Global and Local Shear Behavior of the Frozen Soil–Concrete Interface: Effects of Temperature, Water Content, Normal Stress, and Shear Rate
Abstract
1. Introduction
2. Materials and Methods
2.1. Sample Preparation
2.2. Test Apparatus
2.3. Test Method
3. Results
3.1. Shear Stress-Shear Displacement Curve
3.2. Curve Peak Shear Strength
3.3. Shear Strength Parameters
3.4. Mesoscopic Deformation Characteristics of Shear Bands
3.4.1. Non-Uniform Deformation of the Interface
3.4.2. Effect of Temperature
3.4.3. Effect of Water Content
3.4.4. Effect of Shear Rate
4. Conclusions
- It is evident that there are discernible distinctions in the characteristics of the shear stress–shear displacement curve at positive temperatures (20 °C) and negative temperatures (−2 °C, −4 °C, −6 °C). The absence of an evident stress peak at 20 °C suggests that the material displays stress-strain-hardening characteristics. At negative temperatures, the adhesive ice enhances interfacial cohesion, thereby causing the shear stress–shear displacement curve to exhibit strain softening. This phenomenon becomes increasingly pronounced as the temperature decreases.
- In the frozen state, there is a notable variation in the interface shear strength due to the distance ice-water phase transition after the temperature drops below freezing. At a temperature of −6 °C, the water content rises from 10% to 19% at 100 kPa, accompanied by a corresponding rise in the peak shear strength, which increases from 139.2 kPa to 194.3 kPa. A decrease in temperature from 20 °C to −6 °C was observed at 16% water content and 100 kPa, accompanied by an increase in shear strength from 99.9 kPa to 182.9 kPa. It was observed that the residual shear strength was significantly influenced by the normal stress. When the water content was 19% and the temperature was −6 °C, the normal stress increased from 25 kPa to 100 kPa, and the residual shear strength increased from 44.5 kPa to 107.6 kPa.
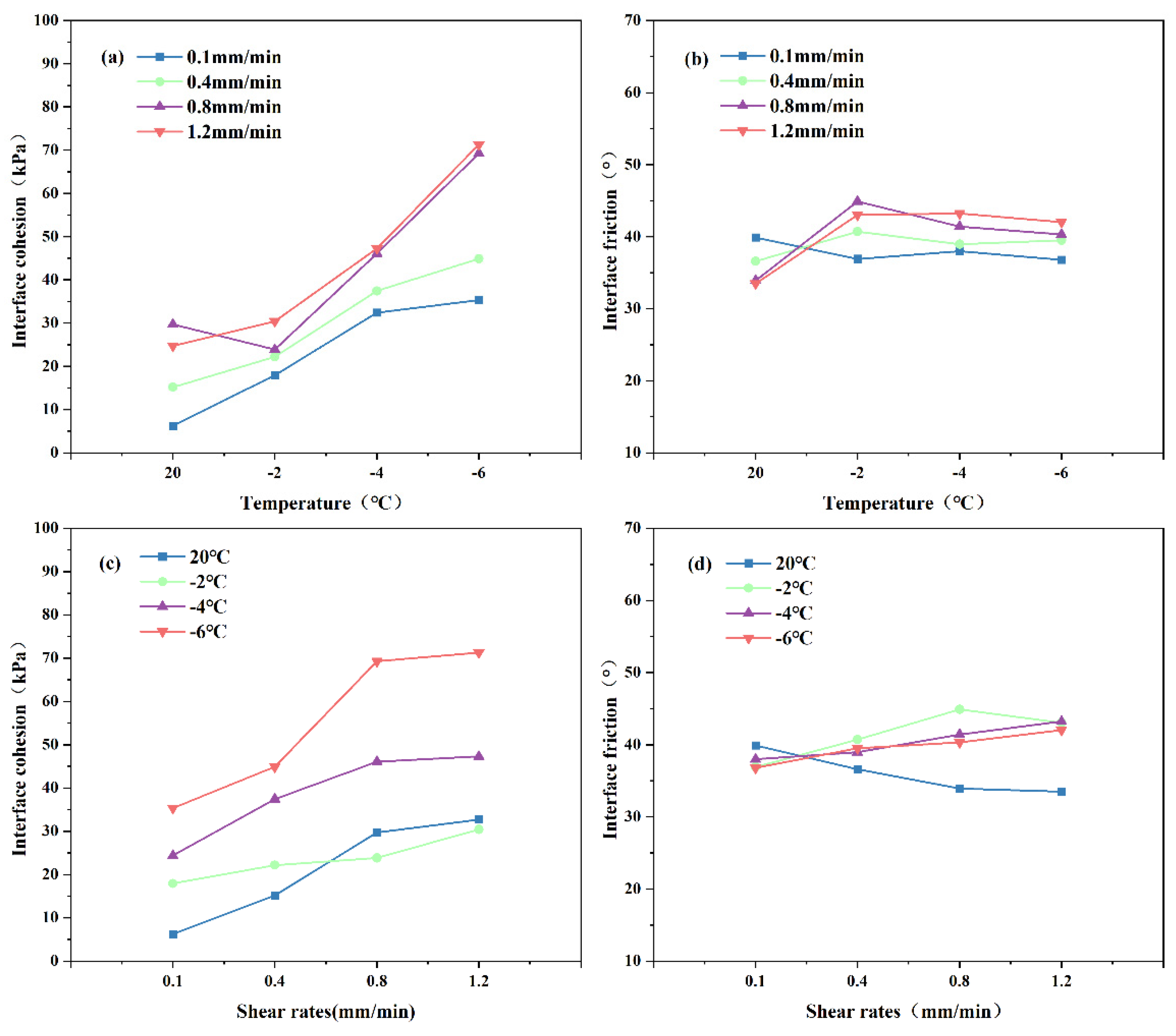
