Abstract
This paper is based on research placed within the broader framework of the growing environmental impact requirements of building materials. Given this context, wood-based composite materials have emerged as a promising and innovative solution for structural elements. The current work aims to define a system for testing the mechanical behavior of glued laminated timber elements when exposed to high temperatures, in the neighborhood of the pyrolytic decomposition of materials. These tests monitor the transient behavior of the composite material and characterize the parameters involved in the thermo-mechanical analysis of elements constructed using this type of engineered wood product. The tests are used for the calibration of the material models involved in the numerical analysis and for the analysis of potential prototypes, considering the transient thermal load and heat propagation through the materials. By taking such tests, benchmark models and laboratory procedures are defined that can be used in the future to evaluate different materials, existing or new, and material combinations used to construct such a composite.
1. Introduction
Mass timber, including glued laminated timber (glulam), has become an increasingly popular and widely used building material for several important reasons, such as its design versatility, dimensional stability, excellent strength-to-weight ratio, sustainability and aesthetic appearance. These benefits, along with improvements in manufacturing processes and a growing recognition of sustainable building practices, have contributed to the success and adoption of glulam structures.
The behavior of mass timber elements when subjected to fire and high temperatures is of great importance in their design and construction processes. Whenever these materials are subjected to intense heat, their mechanical properties can deteriorate significantly [1]. The thermal stability of the adhesives used in the construction of mass timber structural elements is known to have a great impact on the overall performance of the element [2]. On the other hand, the numerical modeling of such a behavior is a non-trivial task and involves advanced techniques as well as computationally intensive models, as shown in [3,4]. This is why designing mass timber structures to withstand fire loads safely is an expensive and time-consuming process that can rarely account for the type of adhesive used in the fabrication of the element.
The global behavior of glulam elements is greatly influenced by the behavior of the glued connections between the glued lamella forming the cross-section, especially when subjected to high temperatures. The production process itself (i.e., hot pressing) and the type of adhesive used bring about a complex combination of physical and chemical changes in wood [5,6] that influence the material behavior in terms of bearing capacity and mechanical properties. The glued interface is governed by the combination of normal and tangential stresses. Prior testing programs [7] have shown that the shear strength of this bonded interface strongly influences the global behavior of the composite material. This shear strength is obviously dependent on the working temperature of the adhesive. As such, the present work will further study the shear behavior of the glued joint when subjected to high temperatures.
The objective of this paper is to establish a laboratory mechanical testing protocol for glulam specimens subjected to high temperatures, which will yield data that are useful for the numerical modeling of the bonded interface of glulam elements using the finite element method. The numerical models obtained herein will be calibrated using the test data, thus obtaining an experimentally confirmed model for the bonded interface that can be used in further evaluations of prototypes and the benchmarking of the performance of newly developed adhesives.
2. Materials and Methods
2.1. Test Specimens
The wood used in the construction of the test samples is a soft wood of class GL24, as described in Table 1, which was chosen due to its very common application in the industry. The specimens were produced in the laboratory using a Melamine–Urea–Formaldehyde (MUF) adhesive.
Table 1.
Strength and stiffness properties in N/mm2 for GL24 class wood according to [8].
The test samples consist of two lamellas of size 60 × 60 × 10 mm glued together by means of MUF adhesive. The dimensions of the samples were given by the capacity of the horizontal load sensor. The individual elements and the test samples were kept in a temperature and humidity-controlled environment during fabrication and curing, as well as until the mechanical tests were performed. Inside the samples, a nickel–chromium alloy heating element was placed in order to heat the sample directly at the bond interface. Due to the fact that NiCr alloys have a very high melting point, contact with the copper wire connectors was achieved via mechanical pressed sleeves.
The pattern used for the placement of the heating element, as shown in Figure 1b, was designed to ensure a uniform temperature distribution inside the bond interface. The continuity of the heating element was checked after curing by measuring the resistance of the wire. A total of 40 thermally active samples were produced for the testing campaign, 7 of which had the heating element shorted or interrupted. These were used in order to benchmark the unheated sample that contained the nickel–chromium alloy wire against glued samples lacking the heating element.
Figure 1.
