Study of Mechanical Properties of Saline Soils under Different Stress Paths
Abstract
:1. Introduction
2. Materials and Experimental Program
2.1. Materials
2.2. Specimen Preparation
2.3. Experimental Scheme
3. Results and Discussion
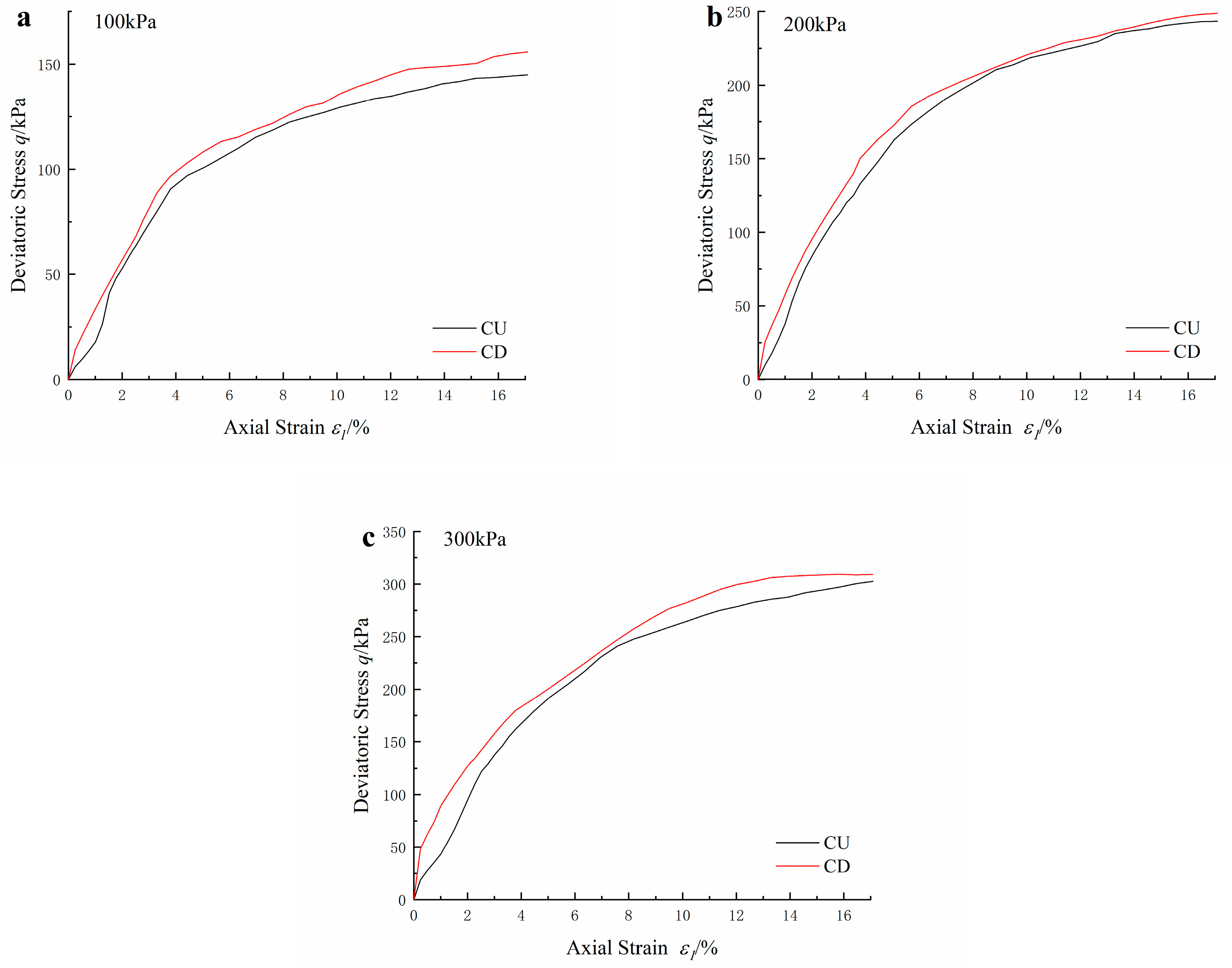
3.1. Stress–Strain Relationship
3.2. Stress Path
- (1)
- Under the conventional stress path, the stress paths under the consolidated undrained (CU), consolidated drained (CD), and K0 consolidated (K0) triaxial test conditions appear to overlap, and the three are similar, and the stress path curves show a linear increasing trend because the confining pressure σ3 remains constant and the axial pressure gradually increases under this stress path, and the slope of the stress path curve is calculated to be 1 because ∆σ3 = 0.