- The rate-dependent and temperature-dependent properties of ice result in a significant influence of the shear rate and temperature on the peak shear strength, with the primary factor being the effect on the interface cohesion. The curve demonstrates hardening characteristics when v = 0.1 mm/min; however, it exhibits strain-softening characteristics at other shear rates. As v increases and T decreases, the softening phenomenon becomes more pronounced. In a negative temperature environment, a minor proportion of the cemented ice that is continually disrupted at the interface will refreeze during the shearing process. The lower the temperature, the more pronounced this phenomenon will be, resulting in greater shear stress at a rate of 0.1 mm/min than at a rate of 0.4 mm/min after the shear has stabilized. At a higher shear rate, the time available for particles at the interface to rearrange is shorter, allowing for the gradual increase in interface shear strength to be explained.
- The influence of the stress and deformation transfer process on the interfacial soil is evidenced by the significant strain-localization characteristics observed in shear, as evidenced by the DIC analyses conducted at a temperature of −4 °C, under a normal stress of 25 kPa and a water content of 16%. The closer the point of observation is to the interface, the greater the X-axis displacement. The peak value is reached at a shear displacement of 3.2 mm, at which point the interfacial cemented ice undergoes brittle failure. This is accompanied by a sudden change in the X-axis displacement, which then enters the shear residual stage. This indicates that the DIC analysis corresponds to the macro test data. The soil as a whole undergoes shear compaction during shearing. Prior to the shear displacement of 4 mm, the soil experiences gradual shear compaction as the shear progresses, reaching a peak at 4 mm. At this point, the soil’s ability to resist deformation is diminished, and it reaches a stable state.
