Google Scholar] [CrossRef]
- Raouf, M.A.; Williams, C.R. General Rheological Properties of Fractionated Switchgrass Bio-Oil as a Pavement Material. Road Mater. Pavement Des. 2010, 11 (Suppl. S1), 325–353. [Google Scholar] [CrossRef]
- Alessio, M.; Giulia, T.; Piergiorgio, T.; Ernesto, S.; Cesare, S. Use of bio-based products towards more sustainable road paving binders: A state-of-the-art review. J. Road Eng. 2024, 4, 151. [Google Scholar]
- Xue, Z.; Hui, L.; Harvey, J.T.; Butt, A.A.; Ming, J.; Jiawen, L. A review of converting woody biomass waste into useful and eco-friendly road materials. Transp. Saf. Environ. 2022, 4, tdab031. [Google Scholar]
- Wen, H.; Bhusal, S.; Wen, B. Laboratory Evaluation of Waste Cooking Oil-Based Bioasphalt as an Alternative Binder for Hot Mix Asphalt. J. Mater. Civ. Eng. 2013, 25, 1432–1437. [Google Scholar] [CrossRef]
- Williams, R.C.; Satrio, J.; Rover, M.; Brown, R.C.; Teng, S. Utilization of Fractionated Bio-Oil in Asphalt. In Proceedings of the 88th Annual Meeting of the Transportation Research Board, Washington, DC, USA, 11–15 January 2009. [Google Scholar]
- You, Z.; Mills-Beale, J.; Fini, E.; Goh, S.W.; Colbert, B. Evaluation of Low-Temperature Binder Properties of Warm-Mix Asphalt, Extracted and Recovered RAP and RAS, and Bioasphalt. J. Mater. Civ. Eng. 2011, 23, 1569–1574. [Google Scholar] [CrossRef]
- Fini, E.; Yang, S.H.; Xiu, S. Characterization and application of manure-based bio-binder in asphalt industry. In Proceedings of the Transportation Research Board 89th Annual Meeting, Washington DC, USA, 10–14 January 2010. [Google Scholar]
- Fini, E.H.; Kalberer, E.W.; Shahbazi, A.; Basti, M.; You, Z.; Ozer, H.; Aurangzeb, Q. Chemical characterization of biobinder from swine manure: Sustainable modifier for asphalt binder. J. Mater. Civ. Eng. 2011, 23, 1506–1513. [Google Scholar] [CrossRef]
- Yang, X.; You, Z.-P.; Dai, Q.-L. Performance Evaluation of Asphalt Binder Modified by Bio-oil Generated from Waste Wood Resources. Int. J. Pavement Res. Technol. 2013, 6, 431–439. [Google Scholar]
- Caro, S.; Vega, N.; Husserl, J.; Alvarez, A.E. Studying the impact of biomodifiers produced from agroindustrial wastes on asphalt binders. Constr. Build. Mater. 2016, 126, 369–380. [Google Scholar] [CrossRef]
- Sun, Z.; Yi, J.; Huang, Y.; Feng, D.; Guo, C. Properties of asphalt binder modified by bio-oil derived from waste cooking oil. Constr. Build. Mater. 2016, 102, 496–504. [Google Scholar] [CrossRef]
- Yan, K.; Zhang, M.; You, L.; Wu, S.; Ji, H. Performance and optimization of castor beans-based bio-asphalt and European rock-asphalt modified asphalt binder. Constr. Build. Mater. 2020, 240, 117951. [Google Scholar] [CrossRef]
- Zhang, R.; Wang, H.; Gao, J.; You, Z.; Yang, X. High temperature performance of SBS modified bio-asphalt. Constr. Build. Mater. 2017, 144, 99–105. [Google Scholar] [CrossRef]
- Hou, G.; Xue, Y.; Li, Z.; Lu, W. Rheological Properties of Silica-Fume-Modified Bioasphalt and Road Performance of Mixtures. Materials 2024, 17, 2090. [Google Scholar] [CrossRef]
