Acoustic Ambience and Simulation of the Bullring of Ronda (Spain)
Abstract
1. Introduction and Goals
2. The Real Maestranza de Caballería de Ronda and Its Bullring
2.1. Brief History of the Bullring
2.2. Architectural and Constructive Description of the Bullring
3. Materials and Methods
3.1. Graphic Documentation and 3D Geometric Modelling
3.2. Sound Sources, Segments, and Audience Positions
3.3. Experimental Measurements
3.4. Acoustic Simulation
4. Experimental Results and Discussion
4.1. Main Measured Acoustic Descriptors
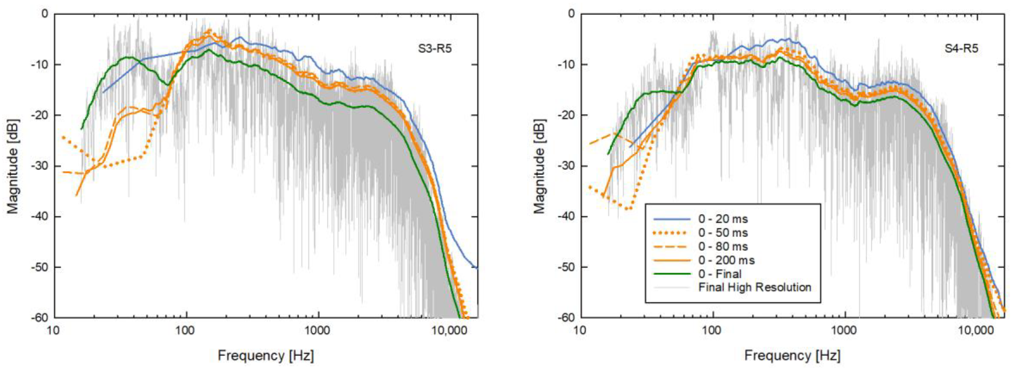
4.2. Acoustic Signature
5. Results from the Acoustic Simulations and Discussion
5.1. Calibration
5.2. Simulations with the Various States of Occupancy
6. Conclusions
Author Contributions
Funding
Data Availability Statement
Acknowledgments
Conflicts of Interest
Appendix A
| Frequency [kHz] | Frequency [kHz] | |||||||||||
|---|---|---|---|---|---|---|---|---|---|---|---|---|
| 0.125 | 0.25 | 0.5 | 1 | 2 | 4 | 0.125 | 0.25 | 0.5 | 1 | 2 | 4 | |
| T30 [s] | EDT [s] | |||||||||||
| S1 | 2.57 | 2.21 | 2.02 | 1.98 | 1.83 | 1.55 | 2.53 | 2.38 | 2.37 | 2.31 | 2.29 | 2.26 |
| 1.80 | 1.47 | 1.30 | 1.26 | 1.20 | 1.12 | 2.29 | 2.55 | 2.71 | 2.62 | 2.56 | 2.45 | |
| S2 | 2.61 | 2.29 | 2.10 | 2.06 | 1.91 | 1.65 | 2.04 | 1.62 | 1.44 | 1.42 | 1.31 | 1.13 |
| 1.95 | 1.65 | 1.49 | 1.45 | 1.39 | 1.29 | 1.40 | 1.15 | 1.06 | 1.04 | 0.99 | 0.87 | |
| S3 | 2.60 | 2.25 | 2.08 | 2.04 | 1.92 | 1.68 | 2.41 | 2.04 | 1.87 | 1.83 | 1.70 | 1.44 |
| 1.90 | 1.60 | 1.47 | 1.44 | 1.39 | 1.30 | 1.82 | 1.59 | 1.46 | 1.41 | 1.32 | 1.08 | |
| S4 | 2.58 | 2.23 | 2.06 | 2.01 | 1.88 | 1.65 | 2.41 | 2.02 | 1.85 | 1.79 | 1.65 | 1.39 |
| 1.93 | 1.64 | 1.51 | 1.48 | 1.43 | 1.33 | 1.73 | 1.41 | 1.25 | 1.19 | 1.12 | 0.99 | |
| C80 [dB] | D50 | |||||||||||
| S1 | 0.5 | 0.5 | 0.5 | 0.5 | 0.6 | 0.6 | 0.06 | 0.05 | 0.05 | 0.04 | 0.04 | 0.04 |
| 0.6 | 0.6 | 0.6 | 0.6 | 0.6 | 0.7 | 0.05 | 0.04 | 0.03 | 0.03 | 0.03 | 0.03 | |
| S2 | 0.5 | 0.6 | 0.6 | 0.6 | 0.6 | 0.6 | 0.15 | 0.15 | 0.16 | 0.16 | 0.16 | 0.17 |
| 0.6 | 0.7 | 0.6 | 0.7 | 0.7 | 0.7 | 0.14 | 0.14 | 0.14 | 0.14 | 0.15 | 0.15 | |
| S3 | 0.4 | 0.4 | 0.5 | 0.5 | 0.5 | 0.5 | 0.16 | 0.15 | 0.15 | 0.15 | 0.15 | 0.15 |