Author Contributions
Funding
Data Availability Statement
Conflicts of Interest
References
- Adalaiti; Hou, J.; Yu, S.S. Study and prospect of ice damage prevention and control in Xinjiang’s water conveyance projects. J. Water Resour. Archit. Eng. 2010, 8, 46–49. [Google Scholar]
- Sun, J.; Li, G.; Zhang, Q.; Zhang, H. Stability analysis of earth–rock dam slope on the action of ice cover. J. Heilongjiang Hydraul. Eng. Coll. 1998, 1, 26–28. (In Chinese) [Google Scholar]
- Tian, Y.; Yang, Z.J.; Tai, B.; Li, Y.; Shen, Y. Damage and mitigation of railway embankment drainage trench in warm permafrost: A case study. Eng. Geol. 2019, 261, 105276. [Google Scholar] [CrossRef]
- Parameswaran, V.R. Adfreeze strength of frozen sand to model piles. Can. Geotech. J. 1978, 15, 494–500. [Google Scholar] [CrossRef]
- Li, S.; Lai, Y.; Pei, W.; Zhang, S.; Zhong, H. Moisture–temperature changes and freeze–thaw hazards on a canal in seasonally frozen regions. Nat. Hazards 2014, 72, 287–308. [Google Scholar] [CrossRef]
- Penner, E.; Irwin, W. Adfreezing of leda clay to anchored footing columns. Can. Geotech. J. 1969, 6, 327–337. [Google Scholar] [CrossRef][Green Version]
- Parameswaran, V.R. Creep of model piles in frozen soil. Can. Geotech. J. 1979, 16, 69–77. [Google Scholar] [CrossRef]
- Parameswaran, V.R. Adfreezing strength of ice to model piles. Can. Geotech. J. 1987, 24, 446–452. [Google Scholar] [CrossRef][Green Version]
- Ladanyi, B. Frozen soil–structure interfaces. Stud. Appl. Mech. 1995, 42, 3–33. [Google Scholar]
- Tsytovich, N.; Kronik, Y.; Gavrilov, A.; Vorobyov, E. Mechanical properties of frozen coarse–grained soils. Dev. Geotech. Eng. 1981, 18, 47–53. [Google Scholar] [CrossRef]
- Biggar, K.W.; Sego, D.C. The strength and deformation behaviour of model adfreeze and grouted piples in saline frozen soils. Can. Geotech. J. 2011, 30, 319–337. [Google Scholar] [CrossRef]
- Terashima, T. Comparative experiments on various adfreeze bond strength tests between ice and materials. WIT Trans. Eng. Sci. 1997, 14, 207–216. [Google Scholar]
- Abdi, M.R.; Arjomand, M.A.; Siavoshnia, M. Effect of moisture on soil–geogrid interaction in direct shear test. In Proceedings of the 6th National Congress of Civil Engineering, Semnan, Iran, 26 April 2011. (In Persian). [Google Scholar]
- Iospa, A.; Aksenov, V.; Shmelev, I. Certain results of anti heave and anticorrosion tests of protective coatings for metal foundations on permafrost. Soil Mech. Found. Eng. 2015, 52, 277–281. [Google Scholar] [CrossRef]
- Bergado, D.T.; Ramana, G.V.; Sia, H.I.; Varun. Evaluation of interface shear strength of composite liner system and stability analysis for a landfill lining system in Thailand. Geotext. Geomembr. 2006, 24, 371–393. [Google Scholar] [CrossRef]
- Lee, J.; Kim, Y.; Choi, C. A study for adfreeze bond strength developed between weathered granite soils and aluminum plate. J. Korean Geo. Soc. 2013, 14, 23–30. [Google Scholar]
- Wen, Z.; Yu, Q.; Ma, W.; Dong, S.; Wang, D.; Niu, F.; Zhang, M. Experimental investigation on the effect of fiberglass reinforced plastic cover on adfreeze bond strength. Cold Reg. Sci. Technol. 2016, 131, 108–115. [Google Scholar] [CrossRef]
- Aldaeef, A.A.; Rayhani, M.T. Adfreeze strength and creep behavior of pile foundations in warming permafrost. In Proceedings of the 1st GeoMEast International Congress and Exhibition on Sustainable Civil Infrastructures: Innovative Infrastructure Geotechnology, Sharm Elsheikh, Egypt, 15–19 July 2017; Springer: Cham, Switzerland, 2017; pp. 254–264. [Google Scholar]
