Next Article in Journal
Fatigue Life Predictions Using a Novel Adaptive Meshing Technique in Non-Linear Finite Element Analysis
Next Article in Special Issue
Experimental and Numerical Analyses on the Flexural Tensile Strength of Ultra-High-Performance Concrete Prisms with and Without Rice Husk Ash
Previous Article in Journal
Research on Diagnosis and Assessment Processes and Methods for Existing Residential Buildings Based on Intelligent Assistance Models
 
 
Font Type:
Arial Georgia Verdana
Font Size:
Aa Aa Aa
Line Spacing:
Column Width:
Background:
Article

Statistical Evaluation and Reliability Analysis of Interface Shear Capacity in Ultra-High-Performance Concrete Members

by
Bipul Poudel
1,
Philippe Kalmogo
2 and
Sriram Aaleti
1,*
1
Department of Civil, Construction and Environmental Engineering, The University of Alabama, Tuscaloosa, AL 35487, USA
2
The Department of Civil and Environmental Engineering, University of New Hampshire, Durham, NH 03824, USA
*
Author to whom correspondence should be addressed.
Buildings 2024, 14(10), 3064; https://doi.org/10.3390/buildings14103064
Submission received: 7 August 2024 / Revised: 17 September 2024 / Accepted: 24 September 2024 / Published: 25 September 2024

Abstract

The use of UHPC as an overlay and repair material in the bridge industry has been increasing recently. Ensuring sufficient interface shear strength between the substrate and UHPC is necessary for adequate performance and the structural integrity of the composite section. Due to the lack of structural design code for UHPC members, designers often rely on experimental data developed by researchers or on existing conventional concrete design code to predict the interface shear capacity of sections containing UHPC. The various test methods currently used to quantify the interface shear strength oftentimes produce different results. The objectives of this paper are to create a database of the studies on the interface shear strength of UHPC members available in the literature and carry out a statistical assessment. Moreover, a reliability analysis is conducted on the collected experimental database, and the probability of failure is determined for UHPC–concrete, UHPC–UHPC, and monolithic UHPC interfaces. The paper also investigates the dependence of the reliability index on two different test methods used for interface shear capacity prediction. Additionally, a simpler interface shear capacity model with readily determined parameters is proposed for the monolithic UHPC interface, with a better reliability index compared to current design specification.

1. Introduction

Ultra-high-performance concrete (UHPC) is a novel material in the construction industry. UHPC, reinforced with high-strength steel fibers, features a dense cementitious matrix with a disconnected pore network [1], exhibiting low permeability [2,3], high compressive strength, and sustained tensile resistance [4]. UHPC is characterized by a compressive strength greater than 120.6 MPa (17.5 ksi) and an effective tensile cracking strength greater than 5 MPa (0.72 ksi) [5,6]. The discontinuous arrangement of internal fibers and the strain-hardening effect enable UHPC to reach significantly higher tensile strain while maintaining tensile strength. The superior durability and strength properties of UHPC over conventional concrete have garnered significant interest from stakeholders in the bridge construction industry. In North America, UHPC is currently being used as a repair material, overlay material, and primary structural component in bridges. However, similar to other novel materials, there were challenges in expanding its usage in applications due to the absence of structural design specifications for a long time. Because of the distinct mechanical properties of UHPC compared to conventional concrete, establishing a code specification is imperative to ensure the design reliability and construction quality of UHPC structures. Of particular interest is the interface shear transfer between UHPC–concrete surfaces, UHPC–UHPC surfaces, and monolithic UHPC surfaces when UHPC is employed as an overlay material in bridges. Several researchers noted the necessity for a UHPC-specific design specification, as the current AASHTO LRFD Bridge Design Specification (BDS) [7] underestimates UHPC interface shear capacity [8,9]. Addressing this necessity, the AASHTO specification titled ‘Guide Specifications for Structural Design with UHPC’ [10], which focuses on bridge design with UHPC, has been published recently. Although founded on the same mechanics as the AASHTO LRFD BDS, the AASHTO UHPC specification integrates modifications based on behavior specific to UHPC.
The probabilistic approach involving reliability analysis [11] has been utilized in formulating load and resistance factors that have been adopted in codes like the ACI-318 [12] and AASHTO BDS [7]. However, because of UHPC being a relatively new material and limited availability of experimental data, the AASHTO UHPC specifications adopted the load and resistance factors of conventional concrete from the AASHTO BDS for computing interface shear capacity [10]. Limited studies have been conducted on the reliability analysis of interface shear capacity. Sharma et al. [13] performed reliability analysis on a UHPC–concrete interface using the AASHTO BDS interface shear capacity model and obtained a lower reliability index compared to the target reliability index. Soltani [14] conducted reliability analysis on a concrete–concrete interface using the AASHTO BDS interface capacity model for normal-weight and light-weight concrete. A reliability index higher than the target index was obtained for light-weight concrete, while it was lower for normal-weight concrete.
The aim of this paper is threefold. Experimental data on different UHPC interfaces of UHPC members will be collected from several experimental studies, and statistical analysis will be performed. The reliability index of the interface shear capacity model provided in the AASHTO UHPC specification will be analyzed, and its associated probability of failure will be determined. The interface shear capacity of monolithic UHPC can be theoretically determined using the current capacity model of the AASHTO UHPC specification; however, this requires determining parameters, which is time consuming, costly, and involves human judgment. Thus, as a final aim, this paper also proposes a reliable alternative capacity model with readily determined parameters for monolithic UHPC interfaces.

1.1. Interface Shear Capacity Code Provisions

Interface shear transfer capacity is based on the shear-friction theory initially proposed by Birkeland and Birkeland [15]. This theory postulates that the primary mechanism governing load transfer at concrete-to-concrete interfaces under shear and compression forces is friction. This frictional resistance arises from relative slippage between two concrete segments and is influenced by surface roughness. The slippage between the concrete segments not only generates shear strength but also leads to normal displacement (dilatancy) and induces tensile stresses in the shear connector passing through the interface. As a consequence of the dilatancy, the shear connector develops clamping pressure, which contributes to resisting further slippage. This development of clamping pressure enhances the overall resistance to shear.
Mattock and Hawkins [16] conducted different investigations and suggested including a cohesion term in the existing shear-friction equation. Randl [17] proposed a significant improvement to the accuracy of the design equations governing the interface shear strength between two concrete surfaces. Randl’s approach considered the interface shear strength as a composite of three distinct load transfer mechanisms: (1) cohesion, encompassing adhesion and aggregate interlock, (2) friction, influenced by surface roughness and externally applied loads, and (3) dowel action, associated with the deformation of shear connectors, which represents the flexural resistance of these connectors. Over the years, several researchers [8,18,19,20,21] have concluded that the interface shear capacity between two surfaces is improved with an increase in surface roughness.
The shear-friction theory stands as a widely embraced framework in design standards such as the AASHTO LRFD BDS [7], ACI-318 [12], and Eurocode [22]. ACI-318 assumes a crack across the interface between the old concrete and new concrete interface. This results in negligible adhesion and aggregate interlock (together termed as cohesion). Therefore, the only load transfer mechanism considered is friction due to external loads and clamping force from shear connectors crossing the interface. The AASHTO LRFD BDS, however, suggests an equation considering the cohesion mechanism. The AASHTO UHPC specification also includes a cohesion mechanism in their capacity model. All three, the ACI-318, AASHTO LRFD BDS, and AASHTO UHPC specifications, ignore the dowel action mechanism in interface shear transfer. The current provision for cohesion strength (c) and the coefficient of friction (μ) in the AASHTO UHPC specification is summarized in Table 1.
The magnitude of cohesion strength and the coefficient of friction are dependent on the concrete’s unit weight in the AASHTO LRFD BDS. However, the AASHTO UHPC specification does not differentiate these parameters based on the UHPC’s unit weight. The cohesion value and coefficient of friction provided in Table 1 are for normal-weight UHPC (i.e., 24.3 kN/m3 (0.155 kcf)). In both the AASHTO UHPC specification and AASHTO LRFD BDS, the friction coefficient and cohesion vary based on roughness depth, with 6.35 mm (0.25 in.) roughness depth set as the distinction between rough and smooth surfaces. The nominal interface shear capacity of UHPC, Vni, specified in the AASHTO UHPC specification is provided in Equations (1) and (2).
For UHPC–conventional concrete and UHPC–UHPC interfaces,
V n i = c A c v + μ A v f f y + P c
For a monolithic UHPC interface,
V n i = c A c v + μ C 1 + C 2 + P c
where the following apply:
A c v denotes area of the interface.
A v f denotes the area of the interface reinforcement crossing the shear plane.
P c represents the permanent net compressive force, normal to the shear plane.
C 1 = A v f f s represents the normal clamping force provided by steel reinforcement.
C 2 = A c v γ u f t , l o c represents the normal clamping force provided by UHPC placed monolithically.
f t , l o c is the crack localization strength of UHPC for use in design.
f s  = E s γ u ε t , l o c represents the stress in the interface steel reinforcement at the time of UHPC crack localization.
γ u ≤ 1.0 denotes the factor to allow for reduction of UHPC tensile parameter values.
f y denotes the minimum yield strength of the reinforcement and ≤413.7 MPa (60 ksi) where UHPC is placed non-monolithically.
ε t , l o c is the crack localization strain of UHPC for use in design.
There are different test methods to determine interface shear capacity. Direct shear tests, including the push-off test, bi-shear test, and slant shear test, are the common test methods employed in the literature for determining interface shear capacity. The interfaces in the direct shear test and bi-shear test are under a shearing stress state, while, in the slant shear test, it is in a state of combined compression and shear stress. The bi-shear test is an effective method suitable for cases where there is no shear connector crossing the interface, which is not always the case in real scenarios. When shear connectors are provided in the direct shear test, it will give rise to the clamping pressure during dilatation, thereby enhancing the shear strength capacity. Due to the nature of the specimen geometry and loading configuration, normal stress across the interface will always be developed in the slant shear test, resulting in the development of clamping pressure. In direct shear testing of monolithic UHPC, after the first cracking, additional clamping pressure arises during crack localization [23], which has been incorporated in Equation (2) by the AASHTO UHPC specification. Unless mentioned otherwise in this paper, clamping pressure should be understood as the clamping pressure provided by the shear connector.
The AASHTO UHPC specification imposes an upper bound limit on the interface shear capacity calculated as the product of K times the area of interface ( A c v ), where K = 31.0 MPa (4.5 ksi) for monolithic UHPC, 12.4 MPa (1.8 ksi) for a rough UHPC–UHPC interface and UHPC–conventional concrete interface, and 5.5 MPa (0.8 ksi) for a smooth UHPC–UHPC interface.
The AASHTO UHPC specification requires a minimum area of reinforcement to cross the interface for all UHPC-involved interfaces except those casted monolithically. The minimum area of reinforcement required is given by Equation (3), where areas Acv and Avf are in square inches and fy is in ksi.
A v f 0.05 A c v f y
For a monolithic UHPC interface, there is a provision to omit the reinforcement if the clamping force provided by the fiber reinforcement exceeds the limit provided in Equation (4), where area, Acv, is in square inches and ft,loc is in ksi.
A c v γ u f t , l o c > 0.05 A c v