| 0.6 | 0.7 | 0.7 | 0.7 | 0.7 | 0.7 | 0.14 | 0.13 | 0.13 | 0.13 | 0.13 | 0.14 | |
| S4 | 0.4 | 0.5 | 0.5 | 0.5 | 0.5 | 0.6 | 0.15 | 0.15 | 0.15 | 0.15 | 0.15 | 0.15 |
| 0.6 | 0.7 | 0.7 | 0.7 | 0.7 | 0.7 | 0.14 | 0.14 | 0.14 | 0.14 | 0.14 | 0.14 | |
| JLF | LJ [dB] | |||||||||||
| S1 | 0.06 | 0.05 | 0.05 | 0.04 | 0.04 | 0.04 | −7.4 | −9.4 | −10.4 | −10.6 | −11.3 | −12.5 |
| 0.05 | 0.04 | 0.03 | 0.03 | 0.03 | 0.03 | −9.9 | −12.3 | −13.5 | −13.8 | −14.3 | −15.1 | |
| S2 | 0.15 | 0.15 | 0.16 | 0.16 | 0.16 | 0.17 | −6.9 | −8.6 | −9.5 | −9.6 | −10.2 | −11.4 |
| 0.14 | 0.14 | 0.14 | 0.14 | 0.15 | 0.15 | −9.2 | −11.2 | −12.1 | −12.4 | −12.7 | −13.6 | |
| S3 | 0.16 | 0.15 | 0.15 | 0.15 | 0.15 | 0.15 | −7.1 | −8.5 | −9.2 | −9.4 | −10.2 | −11.8 |
| 0.14 | 0.13 | 0.13 | 0.13 | 0.13 | 0.14 | −13.1 | −15.6 | −16.9 | −17.3 | −17.6 | −18.4 | |
| S4 | 0.15 | 0.15 | 0.15 | 0.15 | 0.15 | 0.15 | −7.3 | −8.7 | −9.6 | −9.8 | −10.5 | −12.1 |
| 0.14 | 0.14 | 0.14 | 0.14 | 0.14 | 0.14 | −12.2 | −14.5 | −15.9 | −16.3 | −16.6 | −17.4 | |
| G [dB] | STI | |||||||||||
| S1 | 1.6 | 0.6 | 0.2 | 0.2 | −0.1 | −0.6 | 0.57 | |||||
| 0.7 | −0.3 | −0.7 | −0.7 | −0.9 | −1.3 | 0.61 | ||||||
| S2 | 1.8 | 0.7 | 0.3 | 0.1 | −0.2 | −0.8 | 0.58 | |||||
| 0.8 | −0.2 | −0.7 | −0.9 | −1.1 | −1.5 | 0.64 | ||||||
| S3 | 0.5 | −0.5 | −0.9 | −1.0 | −1.6 | −2.5 | 0.52 | |||||
| −3.7 | −5.2 | −6.1 | −6.2 | −6.4 | −6.7 | 0.63 | ||||||
| S4 | 0.5 | −0.5 | −1.1 | −1.1 | −1.6 | −2.4 | 0.53 | |||||
| −2.6 | −4.0 | −4.8 | −4.9 | −5.1 | −5.4 | 0.63 | ||||||
References
- Diaz-Recasens, G.; Vázquez-Consuegra, G. Las Plazas de Toros (The Bullrings), 4th ed.; Dirección General de Arquitectura y Vivienda. Consejería de Obras Públicas y Transportes: Sevilla, Spain, 2004. [Google Scholar]
- Martín-Castizo, M.; Girón, S.; Galindo, M. A proposal for the acoustic characterization of circular bullrings. J. Acoust. Soc. Am. 2022, 152, 380–398. [Google Scholar] [CrossRef]
- Blesser, B.; Salter, L.R. Spaces Speak, Are You Listening? Experiencing Aural Architecture, 1st ed.; The MIT Press: Cambridge, MA, USA, 2009. [Google Scholar]
- UNESCO. Text of the Convention for the Safeguarding of the Intangible Cultural Heritage 2003. Available online: https://ich.unesco.org/en/convention (accessed on 5 October 2023).