- Desai, C.S.; Drumm, E.C.; Zaman, M.M. Cyclic testing and modeling of interfaces. J. Geotech. Eng. 1985, 111, 793–815. [Google Scholar] [CrossRef]
- Liu, J.; Lv, P.; Cui, Y.; Liu, J. Experimental study on direct shear behavior of frozen soil–concrete interface. Cold Reg. Sci. Technol. 2014, 104–105, 1–6. [Google Scholar] [CrossRef]
- Liu, J.; Cui, Y.; Wang, P.; Lv, P. Design and validation of a new dynamic direct shear apparatus for frozen soil. Cold Reg. Sci. Technol. 2014, 106–107, 207–215. [Google Scholar] [CrossRef]
- Lü, P.; Liu, J. An experiment study on direct shear tests of frozen soil–concert interface. J. China Railw. Soc. 2015, 37, 106–110. [Google Scholar]
- Sun, H.; Yang, P.; Wang, G. Monotonic shear mechanical characteristics and affecting factors of interface layers between frozen soil and structure. Trans. Chin. Soc. Agric. Eng. (Trans. CSAE) 2015, 31, 57–62. [Google Scholar]
- Sun, W.; Wu, A.; Hou, K.; Yang, Y.; Liu, L.; Wen, Y. Real–time observation of meso–fracture process in backfill body during mine subsidence using X−ray CT under uniaxial compressive conditions. Constr. Build. Mater. 2016, 113, 153–162. [Google Scholar] [CrossRef]
- Zhao, L.; Yang, P.; Zhang, L.C.; Wang, J.G. Cyclic direct shear behaviors of an artificial frozen soil–structure interface under constant normal stress and sub–zero temperature. Cold Reg. Sci. Technol. 2017, 133, 70–81. [Google Scholar] [CrossRef]
- Pan, R.; Yang, P.; Shi, X.; Zhang, T. Effects of freeze–thaw cycles on the shear stress induced on the cemented sand–structure interface. Constr. Build. Mater. 2023, 371, 130671. [Google Scholar] [CrossRef]
- Fang, R.; Wang, B.; Pan, J.; Liu, J.; Wang, Z.; Wang, Q.; Ling, X. Effect of concrete surface roughness on shear strength of frozen soil–concrete interface based on 3D printing technology. Constr. Build. Mater. 2023, 366, 130158. [Google Scholar] [CrossRef]
- Guo, Z.; Xu, X.; Wang, Y.; Fan, C.; Sang, A.; Fan, L.; Hao, S.; Yan, Z. Significance analysis of the factors influencing the strength of the frozen soil–structure interface and their interactions in different phase transition zones. Case Stud. Therm. Eng. 2023, 50, 103475. [Google Scholar] [CrossRef]
- Wang, B.; Liu, J.; Wang, Q.; Ling, X.; Pan, J.; Fang, R.; Bai, Z. Influence of freeze–thaw cycles on the shear performance of silty clay–concrete interface. Cold Reg. Sci. Technol. 2024, 104120. [Google Scholar] [CrossRef]
- Chang, D.; Yan, Y.; Liu, J.; Xu, A.; Feng, L.; Zhang, M. Micro–macroscopic mechanical behavior of frozen sand based on a large–scale direct shear test. Comput. Geotech. 2023, 159, 105484. [Google Scholar] [CrossRef]
- Yoshimi, Y.; Kishida, T. A Ring Torsion Apparatus for Evaluating Friction Between Soil and Metal Surfaces. Geotech. Test. J. 1981, 4, 8. [Google Scholar] [CrossRef]
- Dyer, M.R.; Milligan, G.W.E. Observation of the Stress Distribution in Crushed Glass with Applications to Soil Reinforcement; University of Oxford: Oxford, UK, 1985. [Google Scholar]
- Ghazavi, M.; Roustaei, M. Freeze–thaw performance of clayey soil reinforced with geotextile layer. Cold Reg. Sci. Technol. 2013, 89, 22–29. [Google Scholar] [CrossRef]