Wood sample construction: (a) The final two-piece glulam sample. (b) The nickel–chromium alloy wire heating element distribution inside the sample.
2.2. Test Equipment
The main difficulty in performing coupled thermo-mechanical tests for the characterization of the bonded interface comes from the fact that the heating element and the temperature sensor need to be as close as possible to the mechanical failure point of the sample. This is why the present study employs a direct shear apparatus in which the failure plane is imposed. A direct shear box had to be adapted in order to accommodate the wiring necessary for the heating element and temperature sensor (inserted in each sample as close as possible to the shearing plane) without damaging the circuits, as shown in Figure 2a.
Figure 2.
Thermo-mechanical testing equipment: (a) direct shear box and (b) temperature control and measurement equipment checked by a thermal camera.
The ends of the heating element pass through a hole at the top of the specimen, together with the connections to the resistive temperature sensor, as shown in Figure 2b. The temperature is set by switching a relay on or off whenever the measured temperature drifts from the target by more than 1 degree. The current for the heating element is taken from a programmable current source, with the voltage ranging between 10 V and 30 V, depending on the target temperature. A programmable current source was chosen so that it is able to provide a high enough voltage in order to keep the sample temperature constant throughout the test.
2.3. Testing Procedure
In order to compensate for the heatsink effect of the shear box, the samples were first preheated to the target temperature. After this step, the sample was placed inside the shearing box, a vertical stress was applied, and the temperature was stabilized before starting the mechanical test. Previous contributions [9] tested the behavior of wood at pure shear loading, where the interaction consisted only of mechanical coupling with no aid of confinement. The shearing box can be used to study the effect of various normal stresses on the shearing plane, too. The shearing force is sampled every 10 s, and the test is performed at a constant displacement rate of 1 mm/min. The maximum horizontal displacement was set to 20 mm. For this particular sample size, the maximum shear force encountered was below 30 kN, while the capacity of the shear force sensor is up to 44 kN. The test specimens should be large enough to allow just a negligible influence of the local material variation (such as the obliquity of fibers and the presence of small knots); therefore, the loading capacity of the shearing force sensor must be large enough to accommodate the test with reasonable headroom. The glulam sample was placed inside the shearing box with the wood fibers parallel to the shearing direction as they were loaded in a girder subjected to bending.
The testing temperatures were chosen starting from ambient values up to the ones expected inside a normal glulam cross-section subjected to fire, as shown in [10]. Thus, the discrete values were as follows: 20°, 40°, 60°, 70°, 80°, 100°, and 120°.
For each temperature, a number of at least 3 samples were tested.
2.4. Checking Sample Preparation Bias
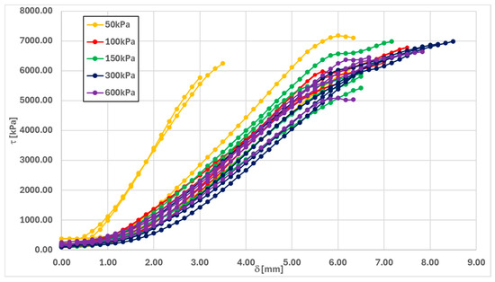
The first step in the testing campaign was to evaluate the sensitivity of the samples to the fabrication process and the presence of the nickel–chromium alloy wire. To that end, 20 industrially made samples were first cut off an existing industrially manufactured beam and sheared at room temperature. These samples were divided into 5 sample groups that were sheared at different vertical stresses in order to check whether or not frictional behavior developed at failure. The axial forces used ranged from 50 kPa up to 600 kPa, and the results clearly exclude any kind of frictional behavior, as shown in Figure 3.
Figure 3.
Shear mobilization curves at different vertical stresses for the industrially made samples.
The shear strength results indicate the fact that the fabrication process is an important factor in the final results obtained; however, they remain inside comparable domains in terms of mean and standard deviation.
It was noticed that every sample actually failed along the surface situated in the wood, immediately adjacent to the glued surface, showing the proper behavior of the adhesive. In order to check this assumption, some samples made of plain wood were also tested, and the compatibility of these results was observed. Another bias test also involved the shearing of the samples prepared in the laboratory and that those were instrumented but that had not been subjected to any heat load (Figure 4).
