An Experimental Study on the Bond–Slip Relationship between Rebar and Ultra-High-Performance Concrete Grouted in Bellows
Abstract
:1. Introduction
2. Experimental Program
2.1. Specimens and Test Matrix
2.2. Specimen Fabrication
2.3. Material Properties
2.4. Test Set-up and Instrumentation
2.4.1. Loading Solutions and Instrumentation
2.4.2. Arrangement and Testing of Strain Gauges on Rebar
3. Results and Discussion
3.1. Failure Mode
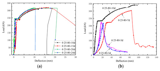
3.2. Load versus Deflection Curves
3.3. Analysis of Factors Influencing Anchorage Performance of Rebar-UHPC Grouted in Bellows
3.3.1. Diameter Ratio D/d
3.3.2. Anchorage Length L
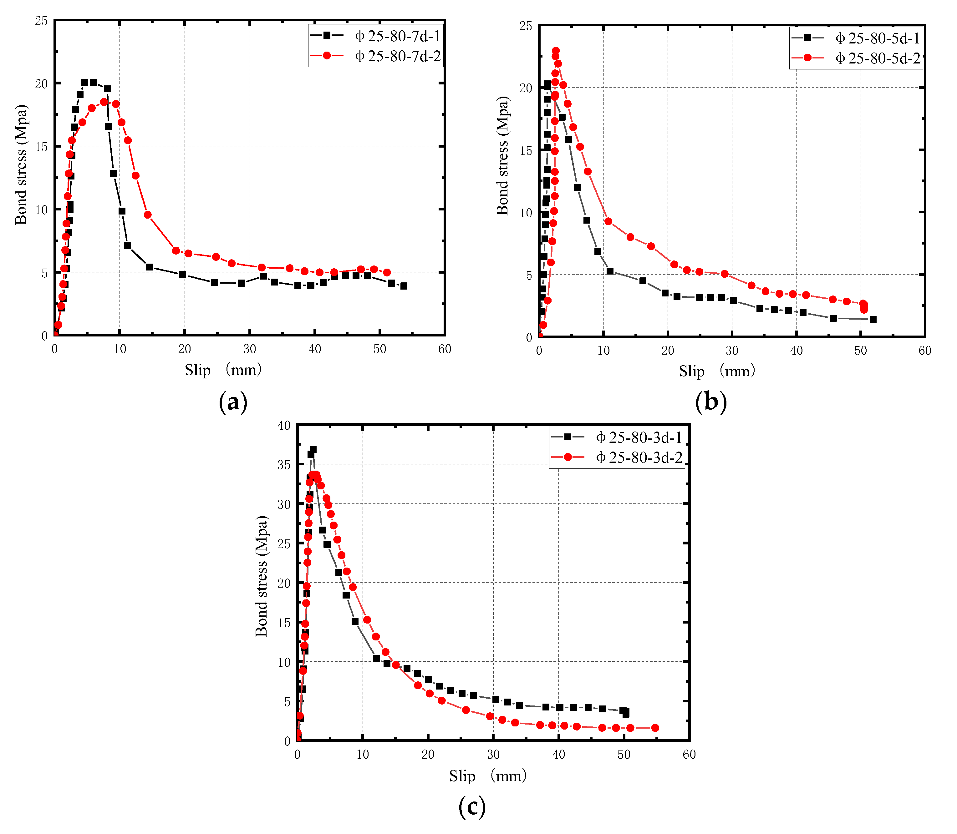
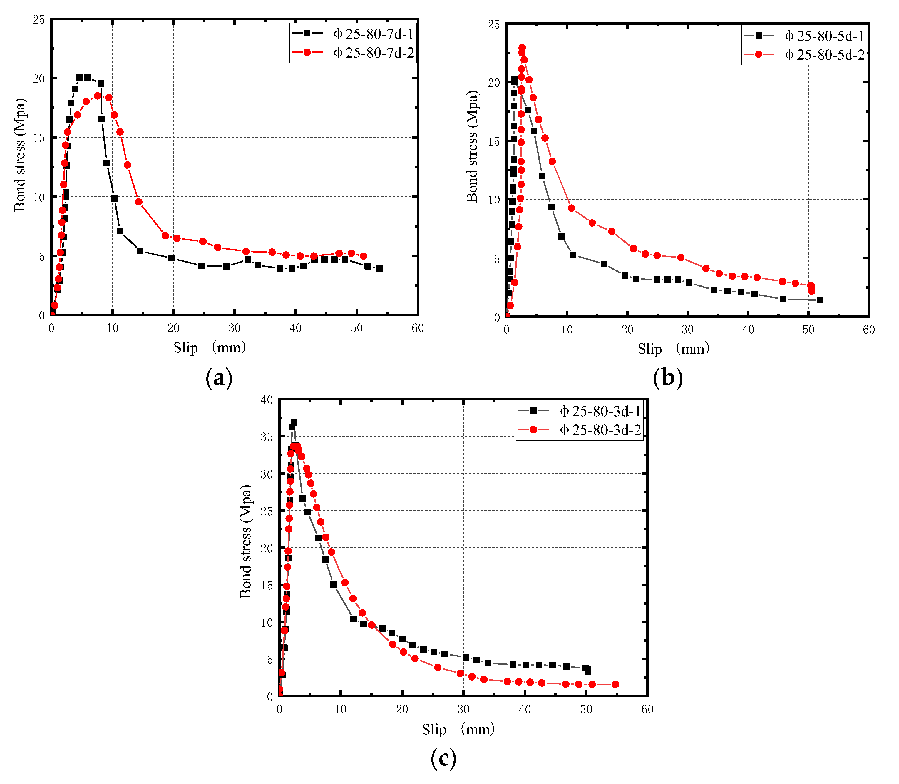
4. Bond–Slip Relationship of the Interface of Rebar-UHPC Grouted in Bellows
4.1. Load–Strain Curves (F-ε)
4.2. Experimental Curve for Bond–Slip Relationship
4.2.1. Standardization of Strain Positions
4.2.2. Interfacial Bond–Slip Relationship Curves
4.3. Model for Bond–Slip Relationship
5. Conclusions
Author Contributions
Funding
Conflicts of Interest
References
- Farida, N.; Handayani, N.U.; Wibowo, M.A. Developing indicators of green construction of Green Supply Chain Management in construction industry: A literature review. IOP Conf. Ser. Mater. Sci. Eng. 2019, 598, 012021. [Google Scholar] [CrossRef]