- Zheng, W.; Wang, H.; You, Z.; Shao, L.; Golroo, A.; Chen, Y. Mechanism and rheological characterization of MDI modified wood-based bio-oil asphalt. Constr. Build. Mater. 2021, 309, 125113. [Google Scholar] [CrossRef]
- Chen, Y.; Ji, C.; Wang, H.; Su, Y. Evaluation of crumb rubber modification and short-term aging on the rutting performance of bioasphalt. Constr. Build. Mater. 2018, 193, 467–473. [Google Scholar] [CrossRef]
- Fernandes, S.R.M.; Silva, H.M.R.D.; Oliveira, J.R.M. Developing enhanced modified bitumens with waste engine oil products combined with polymers. Constr. Build. Mater. 2018, 160, 714–724. [Google Scholar] [CrossRef]
- Lei, Y.; Wang, H.; Chen, X.; Yang, X.; You, Z.; Dong, S.; Gao, J. Shear property, high-temperature rheological performance and low-temperature flexibility of asphalt mastics modified with bio-oil. Constr. Build. Mater. 2018, 174, 30–37. [Google Scholar] [CrossRef]
- Xiaocui, Z.; Guangyuan, Z.; Jiasheng, G.; Jiaolong, R. Study on preparation and pavement properties of high performance modified bio-asphalt binder. J. Shandong Univ. Technol. (Nat. Sci. Ed.) 2020, 34, 28–32. [Google Scholar]
- Bhat, F.S.; Gilani, T.A.; Din, I.M.U.; Aziz, G.; Mir, M.S.; Shah, A.H.; Sheikh, I.R.; Mudasir, P. Integration of nano Al2O3 and nano SiO2 in asphalt mixes: A comprehensive performance and durability evaluation. Constr. Build. Mater. 2024, 412, 134687. [Google Scholar] [CrossRef]
- Goh, S.W.; Akin, M.; You, Z.; Shi, X. Effect of deicing solutions on the tensile strength of micro- or nano-modified asphalt mixture. Constr. Build. Mater. 2011, 25, 195–200. [Google Scholar] [CrossRef]
- Amirkhanian, A.N.; Xiao, F.; Amirkhanian, S.N. Evaluation of High Temperature Rheological Characteristics of Asphalt Binder with Carbon Nano Particles. J. Test. Eval. 2010, 39, 583–591. [Google Scholar] [CrossRef]
- Calandra, P.; Loise, V.; Porto, M.; Oliviero Rossi, C.; Lombardo, D.; Caputo, P. Exploiting Nanoparticles to Improve the Properties of Bitumens and Asphalts: At What Extent Is It Really Worth It? Appl. Sci. 2020, 10, 5230. [Google Scholar] [CrossRef]
- Ashish, P.K.; Singh, D. Use of nanomaterial for asphalt binder and mixtures: A comprehensive review on development, prospect, and challenges. Road Mater. Pavement Des. 2021, 22, 492–538. [Google Scholar] [CrossRef]
- Fini, E.H.; Hajikarimi, P.; Rahi, M.; Moghadas Nejad, F. Physiochemical, Rheological, and Oxidative Aging Characteristics of Asphalt Binder in the Presence of Mesoporous Silica Nanoparticles. J. Mater. Civ. Eng. 2016, 28, 04015133. [Google Scholar] [CrossRef]
- Xu, X.; Guo, H.; Wang, X.; Zhang, M.; Wang, Z.; Yang, B. Physical properties and anti-aging characteristics of asphalt modified with nano-zinc oxide powder. Constr. Build. Mater. 2019, 224, 732–742. [Google Scholar] [CrossRef]
- Bach Le, V.; Phuc Le, V. Performance evaluation of carbon nanotubes as a binder modifier for asphalt mixtures. Int. J. Civ. Eng. 2021, 19, 1143–1153. [Google Scholar] [CrossRef]
