Constitutive Model of FRP Tube-Confined Alkali-Activated Slag Lightweight Aggregate Concrete Columns under Axial Compression
Abstract
:1. Introduction
2. Experimental Program
2.1. Material Properties
2.1.1. FRP Tubes
2.1.2. Granulated Blast Furnace Slag
2.1.3. Fly Ash Aggregate
2.1.4. Alkali Activator
2.1.5. Others
2.2. Preparation of Specimens
2.3. Test Method
2.3.1. Test Devices
2.3.2. Loading System
3. Test Results and Discussion
3.1. Failure Modes
3.1.1. Alkali-Activated Slag Lightweight Aggregate Concrete
3.1.2. CFRP Tube-Confined Alkali-Activated Slag Lightweight Aggregate Concrete
3.1.3. GFRP Tube-Confined Alkali-Activated Slag Lightweight Aggregate Concrete
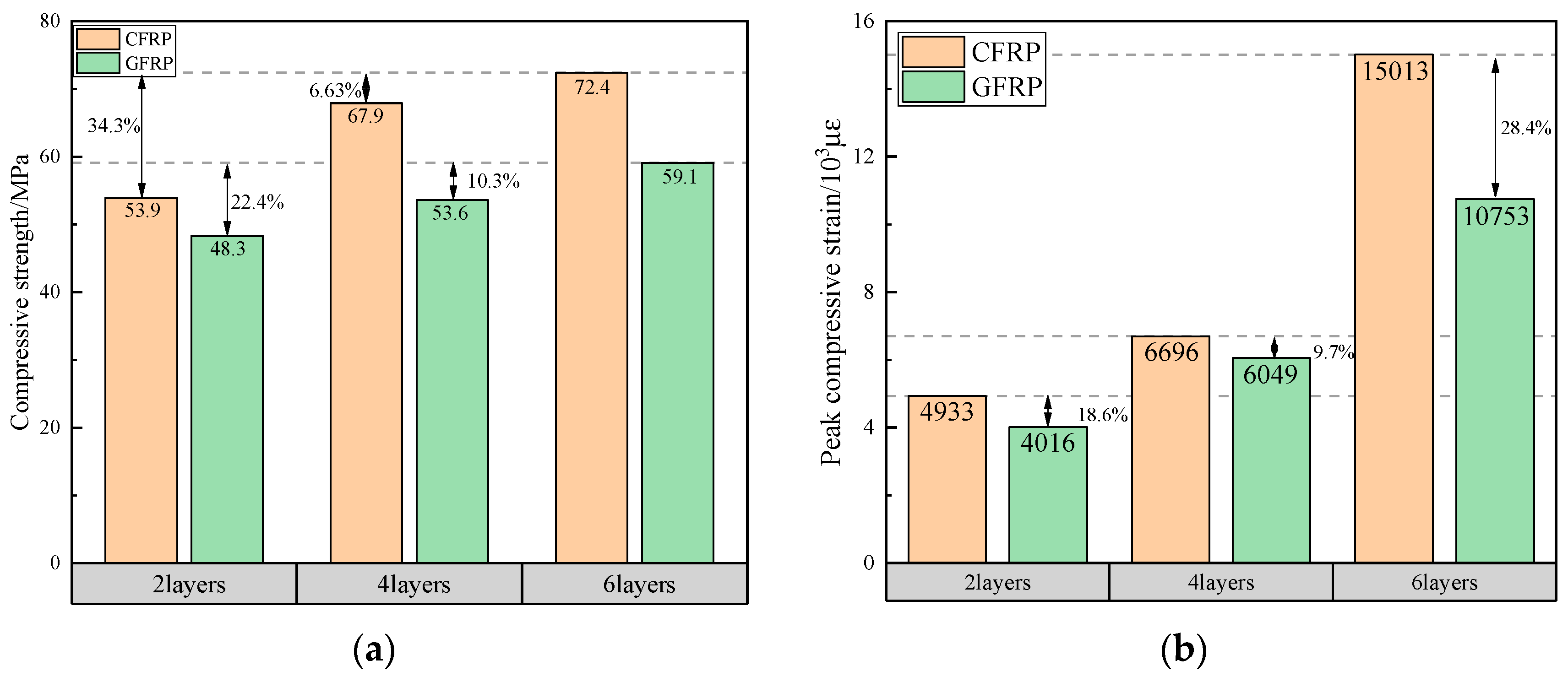
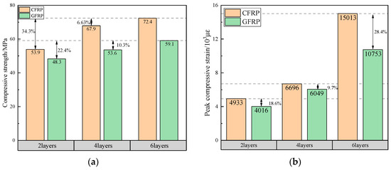
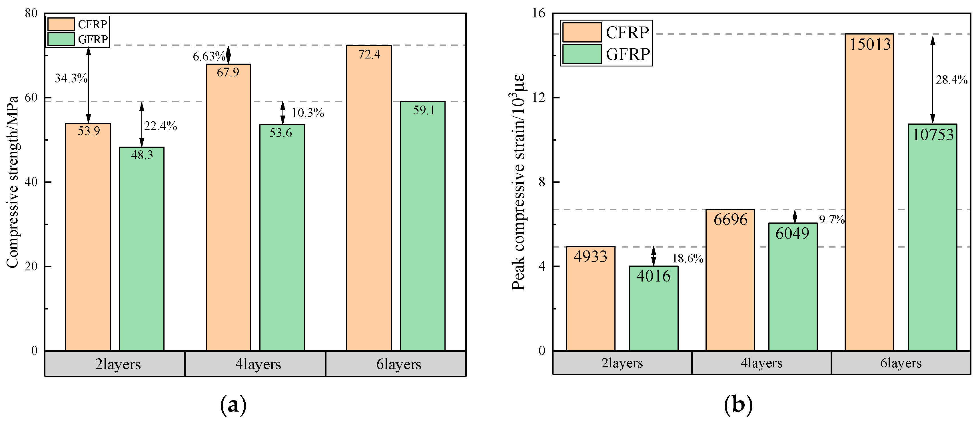
3.2. Compressive Strength and Peak Compressive Strain
3.2.1. The Content of Lightweight Aggregate
- (1)
- The compressive strength of FRP-AASLAC filled with lightweight aggregate is 56.1 MPa, and the peak compressive strain is 13,546 με, while that of FRP-AASLAC filled with natural aggregate is 72.4 MPa, increased by 29.1%. The peak compressive strain is 15,013 με, increased by 10.8%. GFRP-AASLAC showed the same characteristics.