1.2. Structural Reliability

The current design codes are based on the limit state design method. Structural reliability analysis utilizes the concept of a ‘limit state’ to determine failure. A limit state creates a boundary between the desired and undesired performance of a given structure. This boundary is known as the limit state function or performance function [24]. The limit state function consists of capacity and demand models. Demand and capacity parameters are random variables; thus, deterministic approaches usually do not reveal the actual safety of structures [25]. The uncertainties associated with variability in demand and capacity can be quantified through the application of reliability theory.
The probability of failure, Pf, is equal to the probability that an undesired performance will occur or probability that a structure will be unsafe. If R represents the capacity and Q represents the demand on a given structure, the corresponding limit state function can be written as g(R,Q) = RQ [24]. Such a structure is deemed unsafe when g < 0 and the probability of failure is expressed as Pf = P(g(R,Q) < 0). The reliability index (β) is related to the probability of failure, Pf, as defined in Equation (5).
P f = φ 1 ( β )
where φ 1 = the inverse standard normal distribution function.
If both R and Q are normally distributed independent random variables, the reliability index can be determined by Equation (6). This reliability index is known as the First-Order Second-Moment (FOSM) reliability index.
β = m R m Q σ R 2 + σ Q 2
where mR denotes the mean value of the capacity model, mQ represents the mean value of the demand model, σ R is the standard deviation of the capacity model, and σ Q signifies the standard deviation of the demand model.
In reliability analysis, a target reliability index is set with respect to the limit state function through a calibration process [26,27,28,29] or from cost optimization based on the cost of safety measures and failure risk [30,31,32]. The authors could not find recommendations for the appropriate target reliability index of the structural component of the bridge mentioned in the AASHTO UHPC specification. As such, the AASHTO LRFD BDS’s target reliability index of 3.5 ( P f = 0.02%) for bridge structural components was assumed for this study [33].

1.2.1. Capacity Model

The AASHTO UHPC specification refers to the AASHTO LRFD specifications for bridges using conventional concrete and considers limit-state-factored load combination for the horizontal shear capacity of a bridge deck and bridge girder as Strength-I load combination. According to the AASHTO UHPC specification, the factored interface shear capacity, except for in the case of extreme event load combinations, is determined by Equation (7). The values of the constants in Equation (7) are taken from the AASHTO UHPC specification or adopted from the AASHTO LRFD BDS.
γ D C D C + γ D W D W + γ L L + I M ( L L + I M ) = φ V n i
where the following apply:
γ D C = a load factor of DC = 1.25;
DC = the dead load from the weight of the structural components and nonstructural attachments;
γ D W = a load factor of DW = 1.5;
DW = the dead load from the weight of the wearing surface;
γ L L = a load factor of LL = 1.75;
LL = the live load from the forces from moving vehicles on the bridge;
IM = the impact load from the forces produced by moving vehicles on the bridge;
φ = a resistance factor = 0.9.
Therefore, the nominal interface shear capacity, V n i , after rearrangement of Equation (7), can be written as Equation (8).
V n i = γ D C D C + γ D W D W + γ L L + I M ( L L + I M ) φ
The resistance or capacity, R, of bridge members is a function of three variables, M, F, and P, and can be expressed by Equation (9).
R = V n i M F P
R = γ D C D C + γ D W D W + γ L L + I M ( L L + I M ) φ M F P
where V n i is the nominal capacity; M represents the variation in material properties, including strength, modulus of elasticity, and cracking stress; F represents the variation in fabrication effects, mostly geometry, dimensions, and section moduli; and P represents the accuracy of the capacity prediction model and is also known as the analysis factor or professional factor [24]. The mean value of capacity, m R , and the coefficient of variation of capacity ( C O V R ) are given by Equations (11) and (12).
m R = V n i λ M λ F λ P
where λ M denotes the material bias factor, λ F denotes the fabrication bias factor, and λ P denotes the professional bias factor.
C O V R = C O V M 2 + C O V F 2 + C O V P 2
where C O V R denotes the coefficient of variation of capacity, C O V M denotes the coefficient of variation of M, C O V F denotes the coefficient of variation of F , and C O V P denotes the coefficient of variation of P .
The bias factor is defined as the ratio of mean to nominal values. To the authors’ knowledge, there is currently no research in the literature on bias factors for UHPC interface shear strength. The determination of the material bias factor and coefficient of variation for UHPC was beyond the scope of this paper. Thus, the values for these parameters are adopted from previous research on conventional concrete. The value of the bias factor adopted for material, λ M , is 1.22 and the coefficient of variation is 0.12 [34,35]. These values are expected to be lower for UHPC since it is a more controlled product, consistent with the findings of Nowak and Szerszen [36], who reported a lower bias factor for high-strength concrete with a coefficient of variation ranging from 0.105 to 0.115. A lower material bias factor will decrease the reliability index if the coefficient of variation is constant, while a lower coefficient of variation will increase the reliability index if the bias factor is kept constant.
The value of the bias factor adopted for fabrication, λ F , is 1.01 and the coefficient of variation is 0.04, also adopted from conventional concrete [34,35]. For the professional factor, the bias factor, λ P , is calculated as the ratio of the experimental interface shear capacity to the nominal interface shear capacity determined from Equation (2) depending on the type of interface.

1.2.2. Demand Model

The demand model ‘Q’ is given by Equation (13). The mean, mQ, and coefficient of variation, COVQ, value of the demand model are given by Equations (14) and (15), respectively.
Q = D C + D W + ( L L + I M )
where D C denotes the dead load from the weight of the structural components and nonstructural attachments, D W denotes the dead load from the weight of the wearing surface, L L denotes the live load from the forces from moving vehicles on the bridge, and I M denotes the impact load from the forces produced by moving vehicles on the bridge.
m Q = D C λ D C + D W λ D W + ( L L + I M ) λ L L + I M
where λ D C denotes the bias factor of DC, λ D W denotes the bias factor of DW, and λ L L + I M denotes the bias factor of LL + IM.
C O V Q = C O V D C 2 + C O V D W 2 + C O V L L + I M 2
where C O V Q = the coefficient of variation of demand, C O V D C = the coefficient of variation of DC, C O V D W = the coefficient of variation of DW, and C O V L L + I M = the coefficient of variation of LL + IM.
The bias factor and coefficient of variation of D C , D W , and L L + I M were adopted from Nowak [11] for bridge design. The adopted bias factors and the coefficients of variation for different loading scenarios are summarized in Table 2.