- Doreau-Malioche, J.; Galvis-Castro, A.; Tovar-Valencia, R.; Viggiani, G.; Combe, G.; Prezzi, M.; Salgado, R. Characterising processes at pile–sand interface through digital image analysis and X–ray CT. Géotechnique Lett. 2019, 9, 1–24. [Google Scholar] [CrossRef]
- Zheng, B.; Zhang, D.; Wang, G.; Chen, Z.; Sang, H.; Gao, Y.; Liu, Y. The Behavior of Gravel–Soil Interface During Triaxial Testing of the Mixed Soil. Soil Mech. Found. Eng. 2020, 57, 147–154. [Google Scholar] [CrossRef]
- Khan, R.; Latha, G.M. Multi–scale understanding of sand–geosynthetic interface shear response through Micro–CT and shear band analysis. Geotext. Geomembr. 2023, 51, 437–453. [Google Scholar] [CrossRef]
- White, D.J.; Take, W.A.; Bolton, M.D. Soil deformation measurement using particle image velocimetry (PIV) and photogrammetry. Geotechnique 2003, LIII, 619–631. [Google Scholar] [CrossRef]
- Peters, W.H.; Ranson, W.F. Digital Imaging Techniques in Experiment Stress Analysis. Opt. Eng. 1982, 21, 427–431. [Google Scholar] [CrossRef]
- Peerun, M.I.; Ong DE, L.; Choo, C.S. Interpretation of Geomaterial Behavior during Shearing Aided by PIV Technology. J. Mater. Civ. Eng. 2019, 31, 04019195.1–04019195.13. [Google Scholar] [CrossRef]
- Li, H.D.; Tang, C.S.; Cheng, Q.; Li, S.J.; Gong, X.P.; Shi, B. Tensile strength of clayey soil and the strain analysis based on image processing techniques. Eng. Geol. 2019, 253, 137–148. [Google Scholar] [CrossRef]
- Lashkari, A.; Jamali, V. Global and local sand–geosynthetic interface behavior. Géotechnique 2021, 71, 346–367. [Google Scholar] [CrossRef]
- Alhakim, G.; Núñez-Temes, C.; Ortiz-Sanz, J.; Arza-García, M.; Jaber, L.; Gil-Docampo, M. Experimental application and accuracy assessment of 2D–DIC in meso–direct–shear test of sandy soil. Measurement 2023, 211, 112645. [Google Scholar] [CrossRef]
- Abdi, M.R.; Mirzaeifar, H.; Asgardun, Y.; Hatami, K. Assessment of pegged geogrid (PG) pullout performance in coarse–grained soils using PIV analysis. Geotext. Geomembr. 2024, 52, 27–45. [Google Scholar] [CrossRef]
- Zhang, Y.Z.; Liu, W.L.; Wang, M.; Zhu, D.P.; Zhang, S.J.; Dong, Y.Q. Experimental study on frost heave characteristics and micro–mechanism of fine–grained soil in seasonally frozen regions. Cold Reg. Sci. Technol. 2023, 43, 101146. [Google Scholar] [CrossRef]
- Xiao, Y.; Zhou, Z.J.; Zhong, F.T.; Qi, C.G. Model Investigation on Spudcan–Sand Interaction Using Transparent Media. Geotech. Geol. Eng. 2023, 42, 1259–1267. [Google Scholar] [CrossRef]
- Sun, Y.; Jing, Z.; Pang, B.; Zhu, D. Study on pulling out behavior and bonding performance of concrete embedded BFRP bars based on DIC. J. Build. Mater. 2023, 1, 45–52, 70. [Google Scholar]
- Wang, H.; Qin, C.; Ma, Y.; Zhao, Y.; Li, C. Study on durability weakened slope model test and DIC displacement test. J. Water Conserv. Constr. Eng. 2023, 21, 124–130. [Google Scholar]
- Pan, J.; Wang, B.; Wang, Q.; Ling, X.; Fang, R.; Liu, J.; Wang, Z. Thickness of the shear band of silty clay–concrete interface based on the particle image velocimetry technique. Constr. Build. Mater. 2023, 388, 131712. [Google Scholar] [CrossRef]
- ASTM D2487–17; Standard Practice for Classification of Soils for Engineering Purposes (Unified Soil Classification System). ASTM: West Conshohocken, PA, USA, 2017.
- GB/T 50123-1999; Standard for Soil Test Method. China. 1999. Available online: https://books.google.co.jp/books/about/China_Standard_GB_T_50123_1999_Standard.html?id=JSIDEAAAQBAJ&redir_esc=y (accessed on 12 September 2024).