- UNESCO. General Conference, 39th 2017. The Importance of Sound in Today’s World: Promoting Best Practices 2017. Available online: https://unesdoc.unesco.org/ark:/48223/pf0000259172 (accessed on 5 October 2023).
- Kolar, M.A. Archaeoacoustics: Re-sounding material culture. Acoust. Today 2018, 14, 28–37. [Google Scholar] [CrossRef]
- Jahn, R.G.; Devereux, P.; Ibison, M. Acoustical resonances of assorted ancient structures. J. Acoust. Soc. Am. 1996, 99, 649–658. [Google Scholar] [CrossRef]
- Scarre, C.; Lawson, G. (Eds.) Archaeoacoustics, 1st ed.; McDonald Institute for Archaeological Research University of Cambridge: Cambridge, UK, 2006. [Google Scholar]
- Brezina, P. Acoustics of historic spaces as a form of intangible cultural heritage. Antiquity 2013, 87, 574–580. [Google Scholar] [CrossRef]
- Till, R. Sound archaeology: A study of the acoustics of three world heritage sites, Spanish prehistoric painted caves, Stonehenge, and Paphos theatre. Acoustics 2019, 21, 661–692. [Google Scholar] [CrossRef]
- Katz, B.F.G.; Murphy, D.; Farina, A. The past has ears (PHE): XR Explorations of acoustic spaces as cultural heritage. In Proceedings of the International Conference on Augmented Reality, Virtual Reality and Computer Graphics AVR, Salento, Italy, 8–11 June 2020; pp. 91–98. [Google Scholar]
- Gerzon, M.A. Recording concert hall acoustics for posterity. J. Audio Eng. Soc. 1975, 23, 569–571. [Google Scholar]
- Yamasaki, Y.; Itow, T. Measurement of spatial information in sound fields by closely located four point microphone method. J. Acoust. Soc. Japan 1989, 10, 101–110. [Google Scholar] [CrossRef]
- Abdou, A.; Guy, R.W. Spatial information of sound fields for room-acoustics evaluation and diagnosis. J. Acoust. Soc. Am. 1996, 100, 3215–3226. [Google Scholar] [CrossRef]
- Farina, A.; Tronchin, L. 3D Impulse response measurements on S. Maria del Fiore Church, Florence, Italy. J. Acoust. Soc. Am. 1998, 103, 3034. [Google Scholar] [CrossRef]
- Merimaa, J.; Lokki, T.; Peltonen, T.; Karjalainen, M. Measurement, analysis, and visualization of directional room responses. In Proceedings of the 111th Audio Engineering Society (AES) Convention, New York, NY, USA, 21–24 September 2001; pp. 1–9. [Google Scholar]
- Fukushima, Y.; Suzuki, H.; Omoto, A. Visualization of reflected sound in enclosed space by sound intensity measurement. Acoust. Sci. Tech. 2006, 27, 187–189. [Google Scholar] [CrossRef]
- Martellotta, F. On the use of microphone arrays to visualize spatial sound field information. Appl. Acoust. 2013, 74, 987–1000. [Google Scholar] [CrossRef]
- Pätynen, J.; Tervo, S.; Lokki, T. Analysis of concert hall acoustics via visualizations of time-frequency and spatiotemporal responses. J. Acoust. Soc. Am. 2013, 133, 842–857. [Google Scholar] [CrossRef] [PubMed]
- Beranek, L.L. Concert and Opera Halls: How They Sound, 1st ed.; American Institute of Physics: New York, NY, USA, 1996. [Google Scholar]
- Gómez, J.O.G.; Wright, O.; Van Den Braak, B.; Sanz, J.; Kemp, L.; Hulland, T. On the sequence of unmasked reflections in shoebox concert halls. Appl. Sci. 2021, 11, 7798. [Google Scholar] [CrossRef]