2. Data Collection, Filtration, and Assumptions

Data from experimental tests involving UHPC specimens with various interfaces were gathered through literature review. The database was broadly divided into three sub-databases, namely, UHPC–concrete, UHPC–UHPC, and monolithic UHPC interface databases. A total of 670 specimens’ data from 35 different research papers were reviewed, of which 552 data were filtered for statistical evaluation of interface shear capacity.
The filtering process used to identify applicable data for analysis is discussed in this section. The primary filtering process began during data collection, where experimental data irrelevant to interface shear transfer and involving pre-cracked specimens were excluded. Test data from test methods like the splitting tension method, direct tension method, and pull-off method were not included, as shear force is not created along the interface in these tests. The collected data after primary filtering process were then subjected to secondary filtering. Despite bi-shear tests being popular among researchers due to easy specimen fabrication for the UHPC–UHPC interface shear test, data from these tests were excluded from the analysis. These tests experience normal stress at the interface due to specimen geometry and load configuration, which ultimately result in higher shear strength [37]. A significant discrepancy was observed by Semendary and Svecova [9,38] when bi-shear test data were used to determine bond strength for UHPC. Experiments involving specimens with drilled holes were ignored because the AASHTO UHPC specification does not have any provisions related to drilled holes. The final database of filtered data is provided as Supplementary Materials.
The direct shear test included tests conducted on L-shaped specimens, commonly termed as push-off tests, as they involve shear force acting on a single shear plane. The angle of inclination of slant shear specimens ranged from 20° to 42° with respect to the vertical for the filtered data. The minimum interfacial reinforcement requirement criteria set by the AASHTO UHPC specification were ignored in this paper due to inadequate experimental data fulfilling the requirement. Furthermore, the upper limiting strength criteria were also ignored. The AASHTO UHPC specification does not provide any criteria for differentiation based on the moisture state, age, and unit weight of the substrate. Hence, they were not considered as variables in the analyses herein, and their influence on interface shear was ignored.
The slant shear test is not possible in monolithic UHPC unless a shear plane is created by delaying casting of the overlay UHPC layer while the base UHPC layer is still in a fresh state. This approach is uncommon among researchers; only one research group [9] has conducted a slant shear test in monolithic UHPC, while all other groups have used the direct shear test. The interface shear capacity of a monolithic UHPC interface depends on clamping pressure provided by the shear connector and clamping pressure provided by the UHPC, which eventually depend on corresponding strain in shear connectors and the localization stress of UHPC, respectively (Equation (2)) [23,39]. During data collection, it was observed that only two research groups presented data regarding localization stress of UHPC and the corresponding strain in shear connectors. Thus, for other collected data, localization stress was approximately assumed for performing statistical analysis of monolithic UHPC interfaces. Localization stress can be obtained from tensile testing through direct tension or splitting tension tests. The tensile strength reported from splitting tension tests or direct tension tests is deemed as localization stress if reported; otherwise, it is calculated from the empirical relationship of cracking tensile strength suggested by Graybeal [4]. This assumption is valid for UHPC with less than 2% fiber volume but is not true for higher fiber volume [6]. A higher fiber volume percentage results in higher localization stress than cracking tensile strength. However, it is still used in this paper as it is more conservative and yields a better reliability index. As per Graybeal [4], the cracking tensile strength of UHPC for untreated curing conditions is given by Equation (16).
f c t = 0.55 f c
where f c t is the cracking tensile strength of UHPC in MPa, and f c is the 28-day compressive strength of UHPC in MPa.
Localization stress of UHPC was limited to 12.1 MPa (1.75 ksi) as per the AASHTO UHPC specification. Localization stress was reduced by the tensile strength reduction parameter, γ u , as per the UHPC code. The value of γ u is kept as 0.85 based on the work of El-Helou et al. [5].
Different research groups used either cube or cylinder specimens for measuring the substrate compressive strength. To maintain uniformity in the analysis in this paper, the concrete strength of cube specimens was converted to the equivalent cylinder specimens’ strength. The cubic strength of UHPC was converted to cylinder strength as per the recommendations of Graybeal [4]. For converting compressive strength from cube specimens of UHPC to cylinder strength, it was multiplied by factor of 0.96 when testing was conducted on 50 mm cubes and by factor of 1.0 when testing was conducted on larger cubes.
Some of the experiments failed to provide the roughness texture depth but provided the method through which roughness was introduced in the substrate. Approximate roughness values based on other similar experiments and the experience of the authors were assumed for such cases. Wire-brushed substrate, sandblasted substrate, and power-washed substrate were assumed to have a roughness texture of 0.8 mm, 1.0 mm, and 2.0 mm, respectively, based on past research [19,40,41]. Average roughness depth was used when roughness was provided in the interval range. No assumption for roughness depth was made when the roughness-introducing method was not reported by the research study.
The entire filtered dataset used in this paper used standard steel rebars (or reinforcement) as shear connectors. The typical localization strain for UHPC mixes varies between 0.0025 and 0.005, which is higher than the yield strain of steel rebars. Muzenski et al. [23] conducted interface shear testing on a monolithic UHPC interface using rebars of various yield strengths and observed yielding in the rebars when the yield strength was less than 413.7 MPa (60 ksi). So, for experiments that did not provide localization stress in the rebars corresponding to the localization strain of UHPC, the yield strength of the rebars was taken as localization stress in the rebars. All but one research group [23] used rebars with higher yield strength than 413.7 MPa (60 ksi), where they provided observed localization stress in rebars.
Experimental data from Crane [42] used steel rebars as shear connectors but failed to provide information regarding the yield strength of rebars; thus, a yield strength of 413.7 MPa (60 ksi) was assumed. This assumption was also used by Muzenski et al. [23] as well, while considering Crane’s data [42] for analysis. A summary of the collected data for all interface types is provided in Table 3.

3. Statistical Analysis

The bin analysis technique was used to statistically analyze the final database. To perform bin analysis, the dependence of a parameter on different variables was initially determined. Variables were classified into certain ranges, referred to as bins, based on their magnitude. The final database was then placed in appropriate bins, and statistical analysis was performed. Soltani and Ross [43] previously used this method to assess the relationship between the interface shear capacity of reinforced concrete elements and various considered variables.
Bin analysis was carried out on all three UHPC interface types evaluated in this study. Separate bin analysis was performed for different test methods whenever the data were adequate. This was because specimens were under different stress states in direct shear and slant shear tests. In the direct shear test, specimens were predominantly in pure shear, while they were under a relatively uniform combined compression and shear stress state in the slant shear tests. Some research has shown that the slant shear test exhibits higher bond strength than other tests [9,44,45], which supports separating the bins according to test type. Only the UHPC–concrete interface data category had an adequate sample size for separate bin analysis based on test method. Thus, separate bin analysis was not conducted for the UHPC–UHPC interface and monolithic UHPC interface. Only 17% of the data were from direct shear testing in the UHPC–UHPC interface category, whereas less than 5% were from slant shear testing in the monolithic UHPC interface category (Table 3). Thus, combined bin analysis using test data of direct shear and slant shear tests was performed for the UHPC–UHPC interface and monolithic UHPC interface, respectively.
Two primary failure modes were observed in the interface shear experiments, substrate failure and interface bond failure. Substrate failure occurs when the compressive strength of substrate is less than the interface bond strength. Interface bond failure depends primarily upon roughness depth and clamping pressure. Thus, variables considered for bin analysis included substrate compressive strength, roughness depth, and clamping pressure.
As shown in Table 4, a bin size of 10.4 MPa (1.5 ksi) was used for concrete strength ranging between 17.2 and 58.6 MPa (2.5–8.5 ksi). Substrate strengths higher than 58.6 MPa (8.5 ksi) were kept in a single bin. ACI-318 specifies the minimum compressive strength of structural concrete as 17.2 MPa (2.5 ksi) and the minimum limit of high-strength concrete as 55 MPa (8 ksi). The minimum limit of high-strength concrete was slightly adjusted to 58.6 MPa (8.5 ksi) to maintain a uniform bin size.
A bin size of 1 mm was used for a roughness depth ranging between 0 and 3 mm, whereas roughness depths ranging between 3 and 6.5 mm were combined into single bin. Combining roughness depths ranging from 3 to 6.35 mm into a single bin was supported by research indicating that there is an improvement in cohesion up to a roughness of 2 mm, after which the variation in cohesive strength becomes unpredictable [40]. The Eurocode [22], however, specifies 3 mm as the lower limit for classifying a surface as rough. Thus, a single bin was allocated for roughness depths of 0–3 mm and 3–6.5 mm. Finally, roughness depths higher than 6.35 mm were kept in one bin because it is the cut-off point for categorizing a surface as smooth or rough according to the AASHTO UHPC specification [6].
Uniform bin size could not be maintained for clamping pressure for all interface types because clamping pressure is of a higher magnitude when the slant shear test is used rather than the direct shear test. The bins of clamping pressure were suitably divided based on its magnitude range. Clamping pressure was provided by shear connectors passing through the interface which were rebars (or reinforcement) in all the considered data.
While analyzing the final database of the UHPC–UHPC interface type, it could be seen that, in the direct shear test, substrate failure mode was not observed due to the higher compressive strength of the UHPC. By definition, the monolithic UHPC interface experiment excluded the involvement of the interface surface roughness and substrate. Hence, only clamping pressure was considered as a variable for the monolithic UHPC interface. However, it is important to note that there will be additional clamping pressure due to fiber bridging and fiber pull-out during crack localization in monolithic UHPC interfaces, which is termed as clamping pressure from UHPC.
The summary of the bin analysis conducted for all UHPC interface types is presented in Table 4.
The experimental-to-nominal interface shear capacity ratio (Vexp/Vni) was computed for each specimen in the final database. The nominal interface shear capacity was calculated from the AASHTO UHPC specification using Equations (1) and (2). A higher ratio indicates higher conservatism of the AASHTO UHPC specification. When the ratio falls below 1.0, the data are unconservative. Figure 1, Figure 2, Figure 3 and Figure 4 show the final database plotted with respect to the considered variables for each interface type. A moving average is plotted as a dashed black line in these figures and the solid red line represents the average strength ratio of 1.

Discussion

The plots presented in Figure 1, Figure 2, Figure 3 and Figure 4 display the variation in the conservatism of the AASHTO UHPC specification when the shear capacity ratio is plotted against a single variable. No distinct trend was observed while plotting experimental-to-nominal interface shear capacity ratio (Vexp/Vni) against the considered variables, denoting the randomness of the data. The randomness is expected because each interface shear test experiment depends on more than a single variable. Test specimens can exhibit a wide range of roughness depths and clamping pressures, even if they have same compressive strength, and vice versa. Additionally, the age of the specimen and the method of curing can also affect the experimental results. Thus, the results obtained from the plots and statistical bin analysis provide only a qualitative indication of the variation in the shear capacity ratio.
Four unconservative tests (<2.5% of total tests) were detected during the investigation of direct shear specimens in the UHPC–concrete interface data category (Figure 1 and Table 4). These test specimens had lower substrate compressive strength, higher roughness depth, and no shear connection between the interfaces. Higher roughness is associated with higher frictional force and an increase in the shear capacity. However, when no shear connector (or reinforcement) is present across the interface, concrete substrate strength becomes more important than surface roughness in determining shear capacity. Unsurprisingly, these specimens had substrate failure. However, no specimens with lower substrate strength failed in the slant shear test.
The average strength ratio increased when substrate strength was greater than 27.6 MPa for the UHPC–concrete direct shear test (Table 4). A roughly constant average strength ratio was observed for the slant shear test, despite a few jump-ups while varying the substrate strength (Figure 2 and Table 4). Significant variation in average strength ratio was observed while varying roughness depth for the direct shear test. Higher average strength ratio was observed in the bin analysis, up to a roughness depth of 6.35 mm, after which it decreased. A similar pattern was observed in the slant shear test as well (Table 4). This is because the AASHTO UHPC specification specifies the same cohesion strength and coefficient of friction for specimens with a 0–6.35 mm roughness depth. However, changes in roughness depth can increase cohesion strength, and the friction coefficient. This results in higher experimental interface shear capacity for a specimen with 6.35 mm roughness than zero roughness, while the predicted capacity from the AASHTO UHPC specification will be the same, thus making the average strength ratio higher up to 6.35 mm roughness. A large coefficient of variation of the average strength ratio can be observed in the direct shear test compared to the slant shear test for varying roughness depths (Table 4). One of the potential reasons for this might be because of the unpredictable nature of cohesion strength. Yuan et al. [46] compiled results on the dependance of cohesion strength on interface roughness, for a UHPC–concrete interface, from experiments conducted by various researchers [19,41,47,48,49] and concluded that cohesion strength improves up to 2 mm roughness depth, after which it becomes unpredictable. Despite the high variation of the average strength ratio at low clamping pressure, the average strength ratio was roughly constant for both the direct shear test and slant shear test for varying clamping pressures (Figure 1 and Figure 2). Overall, a higher coefficient of variation was observed when the direct shear test was used rather than the slant shear test (Table 4). This is supported by findings from the existing research that also concluded that slant shear tests are inexpensive, have a wide range of applications, and offer higher reliability of results [45,50,51,52].
Despite the high variation of average strength at zero roughness, an almost constant average strength ratio was noted while observing the moving average line for UHPC–UHPC interfaces up to a roughness depth of 6.5 mm, after which it decreased (Figure 3). This can be observed from the results of the bin analysis as well (Table 4). This is consistent with the earlier result observed for the UHPC–concrete interface, where the average strength ratio decreased after 6.35 mm. However, the coefficient of variation of the average strength ratio was not as significantly high as for the UHPC–concrete interface in direct shear (Table 4). Apart from the results at zero clamping pressure, the average strength ratio variation with clamping pressure was around the ratio 3.0 (Figure 3). Significant conservatism of code was observed in the UHPC–UHPC interface for a specimen with zero clamping pressure. However, this conclusion needs to be verified by more experimental data.
High variation in results was obtained while plotting the variation of average strength with clamping pressure for monolithic UHPC interfaces (Figure 4). Nearly 31% of specimens were unconservative. The coefficient of variation was also around 30% for most of the bins (Table 4). The average strength ratio was around 1.0 for all the bins considered for the monolithic UHPC interface. The cohesion strength, c, prescribed in the AASHTO UHPC specification, is based on a limited number of experimental tests by Muzenski et al. [23]. Overestimation of interface shear capacity using this cohesive strength might be a potential reason for the higher percentage of unconservative results observed for the monolithic UHPC interface. Thus, more experimental verification is required to improve the cohesion strength estimation for monolithic UHPC interfaces, which is recommended by Muzenski et al. [23] as well.