Figure 4.
Comparison between the room temperature behavior of natural wood, industrially made glulam, and laboratory-made instrumented samples.
The distribution of the values is noticeable, yet within statistically acceptable margins. The shearing strength values of the natural wood and the industrially made samples are close and intertwined, with the actual averages being only governed by the number of samples. The behavior of the laboratory-made and instrumented samples is within an acceptable range, yet the data scattering is higher due to the smaller number of tests performed when trying to avoid testing additional electrically functional specimens.
3. Results
This section presents the mobilization curves during shearing at each temperature (Figure 5). The represented data start from the point of contact and about 5% mobilization of strength to avoid depicting a large initial plateau. This is necessary to close the tolerance gap between the sample and the shear box. This tolerance also refers to the slight obliquity of the sample, which is negligeable with respect to the overall behavior.

Figure 5.
Shear mobilization curves for the thermo-mechanical tests at the following temperatures: (a) 40°, (b) 60°, (c) 70°, (d) 80°, (e) 100°, and (f) 120° Celsius.
It may be noted that for except very few cases, all failures occurred in a brittle fashion, with the post-failure domain being virtually inexistent (after the peak value recorded on the graph, the next force reading was virtually zero, and thus, not represented on the mobilization curves).
In order to plot the ultimate shearing stress variation with temperature, the peak values are given in Table 2.
Table 2.
Peak values for the shear strength for each test specimen.
When plotting the obtained data (Figure 6), consistent scattering was observed, as showcased by the error bars, which indicate a linear variation in shearing strength with temperature, having an R-squared value of 0.863. This linearity is maintained despite the fact that starting with about 60–70°, the failure mode no longer passes through the wood but gradually switches to the debonding of the glued lamellae and, ultimately, temperature softening of the glue.
Figure 6.
Ultimate shearing strength against temperature.
The experimental tests performed on MUF adhesive glued samples have shown that the results may fall within 3 stages corresponding to 3 main identified failure modes as shown in Figure 7, Figure 8 and Figure 9.
Figure 7.
Stage I of tests in which failure occurs due to wood shearing parallel to the fibers.
Figure 8.
Stage II of tests in which failure occurs due to debonding at the interface.
Figure 9.
Stage III of tests in which failure occurs due to the thermal decomposition of the materials.
4. Numerical Modeling
In order to implement a finite element model, Figure 10, that captures the behavior of the bonded interface of the composite material tested, transient coupled temperature–displacement analysis is required. The finite element model presented herein was developed using the software ABAQUS 2024 since it implements coupled temperature–displacement elements and the contact models that it implements enable the modeling of the relevant behavior. The material parameters for wood are presented in Table 1. The interface was modeled as having a contact interaction type defined by a cohesive traction–separation behavior, as characterized by the average slope of the mobilization curves presented in Figure 5 for the elastic domain, while post-elasticity is described using a temperature-dependent damage model, with the criterion set at the nominal shear force value for each temperature determined during the experiments, as shown in Figure 6.
Figure 10.
FEM model results at 70 °C and time of bonded interface failure: (a) normal contact pressure [kPa], (b) contact shear stress [kPa], (c) nodal temperatures [°C], and (d) internal shear stress [kPa].
The applied loadings for the transient analysis were defined as time-dependent functions of amplitude, as shown in Figure 11. The temperature increased to its target value, in accordance with the test procedure after the initial stabilization null step. After the temperature distribution was stable at the interface, the model was loaded at a constant displacement rate of 1 mm/min, as in the testing procedure.
Figure 11.
Amplitude variation for the loads applied in the numerical model of the test specimen.
The outer boundary conditions imposed on the model reflect the heatsink effect of the actual steel shearing box. This was considered to be an ideal dissipator at a constant temperature of 20 °C. The mechanical boundary conditions are simple surface supports. In the case of the lower half of the sample, the mobile part in this experiment, the supports were displaced during transient analysis by a translation that ramps linearly over the analysis time, exactly as during the actual experiment, with the ramp amplitude function set up so as to reflect the constant shear rate imposed by the shear box.