- Tse, R.; Cruden, D.M. Estimating joint roughness coefficients. Int. J. Rock Mech. Min. Sci. Geomech. Abstr. 1979, 16, 303–307. [Google Scholar] [CrossRef]
- Barton, N.; Choubey, V. The shear strength of rock joints in theory and practice. Rock Mech. 1977, 10, 1–54. [Google Scholar] [CrossRef]
- Shen, Y.; Wang, Y.; Yang, Y.; Sun, Q.; Luo, T.; Zhang, H. Influence of surface roughness and hydrophilicity on bonding strength of concrete–rock interface. Constr. Build. Mater. 2019, 213, 156–166. [Google Scholar] [CrossRef]
- Wang, Y.X.; Ding, E.W.; Liang, J. Research and application of digital image correlation method. Forg. Press. Tech. 2013, 38, 15–18. [Google Scholar]
- Feng, W.C.; Zheng, S.Q. Development of particle image velocimetry (PIV) technology. Instrum. User 2003, 1–3. [Google Scholar]
- Xu, L.F.; Chen, G.; Li, J.Z. Progress in particle image velocimetry technology. Mech. Prog. 2003, 533–540. [Google Scholar]
- Grognet, M.F. The Boundary Conditions in Direct Simple Shear Tests: Developments for Peat Testing at Low Normal Stress. Master’s Thesis, TU Delft, Delft, The Netherlands, 2011. [Google Scholar]
- Zhao, L.; Yang, P.; Wang, J.; Zhang, L.-C. Cyclic direct shear behaviors of frozen soil –structure interface under constant normal stiffness condition. Cold Reg. Sci. Technol. 2014, 102, 52–62. [Google Scholar] [CrossRef]
- Crory, F.E. Pile foundations in permafrost. In Proceedings of the 1st Permafrost International Conference, Lafayette, Indiana, 11–15 November 1963; NAS–NRC Publ.: Washington, DC, USA, 1966; Volume 1287, pp. 467–472. [Google Scholar]
- Wang, T.-L.; Wang, H.-H.; Hu, T.-F.; Song, H.-F. Experimental study on the mechanical properties of soil–structure interface under frozen conditions using an improved roughness algorithm. Cold Reg. Sci. Technol. 2019, 158, 62–68. [Google Scholar] [CrossRef]
- Parameswaran, V.R. Adfreeze strength of model piles in ice. Can. Geotech. J. 1981, 18, 8–16. [Google Scholar] [CrossRef]
- Einav, I.; Randolph, M. Effect of strain rate on mobilised strength and thickness of curved shear bands. Geotechnique 2006, 56, 501–504. [Google Scholar] [CrossRef]
- Lefebvre, G.; Leboeuf, D. Rate effects and cyclic loading of sensitive clays. J. Geotech. Eng. 1987, 113, 476–489. [Google Scholar] [CrossRef]
- Aldaeef, A.A.; Rayhani, M.T. Influence of exposure temperature on shaft capacity of steel piles in ice–poor and ice–rich frozen soils. In International Congress and Exhibition on Sustainable Civil Infrastructures: Innovative Infrastructure Geotechnology; Springer: Cham, Switzerland, 2018; pp. 247–257. [Google Scholar]
- Pillai, A.G.; Gali, M.L. Role of particle shape on the shear strength of sand–gcl interfaces under dry and wet conditions. Geotexiles Geomembrance 2022, 50, 262–281. [Google Scholar] [CrossRef]
- Shi, S.; Zhang, F.; Feng, D.; Xu, X. Experimental investigation on shear characteristics of ice–frozen clay interface. Cold Reg. Sci. Technol. 2020, 176, 103090. [Google Scholar] [CrossRef]
- Feng, D.K.; Zhang, J.M.; Hou, W.J. Three–dimensional stress controlled cyclic behavior of the interface between gravel and steel. Soil Dyn. Earthq. Eng. 2021, 151, 106988. [Google Scholar] [CrossRef]