4. Reliability Analysis

Before conducting reliability analyses, it was essential to determine the statistical parameters of the probability distribution for all variables involved in the demand and capacity models. Nowak et al. [34] have demonstrated that all parameters associated with the demand model can be characterized by normal distributions. In the capacity model, the material and fabrication factors are normally distributed [14,36]. Nevertheless, it was necessary to confirm the normality of the professional factor in the capacity model.
The professional factor, P, is the ratio of the experimental value to the theoretical value of interface shear capacity. To assess the normality of P, the mean and standard deviation were required. The professional factor was determined for all filtered data, and statistical parameters were computed from the cumulative distribution functions (CDFs) of P. The CDF curves of P were plotted against the standard normal variate, Z. The horizontal axis in these plots denotes the professional bias factor, P, while the vertical axis represents the distance from the mean value in terms of standard deviation. The distance from the mean value in terms of standard deviation is represented by the standard normal variate, Z.
The plot of the standard normal variate, Z, against the professional bias factor, P, for all the interfaces is presented in Figure 5a. It was observed that, except for the UHPC–UHPC interface and UHPC–concrete direct shear (DS) interface, all other interface types displayed fairly linear relationships. A straight-line plot of the CDF represents a normal CDF. The UHPC–concrete slant shear (SS) interface displayed an irregular shape at the higher end, which was ignored because the lower tail of the distribution is primarily important in reliability analysis [36]. However, for the UHPC–concrete interface in direct shear, even though its distribution is linear at the lower tail of the CDF, the entire dataset was better correlated with lognormal distribution. Figure 5b demonstrates the linear relationship of the standard normal variate with the logarithm of the professional bias factor for UHPC–concrete direct shear (DS) and the UHPC–UHPC interface. Thus, except for the UHPC–concrete interface in direct shear and the UHPC–UHPC interface, the normal distribution was used for other interface types.
When the distribution is normal, the intersection of the CDF plot with the horizontal axis passing through zero approximately corresponds to the mean value. The slope of the CDF will be equal to the inverse of the standard deviation. For lognormal distribution, the standard deviation and mean will be as according to Equations (17) and (18).
σ l n X 2 = l n 1 + σ X 2 μ X 2
μ l n X = ln μ X 0.5 σ l n X 2
where X is the lognormal random variable, σ is the standard deviation, and μ is the mean.
The statistical parameters determined from the CDFs are summarized in Table 5.
If R represents the capacity and Q represents the demand on the structure, the corresponding limit state function can be written as g(R,Q) = RQ [24]. From Equations (10) and (13), the limit state function can be expressed as Equation (19).
g R , Q = γ D C D C + γ D W D W + γ L L + I M ( L L + I M ) φ M F P ( D C + D W + L L + I M )
Expressing Equation (19) in terms of mean capacity and mean demand as defined in Equations (11) and (14), we obtain Equation (20).
g R , Q = λ M λ F λ P γ D C D C + γ D W D W + γ L L + I M ( L L + I M ) φ ( λ D C D C + λ D W D W + λ L L + I M L L + I M )
If the demand, Q, defined by Equation (13) is normalized as 1.0, then the limit state function can be expressed as Equation (21).
g R , Q = λ M λ F λ P γ D C ( 1 D R 1 L R + L R ) + γ D W ( D R ( 1 L R ) + γ L L + I M L R φ ( λ D C ( 1 D R 1 L R + L R ) + λ D W ( D R ( 1 L R ) ) + λ L L + I M L R
where LR is the live load ratio and DR is the dead load ratio. LR and DR are defined as follows:
L R = ( L L + I M ) D C + D W + ( L L + I M ) = ( L L + I M )
D R = D W D C + D W
For the limit state function defined by Equation (21), reliability indices were calculated using Equation (6) by varying the DR and LR from 0.1 to 1 at a 0.1 interval. This was performed for all considered interface types. Equation (6) is a closed-form solution only applicable to normally distributed demand and capacity. However, the professional factor for the UHPC–concrete interface in direct shear and UHPC–UHPC interface was lognormally distributed. Hence, the lognormally distributed professional factor was converted to equivalent normal distribution before using Equation (6). The equivalent normal statistical parameters for the lognormal random variable, X, can be determined as given in Equations (24) and (25).
σ X e = x     σ l n X
μ X e = x     [ 1 ln x + μ l n X ]
where σ X e denotes the equivalent normal standard deviation of the lognormal random variable, x is the design point, σ is the standard deviation, μ denotes the mean, and μ X e denotes the equivalent mean of the lognormal random variable. So, for calculating the reliability index from lognormally distributed data, a design point needs to be iterated until the reliability index converges. This procedure for calculating the reliability index is popularly known as the Rackwitz–Fiessler method [24]. A summary of reliability indices calculated for all possible combinations of dead load and live load is provided in Figure 6 and Figure 7.
From the calculated reliability indices shown in Figure 6, the probability of failure was determined using Equation (5). The probability of failure from the direct shear test in the UHPC–concrete interface was 1.5% on average, corresponding to an average reliability index of 2.17. The average reliability index was obtained as the mean of reliability indices for all possible ratios of DR and LR at a 0.1 interval. For the slant shear test, the reliability indices met the target reliability index for all possible combinations of dead load and live load ratios. The average reliability index obtained for the slant shear test was 3.77, which corresponds to a 0.008% probability of failure. This indicated better reliability of the slant shear test method than direct shear for the UHPC–concrete interface.
The average reliability index of the interface shear capacity for the UHPC–UHPC interface was computed as 3.32 (Figure 7), which was also below the target reliability index. The probability of failure associated with the reliability index of 3.32 was 0.045%. It is important to note that this calculation includes experimental results from both the slant shear test and direct shear test. Data from direct shear test had more variability than those from the slant shear test for the UHPC–UHPC interface type and were responsible for reducing the reliability index.
An average reliability index of 1.37 was observed for the monolithic UHPC interface (Figure 7), which corresponds to a probability of failure of 8.5%. In the monolithic UHPC interface, more than 95% of data were from direct shear testing.

5. Validation with Monte Carlo Simulation

Monte Carlo simulation (MCS) was performed to determine the probability of failure and corresponding reliability index associated with predicting the interface shear capacity of the four different types of interfaces considered, and validate the results obtained from the First-Order Second-Moment (FOSM) reliability method closed-form solution (Equation (6)). MCS is a special simulation technique where synthetic data are generated without performing any physical testing. Statistical parameters of all the random variables in Equation (19) were utilized to randomly generate n = 100,000,000 occurrences of each random variable and evaluate the performance function, g R , Q , for each set of the generated synthetic data. The probability of failure was calculated as p f = g R , Q < 0 n . The reliability indices corresponding to the obtained probability of failure are compared with the result from FOSM testing and shown in Figure 8 and Figure 9.
Reliability indices were not compared for UHPC–concrete (slant shear test) because the probabilities of failure obtained from MCS were nearly equal to zero. The computation of the reliability index for zero probability of failure is numerically not a finite number.
From Figure 8 and Figure 9, it can be observed that the reliability indices obtained from both methods are almost comparable with each other. The MCS generally resulted in slightly higher reliability indices compared to the FOSM reliability method for all considered cases. Thus, the FOSM method is used to calculate reliability indices in Section 6 as it is more conservative.