The geometry reflects the actual shape of the test sample. The orientation of the local axes was chosen to obey an orthotropic material orientation.
The shear mobilization of the adhesive should match the quasi-linear relationship obtained during the tests; thus, the finite element implementation was chosen as linear, fitting the slope of the shear mobilization curve. The behavior of the adhesive was chosen to linearly ramp down after reaching peak strength in order to ensure proper convergence (Figure 12). This was carried out because the delamination phenomenon was still captured with numerical stability ensured.
Figure 12.
Comparison of FEM modeled behavior for 70 °C with respect to the test data.
5. Discussion
The experimental campaign shows that for the MUF adhesive tested, three main failure modes are identified, as shown in Figure 7, Figure 8 and Figure 9. The manner of failure remains brittle for the three modes; however, it is clear that for low temperatures, the point of failure develops inside the wood; for medium temperatures, the point of failure occurs due to adhesive debonding; and for high temperatures, failure appears due to the adhesive softening. Unfortunately, the temperatures to be expected inside a glulam cross-section during a fire, as documented by [10], are higher than the thresholds found in the current research regarding the changes in the bonding characteristics. This means that the overall behavior of the element subjected to fire will not only be affected by the mass loss inherent to pyrolysis but also by delamination due to coupled thermo-mechanical loads.
It is obvious that new adhesives need to be developed to partially mitigate the delamination effect. However, each new solution must fulfill the minimum criterion of structural element connections; namely, in the case of mechanical ultimate loads, the failure has to occur inside the connected parts, not inside the connection itself. In the case of an MUF adhesive, this holds true for service temperatures yet loses validity as temperatures increase. This behavior should be known (Figure 6) and accounted for by structural designers. The compounds resulting from pyrolysis were not within the scope of the present work; however, such compounds should also be considered for new bonding agents, both from the point of view of the environment as well as from the point of view of toxic substance exposure during fires. Currently, the presence of MUF adhesive renders the reuse and recycling of glulam difficult.
When the experimental campaign started, the best option was studied in terms of subjecting the glued samples to controlled temperature loads. One solution was to isolate the shearing box inside a controlled heating chamber. The advantage of this method was the possibility of testing industrially prepared samples cut out from existing structural members; however, the insulation of the sample from actuators and sensors was a real challenge, along with the size of the equipment itself. Heating just the shearing box was still a challenge regarding heating the actuators and the sensors; therefore, the best solution was narrowed down to embedding the heating elements inside the specimen.
An assessment based on a limited number of samples indicates that once the glued elements subjected to high temperatures are cooled back to their service temperature, the shearing strength reverts to a nominal one; however, this research path was not followed since it deviated from the initial set scope of the work, with the application of a variable number of heating–cooling cycles. This study may be significant for elements such as roofing purlins and for those exposed to direct sun exposure in areas with hot climates.
The shearing box was modified to accommodate for the sample size and, most importantly, the applied axial stress was switched from a hydraulic solution to a pneumatic solution in order to achieve a more consistent vertical load value. The thermal camera was an important tool when checking the thermal features of the system and the sample.
If the compounds resulting from pyrolysis are not known, we strongly recommend performing this kind of experiment in a well-ventilated environment.
Testing the fire behavior at actual scale in the case of structural glulam elements is rather difficult, especially due to the precautions to be taken against fire hazards. This means that such a method should only be employed after numerical analysis for the confirmation of results.
In common engineering practices, the numerical analysis of glulam elements subjected to fire rarely accounts for the heat degradation of bond mechanical strengths. This is because, normally, the geometry of the numerical model should account for the bond interface by means of solid elements in order to ensure continuity. However, for the dimensions of the thin bond interface, a large number of elements should be used, or compromises should be made in terms of the accuracy of the results. These effects are especially pronounced when damage models and post-elastic behaviors are required, such as in the case studied in the present work. The transient nature of fire loads also means that approaching this problem using solid continuum elements will lead to excessively long analysis times. This is why the approach chosen here when modeling this phenomenon was achieved by means of a cohesive interface, where the actual shear test results can be directly linked to the governing law of the interface. The main components of the interface behavior are the elastic traction–separation model, given by the slope of the mobilization curve, as can be seen in Figure 11, and the damage model that governs the post-elastic behavior. Both of these functions are clearly temperature-dependent, and the values chosen for bond interface definition should be, as in the present case, backed by experimental data if the contact definition is to be useful for the further prototyping structural elements, such as beams and columns subjected to fire load. Defining damage as a total loss of strength after reaching the nominal shear resistance for the adhesive may lead to issues in terms of solution convergence; thus, steps need to be taken to mitigate this phenomenon in future developments.