- (2)
- For the equal p (TC) stress path, because the confining pressure is the same in the triaxial shear test, i.e., σ2 = σ3, the spherical stress p = (σ1 + σ2 + σ3)/3 of the soil sample remains constant under the equal p (TC) stress path condition, i.e., (σ1 + 2σ3)/3 remains constant, so that ∆σ1 = −2∆σ3, and the slope of the stress path curve can be calculated to be 3.
- (3)
- For the reduced p (RTC) stress path, the axial pressure remains unchanged, i.e., ∆σ1 = 0, and the confining pressure decreases, and the slope of the stress path curve can be calculated as −1.
- (4)
- For the increased p (CTC) stress path, σ3 increases and σ1 increases, and the ratio of both increases is ∆σ3/∆σ1 = 0.5. In the triaxial test, σ2 = σ3; therefore, ∆σ1 = 2∆σ3, and the slope of the stress path curve can be calculated as 1/3.
3.3. Shear Strength
4. Shear Strength Parameters
5. Conclusions
- (1)
- Regarding stress–strain relationships: The stress–strain relationships of the specimens all showed strain-hardening characteristics. Regarding the stress–strain relationship curves when the specimens were damaged, those under K0 consolidation conditions were all located above those under the isobaric consolidation conditions. The stress–strain curves under the drained conditions are all located above those of the undrained conditions. The stress–strain curves of the soil under the different stress path conditions are shifted upward in the following order: reduced p (RTC), equal p (TC), conventional (CD), and increased p (CTC).
- (2)
- Regarding stress path characteristics: The stress path curves under the same stress path have the same slope and do not have obvious inflection points. Under the conventional stress path, the slope is 1; under the increased p stress path, the slope is 1/3; under the equal p stress path, the slope is 3; under the decreased p stress path, the slope of the curve is −1. For different confining pressures, only the relative positions of the curves are different. Under the same consolidation pressure, the left to right order is as follows: reduced p (RTC), equal p (TC), conventional (CD), and increased p (CTC).
- (3)
- Regarding shear strength: Under the same confining pressure, the relationship between the magnitude of the shear strength of saline soil under different stress paths is expressed in the following order: increased p (CTC) > conventional (CD) > equal p (TC) > reduced p (RTC).
- (4)
- Regarding shear strength parameters: In the shear stage, the drainage condition has a smaller effect on the cohesion c and a larger effect on the internal friction angle φ; the consolidation condition has a greater effect on the cohesion c and a smaller effect on the internal friction angle φ; and the stress paths have a greater effect on both cohesion c and internal friction angle φ.
Author Contributions
Funding
Data Availability Statement
Acknowledgments
Conflicts of Interest
References
- Chen, C.; Guo, J.; Yang, P. Influence of stress path on deformation and strength characteristics of saturated intact loess under drainage condition. J. Hydraul. Eng. 2008, 39, 6. [Google Scholar]
- Li, Z. Test Study on Engineering Characteristics of Lime-improved Saline Soil for Highway Subgrade. J. Shijiazhuang Railw. Inst. 2007, 2, 45–48+114. [Google Scholar]
- Wu, A.; Cai, L.; Gu, Q.; Wang, Z. Ground Treatment of Airport by Heavy Cover Technique in Sulphate Saline Soil Region. In Proceedings of the International Conference on Transportation Engineering, Chengdu, China, 25–27 July 2009. [Google Scholar]
- Wang, W.W.; Yang, B.C.; Wang, R. Road diseases in southern saline soil areas of Xinjiang. Chin. J. Geotech. Eng. 2013, 35, 253–258. [Google Scholar]