- Eisa, M.S.; Mohamady, A.; Basiouny, M.E.; Abdulhamid, A.; Kim, J.R. Mechanical properties of asphalt concrete modified with carbon nanotubes (CNTs). Case Stud. Constr. Mater. 2022, 16, e00930. [Google Scholar] [CrossRef]
- Xue, Y.; Liu, C.; Lv, S.; Ge, D.; Ju, Z.; Fan, G. Research on rheological properties of CNT-SBR modified asphalt. Constr. Build. Mater. 2022, 361, 129587. [Google Scholar] [CrossRef]
- Golestani, B.; Nam, B.H.; Moghadas Nejad, F.; Fallah, S. Nanoclay application to asphalt concrete: Characterization of polymer and linear nanocomposite-modified asphalt binder and mixture. Constr. Build. Mater. 2015, 91, 32–38. [Google Scholar] [CrossRef]
- Miglietta, F.; Underwood, B.S.; Tsantilis, L.; Baglieri, O.; Kaloush, K.E.; Santagata, E. Fatigue properties of nano-reinforced bituminous mixtures: A viscoelastic continuum damage approach. Int. J. Pavement Res. Technol. 2018, 11, 766–773. [Google Scholar] [CrossRef]
- Ameri, M.; Mohammadi, R.; Vamegh, M.; Molayem, M. Evaluation the effects of nanoclay on permanent deformation behavior of stone mastic asphalt mixtures. Constr. Build. Mater. 2017, 156, 107–113. [Google Scholar] [CrossRef]
- Lopes Crucho, J.M.; Coelho das Neves, J.M.; Capitao, S.D.; de Picado-Santos, L.G. Mechanical performance of asphalt concrete modified with nanoparticles: Nanosilica, zero-valent iron and nanoclay. Constr. Build. Mater. 2018, 181, 309–318. [Google Scholar] [CrossRef]
- Hamedi, G.H. Evaluating the effect of asphalt binder modification using nanomaterials on the moisture damage of hot mix asphalt. Road Mater. Pavement Des. 2017, 18, 1375–1394. [Google Scholar] [CrossRef]
- Al-Sabaeei, A.M.; Napiah, M.; Sutanto, M.; Alaloul, W.; Md Yusoff, N.I.; Imran Khan, M.; Modibbo Saeed, S. Physicochemical, rheological and microstructural properties of nano-silica modified bio-asphalt. Constr. Build. Mater. 2021, 297, 123772. [Google Scholar] [CrossRef]
- Xu, L.; Ling, W. Study on rheological properties of nano-SiO2/castor oil composite modified asphalt. West. China Commun. Sci. Technol. 2023, 3, 12–16. [Google Scholar]
- Changjun, B. Study on the influence of nanomaterials on the rheological properties and UV aging resistance of bio asphalt. Highw. Automot. Appl. 2023, 3, 51–56+60. [Google Scholar]
- Yadykova, A.Y.; Shariati, S.; Fini, E.H.; Ilyin, S.O. Novel Bio-Nanocomposite for Asphalt Pavements: Montmorillonite Intercalated with Castor oil. ACS Sustain. Chem. Eng. 2024, 12, 13062–13079. [Google Scholar] [CrossRef]
- JTG E20-2011; Standard Test Methods of Bitumen and Bituminous Mixtures for Highway Engineering—Industry Standard—Transportation. Renmin Communication Press, B.C.: Beijing, China, 2011.
- JTG E42-2005; Test Methods of Aggregate for Highway Engineering—Industry Standard-Traffic. Institute of Highway Science, M. o. C.: Beijing, China, 2005.
- AASHTO T 49-15; Standard Method of Test for Penetration of Bituminous Materials. American Association of State and Highway Transportation Officials: Washington, DC, USA, 2015.