If some future adhesive will exhibit a nonlinear temperature–strength behavior, some measures that will aid convergence in the transient analysis are first to decrease the analysis time step size. Another way of accommodating nonlinearity in thermo-mechanical behavior is to define a maximum temperature change over the step. This is especially useful if some noisy fire load curves are to be used.
The member prototypes should be loaded in the transient case by design-imposed fire loads, such as those defined by [11], as well as real fire load curves that contain the flashover and post-flashover phases if a proper evaluation of the structural element is to be conducted.
6. Conclusions
Wooden structures have two main issues: the inhomogeneity inherent to natural material, which is successfully mitigated by engineered wood products and, secondly, their sensitivity to fire. Theoretically, the latter should be dealt with by specific code provisions that impose constructive measures. These provisions mainly focus on the wood itself and less on the glued joints in the composite material. This paper aims to establish procedures that allow structural designers to analyze the complex behavior of bonded interfaces subjected to thermo-mechanical loads.
Some limitations of the procedure presented in this paper are related to the influence of the sample fabrication process and the presence of instrumentation inside the sample on the shear strength, as shown in Table 3. This, however, seems to be only an offset of the mean values, and they were found to be inside a reasonable value domain. Further research must be carried out in order to quantify the magnitude of this offset.
Table 3.
Shear strength mean and standard deviation for the 3 modes of fabrication.
Usually, in relevant codes, thermal loading is defined as an over-conservative time–temperature function [11]; this does not consider the fact that fires are finite events. Furthermore, they do not characterize the cooling phase and do not capture the real temperature distribution within the cross-section of elements. The results indicate that the thermal degradation of mechanical properties may appear close to service temperatures, especially in hot regions, as in the context of climate change for elements exposed to the environment.
The results indicate several key performance indices for developing future adhesives, such as better mechanical properties than the wood itself at service temperature as well as maintaining said characteristics at higher temperatures. Another key element is avoiding decomposition into potentially dangerous compounds, both during fire events and the post-utilization phase. Even if some key requirements are not fully met, the numerical methods presented showcase the possibility of finding special use cases where the exposure of the structural elements is less severe or where these elements are not critical for global structural integrity. Such a case should be applied for a potential adhesive with lower mechanical performance yet good recycling capacity.
Since the combination of wood types with certain adhesives is relatively limited, catalogs may be compiled for bonding properties to be used by structural engineers in the numerical modeling of glulam structures.
Supplementary Materials
The following supporting information can be downloaded at: https://www.mdpi.com/article/10.3390/buildings14103177/s1, Supplementary File S1.
Author Contributions
Conceptualization, R.I.E.; methodology, R.I.E. and A.-D.S.; data curation, A.-D.S.; writing—original draft preparation, I.T., writing—review and editing, R.I.E., A.-D.S. and D.Ț.; visualization, A.-D.S.; supervision, R.I.E. and D.Ț.; numerical modeling, A.-D.S., project administration, R.I.E., funding acquisition, R.I.E. All authors have read and agreed to the published version of the manuscript.
Funding
This research was funded by the Technical University of Civil Engineering Bucharest, Romania [grant no. -UTCB-25].
Data Availability Statement
The original contributions presented in the study are included in the article and Supplementary Materials, further inquiries can be directed to the corresponding authors.