- Ny Avotra, A.A.R.; Chenyun, Y.; Yongmin, W.; Lijuan, Z.; Nawaz, A. Conceptualizing the State of the Art of Corporate Social Responsibility (CSR) in Green Construction and Its Nexus to Sustainable Development. Front. Environ. Sci. 2021, 9, 541. [Google Scholar] [CrossRef]
- Hsiao, P.C.; Chou, S.C.; Hung, C.C. A novel seismic strengthening method for RC frames: Precast ultra-high performance concrete braces. J. Build. Eng. 2023, 71, 106592. [Google Scholar] [CrossRef]
- Halding, P.S. Reduction of the Carbon Footprint of Precast Columns by Combining Normal and Light Aggregate Concrete. Buildings 2022, 12, 215. [Google Scholar] [CrossRef]
- Wang, C.; Xiao, J.; Liu, W.; Ma, Z. Unloading and reloading stress-strain relationship of recycled aggregate concrete reinforced with steel/polypropylene fibers under uniaxial low-cycle loadings. Cem. Concr. Compos. 2022, 131, 104597. [Google Scholar] [CrossRef]
- Wang, C.; Wu, H.; Li, C. Hysteresis and damping properties of steel and polypropylene fiber reinforced recycled aggregate concrete under uniaxial low-cycle loadings. Constr. Build. Mater. 2022, 319, 126191. [Google Scholar] [CrossRef]
- Culmo, M.P.; Lord, B.; Huie, M.; Beerman, B. Accelerated Bridge Construction: Experience in Design, Fabrication and Erection of Prefabricated Bridge Elements and Systems: Final Manual; Rep. No. FHWA-HIF-12-013; Federal Highway Administration, Office of Bridge Technology: Washington, DC, USA, 2011.