- AASHTO T 53-09; Standard Method of Test for Softening Point of Bitumen (Ring-and-Ball Apparatus). American Association of State and Highway Transportation Officials: Washington, DC, USA, 2006.
- AASHTO T 51-09; Standard Method of Test for Ductility of Asphalt Materials. American Association of State Highway and Transportation Officials: Washington, DC, USA, 2018.
- ASTM D 2872; Test Method for Effect of Heat and Air on a Moving Film of Asphalt (Rolling Thin-Film Oven Test). American Society for Testing Materials: West Conshohocken, PA, USA, 2012.
- ASTM D 6521; Accelerated Aging of Asphalt Binder Using a Pressurized Aging Vessel (PAV). American Society for Testing Materials: West Conshohocken, PA, USA, 2012.
- AASHTO T 316; Viscosity Determination of Asphalt Binder Using Rotational Viscometer. American Association of State and Highway Transportation Officials: Washington, DC, USA, 2017.
- AASHTO T 315-20; Standard Method of Test for Determining the Rheological Properties of Asphalt Binder Using a Dynamic Shear Rheometer (DSR). American Association of State Highway and Transportation Officials: Washington, DC, USA, 2010.
- AASHTO T 313-19; Standard Method of Test for Determining the Flexural Creep Stiffness of Asphalt Binder Using the Bending Beam Rheometer (BBR). American Association of State Highway and Transportation Officials: Washington, DC, USA, 2006.
- Xue, Y.; Liu, C.; Qu, J.; Lv, S.; Ju, Z.; Ding, S.; An, H.; Ren, K. Research on pavement performance of recycled asphalt mixture based on separation technology of asphalt and aggregate in RAP. Constr. Build. Mater. 2023, 393, 132103. [Google Scholar] [CrossRef]
- Xue, Y.; Liu, C.; Shi, Q.; Ju, Z.; Fan, G.; Zhang, C.; Lv, S. Road performance and mechanism of Hot in-place recycling asphalt mixture modified by direct-to-plant SBS. Constr. Build. Mater. 2024, 416, 135122. [Google Scholar] [CrossRef]













| Parameters | Results | Requirement |
|---|---|---|
| Penetration (25 °C)/0.1 mm | 69 | 60~80 |
| Ductility (10 °C)/cm | 31 | ≥15 |
| Softening point/°C | 58 | ≥45 |
| 60 °C dynamic viscosity/Pa·s | 199 | ≥160 |
| Residue after RTFOT | ||
| Quality changes | −0.083 | ≤±0.8 |
| Residual penetration ratio (25 °C) | 81 | ≥61 |
| Parameters | Results |
|---|---|
| Density (15 °C)/(g/mL) | 0.95 |
| Viscosity (60 °C)/(Pa·s) | 127 |
| Acid value/(mgKOH/g) | 51 |
| Moisture content/% | ≤0.3 |
| Ignition point/°C | 244 |
| Flash point/°C | 210 |
| Fatty acid content/% | 65 |
| Property | Test Results | |
|---|---|---|
| NS | NA | |
| Appearance | White powder | White powder |
| Purity | ≥99.9 | ≥99.9 |
| Average particle size/nm | 30–50 | 30–50 |
| Specific surface area/m2/g | 200–250 | 100–160 |
| Property | Results | Requirement |
|---|---|---|
| Los Angeles abrasion test/% | 25 | ≤28 |
| Crushing value/% | 11.3 | ≤28 |
| Acicular and flaky grain in aggregate/% | 10 | ≤15 |