6. Proposed Interface Shear Capacity Model for Monolithic UHPC Interface

The theoretical computation of monolithic UHPC interface shear capacity from Equation (2) requires determination of the localization stress of UHPC and stress in the shear connector corresponding to the localization strain of UHPC. This requires performing tensile testing of UHPC and the placing of strain gauges in shear connectors during the experiment, which entails additional effort, time, and cost. Since a low reliability index was computed for monolithic UHPC interface in the previous section, an attempt is made in this paper to propose an interface shear capacity model for the monolithic UHPC interface with readily determined parameters. The proposed interface shear capacity model is then fitted to meet the target reliability index of 3.5.
The current equation in the AASHTO UHPC specification is based on the research of Muzenski et al. [23]. As per Muzenski et al., after the apparent first cracking, the strain in the shear connector will increase more rapidly as the UHPC segments on either side of the crack move relative to each other, leading to a tendency for separating along the direction normal to the interface. Furthermore, they also observed an increase in strain in UHPC because of crack widening. Due to fiber reinforcement, UHPC provided tensile resistance and contributed to clamping pressure along with the shear connector. This tensile resistance is represented by localization stress of the UHPC in the capacity model defined by Equation (2).
This paper proposes an alternative interface shear capacity model for monolithic UHPC interfaces in terms of fiber characteristics rather than the localization stress of UHPC. Past research has indicated the dependance of both interface shear capacity and localization stress of UHPC on fiber characteristics [46,47,48,53,54,55,56]. Park et al. [57] observed that only the first cracking load in UHPC was determined by the UHPC matrix, and Qiu et al. [58] noted that the first cracking load of UHPC specimens with or without steel fibers was similar while performing direct tension tests. After the first cracking, however, it was the fibers that provided the tensile resistance rather than the UHPC matrix [56,59,60]. Hoang and Fehling [61] presented a schematic showing the fiber activation range from the experiment conducted by Leutbecher [56], where it can be observed that fibers are activated in tensile resistance after the first crack (Figure 10).
The relation between fiber characteristics and localization stress established by previous researchers is adopted in this paper to propose a more reliable alternative interface shear capacity model. Fiber characteristics is expressed as the fiber factor, K, which is function of fiber volume and fiber aspect ratio [62]. The fiber factor is defined as Equation (26) by Tue et al. [62].
K = ρ f l f d f
where K is the fiber factor, ρ f is the fiber volume ratio, l f is the length of the fiber, d f is the diameter of the fiber, and l f d f is the aspect ratio of fibers.
Hoang and Fehling [61] established a relation between the fiber efficiency and the fiber factor, K, from a database of direct tension tests conducted by several researchers. They found a lognormal relationship between fiber efficiency and the fiber factor. Fiber efficiency actually corresponds to the localization stress of UHPC.
Based on these findings, the proposed interface shear capacity model for the monolithic UHPC interface is provided in Equation (27). Cohesion strength, c, and coefficient of friction, μ ,   need to be referred from the AASHTO UHPC specification [6].
V n i = c A c v + μ A v f f y + α γ A c v
where α is a dimensionless constant whose value is determined from reliability analysis, A c v is the area of interface, A v f is the area of reinforcement passing through the interface, and f y is the minimum yield strength of reinforcement and is assumed to be limited to 413.7 MPa (60 ksi). For specimens subjected to slant shear tests, A c v shall be taken as the area of interface along the slant, accounting for the angle of the slant. γ   is the localization stress and is defined as Equation (28) based on the regression analysis carried out by Hoang and Fehling [61] in MPa units and ≥0. The coefficient of friction ( μ ) is kept as 1.0, the same as in the AASHTO UHPC specification.
γ = 4.82 ln K + 9.08
In Equation (28), the localization stress of UHPC is expressed in terms of the fiber factor. Typically, the aspect ratio of fibers used in UHPC mixes is varied between 60 and 100. From Equation (28), the fiber factor, K, should be at least 0.152 to obtain the contribution of clamping from UHPC in interface shear capacity, else γ will be negative, causing a reduction in interface shear capacity which is not physically possible. A fiber factor of 0.152 corresponds to 0.25% and 0.15% of fiber volume for a fiber aspect ratio of 60 and 100, respectively. If the fiber aspect ratio is increased, the fiber volume requirement will decrease to obtain the contribution of clamping pressure from UHPC, which is not unexpected. The minimum yield strength of reinforcement is capped at 413.7 MPa (60 ksi) because UHPC tensile stress is likely to localize before reinforcement with higher strength yields, as supported by experimental data from Muzenski et al. [23].
The dimensionless constant, α ,   includes the variability arising from fiber orientation angle and UHPC tensile characteristics. A minimal effect of fiber texture on tensile strength was observed by Qiu et al. [58] while performing a direct tension test; therefore, the fiber texture parameter was not included in the model. Determining fiber orientation requires section cutting and orientation angle computation using modern software and equipment, which diverges from the proposed model’s objective. The proposed model aims to simplify the current interface shear capacity model by utilizing readily available parameters.
The normality of the professional factor, P, was checked as explained in previous sections. The distribution of P was lognormal, which made the resistance model also lognormal. The demand model, as described in the previous section, was considered as having a normal distribution.
The localization stress provided by Equation (28) was calibrated for smooth and hooked-end steel fibers with an aspect ratio ranging from 60 to 133.3 and a fiber factor ranging from 0.24 to 2.4. Since the same equation was adopted in the proposed interface shear capacity model, reliability analyses were conducted for the dataset complying with the aforementioned range. A total of 64 data points were found to meet these conditions. The mean and standard deviation of P for the proposed model were calculated as 0.115 and 0.171, respectively, and distribution was lognormal.
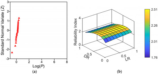
Iteration of the dimensionless constant, α , was performed to achieve a reliability index of 3.5. During this process, care was taken to avoid making the product of α and γ unrealistically low, as this product represents the factored localization stress of UHPC, which cannot be unrealistically low. Although the initial target was to achieve a reliability index of 3.5 for all possible combinations of load ratios, an average reliability index of only 2.22 was achieved while keeping α as 0.75. A higher reliability index could have been achieved by lowering the value of α , which was not carried out to avoid unrealistically low factored localization stress of UHPC.
For the considered dataset in this paper, the localization stress obtained from Equation (28) ranged from 8 to 13.5 MPa (1.16–1.96 ksi) for fiber volume between 1 and 4% and a fiber aspect ratio between 60 and 125. The reliability index computed for all possible load ratios using the proposed capacity model of Equation (27) is presented in Figure 11. The minimum and maximum reliability indices obtained were 1.76 and 2.51, respectively. The average reliability index was 2.22, which corresponds to a probability of failure of 1.3%. Table 6 compares the probability of failure obtained from the interface shear capacity model provided in the AASHTO UHPC specification and proposed interface shear capacity model, for all possible DR and LR values of the monolithic UHPC interface. A significant improvement in capacity prediction was observed while using the proposed interface shear capacity model compared to the AASHTO UHPC specification.
The factor, α , presented in the proposed capacity model is similar to the tensile strength reduction factor, γ u , in Equation (2). Given that the AASHTO UHPC specification does not specify any fixed value for γ u , a value of 0.85 was adopted [5] while calculating the reliability index of the monolithic UHPC interface from the AASHTO UHPC specification interface shear capacity model. Thus, the average reliability index was checked by setting α to be equal to 0.85 as well. When α was equal to 0.85, the average reliability index obtained was 2.04, which corresponds to a probability of failure of 2.06%. This is still a significant improvement compared to the 8.5% probability of failure obtained by using the capacity model of the AASHTO UHPC specification.

7. Conclusions

In this paper, a database of experimental data for the interface shear capacity of UHPC members was compiled, and a statistical evaluation was conducted. Reliability analysis was then performed to determine the probability of failure for each interface type. The following are the main conclusions drawn:
  • A higher coefficient of variation was observed when determining the interface shear capacity from direct shear tests compared to slant shear tests for UHPC–concrete interfaces. A similar assessment could not be performed for the UHPC–UHPC interface and UHPC monolithic interface because of inadequate data volume.
  • A lower reliability index was observed when the direct shear test method was utilized for determining the interface shear capacity of the UHPC–concrete interface and monolithic UHPC interface.
  • The interface shear capacity model provided in the AASHTO UHPC specification was unconservative for the monolithic UHPC interface. Thus, a simpler alternative model is proposed. The proposed alternative model incorporates readily available parameters, is more accurate, and has a better reliability index compared to the AASHTO UHPC specification.
  • The proposed alternative model of interface shear capacity for monolithic UHPC utilizes the fiber factor to determine the localization stress in UHPC. This approach eliminates the need for experiments to determine localization stress in UHPC, as the fiber factor is a readily determined parameter. The proposed model is calibrated for a fiber factor ranging from 60 to 125. Experimental data are required to validate the model for a fiber factor outside the specified range.
  • The reliability indices calculated in this paper were obtained from a limited available dataset. The calculation of reliability indices from a larger volume of data will help in confirming the obtained results.

Supplementary Materials

The following supporting information can be downloaded at https://www.mdpi.com/article/10.3390/buildings14103064/s1, Table S1: Direct shear test results of UHPC–concrete interface [20,21,40,42,63,64,65,66,67,68,69,70]; Table S2: Slant shear test results of UHPC–concrete interface [19,38,41,46,47,48,68,70,71,72,73,74,75,76]; Table S3: Direct shear test results of UHPC–UHPC interface [20,39,42,77]; Table S4: Slant shear test results of UHPC–UHPC interface [9,78,79,80]; Table S5: Direct shear test results of monolithic UHPC interface [20,23,39,42,54,77,81,82,83]; Table S6: Slant shear test results of monolithic UHPC interface [9].

Author Contributions

Conceptualization, S.A.; methodology, S.A. and P.K.; software, B.P. and P.K.; validation, B.P., P.K., and S.A.; formal analysis, B.P. and P.K.; investigation, B.P. and P.K.; resources, B.P.; data curation, B.P.; writing—original draft preparation, B.P.; writing—review and editing, P.K. and S.A.; supervision, S.A. All authors have read and agreed to the published version of the manuscript.

Funding

This research is partly supported by the funding from the Alabama Department of Economic and Community Affairs through the ARDEF program (Grant No: 1ARDEF22 01).

Data Availability Statement

Data will be made available upon reasonable request.

Conflicts of Interest

The authors declare no conflicts of interest.