- Cheng, S.; Wang, Q.; Fu, H.; Wang, J.; Han, Y.; Shen, J.; Lin, S. Effect of freeze-thaw cycles on the mechanical properties and constitutive model of saline soil. Geomech. Eng. 2021, 27, 309–322. [Google Scholar]
- Lai, Y.M.; You, Z.M.; Zhang, J. Constitutive models and salt migration mechanisms of saline frozen soil and the-state-of-the-practice countermeasures in cold regions. Sci. Cold Arid Reg. 2021, 13, 1–17. [Google Scholar]
- Li, X.; Guo, L.; Cai, Y.; Hu, X. Stress path triaxial tests on K0-consolidated saturated soft clay. Zhongnan Daxue Xuebao (Ziran Kexue Ban)/J. Cent. South Univ. (Sci. Technol.) 2015, 46, 1820–1825. [Google Scholar]
- Zhuang, H.; Wang, J.; Gao, Z. Anisotropic and Noncoaxial Behavior of Soft Marine Clay under Stress Path Considering the Variation of Principal Stress Direction. Int. J. Geomech. 2022, 22, 04022062. [Google Scholar] [CrossRef]
- Pan, K.; Yang, Z.X.; Cai, Y.Q. Flow liquefaction potential of loose sand: Stress path envelope and energy-based evaluation. Can. Geotech. J. 2021, 58, 1783–1789. [Google Scholar] [CrossRef]
- Shi, C.; Yang, J.; Chu, W.; Tang, H.; Zhang, Y. Macro- and Micromechanical Behaviors and Energy Variation of Sandstone under Different Unloading Stress Paths with DEM. Int. J. Geomech. 2021, 21, 04021127. [Google Scholar] [CrossRef]
- Kandasami, R.K.; Murthy, T.G.; Singh, S. Experimental Investigations of the Stress Path Dependence of Weakly Cemented Sand. J. Geotech. Geoenviron. Eng. 2021, 147, 04021007. [Google Scholar] [CrossRef]
- Cai, Y.; Hao, B.; Gu, C.; Wang, J.; Pan, L. Effect of anisotropic consolidation stress paths on the undrained shear behavior of reconstituted Wenzhou clay. Eng. Geol. 2018, 242, 23–33. [Google Scholar] [CrossRef]
- Lamber, T.W. Stress Path Method. J. Soil Mech. Found. Div. 1967, 93, 1195–1217. [Google Scholar]
- Liu, E.; Shen, Z. Mechanical Behavior of Structured Soils under Different Stress Paths. Chin. J. Rock Mech. Eng. 2006, 25, 7. [Google Scholar]
- Zeng, L.; Chen, X. Analysis of mechanical characteristics of soft soil under different stress paths. Rock Soil Mech. 2009, 30, 1264–1270. [Google Scholar]
- Gao, B.; Chen, J.; Yang, H.; Cheng, X.; Wu, Z. Experimental Study on Mechanical Properties of Red Clay under Different Stress Paths. Chin. J. Undergr. Space Eng. 2018, 14, 11. [Google Scholar]
- Lade, P.V.; Duncan, J.M. Stress-path dependent behavior of cohesionless soil. J. Geotech. Eng. Div. 1976, 102, 51–68. [Google Scholar] [CrossRef]
- Santos, O.F., Jr.; Lacerda, W.A.; Ehrlich, M. Collapse of saturated soil due to reduction in confinement. J. Geotech. Eng. 1996, 122, 505. [Google Scholar] [CrossRef]
- Sun, Y.; Pu, J.; Li, G. Effect of different stress paths on stress-strain relationships in sandy soils. Chin. J. Geotech. Eng. 1987, 6, 78–88. [Google Scholar]
- Breth, H.; Schuster, E.; Pise, P. Axial Stress-Strain Characteristics of Sand. ASCE Soil Mech. Found. Div. J. 1973, 99, 617–632. [Google Scholar] [CrossRef]
- Xu, C.S.; Wen, L.M.; Du, X.L.; Xu, H.B. Experimental study on shear behaviors of sand under different stress path. J. Hydraul. Eng. 2010, 41, 108–112. [Google Scholar]
- Silvestri, V.; Diab, R. Stress distributions and paths in clays during pressuremeter tests. Can. Geotech. J. 2001, 38, 542–552. [Google Scholar] [CrossRef]
- Chang, Y.; Wang, X.; Zai, J.; Xu, J. Stress path test of cohesive soils. J. Nanjing Tech Univ. (Nat. Sci. Ed.) 2005, 27, 9–14. [Google Scholar]
- Liu, Y.; Shi, J.; Yi, Y.; Xo, L. Experimental study of mechanical characteristics of an incomplete consolidation silty clay. Rock Soil Mech. 2004, 25, 5. [Google Scholar]
- Kong, L.; Zang, M.; Guo, A.; Tuo, Y. Stress path effects on strength characteristics of Zhanjiang strong structural clay. Rock Soil Mech. 2015, 36 (Suppl. S1), 19–24. [Google Scholar]
