Daylighting Performance of CdTe Semi-Transparent Photovoltaic Skylights with Different Shapes for University Gymnasium Buildings
Abstract
1. Introduction
2. Methodology
2.1. Software Introduction
2.2. Photovoltaic Glass Properties
2.3. Model Parameter
2.4. Simulation Parameter Settings
3. Results and Discussions
3.1. DA Analysis of Six Shapes of Skylights
3.1.1. DA Analysis for Centralized Rectangular Skylight
3.1.2. DA Analysis for Distributed Rectangular Skylight
3.1.3. DA Analysis for Centralized Ribbon Skylight
3.1.4. DA Analysis for Distributed Vertical Strip Skylight
3.1.5. DA Analysis for Centralized X-Shaped Skylight
3.1.6. DA Analysis for Distributed Horizontal Strip Skylight
3.2. DAcon and DAmax Analysis of Six Shapes of Skylights
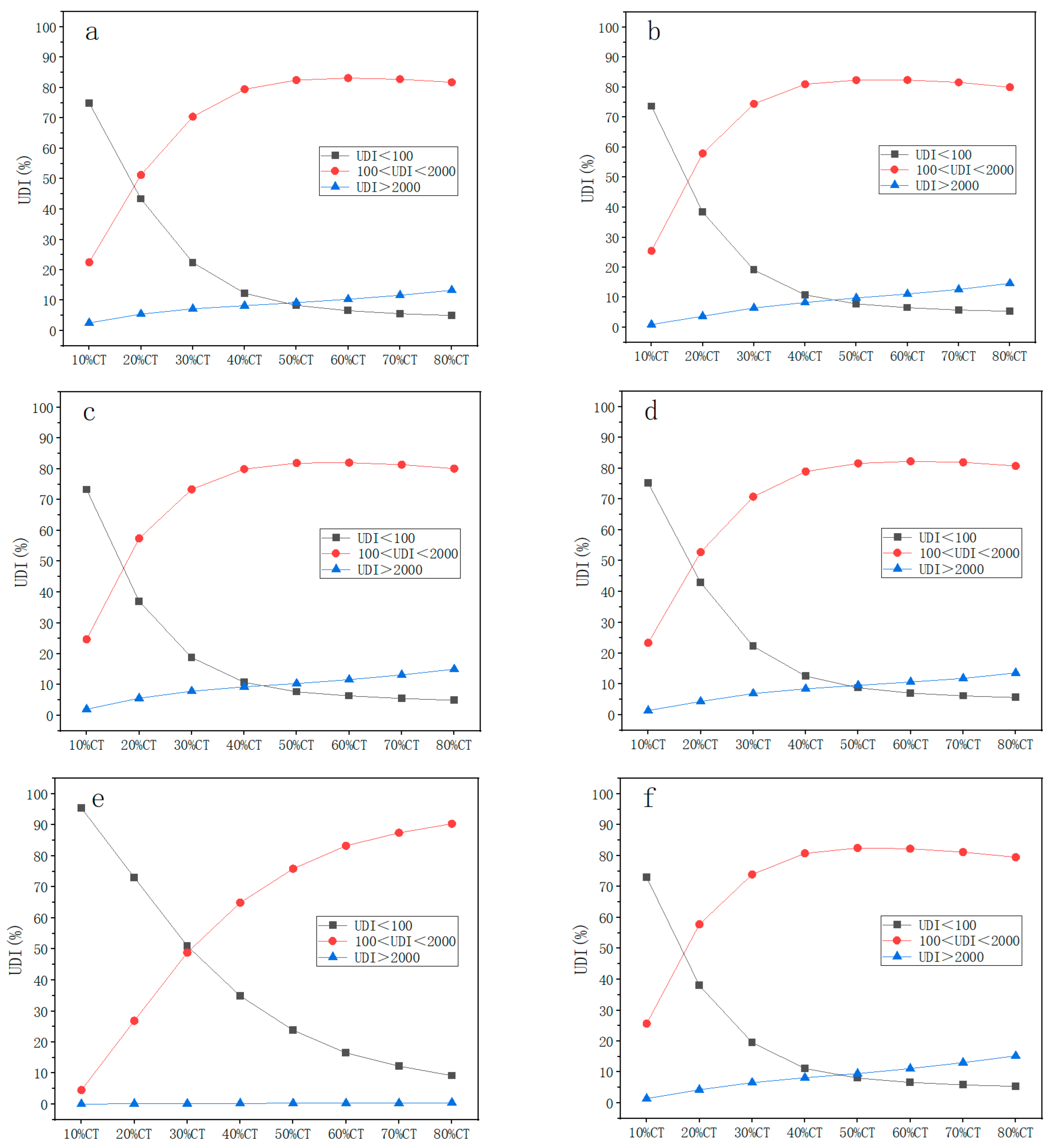
3.3. UDI Analysis of Six Shapes of Skylights
3.4. Optimal Type of Photovoltaic Glass for Six Kinds of Skylight
3.5. Verification
3.6. Summary
4. Conclusions
Author Contributions
Funding
Data Availability Statement
Conflicts of Interest
References
- Fan, Z.; Liu, M.; Tang, S. A multi-objective optimization design method for gymnasium facade shading ratio integrating energy load and daylight comfort. Build. Environ. 2022, 207, 108527. [Google Scholar] [CrossRef]
- Li, J. Research on Energy-Saving Design of Daylighting and Natural Ventilation of University Gymnasium Based on System Optimization. Ph.D. Thesis, Harbin Institute of Technology, Harbin, China, 2010. [Google Scholar]
- Fan, Q. Research on Daylighting Design of College University Gymnasium Based on Parameterized Platform. Master’s Thesis, Tianjin University, Tianjin, China, 2020. [Google Scholar]
- Lee, B.; Pyo, Y.; Kim, M.; Kim, J. Evaluation of the natural lighting performance of rooftop daylight installations for multi-purpose sports hall in seoul. KIEAE J. 2022, 22, 21–34. [Google Scholar] [CrossRef]
- Webb, A.R. Considerations for lighting in the built environment: Non-visual effects of light. Energy Build. 2006, 38, 721–727. [Google Scholar] [CrossRef]
- Ochoa, C.E.; Aries, M.B.C.; van Loenen, E.J.; Hensen, J.L.M. Considerations on design optimization criteria for windows providing low energy consumption and high visual comfort. Appl. Energy 2012, 95, 238–245. [Google Scholar] [CrossRef]
- Tzempelikos, A. Advances on daylighting and visual comfort research. Build. Environ. 2017, 113, 1–4. [Google Scholar] [CrossRef]
- Li, L. Daylighting environment in gymnasinms competition space. Harbin Univ. Arch. Eng. 2002, 35, 64–67. [Google Scholar]
- Zhao, Y.; Mei, H. Dynamic simulation and analysis of daylighting factors for gymnasiums in mid-latitude China. Build. Environ. 2013, 63, 56–68. [Google Scholar] [CrossRef]