- Khaleghi, B. Use of Precast Concrete Members for Accelerated Bridge Construction in Washington State. Transp. Res. Rec. J. Transp. Res. Board 2005, 11, 187–196. [Google Scholar] [CrossRef]
- Khan, M.A. Accelerated Bridge Construction: Best Practices and Techniques; Elsevier: Amsterdam, The Netherlands, 2014. [Google Scholar]
- Shafieifar, M.; Farzad, M.; Azizinamini, A. Investigation of a Detail for Connecting Precast Columns to Precast Cap Beams Using Ultrahigh-Performance Concrete. J. Bridg. Eng. 2020, 25, 04020001. [Google Scholar] [CrossRef]
- Zhang, Q.; Alam, M.S. State-of-the-Art Review of Seismic-resistant Precast Bridge Columns. In Proceedings of the 12th Canadian Conference on Earthquake Engineering, Quebec City, QC, Canada, 17–20 June 2019. [Google Scholar]
- Si, X.; Wen, J.; Zhang, G.; Jia, Z.; Han, Q. Seismic performance of precast double-column pier with UHPC-filled socket connections. Eng. Struct. 2023, 285, 115618. [Google Scholar] [CrossRef]
- Tazarv, M.; Saiidi, M.S. Design and Construction of Precast Bent Caps with Pocket Connections for High Seismic Regions; Rep. No. CCEER-15-06; Center for Civil Engineering Earthquake Research, Department of Civil and Environmental Engineering, University of Nevada: Reno, NE, USA, 2015. [Google Scholar]
- Qu, H.; Fu, J.; Li, T.; Wu, C.; Sun, X.; Wei, H.; Wang, Z. Experimental and numerical assessment of precast bridge columns with different grouted splice sleeve coupler designs based on shake table test. J. Bridge Eng. 2021, 26, 04021055. [Google Scholar] [CrossRef]
- Haber, Z.B.; Mackie, K.R.; Al-Jelawy, H.M. Testing and analysis of precast columns with grouted sleeve connections and shifted plastic hinging. J. Bridge Eng. ASCE 2017, 22, 04017078. [Google Scholar] [CrossRef]
- Wang, J.Q.; Wang, Z.; Gao, Y.F.; Zhu, J.Z. Review on aseismic behavior of precast piers: New material, new concept, and new application. Eng. Mech. 2019, 36, 1–23. [Google Scholar]
- Restrepo, J.I.; Tobolski, M.J.; Matsumoto, E.E. Development of a Precast Bent Cap System for Seismic Regions; National Cooperative Highway Research Program (NCHRP) Report 681; The National Academies Press: Washington, DC, USA, 2011; 166p. [Google Scholar]
- Tazarv, M.; Saiidi, M.S. UHPC-filled duct connections for accelerated bridge construction of RC columns in high seismic zones. Eng. Struct. 2015, 99, 413–422. [Google Scholar] [CrossRef]
- Fu, T.; Zhu, Z.; Ren, X.; Wang, K.; Meng, L.; Sun, Z. Research on the seismic behavior of hollow prefabricated square column with high-strength reinforcement using UHPC grouting materials. Case Stud. Constr. Mater. 2023, 18, e01816. [Google Scholar]
- Yuan, J.; Graybeal, B.A. Bond Behavior of Reinforcing Steel in Ultra-High Performance Concrete; Report No. FHWA-HRT-14-089; Federal Highway Administration: McLean, VA, USA, 2014.
- ACI Committee 239. Ultra-high performance concrete. In Proceedings of the ACI Fall Convention, Toronto, ON, Canada, 29 January–4 February 2012. [Google Scholar]
- Jiang, H.; Li, Y.; Liu, A.; Chen, L.; Chen, Y.; Xiao, J. Experimental Study on Shear Behavior of Precast Concrete Segmental Beams with Hybrid Tendons and Dry Joints. KSCE J. Civ. Eng. 2019, 23, 4354–4367. [Google Scholar] [CrossRef]
- Ye, M.; Li, L.; Pei, B.; Yoo, D.-Y.; Li, H. Shear behavior of externally prestressed ultra-high-performance concrete (UHPC) T-beams without stirrups. Eng. Struct. 2023, 288, 116217. [Google Scholar] [CrossRef]
- Li, H.; Li, L.; Du, C.; Ye, M.; Shao, X.; Zhou, C. Experimental Study on the Flexural Behavior of a Novel Nonprismatic Prestressed UHPC Composite Box Girder with Corrugated Steel Webs. J. Bridg. Eng. 2023, 28, 04023045. [Google Scholar] [CrossRef]