- Wang, X.; Chen, F.; Cai, Y. Research on characteristics of shear deformation of silty clay in different stress paths. Tunn. Constr. 2011, 31, 192–196. [Google Scholar]
- Huang, Y.; Liu, G.; Qi, L.; Tao, H.; Zheng, R.; Gu, Q. Experimental study of stress pathsof saturated soft clay soils under different temperatures. Hydrogeol. Eng. Geol. 2016, 43, 5. [Google Scholar]
- Shi, J.; Liu, Z. The effect of stress path on stress-strain relationship of loess. J. Archit. Civ. Eng. 1992, 1, 10–14. [Google Scholar]
- Liang, Y.; Xie, Y.; Liu, H.C. Influence of stress path on consolidated undrained shear strength of loess. Rock Soil Mech. 2007, 28, 364–366. [Google Scholar]
- Jiang, M.; Hu, H.; Peng, J.; Yang, Q. Pore changes of loess before and after stress path tests and their links with mechanical behaviors. Chin. J. Geotech. Eng. 2012, 34, 1369–1378. [Google Scholar]
- Hu, H.; Jiang, M.; Peng, J.; Shen, Z. Pore fractal features of different kind of loesses before and after stress path test. Rock Soil Mech. 2014, 35, 7. [Google Scholar]
- Hou, X.; Li, T.; Li, P. Analysis of stress path and deformation-failure mechanism of high cutting loess slope. Rock Soil Mech. 2014, 35, 548–555. [Google Scholar]
- Zhao, D.; Fu, Y.K.; Hou, X.; Li, T.; Li, P.; Li, Y.; Zhang, L. Mechanical properties of saturated remolded loess under different stress paths. Hydrogeol. Eng. Geol. 2022, 46, 74–80. [Google Scholar]
- Lo, S.; Lee, I.K. Response of Granular Soil along Constant Stress Increment Ratio Path. J. Geotech. Eng. 1990, 116, 32012. [Google Scholar]
- Chen, C.; Hu, Z.; Wang, Z. The influence of stress paths on the stress-strain relationship of reinforced soil. Power Syst. Clean Energy 1998, 1, 13–16. [Google Scholar]
- Hu, D.; Gao, Z.; Zhang, Q. Study on Constitutive Model of Fly Ash under Different Stress Paths. J. Hydraul. Eng. 1998, 4, 20–26. [Google Scholar]
- Xiang, B.; Zhang, Z.L.; Chi, S.C. An improved hypoplastic constitutive model of rockfill considering effect of stress path. J. Cent. South Univ. Technol. (Engl. Ed.) 2009, 16, 1006–1013. [Google Scholar] [CrossRef]
- Guo, Z.; Shi, X. Temperature–Stress Paths and Coupling Constitutive Relation of Concrete; Elsevier Inc.: Amsterdam, The Netherlands, 2011. [Google Scholar]
- Nguyen, V.H.; Gland, N.; Dautriat, J.; David, C.; Wassermann, J.; Guélard, J. Compaction, permeability evolution and stress path effects in unconsolidated sand and weakly consolidated sandstone. Int. J. Rock Mech. Min. Sci. 2014, 67, 226–239. [Google Scholar] [CrossRef]
- Zhang, J.; Luo, X.; Pang, W.K.; Zhang, B. Drained triaxial tests on mechanical properties of calcareous sand under various stress paths. Chin. J. Geotech. Eng. 2021, 43, 593–602. [Google Scholar]
- Wang, Q.; Kong, Y.; Zhang, X.; Ruan, Y.; Chen, Y. Mechanical Effect of Pre-consolidation Pressure of Structural Behavior Soil. J. Southwest Jiaotong Univ. 2016, 51, 987–994. [Google Scholar]
- Bao, S.; Wang, Q.; Bao, X. Study on Dispersive Influencing Factors of Dispersive Soil in Western Jilin Based on Grey Correlation Degree Method. Appl. Mech. Mater. 2013, 291–294, 1096–1100. [Google Scholar] [CrossRef]
- Zhang, X.; Wang, Q.; Li, P.; Wang, R. Research on soil dispersion of Qian’an soil forest. J. Northeast. Univ. (Nat. Sci.) 2015, 36, 1643. [Google Scholar]
- Han, Y.; Wang, Q.; Wang, N.; Wang, J.; Zhang, X.; Cheng, S.; Kong, Y. Effect of freeze-thaw cycles on shear strength of saline soil. Cold Reg. Sci. Technol. 2018, 154, 42–53. [Google Scholar] [CrossRef]
- ASTM D2487-11; Standard Practice for Classification of Soils for Engineering Purposes (Unified Soil Classification System). ASTM International: West Conshohocken, PA, USA, 2011.