- Acosta, I.; Navarro, J.; Sendra, J.J. Daylighting design with lightscoop skylights: Towards an optimization of shape under overcast sky conditions. Energy Build. 2013, 60, 232–238. [Google Scholar] [CrossRef]
- Shukla, A.K.; Sudhakar, K.; Baredar, P. Recent advancement in BIPV product technologies: A review. Energy Build. 2017, 140, 188–195. [Google Scholar] [CrossRef]
- Martín-Chivelet, N.; Kapsis, K.; Wilson, H.R.; Delisle, V.; Yang, R.; Olivieri, L.; Polo, J.; Eisenlohr, J.; Roy, B.; Maturi, L.; et al. Building-integrated photovoltaic (BIPV) products and systems: A review of energy-related behavior. Energy Build. 2022, 262, 111998. [Google Scholar] [CrossRef]
- Yu, G.; Yang, H.; Luo, D.; Cheng, X.; Ansah, M.K. A review on developments and researches of building integrated photovoltaic (BIPV) windows and shading blinds. Renew. Sustain. Energy Rev. 2021, 149, 111355. [Google Scholar] [CrossRef]
- Chen, L.; Zheng, X.; Yang, J.; Yoon, J.H. Impact of BIPV windows on building energy consumption in street canyons: Model development and validation. Energy Build. 2021, 249, 111207. [Google Scholar] [CrossRef]
- Alrashidi, H.; Issa, W.; Sellami, N.; Sundaram, S.; Mallick, T. Thermal performance evaluation and energy saving potential of semi-transparent CdTe in façade BIPV. Sol. Energy 2022, 232, 84–91. [Google Scholar] [CrossRef]
- Wang, C.; Peng, J.; Li, N. Study of overall energy performance of amorphous silicon photovoltaic window based on variable transmittances. Acta Energiae Solaris Sin. 2019, 40, 1607–1615. [Google Scholar]
- Uddin, M.M.; Wang, C.; Zhang, C.; Ji, J. Investigating the energy-saving performance of a CdTe-based semi-transparent photovoltaic combined hybrid vacuum glazing window system. Energy 2022, 253, 124019. [Google Scholar] [CrossRef]
- Alrashidi, H.; Issa, W.; Sellami, N.; Ghosh, A.; Mallick, T.K.; Sundaram, S. Performance assessment of cadmium telluride-based semi-transparent glazing for power saving in façade buildings. Energy Build. 2020, 215, 109585. [Google Scholar] [CrossRef]
- Barman, S.; Chowdhury, A.; Mathur, S.; Mathur, J. Assessment of the efficiency of window integrated CdTe based semi-transparent photovoltaic module. Sustain. Cities Soc. 2018, 37, 250–262. [Google Scholar] [CrossRef]
- Zhang, W.; Lu, L. Overall energy assessment of semi-transparent photovoltaic insulated glass units for building integration under different climate conditions. Renew. Energy 2019, 134, 818–827. [Google Scholar] [CrossRef]
- Wu, Z.; Zhang, L.; Wu, J.; Liu, Z. Experimental and numerical study on the annual performance of semi-transparent photovoltaic glazing in different climate zones. Energy 2022, 240, 122473. [Google Scholar] [CrossRef]