References

  1. Habel, K.; Viviani, M.; Denarié, E.; Brühwiler, E. Development of the Mechanical Properties of an Ultra-High Performance Fiber Reinforced Concrete (UHPFRC). Cem. Concr. Res. 2006, 36, 1362–1370. [Google Scholar] [CrossRef]
  2. Graybeal, B.; Tanesi, J. Durability of an Ultrahigh-Performance Concrete. J. Mater. Civ. Eng. 2007, 19, 848–854. [Google Scholar] [CrossRef]
  3. Lepech, M.D.; Li, V.C. Water Permeability of Engineered Cementitious Composites. Cem. Concr. Compos. 2009, 31, 744–753. [Google Scholar] [CrossRef]
  4. Graybeal, B.A. Material Property Characterization of Ultra-High Performance Concrete; Turner-Fairbank Highway Research Center: McLean, VA, USA, 2006. [Google Scholar]
  5. El-Helou, R.G.; Haber, Z.B.; Graybeal, B.A. Graybeal Mechanical Behavior and Design Properties of Ultra-High- Performance Concrete. ACI Mater. J. 2022, 119, 181–194. [Google Scholar] [CrossRef]
  6. Graybeal, B.; El-Helou, R. FHWA Structural Design with Ultra-High Performance Concrete; Office of Infrastructure Research and Development: Washington, DC, USA, 2023. [Google Scholar] [CrossRef]
  7. American Association of State Highway and Transportation Officials. AASHTO LRFD Bridge Design Specification, 9th ed.; AASHTO Publication: Washington, DC, USA, 2020. [Google Scholar]
  8. Aaleti, S.; Sritharan, S. Quantifying Bonding Characteristics between UHPC and Normal-Strength Concrete for Bridge Deck Application. J. Bridge Eng. 2019, 24, 04019041. [Google Scholar] [CrossRef]
  9. Semendary, A.A.; Svecova, D. Bond Characterization and Interfacial Coefficients at Precast UHPC and Cast-in-Place UHPC Interface. J. Mater. Civ. Eng. 2021, 33, 04021143. [Google Scholar] [CrossRef]
  10. American Association of State Highway and Transportation Officials. Guide Specifications for Structural Design with Ultra-High Performance Concrete, 1st ed.; AASHTO Publication: Washington, DC, USA, 2024. [Google Scholar]
  11. Nowak, A.S. Calibration of LRFD Bridge Design Code; NCHRP Report; Transportation Research Board: Washington, DC, USA, 1999. [Google Scholar]
  12. ACI 318-19: Building Code Requirements for Structural Concrete and Commentary; American Concrete Institute: Farmington Hills, MI, USA, 2019; Available online: https://www.concrete.org/Portals/0/Files/PDF/Previews/318-19_preview.pdf (accessed on 20 July 2024).
  13. Sharma, S.; Aaleti, S.; Dao, T.N. An Experimental and Statistical Study of Normal Strength Concrete (NSC) to Ultra High Performance Concrete (UHPC) Interface Shear Behavior. In International Interactive Symposium on Ultra-High Performance Concrete; Iowa State University Digital Press: Ames, IA, USA, 2019; Volume 2. [Google Scholar]
  14. Soltani, M. Reliability Analyses of Interface Shear Transfer in AASHTO LRFD Specifications Model. PCI J. 2018, 63, 36–50. [Google Scholar] [CrossRef]
  15. Birkeland, P.W.; Birkeland, H.W. Connections in Precast Concrete Construction. J. Proc. 1966, 63, 345–368. [Google Scholar]
  16. Mattock, A.H.; Hawkins, N.M. Shear Transfer in Reinforced Concrete—Recent Research. PCI J. 1972, 17, 55–75. [Google Scholar] [CrossRef]
  17. Randl, N. Investigations on Transfer of Forces between Old and New Concrete at Different Joint Roughness. Ph.D. Thesis, Faculty of Civil Engineering Sciences, University of Innsbruck, Innsbruck, Austria, 1997. [Google Scholar]
  18. Sarkar, J. Characterization of the Bond Strength between Ultra High Performance Concrete Bridge Deck Overlays and Concrete Substrates; Michigan Technological University: Houghton, MI, USA, 2010; ISBN 1-109-76909-1. [Google Scholar]
  19. Carbonell Muñoz, M.A.; Harris, D.K.; Ahlborn, T.M.; Froster, D.C. Bond Performance between Ultrahigh-Performance Concrete and Normal-Strength Concrete. J. Mater. Civ. Eng. 2014, 26, 04014031. [Google Scholar] [CrossRef]
  20. Jang, H.-O.; Lee, H.-S.; Cho, K.; Kim, J. Experimental Study on Shear Performance of Plain Construction Joints Integrated with Ultra-High Performance Concrete (UHPC). Constr. Build. Mater. 2017, 152, 16–23. [Google Scholar] [CrossRef]
  21. Sharma, S.; Ronanki, V.S.; Aaleti, S.; Okumus, P. Experimental Investigation of Surface Preparation on Normal and Ultrahigh-Performance Concrete Interface Behavior. J. Bridge Eng. 2021, 26, 04021010. [Google Scholar] [CrossRef]
  22. B.S.I Eurocode 2: Design of Concrete Structures: British Standard; BSi London: London, UK, 2008; ISBN 978-0-580-61759-1. Available online: https://www.phd.eng.br/wp-content/uploads/2015/12/en.1992.1.1.2004.pdf (accessed on 20 July 2024).
  23. Muzenski, S.; Haber, Z.B.; Graybeal, B. Interface Shear of Ultra-High-Performance Concrete. ACI Struct. J. 2022, 119, 267–280. [Google Scholar] [CrossRef]
  24. Nowak, A.S.; Collins, K.R. Reliability of Structures; CRC Press: Boca Raton, FL, USA, 2012; ISBN 0-415-67575-8. [Google Scholar]
  25. Tabsh Sami, W.; Nowak Andrzej, S. Reliability of Highway Girder Bridges. J. Struct. Eng. 1991, 117, 2372–2388. [Google Scholar] [CrossRef]
  26. Allen, D.E. Limit States Design—A Probabilistic Study. Can. J. Civ. Eng. 1975, 2, 36–49. [Google Scholar] [CrossRef]
  27. Ellingwood, B.R. Development of a Probability Based Load Criterion for American National Standard A58: Building Code Requirements for Minimum Design Loads in Buildings and Other Structures; US Department of Commerce, National Bureau of Standards: Washington, DC, USA, 1980; Volume 13. [Google Scholar]
  28. Ellingwood, B.; Galambos, T.V. Probability-Based Criteria for Structural Design. Struct. Saf. 1982, 1, 15–26. [Google Scholar] [CrossRef]
  29. Nowak, A.S.; Szerszen, M.M. Structural Reliability as Applied to Highway Bridges. Prog. Struct. Eng. Mater. 2000, 2, 218–224. [Google Scholar] [CrossRef]
  30. Rackwitz, R. Optimization—The Basis of Code-Making and Reliability Verification. Struct. Saf. 2000, 22, 27–60. [Google Scholar] [CrossRef]
  31. Rosenblueth, E.; Mendoza, E. Reliability Optimization in Isostatic Structures. J. Eng. Mech. Div. 1971, 97, 1625–1642. [Google Scholar] [CrossRef]
  32. Ang, A.H.-S.; De Leon, D.; Fan, W. Optimal Reliability-Based Aseismic Design of High-Rise Buildings. Struct. Infrastruct. Eng. 2020, 16, 520–530. [Google Scholar] [CrossRef]
  33. Frangopol, D.M.; Kozy, B.M.; Zhu, B.; Sabatino, S. Bridge System Reliability and Reliability-Based Redundancy Factors; Federal Highway Administration. Office of Infrastructure: Washington, DC, USA, 2019. [Google Scholar]
  34. Nowak, A.S.; Szerszen, M.M.; Szeliga, E.K.; Podhorecki, P.J. Reliability-Based Calibration for Structural Concrete; University of Nebraska: Lincoln, NE, USA, 2005; Volume 9. [Google Scholar]
  35. Nowak, A. Design Loads for Future Bridges; National Technical Information Service: Springfield, VA, USA, 1987. [Google Scholar]
  36. Nowak, A.S.; Szerszen, M.M. Calibration of Design Code for Buildings (ACI 318): Part 1—Statistical Models for Resistance. ACI Struct. J. 2003, 100, 377–382. [Google Scholar] [CrossRef]
  37. Čairović, Đ.; De La Fuente, A.; Zlámal, M.; Venclovský, J.; Girgle, F.; Januš, O.; Štěpánek, P. Suitability of Different Tests for Characterization of the Dimpled Concrete-to-concrete Interface. Struct. Concr. 2021, 22, 757–774. [Google Scholar] [CrossRef]
  38. Semendary, A.A.; Svecova, D. Interfacial Parameters for Bridge Connections at High-Strength Concrete–Ultrahigh-Performance Concrete Interface. J. Mater. Civ. Eng. 2020, 32, 04020060. [Google Scholar] [CrossRef]
  39. Muzenski, S.; Haber, Z.B.; Graybeal, B. Monolithic and Non-Monolithic Interface Shear Performance of Ultra-High Performance Concrete. Eng. Struct. 2023, 281, 115667. [Google Scholar] [CrossRef]
  40. Valikhani, A.; Jahromi, A.J.; Mantawy, I.M.; Azizinamini, A. Effect of Mechanical Connectors on Interface Shear Strength between Concrete Substrates and UHPC: Experimental and Numerical Studies and Proposed Design Equation. Constr. Build. Mater. 2021, 267, 120587. [Google Scholar] [CrossRef]
  41. Zhang, Y.; Zhu, P.; Liao, Z.; Wang, L. Interfacial Bond Properties between Normal Strength Concrete Substrate and Ultra-High Performance Concrete as a Repair Material. Constr. Build. Mater. 2020, 235, 117431. [Google Scholar] [CrossRef]
  42. Crane, C.K. Shear and Shear Friction of Ultra-High Performance Concrete Bridge Girders. Ph.D. Thesis, Georgia Institute of Technology, Atlanta, GA, USA, 2010. [Google Scholar]
  43. Soltani, M.; Ross, B.E. Database Evaluation of Interface Shear Transfer in Reinforced Concrete Members. ACI Struct. J. 2017, 114, 383. [Google Scholar] [CrossRef]
  44. Austin, S.; Robins, P.; Pan, Y. Shear Bond Testing of Concrete Repairs. Cem. Concr. Res. 1999, 29, 1067–1076. [Google Scholar] [CrossRef]
  45. Momayez, A.; Ehsani, M.R.; Ramezanianpour, A.A.; Rajaie, H. Comparison of Methods for Evaluating Bond Strength between Concrete Substrate and Repair Materials. Cem. Concr. Res. 2005, 35, 748–757. [Google Scholar] [CrossRef]
  46. Yuan, S.; Liu, Z.; Tong, T.; Fu, C.C. Bond Behaviors between UHPC and Normal-Strength Concrete: Experimental Investigation and Database Construction. J. Mater. Civ. Eng. 2022, 34, 04021398. [Google Scholar] [CrossRef]
  47. Harris, D.K.; Sarkar, J.; Ahlborn, T.T.M. Characterization of Interface Bond of Ultra-High-Performance Concrete Bridge Deck Overlays. Transp. Res. Rec. 2011, 2240, 40–49. [Google Scholar] [CrossRef]
  48. Tayeh, B.A.; Abu Bakar, B.H.; Megat Johari, M.A.; Voo, Y.L. Mechanical and Permeability Properties of the Interface between Normal Concrete Substrate and Ultra High Performance Fiber Concrete Overlay. Constr. Build. Mater. 2012, 36, 538–548. [Google Scholar] [CrossRef]
  49. AlHallaq, A.; Tayeh, B.; Shihada, S. Investigation of the Bond Strength between Existing Concrete Substrate and UHPC as a Repair Material. Int. J. Eng. Adv. Technol. 2017, 6, 210–217. [Google Scholar]
  50. Li, S. Durability and Bond of High-Performance Concrete and Repaired Portland Cement Concrete; University of Connecticut: Storrs, CT, USA, 1997; ISBN 0-591-40291-2. [Google Scholar]
  51. Silfwerbrand, J. Shear Bond Strength in Repaired Concrete Structures. Mater. Struct. 2003, 36, 419–424. [Google Scholar] [CrossRef]
  52. Saucier, F.; Bastien, J.; Pigeon, M.; Fafard, M. A Combined Shear-Compression Device to Measure Concrete-to-Concrete Bonding. Exp. Tech. 1991, 15, 50–55. [Google Scholar] [CrossRef]
  53. Abellán-García, J.; Fernández, J.; Torres-Castellanos, N.; Núñez-López, A. Tensile Behavior of Normal-Strength Steel-Fiber Green Ultra-High-Performance Fiber-Reinforced Concrete. ACI Mater. J. 2021, 118, 127–138. [Google Scholar]
  54. Wu, P.; Wu, C.; Liu, Z.; Hao, H. Investigation of Shear Performance of UHPC by Direct Shear Tests. Eng. Struct. 2019, 183, 780–790. [Google Scholar] [CrossRef]
  55. Kazemi, S.; Lubell, A.S. Influence of Specimen Size and Fiber Content on Mechanical Properties of Ultra-High-Performance Fiber-Reinforced Concrete. ACI Materails J. 2012, 109, 675–684. [Google Scholar] [CrossRef]
  56. Leutbecher, T. Rissbildung Und Zugtragverhalten von Mit Stabstahl Und Fasern Bewehrtem Ultrahochfesten Beton (UHPC); Kassel University Press GmbH: Kassel, Germany, 2008; Volume 9, ISBN 3-89958-374-4. [Google Scholar]
  57. Park, S.H.; Kim, D.J.; Ryu, G.S.; Koh, K.T. Tensile Behavior of Ultra High Performance Hybrid Fiber Reinforced Concrete. Cem. Concr. Compos. 2012, 34, 172–184. [Google Scholar] [CrossRef]
  58. Qiu, M.; Shao, X.; Zhu, Y.; Hussein, H.H.; Li, F.; Li, X. Effect of Aspect Ratios of Hooked End and Straight Steel Fibers on the Tensile Strength of UHPFRC. J. Mater. Civ. Eng. 2022, 34, 04022131. [Google Scholar] [CrossRef]
  59. Fehling, E.; Schmidt, M.; Walraven, J.; Leutbecher, T.; Fröhlich, S. Ultra-High Performance Concrete UHPC; Ernst & Sohn: Berlin, Germany, 2014. [Google Scholar]
  60. Schmidt, M.; Fehling, E.; Fröhlich, S.; Thiemicke, J. Sustainable Building with Ultra-High Performance Concrete—Results of the German Priority Programme 1182 Funded by Deutsche Forschungsgemeinschaft (DFG); Structural Materials and Engineering Series; Kassel University Press: Kassel, Germany, 2014; p. 22. [Google Scholar]
  61. Le Hoang, A.; Fehling, E. Influence of Steel Fiber Content and Aspect Ratio on the Uniaxial Tensile and Compressive Behavior of Ultra High Performance Concrete. Constr. Build. Mater. 2017, 153, 790–806. [Google Scholar] [CrossRef]
  62. Tue, N.V.; Küchler, M.; Henze, S. Modulare Truss Construction Made of Ultra High Performance Concrete. In Proceedings of the 3rd ACF International Conference-ACF/VCA, Ho Chi Minh City, Vietnam, 11–13 November 2008. [Google Scholar]