| Mud content/% | ≤0.4 | ≤1 |
| Property | Results | Requirement |
|---|---|---|
| Water absorption/% | 0.6 | ≤2.0 |
| Mud content/% | 1.8 | ≤3 |
| Sand equivalent/% | 70 | ≥60 |
| Sieve Size (mm) | 16 | 13.2 | 9.5 | 4.75 | 2.36 | 1.18 | 0.6 | 0.3 | 0.15 | 0.075 |
|---|---|---|---|---|---|---|---|---|---|---|
| Gradation upper limit | 100 | 100 | 85 | 68 | 50 | 38 | 28 | 20 | 15 | 8 |
| Lower gradation limit | 100 | 90 | 68 | 38 | 24 | 15 | 10 | 7 | 5 | 4 |
| Target grade | 100 | 95 | 74 | 48.5 | 34 | 23.5 | 15 | 11 | 8.5 | 6 |
| Nanomaterial | NMBA | ||||
|---|---|---|---|---|---|
| Dosage of Nanomaterials/% | |||||
| 0 | 2 | 4 | 6 | 8 | |
| NA | BA | Bio + 2%NA | Bio + 4%NA | Bio + 6%NA | Bio + 8%NA |
| NS | Bio + 2%NS | Bio + 4%NS | Bio + 6%NS | Bio + 8%NS | |
| Types of Asphalt | R2 | ||
|---|---|---|---|
| PA | 2.424 | 6.748 | 0.987 |
| BA | 3.138 | 8.584 | 0.981 |
| Bio + 2%NA | 2.810 | 7.737 | 0.981 |
| Bio + 4%NA | 2.516 | 6.980 | 0.983 |
| Bio + 6%NA | 1.993 | 5.625 | 0.992 |
| Bio + 8%NA | 1.844 | 5.242 | 0.998 |
| Bio + 2%NS | 2.978 | 8.173 | 0.997 |
| Bio + 4%NS | 2.600 | 7.194 | 0.991 |
| Bio + 6%NS | 2.476 | 6.882 | 0.985 |
| Bio + 8%NS | 2.109 | 5.931 | 0.992 |
| Types of Asphalt | PG Grading |
|---|---|
| PA | PG64 |
| BA | PG52 |
| Bio-2%NA | PG58 |
| Bio-4%NA | PG64 |
| Bio-6%NA | PG70 |
| Bio-8%NA | PG70 |
| Bio-2%NS | PG58 |
| Bio-4%NS | PG58 |
| Bio-6%NS | PG64 |
| Bio-8%NS | PG64 |
Disclaimer/Publisher’s Note: The statements, opinions and data contained in all publications are solely those of the individual author(s) and contributor(s) and not of MDPI and/or the editor(s). MDPI and/or the editor(s) disclaim responsibility for any injury to people or property resulting from any ideas, methods, instructions or products referred to in the content. |
© 2024 by the authors. Licensee MDPI, Basel, Switzerland. This article is an open access article distributed under the terms and conditions of the Creative Commons Attribution (CC BY) license (https://creativecommons.org/licenses/by/4.0/).
Share and Cite
Qiao, W.; Yuan, F.; Xu, X.; Wang, Q. Research on the Properties of Nano-Al2O3- and Nano-SiO2-Modified Bio-Asphalt and Mixtures. Buildings 2024, 14, 3366. https://doi.org/10.3390/buildings14113366
Qiao W, Yuan F, Xu X, Wang Q. Research on the Properties of Nano-Al2O3- and Nano-SiO2-Modified Bio-Asphalt and Mixtures. Buildings. 2024; 14(11):3366. https://doi.org/10.3390/buildings14113366
Chicago/Turabian StyleQiao, Wei, Feilong Yuan, Xiaojian Xu, and Qingzhou Wang. 2024. "Research on the Properties of Nano-Al2O3- and Nano-SiO2-Modified Bio-Asphalt and Mixtures" Buildings 14, no. 11: 3366. https://doi.org/10.3390/buildings14113366
APA StyleQiao, W., Yuan, F., Xu, X., & Wang, Q. (2024). Research on the Properties of Nano-Al2O3- and Nano-SiO2-Modified Bio-Asphalt and Mixtures. Buildings, 14(11), 3366. https://doi.org/10.3390/buildings14113366