- Alrashidi, H.; Ghosh, A.; Issa, W.; Sellami, N.; Mallick, T.K.; Sundaram, S. Thermal performance of semitransparent CdTe BIPV window at temperate climate. Sol. Energy 2020, 195, 536–543. [Google Scholar] [CrossRef]
- Qiu, C.; Yang, H. Daylighting and overall energy performance of a novel semi-transparent photovoltaic vacuum glazing in different climate zones. Appl. Energy 2020, 276, 115414. [Google Scholar] [CrossRef]
- Cheng, Y.; Gao, M.; Dong, J.; Jia, J.; Zhao, X.; Li, G. Investigation on the daylight and overall energy performance of semi-transparent photovoltaic facades in cold climatic regions of China. Appl. Energy 2018, 232, 517–526. [Google Scholar] [CrossRef]
- Gao, J.; Peng, J.; Wang, T. Daylighting analysis of semi-transparent photovoltaic windows with different cell widths. Acta Energiae Solaris Sin. 2022, 43, 223–230. [Google Scholar] [CrossRef]
- Kapsis, K.; Dermardiros, V.; Athienitis, A.K. Daylight performance of perimeter office façades utilizing semi-transparent photovoltaic windows: A simulation study. Energy Procedia 2015, 78, 334–339. [Google Scholar] [CrossRef]
- Fan, Z.; Yang, Z.; Yang, L. Daylight performance assessment of atrium skylight with integrated semi-transparent photovoltaic for different climate zones in China. Build. Environ. 2021, 190, 107299. [Google Scholar] [CrossRef]
- Suk, J.Y.; Schiler, M.; Kensek, K. Development of new daylight glare analysis methodology using absolute glare factor and relative glare factor. Energy Build. 2013, 64, 113–122. [Google Scholar] [CrossRef]
- Carlucci, S.; Causone, F.; Rosa, F.D.; Pagliano, L. A review of indices for assessing visual comfort with a view to their use in optimization processes to support building integrated design. Renew. Sustain. Energy Rev. 2015, 47, 1016–1033. [Google Scholar] [CrossRef]
- Konstantzos, I.; Tzempelikos, A. Daylight glare evaluation with the sun in the field of view through window shades. Build. Environ. 2017, 113, 65–77. [Google Scholar] [CrossRef]
- Song, Y. Research on Anti Glare Design of Skylight for Complex Shape Roof of Gymnasium. Master’s Thesis, Harbin Institute of Technology, Harbin, China, 2022. [Google Scholar]
- Leslie, R.P.; Radetsky, L.C.; Smith, A.M. Conceptual design metrics for daylighting. Light. Res. Technol. 2012, 44, 277–290. [Google Scholar] [CrossRef]
- Zhang, W. Study on Energy Saving of Office Buildings with the Influence of Daylighting. Ph.D. Thesis, Tianjin University, Tianjin, China, 2005. [Google Scholar]