- Xu, W.; Ma, B.; Duan, X.; Li, J. Experimental investigation of seismic behavior of UHPC connection between precast columns and footings in bridges. Eng. Struct. 2021, 239, 112344. [Google Scholar] [CrossRef]
- Gao, J.; Xiang, N.; Li, J.; Xu, W. Cyclic Behavior of Precast Double-Column Bridge Bents with Lap Splice Connections by UHPC. J. Bridg. Eng. 2023, 28, 04023035. [Google Scholar] [CrossRef]
- Xu, Y.; Zeng, Z.; Wang, Z.; Ge, J. Experimental studies of embedment length of precast bridge pier with socket connection to pile cap. Eng. Struct. 2021, 233, 111906. [Google Scholar] [CrossRef]
- Lei, S.; Liu, L.; Wu, F.; Lin, W.; Peng, K.; Cao, J. Seismic performance of short precast columns with UHPC grouted sleeve connections: An experimental and numerical study. Structures 2023, 55, 427–440. [Google Scholar] [CrossRef]
- Zhang, G.; Han, Q.; Xu, K.; Song, Y.; Li, Z.; Du, X. Parameter analysis and design on socket CFST column-cap beam joint with UHPC grouted connection. Eng. Struct. 2023, 292, 116528. [Google Scholar] [CrossRef]
- Zhang, G.; Han, Q.; Xu, K.; Du, X.; He, W. Quasi-static tests of CFST embedded RC column-to-precast cap beam with socket connection. Eng. Struct. 2021, 241, 112443. [Google Scholar] [CrossRef]
- Su, H.; Fan, W.; Wang, H.; Liu, B.; Sun, W.; Shao, X. Direct shear strength of UHPC-based gravity-type grouted sleeve connection members. J. Build. Eng. 2023, 69, 106266. [Google Scholar] [CrossRef]
- Fehling, E.; Lorenz, P.; Leutbecher, T. Experimental investigations on anchorage of rebars in UHPC. In Proceedings of the Hipermat 2012 3rd International Symposium on UHPC and Nanotechnology for High Performance Construction Materials, Kassel, Germany, 7–9 March 2012; pp. 533–540. [Google Scholar]
- Yuan, J.; Graybeal, B.A. Bond Behavior of Reinforcing Steel in Ultra-High Performance Concrete; No. FHWA-HRT-14-090; Federal Highway Administration, Office of Infrastructure Research and Development: Washington, DC, USA, 2014.
- Ronanki, V.S.; Aaleti, S.; Valentim, D.B. Experimental investigation of bond behavior of mild steel reinforcement in UHPC. Eng. Struct. 2018, 176, 707–718. [Google Scholar] [CrossRef]
- Hu, A.; Liang, X.; Shi, Q. Bond Characteristics between High-Strength Bars and Ultrahigh-Performance Concrete. J. Mater. Civ. Eng. 2020, 32, 04019323. [Google Scholar] [CrossRef]
- Qi, J.; Cheng, Z.; Ma, Z.J.; Wang, J.; Liu, J. Bond strength of reinforcing bars in ultra-high performance concrete: Experimental study and fiber–matrix discrete model. Eng. Struct. 2021, 248, 113290. [Google Scholar] [CrossRef]
- Liu, H.; Liu, Y.; Li, A.; Lei, H. Experimental study on the bond performance of deformed steel bar in ultrahigh performance concrete. Case Stud. Constr. Mater. 2023, 18, e01874. [Google Scholar] [CrossRef]
- Wang, H.; Liu, J.; Shi, P.; Tao, T.; Zhu, Q. Experimental study on anchorage performance of rebar-corrugated metal duct for grout splicing. J. Southeast Univ. (Nat. Sci. Ed.) 2020, 50, 215–221. [Google Scholar]
- Yoo, D.-Y.; Kwon, K.-Y.; Park, J.-J.; Yoon, Y.-S. Local bond-slip response of GFRP rebar in ultra-high-performance fiber-reinforced concrete. Compos. Struct. 2015, 120, 53–64. [Google Scholar] [CrossRef]
- Khaksefidi, S.; Ghalehnovi, M.; de Brito, J. Bond behaviour of high-strength steel rebars in normal (NSC) and ultra-high performance concrete (UHPC). J. Build. Eng. 2020, 33, 101592. [Google Scholar] [CrossRef]
















| Test Matrix | Anchorage Length L | Rebar Diameter d | Bellows Diameter D | D/d | Specimen ID | The Number of Specimens |