- Lokki, T.; Pätynen, J.; Tervo, S.; Siltanen, S.; Savioja, L. Engaging concert hall acoustics is made up of temporal envelope preserving reflections. J. Acoust. Soc. Am. 2011, 129, EL223–EL228. [Google Scholar] [CrossRef]
- Vorländer, M. Auralization. Fundamentals of Acoustics, Modelling, Simulation, Algorithms and Acoustic Virtual Reality, 1st ed.; Springer: Berlin, Germany, 2008. [Google Scholar]
- Savioja, L.; Xiang, N. Introduction to the special issue on room acoustic modeling and auralization. J. Acoust. Soc. Am. 2019, 145, 2597–2600. [Google Scholar] [CrossRef] [PubMed]
- Krokstad, A.; Svensson, U.P.; Strøm, S. The early history of ray tracing in acoustics BT—Acoustics, information, and communication. In Memorial Volume in Honor of Manfred R. Schroeder, 1st ed.; Xiang, N., Sessler, G.M., Eds.; Springer: New York, NY, USA, 2015; pp. 15–31. [Google Scholar]
- Savioja, L.; Svensson, U.P. Overview of geometrical room acoustic modeling techniques. J. Acoust. Soc. Am. 2015, 138, 708–730. [Google Scholar] [CrossRef] [PubMed]
- Fratoni, G.; Hamilton, B.; D’Orazio, D. Feasibility of a finite-difference time-domain model in large-scale acoustic simulations. J. Acoust. Soc. Am. 2022, 152, 330–341. [Google Scholar] [CrossRef]
- Suárez, R.; Alonso, A.; Sendra, J.J. Intangible cultural heritage: The sound of the Romanesque cathedral of Santiago de Compostela. J. Cult. Herit. 2015, 16, 239–243. [Google Scholar] [CrossRef]
- De Muynke, J.; Baltazar, M.; Monferran, M.; Voisenat, C.; Katz, B.F. Ears of the past, an inquiry into the sonic memory of the acoustics of Notre-Dame before the fire of 2019. J. Cult. Herit. 2022, in press. [Google Scholar] [CrossRef]
- D’Orazio, D.; Fratoni, G.; Rovigatti, A.; Garai, M. A virtual orchestra to qualify the acoustics of historical opera houses. Build. Acoust. 2020, 27, 235–252. [Google Scholar] [CrossRef]
- Postma, B.N.; Dubouilh, S.; Katz, B.F. An archeoacoustic study of the history of the Palais du Trocadero (1878–1937). J. Acoust. Soc. Am. 2019, 145, 2810–2821. [Google Scholar] [CrossRef]
- Sü Gül, Z. Exploration of room acoustics coupling in Hagia Sophia of Istanbul for its different states. J. Acoust. Soc. Am. 2021, 149, 320–339. [Google Scholar] [CrossRef]
- Pilch, A. Optimization-based method for the calibration of geometrical acoustic models. Appl. Acoust. 2020, 170, 107495. [Google Scholar] [CrossRef]
- Vorländer, M. Computer simulations in room acoustics: Concepts and uncertainties. J. Acoust. Soc. Am. 2013, 133, 1203–1213. [Google Scholar] [CrossRef]
- Rindel, J.H. A note on modal reverberation times in rectangular rooms. Acta Acust. United Acust. 2016, 102, 9600–9603. [Google Scholar] [CrossRef]
- Christensen, C.L.; Nielsen, G.B.; Rindel, J.H. Danish Acoustical Society Round Robin on Room Acoustic Computer Modelling. 2008. Available online: https://odeon.dk/product/reliability-tests/?hilite=Danish+Acoustical+Society+Round+Robin+room+acoustic+computer+modelling (accessed on 8 December 2023).