- Mardaljevic, J. Examples of climate-based daylight modelling. In Proceedings of the CIBSE National Conference 2006: Engineering the Future, London, UK, 2 May 2006. [Google Scholar]
- Nabil, A.; Mardaljevic, J. Useful daylight illuminances: A replacement for daylight factors. Energy Build. 2006, 38, 905–913. [Google Scholar] [CrossRef]
- Eltaweel, A.; SU, Y. Parametric design and daylighting: A literature review. Renew. Sustain. Energy Rev. 2017, 73, 1086–1103. [Google Scholar] [CrossRef]
- Roudsari, M.S.; Pak, M.; Smith, A. Ladybug: A parametric environmental plugin for grasshopper to help designers create an environmentally-conscious design. In Proceedings of the 13th International IBPSA Conference, Lyon, France, 25–28 August 2013; pp. 3128–3135. [Google Scholar]
- Touloupaki, E.; Theodosiou, T. Performance simulation integrated in parametric 3D modeling as a method for early stage design optimization—A review. Energies 2017, 10, 637. [Google Scholar] [CrossRef]
- Ward, G.J. The RADIANCE lighting simulation and rendering system. In Proceedings of the 21st Annual Conference on Computer Graphics and Interactive Techniques; SIGGRAPH ’94. Association for Computing Machinery: New York, NY, USA, 1994; pp. 459–472. [Google Scholar] [CrossRef]
- Zhou, B. Research on Multi-Objective Optimization of Multilayer Office Building Space in Cold Region Based on Daylight Performance. Master’s Thesis, Harbin Institute of Technology, Harbin, China, 2017. [Google Scholar]
- Ghosh, A.; Sundaram, S.; Mallick, T.K. Investigation of thermal and electrical performances of a combined semi-transparent PV-vacuum glazing. Appl. Energy 2018, 228, 1591–1600. [Google Scholar] [CrossRef]
- Wang, M.; Peng, J.; Li, N.; Yang, H.; Wang, C.; Li, X.; Lu, T. Comparison of energy performance between PV double skin facades and PV insulating glass units. Appl. Energy 2017, 194, 148–160. [Google Scholar] [CrossRef]
- Selvaraj, P.; Ghosh, A.; Mallick, T.K.; Sundaram, S. Investigation of semi-transparent dye-sensitized solar cells for fenestration integration. Renew. Energy 2019, 141, 516–525. [Google Scholar] [CrossRef]
- Hamed, M.S.G.; Oseni, S.O.; Kumar, A.; Sharma, G.; Mola, G.T. Nickel sulphide nano-composite assisted hole transport in thin film polymer solar cells. Sol. Energy 2020, 195, 310–317. [Google Scholar] [CrossRef]
- Miyazaki, T.; Akisawa, A.; Kashiwagi, T. Energy savings of office buildings by the use of semi-transparent solar cells for windows. Renew. Energy 2005, 30, 281–304. [Google Scholar] [CrossRef]
- JGJ 31-2003; Design Code for Sports Building. China Building Industry Press: Beijing, China, 2003.
- GB50033-2013; Standard for Daylighting Design of Buildings. China Building Industry Press: Beijing, China, 2012.