|---|---|---|---|---|---|---|
| Series A | 24 d | 25 | 60 | 2.4 | Φ25-60-24d | 1 |
| 25 | 80 | 3.2 | Φ25-80-24d | 1 | ||
| 20 d | 25 | 60 | 2.4 | Φ25-60-20d | 1 | |
| 25 | 80 | 3.2 | Φ25-80-20d | 1 | ||
| 15 d | 25 | 60 | 2.4 | Φ25-60-15d | 1 | |
| 25 | 80 | 3.2 | Φ25-80-15d | 1 | ||
| 10 d | 25 | 60 | 2.4 | Φ25-60-10d | 1 | |
| 25 | 80 | 3.2 | Φ25-80-10d | 1 | ||
| Series B | 10 d | 25 | 80 | 3.2 | Φ25-80-10d | 2 |
| 7 d | 25 | 80 | 3.2 | Φ25-80-7d | 2 | |
| 5 d | 25 | 80 | 3.2 | Φ25-80-5d | 2 | |
| 3 d | 25 | 80 | 3.2 | Φ25-80-3d | 2 |
| Materials | kg/m3 |
|---|---|
| Cement | 700 |
| Mineral powder | 250 |
| Silica fume | 150 |
| Quartz sand | 1260 |
| Water reducer | 11.8 |
| Water | 209 |
| Materials | Items | Value |
|---|---|---|
| Normal concrete | Compressive strength | 51.2 MPa |
| Elastic modulus (Ec) | 35.0 Gpa | |
| Steel bars | Elastic modulus (Es) | 205.5 Gpa |
| Yield strength | 445.1 MPa | |
| Tensile strength | 615.1 MPa | |
| UHPC | Tensile strength | 8.4 MPa |
| Compressive strength | 116.1 MPa |
| Series | Specimen No. | Failure Mode | Yield Load (kN) | Yield Strength (MPa) | Ultimate Load (kN) | Ultimate Strength (MPa) |
|---|---|---|---|---|---|---|
| A | Φ25-60-24d | Tensile failure of rebar | 234.79 | 478.55 | 335.58 | 683.98 |
| Φ25-80-24d | 245.19 | 499.75 | 315.24 | 642.53 | ||
| Φ25-60-20d | 223.55 | 455.66 | 309.57 | 630.97 | ||
| Φ25-80-20d | 245.36 | 500.10 | 315.69 | 643.44 | ||
| Φ25-60-15d | 215.02 | 438.26 | 275.69 | 561.92 | ||
| Φ25-80-15d | 234.15 | 477.25 | 318.72 | 649.62 | ||
| Φ25-60-10d | 205.05 | 417.94 | 273.65 | 557.76 | ||
| Φ25-80-10d | 236.85 | 482.75 | 316.41 | 644.91 | ||
| B | Φ25-80-10d | Tensile failure of rebar | 223.6 | 455.8 | 327.8 | 668.1 |
| Φ25-80-7d | Rebar pullout | 217.1 | 442.5 | 292.5 | 596.2 | |
| Φ25-80-5d | Rebar pullout | Not yielded | -- | 213.1 | -- | |
| Φ25-80-3d | Rebar pullout | Not yielded | -- | 208.7 | -- |
Disclaimer/Publisher’s Note: The statements, opinions and data contained in all publications are solely those of the individual author(s) and contributor(s) and not of MDPI and/or the editor(s). MDPI and/or the editor(s) disclaim responsibility for any injury to people or property resulting from any ideas, methods, instructions or products referred to in the content. |
© 2023 by the authors. Licensee MDPI, Basel, Switzerland. This article is an open access article distributed under the terms and conditions of the Creative Commons Attribution (CC BY) license (https://creativecommons.org/licenses/by/4.0/).
Share and Cite
Wang, Z.; Zheng, X.; Wang, Q.; Wang, Q. An Experimental Study on the Bond–Slip Relationship between Rebar and Ultra-High-Performance Concrete Grouted in Bellows. Buildings 2023, 13, 2375. https://doi.org/10.3390/buildings13092375
Wang Z, Zheng X, Wang Q, Wang Q. An Experimental Study on the Bond–Slip Relationship between Rebar and Ultra-High-Performance Concrete Grouted in Bellows. Buildings. 2023; 13(9):2375. https://doi.org/10.3390/buildings13092375
Chicago/Turabian StyleWang, Zhongling, Xiaohong Zheng, Qiqi Wang, and Qian Wang. 2023. "An Experimental Study on the Bond–Slip Relationship between Rebar and Ultra-High-Performance Concrete Grouted in Bellows" Buildings 13, no. 9: 2375. https://doi.org/10.3390/buildings13092375
APA StyleWang, Z., Zheng, X., Wang, Q., & Wang, Q. (2023). An Experimental Study on the Bond–Slip Relationship between Rebar and Ultra-High-Performance Concrete Grouted in Bellows. Buildings, 13(9), 2375. https://doi.org/10.3390/buildings13092375