- Real Maestranza de Caballería de Ronda. Available online: https://www.rmcr.org/ (accessed on 8 December 2023).
- Garrido, F.; Garrido, A. II Centenario de la Plaza de Toros de la Real Maestranza de Caballería de Ronda 1785–1085, 1st ed.; Real Maestranza de Ronda: Ronda, Spain, 1988. [Google Scholar]
- Romero-Solís, P. Plaza de Toros de Ronda 225 años. Rev. Estud. Taur. 2011, 29, 275–278. [Google Scholar]
- Arquitectura de la Plaza de Toros de Ronda. Plaza y Museo RMR. 2018. Available online: https://plazaymuseormr.wordpress.com/2018/10/05/arquitectura-de-la-plaza-de-toros-de-ronda/ (accessed on 8 December 2023).
- Miró-Domínguez, A. La plaza de toros de Ronda. Jábega 1985, 50, 165–181. [Google Scholar]
- SketchUp. Available online: https://www.sketchup.com/ (accessed on 8 December 2023).
- Borreroycaballos.com. Available online: https://borreroycaballos.com/restauracion-real-maestranza-caballeria-ronda/ (accessed on 8 December 2023).
- ODEON Room Acoustics Software. Technical University of Denmark. Available online: https://www.odeon.dk/ (accessed on 8 December 2023).
- ISO 3382-1; Acoustics–Measurements of Room Acoustic Parameters. Part I: Performance Rooms. ISO: Geneva, Switzerland, 2009.
- ISO 3382-2; Acoustics–Measurement of Room Acoustic Parameters. Part 2: Reverberation Time in Ordinary Rooms. ISO: Geneva, Switzerland, 2008.
- Tronchin, L. Variability of room acoustic parameters with thermo-hygrometric conditions. Appl. Acoust. 2021, 177, 107933. [Google Scholar] [CrossRef]
- IRIS 3D Measurement System, IRIS 1.2 User Manual 2018. Available online: https://www.iris.co.nz/ (accessed on 8 December 2023).
- Girón, S.; Galindo, M.; Romero-Odero, J.A.; Alayón, J.; Nieves, F.J. Acoustic ambience of two Roman theatres in the Cartaginensis province of Hispania. Build. Environ. 2021, 193, 107653. [Google Scholar] [CrossRef]
- PTB (Physikalisch Technische Bundesanstalt). The Room Acoustics Absorption Coefficient Database 2012. Available online: https://www.ptb.de/cms/ptb/fachabteilungen/abt1/fb-16/ag-163/absorption-coefficient-database.html (accessed on 8 December 2023).
- Martellotta, F. On the sound absorption by openings in rooms. J. Acoust. Soc. Am. 2012, 132, 2951–2954. [Google Scholar] [CrossRef]
- Harris, C.M.; Piersol, A.G. Harris’ Shock and Vibration Handbook, 5th ed.; McGraw-Hill: New York, NY, USA, 2002. [Google Scholar]
- Yang, H.S. Outdoor Noise Control by Natural/Sustainable Materials in Urban Areas. Ph.D. Dissertation, University of Sheffield, Sheffield, UK, 2013. [Google Scholar]
- IEC 60268-16; Sound System Equipment–Part 16: Objective Rating of Speech Intelligibility by Speech Transmission Index. IEC: Geneva, Switzerland, 2020.