- Li, Z.; Wang, L.; Zhang, H. Research on the lighting environment using photovoltaic glass in office space—A case study in Tianjin. China Illum. Eng. J. 2015, 26, 23–28. [Google Scholar]
- Zhao, N.; Fan, Z.; Liu, J. Daylight oriented optimization of photovoltaic integrated skylights for railway station waiting hall represented large space buildings in China. Energy Build. 2023, 285, 112777. [Google Scholar] [CrossRef]











| Photovoltaic Glass Type | Subsequent Name | Visible Transmittance | Shading Coefficient | Solar Heat Gain Coefficient |
|---|---|---|---|---|
| 10% transmittance type | 10% CT | 0.091 | 0.418 | 0.363 |
| 20% transmittance type | 20% CT | 0.181 | 0.48 | 0.417 |
| 30% transmittance type | 30% CT | 0.272 | 0.541 | 0.471 |
| 40% transmittance type | 40% CT | 0.363 | 0.603 | 0.524 |
| 50% transmittance type | 50% CT | 0.454 | 0.664 | 0.577 |
| 60% transmittance type | 60% CT | 0.546 | 0.725 | 0.631 |
| 70% transmittance type | 70% CT | 0.637 | 0.786 | 0.684 |
| 80% transmittance type | 80% CT | 0.729 | 0.848 | 0.738 |
| Daylighting Climate Zones | Number of Stations (lx) | Annual Average Total Illuminance (lx) | Design Illuminance of Exterior Daylight (lx) | The Number of Hours of Natural Light Utilization for Design Illuminance (h) | Critical Illuminance of Exterior Daylight (lx) | The Number of Hours of Natural Light Utilization for Critical Illuminance (h) |
|---|---|---|---|---|---|---|
| Ⅰ | 29 | 48,781 | 18,000 | 3356 | 6000 | 3975 |
| Ⅱ | 40 | 42,279 | 16,500 | 3234 | 5500 | 3921 |
| Ⅲ | 71 | 37,427 | 15,000 | 3154 | 5000 | 3909 |
| Ⅳ | 102 | 32,886 | 13,500 | 3055 | 4500 | 3857 |
| Ⅴ | 31 | 27,138 | 12,000 | 2791 | 4000 | 3689 |
| Type | Material | Reflectance |
|---|---|---|
| Ceiling | Concrete and steel construction | 0.2 |
| Wall | White paint | 0.75 |
| Floor | Light color wood floors | 0.58 |
| Parameter | Setting Value |
|---|---|
| Quality | 1 |
| Ambient bounces | 5 |
| Ambient divisions | 2048 |
| Ambient super-samples | 512 |
| Ambient resolution | 512 |
| Ambient accuracy | 0.08 |
| Parameter | Setting Value |
|---|---|
| Occupancy schedule | 8:00–18:00 |
| Minimum illumination | 150 lx |
| Grid size | 1 m × 1 m |
| Number of grids | 1748 |
| Type | Centralized Rectangular Skylight | |||
|---|---|---|---|---|
| DA ≥ 75% | 55% ≤ DA < 75% | 25% ≤ DA < 55% | DA < 25% | |
| 10% CT | 0% | 0% | 30.55% | 69.45% |
| 20% CT | 9.55% | 21.4% | 42.91% | 26.14% |
| 30% CT | 34.5% | 31.35% | 25.57% | 8.58% |
| 40% CT | 61.04% | 27.8% | 10.87% | 0.29% |
| 50% CT | 83.06% | 14.82% | 2.12% | 0% |
| 60% CT | 95.54% | 4.46% | 0% | 0% |
| 70% CT | 99.6% | 0.4% | 0% | 0% |
| 80% CT | 100% | 0% | 0% | 0% |
| Type | Distributed Rectangular Skylight | |||
|---|---|---|---|---|
| DA ≥ 75% | 55% ≤ DA < 75% | 25% ≤ DA < 55% | DA < 25% | |
| 10% CT | 0% | 0% | 28.66% | 71.34% |
| 20% CT | 0% | 25.34% | 64.87% | 9.97% |
| 30% CT | 32.44% | 49.03% | 18.53% | 0% |
| 40% CT | 73.68% | 24.54% | 1.78% | 0% |