| Soil Type | Natural Density (g/cm3) | Natural Water Content (%) | Dry Density (g/cm3) | Specific Gravity of Solid Particles (g/cm3) | Plastic Limit (%) | Liquid Limit (%) | Plasticity Index | Liquidity Index |
|---|---|---|---|---|---|---|---|---|
| CL | 1.85 | 22 | 1.78 | 2.71 | 17.1 | 36.66 | 19.56 | 0.25 |
| PH | Soluble Salt Content (%) | K+ (mmol/kg) | Ca2+ (mmol/kg) | Mg2+ (mmol/kg) | Na+ (mmol/kg) | SO42− (mmol/kg) | CO32− (mmol/kg) | HCO3− (mmol/kg) | Cl− (mmol/kg) |
|---|---|---|---|---|---|---|---|---|---|
| 7.72 | 0.51 | 1.22 | 12.2 | 2.4 | 29.46 | 2.5 | 0 | 35.6 | 10.7 |
| Triaxial Test Type | Experimental Conditions | Experiment Description | Confining Pressure (kPa) |
|---|---|---|---|
| Consolidated drained | Equal p (TC) | Decrease in confining pressure, increase in axial pressure, constant mean total stress p. | 100, 200, 300 |
| Conventional (CD) | Constant confining pressure, increase in axial pressure, increase in mean total stress p. | 100, 200, 300 | |
| Reduced p (RTC) | Decrease in confining pressure, constant axial pressure, decrease in mean total stress p. | 100, 200, 300 | |
| Increased p (CTC) | Increase in confining pressure, increase in axial pressure (∆σ3/∆σ1 = 0.5), increase in mean total stress p. | 100, 200, 300 | |
| K0 consolidation condition (K0) | Conventional (CD) shear test under K0 consolidation conditions. | 100, 200, 300 | |
| Consolidated undrained | Conventional (CU) | Decrease in confining pressure, increase in axial pressure, constant mean total stress p. | 100, 200, 300 |
| Shear Strength Parameters | CU | CD | K0 | RTC | TC | CTC |
|---|---|---|---|---|---|---|
| c (kPa) | 27.93 | 27.78 | 20.32 | 14.24 | 7.50 | 25.36 |
| φ (°) | 15.98 | 16.57 | 17.00 | 24.08 | 22.76 | 10.63 |
Disclaimer/Publisher’s Note: The statements, opinions and data contained in all publications are solely those of the individual author(s) and contributor(s) and not of MDPI and/or the editor(s). MDPI and/or the editor(s) disclaim responsibility for any injury to people or property resulting from any ideas, methods, instructions or products referred to in the content. |
© 2023 by the authors. Licensee MDPI, Basel, Switzerland. This article is an open access article distributed under the terms and conditions of the Creative Commons Attribution (CC BY) license (https://creativecommons.org/licenses/by/4.0/).
Share and Cite
Cheng, S.; Wang, Q.; Wang, J.; Han, Y. Study of Mechanical Properties of Saline Soils under Different Stress Paths. Buildings 2023, 13, 2347. https://doi.org/10.3390/buildings13092347
Cheng S, Wang Q, Wang J, Han Y. Study of Mechanical Properties of Saline Soils under Different Stress Paths. Buildings. 2023; 13(9):2347. https://doi.org/10.3390/buildings13092347
Chicago/Turabian StyleCheng, Shukai, Qing Wang, Jiaqi Wang, and Yan Han. 2023. "Study of Mechanical Properties of Saline Soils under Different Stress Paths" Buildings 13, no. 9: 2347. https://doi.org/10.3390/buildings13092347
APA StyleCheng, S., Wang, Q., Wang, J., & Han, Y. (2023). Study of Mechanical Properties of Saline Soils under Different Stress Paths. Buildings, 13(9), 2347. https://doi.org/10.3390/buildings13092347