- Rindel, J.H. A note on meaningful acoustical parameters for open-air theatres. Acta Acust. United Acust. 2023, 7, 20. [Google Scholar] [CrossRef]
- Gade, A. Acoustics in halls for speech and music. In Springer Handbook of Acoustics, 1st ed.; Rossing, T.D., Ed.; Springer: New York, NY, USA, 2007; pp. 301–350. [Google Scholar]
- Girón, S.; Álvarez-Corbacho, A.; Zamarreño, T. Exploring the acoustics of ancient open-air theatres. Arch. Acoust. 2020, 45, 181–208. [Google Scholar]
- Cabrera, D.; Lee, D.; Leembruggen, G.; Jimenez, D. Increasing robustness in the calculation of the speech transmission index from impulse responses. Build. Acoust. 2014, 21, 181–198. [Google Scholar] [CrossRef]
- Vassilantonopoulos, S.; Hatziantoniou, P.; Tatlas, N.-A.; Zakynthinos, T.; Skarlatos, D.; Mourjopoulos, J.N. Measurements and analysis of the acoustics of the ancient theater of Epidauros. In Proceedings of the Acoustics of Ancient Theatres Conference, Patras, Greece, 18–21 September 2011; pp. 1–9. [Google Scholar]
- Economou, P.; Charalampous, P.; Ioannides, S.; Polykarpou, P. The significance of sound diffraction effects in simulating acoustics in ancient theatres. In Proceedings of the Acoustics of Ancient Theatres Conference, Patras, Greece, 18–21 September 2011; pp. 1–14. [Google Scholar]
- Lokki, T.; Southern, A.; Siltanen, S.; Savioja, L. Acoustics of Epidaurus—Studies with room acoustics modelling methods. Acta Acust. United Acust. 2013, 99, 40–47. [Google Scholar] [CrossRef]
- Bradley, J.S. Review of objective room acoustics measures and future needs. Appl. Acoust. 2011, 72, 713–720. [Google Scholar] [CrossRef]
- Larrosa-Navarro, M.; De La Prida, D.; Pedrero, A. Influence of musical stimulus on the perception of clarity in rooms and its relation to C80. Appl. Acoust. 2023, 208, 109370. [Google Scholar] [CrossRef]
- Solar-Dorrego, F.; Vigeant, M.C. A study of the just noticeable difference of early decay time for symphonic halls. J. Acoust. Soc. Am. 2022, 151, 80–94. [Google Scholar] [CrossRef]












| Receivers | |||||||||||||
|---|---|---|---|---|---|---|---|---|---|---|---|---|---|
| R1 | R2 | R3 | R4 | R5 | R6 | R7 | R8 | R9 | R10 | R11 | R12 | ||
| Sources | S1 | o | o | o | o | o | o | o | o | x | o | o | o |
| S2 | o | o | o | o | o | o | o | o | o | x | o | o | |
| S3 | o | x | o | o | o | x | x | o | x | o | o | o | |
| S4 | o | o | o | o | o | o | o | o | o | x | x | x | |
| Materials | Area (%) | s | α | Type | Ref. | ||||||
|---|---|---|---|---|---|---|---|---|---|---|---|
| 125 Hz | 250 Hz | 500 Hz | 1 kHz | 2 kHz | 4 kHz | ||||||
| Sandstone (fractal) | 1.9 | 0.01 | 0.02 | 0.02 | 0.03 | 0.04 | 0.05 | 0.05 | fractional | [50] | |