| 50% CT | 94.45% | 5.55% | 0% | 0% |
| 60% CT | 99.66% | 0.34% | 0% | 0% |
| 70% CT | 100% | 0% | 0% | 0% |
| 80% CT | 100% | 0% | 0% | 0% |
| Type | Centralized Ribbon Skylight | |||
|---|---|---|---|---|
| DA ≥ 75% | 55% ≤ DA < 75% | 25% ≤ DA < 55% | DA < 25% | |
| 10% CT | 0% | 0% | 30.43% | 69.57% |
| 20% CT | 2.29% | 34.1% | 51.37% | 12.24% |
| 30% CT | 41.93% | 33.3% | 24.43% | 0.34% |
| 40% CT | 69.5% | 26.6% | 3.9% | 0% |
| 50% CT | 89.47% | 10.53% | 0% | 0% |
| 60% CT | 99.03% | 0.97% | 0% | 0% |
| 70% CT | 100% | 0% | 0% | 0% |
| 80% CT | 100% | 0% | 0% | 0% |
| Type | Distributed Vertical Strip Skylight | |||
|---|---|---|---|---|
| DA ≥ 75% | 55% ≤ DA < 75% | 25% ≤ DA < 55% | DA < 25% | |
| 10% CT | 0% | 0% | 32.44% | 67.56% |
| 20% CT | 0% | 23.51% | 55.21% | 21.28% |
| 30% CT | 26.95% | 45.54% | 24.03% | 3.48% |
| 40% CT | 63.5% | 28.49% | 8.01% | 0% |
| 50% CT | 87.87% | 10.98% | 1.15% | 0% |
| 60% CT | 97.71% | 2.29% | 0% | 0% |
| 70% CT | 99.54% | 0.46% | 0% | 0% |
| 80% CT | 100% | 0% | 0% | 0% |
| Type | Centralized X-Shaped Skylight | |||
|---|---|---|---|---|
| DA ≥ 75% | 55% ≤ DA < 75% | 25% ≤ DA < 55% | DA < 25% | |
| 10% CT | 0% | 0% | 0% | 100% |
| 20% CT | 0% | 0% | 16.65% | 83.35% |
| 30% CT | 0% | 4.46% | 56.58% | 38.96% |
| 40% CT | 3.66% | 29.12% | 52.06% | 15.16% |
| 50% CT | 22.2% | 37.64% | 36.27% | 3.89% |
| 60% CT | 43.25% | 33.81% | 22.48% | 0.46% |
| 70% CT | 60.07% | 30.38% | 9.44% | 0.11% |
| 80% CT | 76.66% | 19.22% | 4.12% | 0% |
| Type | Distributed Horizontal Strip Skylight | |||
|---|---|---|---|---|
| DA ≥ 75% | 55% ≤ DA < 75% | 25% ≤ DA < 55% | DA < 25% | |
| 10% CT | 0% | 0% | 30.43% | 69.57% |
| 20% CT | 0% | 29.4% | 60.93% | 9.67% |
| 30% CT | 35.58% | 41.82% | 22.31% | 0.29% |
| 40% CT | 69.62% | 26.72% | 3.66% | 0% |
| 50% CT | 91.65% | 8.06% | 0.29% | 0% |
| 60% CT | 98.34% | 1.66% | 0% | 0% |
| 70% CT | 100% | 0% | 0% | 0% |
| 80% CT | 100% | 0% | 0% | 0% |
| Daylighting Index | Evaluation Methodology | Optimal Type |
|---|---|---|
| DA | Proportion of measuring points with value ≥ 55% | 50–80% CT |
| DAcon | Proportion of measuring points with value > 80% | 50–80% CT |
| DAmax | Proportion of measuring points with value > 5% | 10–60% CT |
| UDI | Average value within 100–2000 lx | 50–80% CT |
| Daylighting Index | Evaluation Methodology | Optimal Type |
|---|---|---|
| DA | Proportion of measuring points with value ≥ 55% | 40–80% CT |
| DAcon | Proportion of measuring points with value > 80% | 40–80% CT |
| DAmax | Proportion of measuring points with value > 5% | 10–60% CT |
| UDI | Average value within 100–2000 lx | 40–80% CT |
| Daylighting Index | Evaluation Methodology | Optimal Type |
|---|---|---|
| DA | Proportion of measuring points with value ≥ 55% | 40–80% CT |
| DAcon | Proportion of measuring points with value > 80% | 40–80% CT |
| DAmax | Proportion of measuring points with value > 5% | 10–60% CT |
| UDI | Average value within 100–2000 lx | 50–80% CT |