- Feng, D.K.; Zhang, J.M.; Deng, L.J. Three–dimensional monotonic and cyclic behavior of a gravel–steel interface from large–scale simple–shear tests. Can. Geotech. J. 2018, 55, 1657–1667. [Google Scholar] [CrossRef]
- Li, T.L.; Zhao, W.; Liu, R.; Han, J.Y.; Cheng, C. Experimental study on the pipe–soil interface under the influence of pipe jacking stagnation time. KSCE J. Civ. Eng. 2021, 26, 1428–1438. [Google Scholar] [CrossRef]


















| Soil Classification | Maximum Dry Density (g/cm3) | Optimum Water Content (%) | Liquid Limit (%) | Plastic Limit (%) |
|---|---|---|---|---|
| Silt | 1.91 | 13.3% | 28.2 | 14.3 |
| Water Content (%) | Temperature (°C) | Cohesion of Residual Strength (kPa) | Internal Friction Angle of Residual Strength (°) |
|---|---|---|---|
| 10% | −2 | 11.05 | 41.5 |
| −4 | 9.1 | 44.2 | |
| −6 | 25.45 | 38.1 | |
| 13% | −2 | 22.95 | 36.4 |
| −4 | 26.35 | 40.4 | |
| −6 | 40.65 | 26.2 | |
| 16% | −2 | 28.9 | 35.1 |
| −4 | 32.25 | 35.9 | |
| −6 | 42.3 | 31.1 | |
| 19% | −2 | 16.6 | 37.3 |
| −4 | 18.6 | 40.4 | |
| −6 | 17.3 | 45.1 |
| Shear Rates (mm/min) | Temperature (°C) | Cohesion of Residual Strength (kPa) | Internal Friction Angle of Residual Strength (°) |
|---|---|---|---|
| 0.4 | −2 | 24.15 | 31.7 |
| −4 | 13.15 | 40.28 | |
| −6 | 17.45 | 41.65 | |
| 0.8 | −2 | 22.95 | 36.4 |
| −4 | 26.35 | 40.4 | |
| −6 | 40.65 | 26.2 | |
| 1.2 | −2 | 28.5 | 38.4 |
| −4 | 33.3 | 38.9 | |
| −6 | 43.55 | 35.7 |
Disclaimer/Publisher’s Note: The statements, opinions and data contained in all publications are solely those of the individual author(s) and contributor(s) and not of MDPI and/or the editor(s). MDPI and/or the editor(s) disclaim responsibility for any injury to people or property resulting from any ideas, methods, instructions or products referred to in the content. |
© 2024 by the authors. Licensee MDPI, Basel, Switzerland. This article is an open access article distributed under the terms and conditions of the Creative Commons Attribution (CC BY) license (https://creativecommons.org/licenses/by/4.0/).
Share and Cite
Zhang, K.; Yan, J.; Mu, Y.; Zhu, X.; Zhang, L. Global and Local Shear Behavior of the Frozen Soil–Concrete Interface: Effects of Temperature, Water Content, Normal Stress, and Shear Rate. Buildings 2024, 14, 3319. https://doi.org/10.3390/buildings14103319
Zhang K, Yan J, Mu Y, Zhu X, Zhang L. Global and Local Shear Behavior of the Frozen Soil–Concrete Interface: Effects of Temperature, Water Content, Normal Stress, and Shear Rate. Buildings. 2024; 14(10):3319. https://doi.org/10.3390/buildings14103319
Chicago/Turabian StyleZhang, Kun, Jianglin Yan, Yanhu Mu, Xiaoming Zhu, and Lianhai Zhang. 2024. "Global and Local Shear Behavior of the Frozen Soil–Concrete Interface: Effects of Temperature, Water Content, Normal Stress, and Shear Rate" Buildings 14, no. 10: 3319. https://doi.org/10.3390/buildings14103319
APA StyleZhang, K., Yan, J., Mu, Y., Zhu, X., & Zhang, L. (2024). Global and Local Shear Behavior of the Frozen Soil–Concrete Interface: Effects of Temperature, Water Content, Normal Stress, and Shear Rate. Buildings, 14(10), 3319. https://doi.org/10.3390/buildings14103319