  63. Zhang, Y.; Zhu, P.; Wang, X.; Wu, J. Shear Properties of the Interface between Ultra-High Performance Concrete and Normal Strength Concrete. Constr. Build. Mater. 2020, 248, 118455. [Google Scholar] [CrossRef]
  64. Zhang, Y.; Zhang, C.; Zhu, Y.; Cao, J.; Shao, X. An Experimental Study: Various Influence Factors Affecting Interfacial Shear Performance of UHPC-NSC. Constr. Build. Mater. 2020, 236, 117480. [Google Scholar] [CrossRef]
  65. Guan, D.; Liu, J.; Jiang, C.; Chen, Z.; Guo, Z. Shear Behaviour of the UHPC-NSC Interface with Castellated Keys: Effects of Castellated Key Dimension and Dowel Rebar. Structures 2021, 31, 172–181. [Google Scholar] [CrossRef]
  66. Zeng, X.; Wang, P.; You, X. Shear Performance of Interface between Ultra-High Performance Concrete and Normal Concrete Treated with Ribs. Structures 2024, 60, 105867. [Google Scholar] [CrossRef]
  67. Liu, J.; Chen, Z.; Guan, D.; Lin, Z.; Guo, Z. Experimental Study on Interfacial Shear Behaviour between Ultra-High Performance Concrete and Normal Strength Concrete in Precast Composite Members. Constr. Build. Mater. 2020, 261, 120008. [Google Scholar] [CrossRef]
  68. Jafarinejad, S.; Rabiee, A.; Shekarchi, M. Experimental Investigation on the Bond Strength between Ultra High Strength Fiber Reinforced Cementitious Mortar & Conventional Concrete. Constr. Build. Mater. 2019, 229, 116814. [Google Scholar] [CrossRef]
  69. Mansour, W.; Fayed, S. Effect of Interfacial Surface Preparation Technique on Bond Characteristics of Both NSC-UHPFRC and NSC-NSC Composites. Structures 2021, 29, 147–166. [Google Scholar] [CrossRef]
  70. Banta, T. Horizontal Shear Transfer Between Ultra High Performance Concrete and Lightweight Concrete. Master’s Thesis, Virginia Tech, Blacksburg, VA, USA, 2005. [Google Scholar]
  71. Aaleti, S.; Sritharan, S. Investigation of a Suitable Shear Friction Interface between UHPC and Normal Strength Concrete for Bridge Deck Applications; Iowa State University: Ames, IA, USA, 2017. [Google Scholar]
  72. Shi, W.; Shafei, B. Bond Characteristics between Conventional Concrete and Six High-Performance Patching Materials. Constr. Build. Mater. 2021, 308, 124898. [Google Scholar] [CrossRef]
  73. Semendary, A.A.; Svecova, D. Factors Affecting Bond between Precast Concrete and Cast in Place Ultra High Performance Concrete (UHPC). Eng. Struct. 2020, 216, 110746. [Google Scholar] [CrossRef]
  74. Li, Z.; Rangaraju, P.R. Effect of Surface Roughness on the Bond Between Ultrahigh-Performance and Precast Concrete in Bridge Deck Connections. Transp. Res. Rec. 2016, 2577, 88–96. [Google Scholar] [CrossRef]
  75. Farzad, M.; Shafieifar, M.; Azizinamini, A. Experimental and Numerical Study on Bond Strength between Conventional Concrete and Ultra High-Performance Concrete (UHPC). Eng. Struct. 2019, 186, 297–305. [Google Scholar] [CrossRef]
  76. Feng, S.; Xiao, H.; Li, H. Comparative Studies of the Effect of Ultrahigh-Performance Concrete and Normal Concrete as Repair Materials on Interfacial Bond Properties and Microstructure. Eng. Struct. 2020, 222, 111122. [Google Scholar] [CrossRef]
  77. Jiang, H.; Shao, T.; Fang, Z.; Xiao, J.; Hu, Z. Shear-Friction Behavior of Grooved Construction Joints between a Precast UHPC Girder and a Cast-in-Place Concrete Slab. Eng. Struct. 2021, 228, 111610. [Google Scholar] [CrossRef]
  78. Lu, K.; Pang, Z.; Xu, Q.; Yao, Y.; Wang, J.; Miao, C. Bond Strength between Substrate and Post-Cast UHPC with Innovative Interface Treatment. Cem. Concr. Compos. 2022, 133, 104691. [Google Scholar] [CrossRef]
  79. Semendary, A.A.; Kriegl, A.J.; Svecova, D. Experimental Study on Bond Performance at UHPC-UHPC Cold Joints. Constr. Build. Mater. 2022, 344, 128237. [Google Scholar] [CrossRef]
  80. Ding, J.; Zhu, J.; Kang, J. Bonding Properties and Mechanism of the Interface between Precast UHPC and Post-Cast UHPC. Structures 2022, 43, 822–833. [Google Scholar] [CrossRef]
  81. Li, C.; Feng, Z.; Ke, L.; Pan, R.; Nie, J. Experimental Study on Shear Performance of Cast-In-Place Ultra-High Performance Concrete Structures. Materials 2019, 12, 3254. [Google Scholar] [CrossRef]
  82. Feng, Z.; Li, C.; Pan, R.; Yoo, D.-Y.; He, J.; Ke, L. Shear Capacity of Ultrahigh-Performance Concrete with Monolithic Interface and Wet-Joint Interface. J. Mater. Civ. Eng. 2022, 34, 04022153. [Google Scholar] [CrossRef]
  83. Lakavath, C.; Prakash, S.S. Interface Shear Behavior of Ultrahigh-Performance Fiber-Reinforced Concrete Using Digital Image Correlation Technique. J. Mater. Civ. Eng. 2024, 36, 04023589. [Google Scholar] [CrossRef]
Figure 1. Variation of interface shear capacity ratio for UHPC–concrete interface from direct shear test with (a) substrate compressive strength, (b) roughness depth, and (c) clamping pressure.
Figure 1. Variation of interface shear capacity ratio for UHPC–concrete interface from direct shear test with (a) substrate compressive strength, (b) roughness depth, and (c) clamping pressure.
Buildings 14 03064 g001
Figure 2. Variation of interface shear capacity ratio for UHPC–concrete interface from slant shear test with (a) substrate compressive strength, (b) roughness depth, and (c) clamping pressure.
Figure 2. Variation of interface shear capacity ratio for UHPC–concrete interface from slant shear test with (a) substrate compressive strength, (b) roughness depth, and (c) clamping pressure.
Buildings 14 03064 g002
Figure 3. Variation of interface shear capacity ratio for UHPC–UHPC interface with (a) roughness depth and (b) clamping pressure.
Figure 3. Variation of interface shear capacity ratio for UHPC–UHPC interface with (a) roughness depth and (b) clamping pressure.
Buildings 14 03064 g003
Figure 4. Variation of interface shear capacity ratio for monolithic UHPC interface with (a) roughness depth and (b) clamping pressure.
Figure 4. Variation of interface shear capacity ratio for monolithic UHPC interface with (a) roughness depth and (b) clamping pressure.
Buildings 14 03064 g004
Figure 5. (a) CDF of professional bias factor for considered interface types. (b) CDF of professional bias factor for UHPC–concrete direct shear (DS) and UHPC–UHPC interface in logarithmic scale.
Figure 5. (a) CDF of professional bias factor for considered interface types. (b) CDF of professional bias factor for UHPC–concrete direct shear (DS) and UHPC–UHPC interface in logarithmic scale.
Buildings 14 03064 g005
Figure 6. Reliability indices of UHPC–concrete interface shear capacity using (a) direct shear test and (b) slant shear test.
Figure 6. Reliability indices of UHPC–concrete interface shear capacity using (a) direct shear test and (b) slant shear test.
Buildings 14 03064 g006
Figure 7. Reliability indices of interface shear capacity for (a) UHPC–UHPC interface and (b) UHPC monolithic interface.
Figure 7. Reliability indices of interface shear capacity for (a) UHPC–UHPC interface and (b) UHPC monolithic interface.
Buildings 14 03064 g007
Figure 8. Comparison of reliability indices from FOSM method and MCS for UHPC–concrete interface (direct shear test).
Figure 8. Comparison of reliability indices from FOSM method and MCS for UHPC–concrete interface (direct shear test).
Buildings 14 03064 g008
Figure 9. Comparison of reliability indices from FOSM method and MCS for (a) UHPC–UHPC interface and (b) UHPC monolithic interface.
Figure 9. Comparison of reliability indices from FOSM method and MCS for (a) UHPC–UHPC interface and (b) UHPC monolithic interface.
Buildings 14 03064 g009
Figure 10. (a) Schematic view of normalized tensile stress–crack opening relationship of UHPC [61]. (b) Fiber efficiency relationship with fiber factor [61].
Figure 10. (a) Schematic view of normalized tensile stress–crack opening relationship of UHPC [61]. (b) Fiber efficiency relationship with fiber factor [61].
Buildings 14 03064 g010
Figure 11. For proposed capacity model of UHPC monolithic interface: (a) CDF of professional bias factor, P, in logarithmic scale and (b) reliability index of interface shear capacity when α = 0.75.
Figure 11. For proposed capacity model of UHPC monolithic interface: (a) CDF of professional bias factor, P, in logarithmic scale and (b) reliability index of interface shear capacity when α = 0.75.
Buildings 14 03064 g011
Table 1. Cohesion and coefficient of friction in AASHTO UHPC specification.
Table 1. Cohesion and coefficient of friction in AASHTO UHPC specification.
Condition of InterfaceCohesion (c) (MPa)Coefficient of Friction (μ)
Monolithic9.651.0
Smooth, free of laitance and not intentionally roughened to an amplitude of 6.35 mm0.520.6
Rough, free of laitance with surface intentionally roughened to amplitude keys of 6.35 mm0.521.0
Rough, free of laitance with surface intentionally roughened to amplitude of 12.7 mm deep flutes3.451.0
UHPC placed against clean conventional concrete substrate, free of laitance, but not intentionally roughened0.520.6
UHPC placed against clean conventional concrete substrate, free of laitance, but intentionally roughened to amplitude of 6.35 mm1.651.0
Note: 1 MPa = 0.145 ksi.
Table 2. Adopted bias factors and coefficients of variation for different load types [11].
Table 2. Adopted bias factors and coefficients of variation for different load types [11].
Load TypeBias FactorCoefficient of Variation
DC1.050.1
DW1.050.25
LL+IM1.280.18
Table 3. Summary of number of specimens used for statistical analysis.
Table 3. Summary of number of specimens used for statistical analysis.
Interface TypeTest MethodNumber of Research GroupsNumber of Specimen Data CollectedNumber of Rejected SpecimenNumber of Specimens Adopted for AnalysisTotal
UHPC–concrete Direct shear 1615015135350
Slant shear132150215
UHPC–UHPC Direct shear 101139419111
Slant shear892092
Monolithic UHPC Direct shear 109698791
Slant shear1404
Table 4. Bin evaluation of experimental variables.
Table 4. Bin evaluation of experimental variables.
Direct Shear Test Results for UHPC–Concrete Interface
Substrate compressive strength (MPa)Roughness depth (mm)Clamping pressure (MPa)
17.2–27.627.6–37.937.9–48.348.3–58.6>58.600–11–22–33–6.35 >6.3500–1.41.4–2.72.7–4.14.1–5.5
Average strength ratio1.483.192.883.092.432.153.403.714.734.081.633.182.241.922.091.76
COV0.610.590.650.20.460.600.360.040.390.670.510.650.540.250.360.32
No. of tests2018716205825291328722423106
Unconservative tests4000000000440000
Slant shear test results for UHPC–concrete interface
Substrate compressive strength (MPa)Roughness depth (mm)Clamping pressure (MPa)
17.2–27.627.6–37.937.9–48.348.3–58.6>58.600–11–22–33–6.35 >6.350–6.96.9–13.813.8–20.720.7–27.6>27.6
Average strength ratio2.792.492.602.35NA2.452.592.532.552.441.492.712.512.252.07NA
COV0.190.180.200.15NA0.090.170.160.240.160.050.250.110.110.11NA
No. of tests71046138NA3040642746461109369NA
Unconservative tests0000NA0000000000NA
Test results for UHPC–UHPC interface
Roughness depth (mm)Clamping pressure (MPa)
00–11–22–33–6.35>6.350–6.96.9–13.813.8–20.720.7–27.6>27.6
Average strength ratio3.413.443.44NA2.841.803.443.44NA2.842.22
COV0.570.180.20NA0.010.180.180.20NA0.010.27
No. of tests332115NA22202115NA1224
Unconservative tests000NA0000NA00
Test results for monolithic UHPC interface
Clamping pressure from UHPC
(MPa)
Clamping pressure (MPa)
0–3.53.5–6.96.9–10.3>10.300–6.9>6.9
Average strength ratioNA0.991.310.91.191.100.93
COVNA0.270.190.370.270.330.32
No. of testsNA174925631216
Unconservative testsNA79121549
Note: 1 MPa = 0.145 ksi, 1 mm = 0.0394 in, and NA = not available.
Table 5. Statistical parameters for interface types considered.
Table 5. Statistical parameters for interface types considered.
Interface TypeDistribution TypeMean Standard Deviation
UHPC–concrete (DS)Lognormal0.810.57
UHPC–concrete (SS)Normal2.550.39
UHPC–UHPCLognormal1.020.41
Monolithic UHPC Normal1.150.39
Table 6. Comparison of probability of failure for monolithic UHPC interface.
Table 6. Comparison of probability of failure for monolithic UHPC interface.
Interface Shear
Capacity Model
Minimum Probability of Failure
(%)
Maximum Probability of Failure
(%)
AASHTO UHPC
specification
7.212.1
Proposed model0.603.92
Disclaimer/Publisher’s Note: The statements, opinions and data contained in all publications are solely those of the individual author(s) and contributor(s) and not of MDPI and/or the editor(s). MDPI and/or the editor(s) disclaim responsibility for any injury to people or property resulting from any ideas, methods, instructions or products referred to in the content.