| Daylighting Index | Evaluation Methodology | Optimal Type |
|---|---|---|
| DA | Proportion of measuring points with value ≥ 55% | 40–80% CT |
| DAcon | Proportion of measuring points with value > 80% | 40–80% CT |
| DAmax | Proportion of measuring points with value > 5% | 10–50% CT |
| UDI | Average value within 100–2000 lx | 50–80% CT |
| Daylighting Index | Evaluation Methodology | Optimal Type |
|---|---|---|
| DA | Proportion of measuring points with value ≥ 55% | 70–80% CT |
| DAcon | Proportion of measuring points with value > 80% | 70–80% CT |
| DAmax | Proportion of measuring points with value > 5% | 10–80% CT |
| UDI | Average value within 100–2000 lx | 70–80% CT |
| Daylighting Index | Evaluation Methodology | Optimal Type |
|---|---|---|
| DA | Proportion of measuring points with value ≥ 55% | 40–80% CT |
| DAcon | Proportion of measuring points with value > 80% | 40–80% CT |
| DAmax | Proportion of measuring points with value > 5% | 10–50% CT |
| UDI | Average value within 100–2000 lx | 40–70% CT |
| Skylight Shape | Optimal Type |
|---|---|
| Centralized rectangular skylight | 50–60% CT |
| Distributed rectangular skylight | 40–60% CT |
| Centralized ribbon skylight | 50–60% CT |
| Distributed vertical strip skylight | 40–50% CT |
| Centralized X-shaped skylight | 70–80% CT |
| Distributed horizontal strip skylight | 40–50% CT |
Disclaimer/Publisher’s Note: The statements, opinions and data contained in all publications are solely those of the individual author(s) and contributor(s) and not of MDPI and/or the editor(s). MDPI and/or the editor(s) disclaim responsibility for any injury to people or property resulting from any ideas, methods, instructions or products referred to in the content. |
© 2024 by the authors. Licensee MDPI, Basel, Switzerland. This article is an open access article distributed under the terms and conditions of the Creative Commons Attribution (CC BY) license (https://creativecommons.org/licenses/by/4.0/).
Share and Cite
Wu, Y.; Li, S.; Gao, X.; Fan, H. Daylighting Performance of CdTe Semi-Transparent Photovoltaic Skylights with Different Shapes for University Gymnasium Buildings. Buildings 2024, 14, 241. https://doi.org/10.3390/buildings14010241
Wu Y, Li S, Gao X, Fan H. Daylighting Performance of CdTe Semi-Transparent Photovoltaic Skylights with Different Shapes for University Gymnasium Buildings. Buildings. 2024; 14(1):241. https://doi.org/10.3390/buildings14010241
Chicago/Turabian StyleWu, Yanpeng, Shaoxiong Li, Xin Gao, and Huifang Fan. 2024. "Daylighting Performance of CdTe Semi-Transparent Photovoltaic Skylights with Different Shapes for University Gymnasium Buildings" Buildings 14, no. 1: 241. https://doi.org/10.3390/buildings14010241
APA StyleWu, Y., Li, S., Gao, X., & Fan, H. (2024). Daylighting Performance of CdTe Semi-Transparent Photovoltaic Skylights with Different Shapes for University Gymnasium Buildings. Buildings, 14(1), 241. https://doi.org/10.3390/buildings14010241