Acknowledgments
The authors wish to acknowledge the contribution of Manole-Stelian Șerbulea (Department of Geotechnical and Foundation Engineering) from the Technical University of Civil Engineering Bucharest for their assistance in the development of the testing equipment and the following volunteer students for helping in the laborious work of preparing the instrumented samples (in alphabetic order): Alexandru Flangea, Luca Georgescu, Matei-Stelian Șerbulea, Noa Shraiter (Faculty of Engineering in Foreign Languages) and Denis Simota (Faculty of Railways, Roads and Bridges) of the Technical University of Civil Engineering Bucharest. Also, we aknowledge the support of Stefan Castravete of Caelynx Europe and of Dana Erbașu, MCHEM student, Faculty of Chemistry, University of Southampton, UK, for their theoretical support.
Conflicts of Interest
The authors declare no conflicts of interest. The funders had no role in the design of the study; in the collection, analyses, or interpretation of data; in the writing of the manuscript; or in the decision to publish the results.
References
- Sinha, A.; Gupta, R.; Nairn, J. Effect of heat on the mechanical properties of wood and wood composites. In Proceedings of the 11th World Conference on Timber Engineering 2010 (WCTE 2010), Trentino, Italy, 20–24 June 2010; pp. 661–668. [Google Scholar]
- Zhang, R.; Dai, H.; Smith, G.D. Investigation of the high temperature performance of a polyurethane adhesive used for structural wood composites. Int. J. Adhes. Adhes. 2022, 116, 102882. [Google Scholar] [CrossRef]
- Fonseca, E.M.M.; Gomes, C. FEM Analysis of 3D Timber Connections Subjected to Fire: The Effect of Using Different Densities of Wood Combined with Stee. Fire 2023, 6, 193. [Google Scholar] [CrossRef]
- Pereira, D.; Fonsec, E.M.M.; Osório, M. Computational Analysis for the Evaluation of Fire Resistance in Constructive Wooden Elements with Protection. Appl. Sci. 2024, 14, 1477. [Google Scholar] [CrossRef]
- Wei, P.; Rao, X.; Yang, J.; Guo, Y.; Chen, H.; Zhang, Y.; Chen, S.; Deng, X.; Wang, Z. Hot Pressing of Wood-Based Composites: A Review. For. Prod. J. 2016, 66, 419–427. [Google Scholar] [CrossRef]
- Liu, J.; Kong, Y.; Wang, F.; Wu, J.; Tang, Z.; Chen, Z.; Lu, W.; Liu, W. Effects of Moisture Content on Lap-shear, Bending, and Tensile Strength of Lap-jointed and Finger-Jointed Southern Pine using Phenol Resorcinol Formaldehyde and Melamine Urea Formaldehyde. Bioresources 2020, 15, 3534–3544. [Google Scholar] [CrossRef]
- Dhima, D.; Audebert, M.; Racher, P.; Bouchair, A.; Taazount, M. Shear tests of glulam at elevated temperatures. Fire Mater. 2014, 38, 827–842. [Google Scholar] [CrossRef]
- EN 14080:2013; Timber Structures—Glued Laminated Timber and Glued Solid Timber—Requirements. CEN: Brussels, Belgium, 2013.
- Ng, A.L.Y.; Lau, H.H.; Fang, Z.; Roy, K.; Raftery, G.M.; Lim, B.P.J. The behavior of cold-formed steel and Belian hardwood self-tapping screw connections. In Proceedings of the Cold-Formed Steel Research Consortium Colloquium, Online, 17–19 October 2022. [Google Scholar]
- Björn, K.; Per, L. Strength properties of wood adhesives after exposure to fire. In Proceedings of the Wood Adhesives 2005, San Diego, CA, USA, 2–4 November 2005. [Google Scholar]
- EN 1991-1-2; Actions on Structures—Part 1–2: General Actions—Actions on Structures Exposed to Fire. CEN: Brussels, Belgium, 1991.
Disclaimer/Publisher’s Note: The statements, opinions and data contained in all publications are solely those of the individual author(s) and contributor(s) and not of MDPI and/or the editor(s). MDPI and/or the editor(s) disclaim responsibility for any injury to people or property resulting from any ideas, methods, instructions or products referred to in the content. |
© 2024 by the authors. Licensee MDPI, Basel, Switzerland. This article is an open access article distributed under the terms and conditions of the Creative Commons Attribution (CC BY) license (https://creativecommons.org/licenses/by/4.0/).