Share and Cite

MDPI and ACS Style

Poudel, B.; Kalmogo, P.; Aaleti, S. Statistical Evaluation and Reliability Analysis of Interface Shear Capacity in Ultra-High-Performance Concrete Members. Buildings 2024, 14, 3064. https://doi.org/10.3390/buildings14103064

AMA Style

Poudel B, Kalmogo P, Aaleti S. Statistical Evaluation and Reliability Analysis of Interface Shear Capacity in Ultra-High-Performance Concrete Members. Buildings. 2024; 14(10):3064. https://doi.org/10.3390/buildings14103064

Chicago/Turabian Style

Poudel, Bipul, Philippe Kalmogo, and Sriram Aaleti. 2024. "Statistical Evaluation and Reliability Analysis of Interface Shear Capacity in Ultra-High-Performance Concrete Members" Buildings 14, no. 10: 3064. https://doi.org/10.3390/buildings14103064

APA Style

Poudel, B., Kalmogo, P., & Aaleti, S. (2024). Statistical Evaluation and Reliability Analysis of Interface Shear Capacity in Ultra-High-Performance Concrete Members. Buildings, 14(10), 3064. https://doi.org/10.3390/buildings14103064

Note that from the first issue of 2016, this journal uses article numbers instead of page numbers. See further details here.

Article Metrics

Back to TopTop