| Sandstone (bases capitals and cornices) | 2.3 | 0.05 | 0.02 | 0.02 | 0.03 | 0.04 | 0.05 | 0.05 | normal | [50] | |
| Sandstone | 2.6 | 0.01 | 0.02 | 0.02 | 0.03 | 0.04 | 0.05 | 0.05 | normal | [50] | |
| Granite stone | 5.3 | 0.01 | 0.11 | 0.10 | 0.10 | 0.10 | 0.08 | 0.08 | normal | [44] | |
| Wood (barriers and gates) | 2.6 | 0.01 | 0.14 | 0.10 | 0.06 | 0.08 | 0.10 | 0.10 | normal | [23] | |
| Concrete (screeds) | 2.3 | 0.01 | 0.01 | 0.01 | 0.02 | 0.02 | 0.02 | 0.05 | normal | [23] | |
| Fir wood | 4.3 | 0.01 | 0.10 | 0.10 | 0.10 | 0.09 | 0.10 | 0.12 | normal | [50] | |
| Vomitorium | 0.6 | 0.01 | 0.80 | 0.80 | 0.80 | 0.80 | 0.80 | 0.80 | normal | [51] | |
| Ceramic (flooring) | 6.2 | 0.01 | 0.02 | 0.02 | 0.02 | 0.02 | 0.02 | 0.02 | normal | [50] | |
| Ceramic (Arabic tile) | 3.0 | 0.01 | 0.03 | 0.03 | 0.03 | 0.04 | 0.05 | 0.07 | normal | [52] | |
| Audience 1 | 10.6 | 0.7 | 0.60 | 0.74 | 0.88 | 0.96 | 0.93 | 0.85 | normal | [44] | |
| Wood (floorboards) | 0.6 | 0.01 | 0.10 | 0.07 | 0.05 | 0.06 | 0.06 | 0.06 | normal | [44] | |
| Mortar render | 13.0 | 0.01 | 0.12 | 0.10 | 0.08 | 0.06 | 0.06 | 0.06 | normal | [50] | |
| Gypsum plaster | 4.6 | 0.01 | 0.02 | 0.02 | 0.03 | 0.04 | 0.05 | 0.05 | normal | [23] | |
| Albero (sand soil) 2 | Init. | 14.8 | 0.01 | 0.02 | 0.21 | 0.23 | 0.23 | 0.20 | 0.08 | normal | [53] |
| Opt. | 0.02 | 0.22 | 0.27 | 0.25 | 0.23 | 0.10 | |||||
| Open ceiling 2 | Init. | 19.9 | 0.01 | 1.00 | 1.00 | 1.00 | 1.00 | 1.00 | 1.00 | exterior | - |
| Opt. | 0.86 | 0.90 | 0.95 | 0.93 | 0.93 | 0.92 | |||||
| Gypsum plaster + wood 3 | 5.1 | 0.2 | 0.07 | 0.06 | 0.04 | 0.06 | 0.07 | 0.07 | normal | - | |
| Frequency | Single Number | |||||||
|---|---|---|---|---|---|---|---|---|
| 125 Hz | 250 Hz | 500 Hz | 1 kHz | 2 kHz | 4 kHz | |||
| INR | [dB] | 55.8 (5.7) | 60.6 (4.8) | 60.4 (5.2) | 59.3 (5.6) | 65.0 (5.4) | 64.9 (4.4) | - |
| T30 | [s] | 2.66 (0.20) | 2.24 (0.18) | 1.99 (0.14) | 1.96 (0.13) | 1.83 (0.12) | 1.66 (0.12) | 1.98 (0.14) |
| N°. JND | 1.5 | 1.6 | 1.4 | 1.3 | 1.3 | 1.4 | 1.4 | |
| EDT | [s] | 2.46 (1.46) | 1.94 (0.99) | 1.73 (0.78) | 1.73 (0.76) | 1.57 (0.77) | 1.35 (0.65) | 1.73 (0.77) |
| N°. JND | 11.9 | 10.2 | 9.0 | 8.8 | 9.8 | 9.7 | 8.9 | |
| C80 | [dB] | 2.2 (6.5) | 2.9 (5.1) | 2.6 (2.9) | 4.4 (3.0) | 5.1 (3.9) | 4.7 (3.4) | 3.5 (3.0) |
| N°. JND | 6.5 | 5.1 | 2.9 | 3.0 | 3.9 | 3.5 | 3.0 | |
| D50 | [-] | 0.50 (0.22) | 0.52 (0.19) | 0.54 (0.17) | 0.57 (0.16) | 0.62 (0.16) | 0.62 (0.17) | 0.56 (0.17) |
| N°. JND | 4.4 | 3.8 | 3.4 | 3.3 | 3.2 | 3.4 | 3.4 | |
| JLF | [-] | 0.18 (0.14) | 0.16 (0.11) | 0.17 (0.10) | 0.17 (0.09) | 0.19 (0.11) | 0.21 (0.11) | 0.17 (0.11) |
| N°. JND | 2.8 | 2.2 | 1.9 | 1.8 | 2.3 | 2.2 | 2.2 | |
| LJ | [dB] | −1.5 (3.0) | −7.5 (3.3) | −10.8 (3.2) | −11.7 (2.7) | −9.0 (2.6) | −4.4 (3.0) | −5.9 (3.1) |
| N°. JND | 3.0 | 3.3 | 3.2 | 2.7 | 2.6 | 3.0 | 3.1 | |
| Frequency [Hz] | Single Number | % Diff < 2 JND | |||||||||||
|---|---|---|---|---|---|---|---|---|---|---|---|---|---|
| 125 | 250 | 500 | 1000 | 2000 | 4000 | S1 | S2 | S3 | S4 | Global | |||
| T30 [JND = 5%] | Meas. [s] | 2.66 | 2.24 | 1.99 | 1.96 | 1.83 | 1.66 | 1.98 | |||||
| Sim. Init. [s] | 1.90 | 1.83 | 1.80 | 1.75 | 1.66 | 1.46 | 1.78 | ||||||
| Diff. Init. (JND) | 5.70 | 3.62 | 1.89 | 2.20 | 1.91 | 2.42 | 2.04 | 10.61% | 25.76% | 41.67% | 24.07% | 24.36% | |
| Sim. Opt. [s] | 2.59 | 2.26 | 2.10 | 2.05 | 1.92 | 1.67 | 2.08 | ||||||
| Diff. Opt. (JND) | 0.52 | 0.26 | 1.11 | 0.86 | 0.96 | 0.17 | 0.99 | 83.33% | 87.88% | 52.08% | 98.15% | 81.62% | |
| C80 [JND = 1 dB] | Meas. [dB] | 3.3 | 3.3 | 3.3 | 3.9 | 4.9 | 5.2 | 3.6 | |||||
| Sim. Init. [dB] | 3.8 | 3.9 | 3.9 | 4.1 | 4.5 | 5.4 | 4.0 | ||||||
| Diff. Init. (JND) | 0.49 | 0.60 | 0.59 | 0.15 | 0.40 | 0.21 | 0.37 | 51.52% | 60.61% | 54.17% | 62.96% | 57.26% | |
| Sim. Opt. [dB] | 2.0 | 2.7 | 3.1 | 3.3 | 3.8 | 4.7 | 3.2 | ||||||
| Diff. Opt. (JND) | 1.32 | 0.55 | 0.17 | 0.63 | 1.12 | 0.49 | 0.40 | 43.94% | 65.15% | 54.17% | 72.22% | 58.55% | |
Disclaimer/Publisher’s Note: The statements, opinions and data contained in all publications are solely those of the individual author(s) and contributor(s) and not of MDPI and/or the editor(s). MDPI and/or the editor(s) disclaim responsibility for any injury to people or property resulting from any ideas, methods, instructions or products referred to in the content. |
© 2024 by the authors. Licensee MDPI, Basel, Switzerland. This article is an open access article distributed under the terms and conditions of the Creative Commons Attribution (CC BY) license (https://creativecommons.org/licenses/by/4.0/).
Share and Cite
Martín-Castizo, M.; Girón, S.; Galindo, M. Acoustic Ambience and Simulation of the Bullring of Ronda (Spain). Buildings 2024, 14, 298. https://doi.org/10.3390/buildings14010298
Martín-Castizo M, Girón S, Galindo M. Acoustic Ambience and Simulation of the Bullring of Ronda (Spain). Buildings. 2024; 14(1):298. https://doi.org/10.3390/buildings14010298
Chicago/Turabian StyleMartín-Castizo, Manuel, Sara Girón, and Miguel Galindo. 2024. "Acoustic Ambience and Simulation of the Bullring of Ronda (Spain)" Buildings 14, no. 1: 298. https://doi.org/10.3390/buildings14010298
APA StyleMartín-Castizo, M., Girón, S., & Galindo, M. (2024). Acoustic Ambience and Simulation of the Bullring of Ronda (Spain). Buildings, 14(1), 298. https://doi.org/10.3390/buildings14010298