- (2)
- The compressive strength of FRP-AASLAC filled with natural aggregate is approximately 1.6 times that of the core concrete’s compressive strength, and the peak compressive strain is around 5.9 times that of the core concrete’s peak compressive strain. The compressive strength of FRP-AASLAC filled with natural aggregate is roughly 1.8 times that of the core concrete’s compressive strength, and the peak compressive strain is about 6.6 times that of the core concrete’s peak compressive strain. The enhancing effect of FRP on the compressive strength and peak compressive strain of FRP-AASLAC filled with light aggregate is greater than that of FRP-AASLAC filled with natural aggregate.
3.2.2. The Type of FRP
- (1)
- When the FRP tube has two layers, the compressive strength of GFRP-AASLAC is 89.6% of the compressive strength of CFRP-AASLAC, and the peak compressive strain of GFRP-AASLAC is 81.4% of the peak compressive strain of CFRP-AASLAC.
- (2)
- When the FRP tubes have 4 and 6 layers, the increased amplitudes of the compressive strength and peak compressive strain of GFRP-AASLAC are lower than those of CFRP-AASLAC.
3.2.3. The Thickness of FRP
- (1)
- As for CFRP-AASLAC, when the number of FRP layers increased from 2 to 4, the compressive strength and peak compressive strain of the specimens increased by 26% and 36%. When the number of FRP layers increased from 4 to 6, the compressive strength and peak compressive strain of the specimens increased by 34% and 204%.
- (2)
- As for GFRP-AASLAC, when the number of FRP layers increased from 2 to 4, the compressive strength and peak compressive strain of the specimens increased by 11% and 51%. When the number of FRP layers increased from 4 to 6, the compressive strength and peak compressive strain of the specimens increased by 22% and 168%.
4. Revised Design-Oriented Stress–Strain Model
4.1. Judgement of Restrained Degree
4.2. Models for the Compressive Strength and Peak Compressive Strain
4.3. Model for the Axial Compressive Constitutive Relationship
5. Conclusions
- (1)
- The constitutive relationship of FRP-AASLAC shows double broken line pattern without obvious softening section. The failure mode of FRP-AASLAC is the tensile rupture of the FRP tube near the column mid-height caused by the compressive expansion of core concrete.
- (2)
- The restraint effects of CFRP were higher than those of GFRP for the higher tensile strength and elastic modulus of CFRP. The compressive strength and peak compressive strain of GFRP-LAC were 79–90% and 72–90% of CFRP-AASLAC.
- (3)
- The restraint effects of FRP on lightweight aggregate concrete are higher than those on ordinary concrete. Compared with unrestrained specimens, the compressive strength and peak compressive strain of FRP-LAC filled with lightweight aggregate were improved by 80% and 560%, respectively, higher than those of FRP-LAC filled with natural aggregate with 60% and 490%, respectively.
- (4)
- Comparisons between the existing models of FRP-confined concrete columns for the compressive strength and peak compressive strain and tested results were presented. The results show that the predictive accuracies of the existing models for the compressive strength were higher than those for the peak compressive strain, and the predictive accuracies of Liao’s models for the compressive strength and peak compressive strain were higher. Revised models of FRP-AASLAC for the compressive strength and peak compressive strain are proposed.
- (5)
- The revised model for the axial compressive constitutive relationship for FRP-AASLAC is proposed. In addition to the effects of compressive strength of core concrete, the type of FRP and its thickness, the revised model considers the effect of the content of lightweight aggregate, which can better express the transition section.
- (1)
- Due to fabrication tolerances, load eccentricities and other adverse factors, most concrete columns are in a state of eccentric compression in practical engineering. This study focuses solely on investigating the axial mechanical performances of FRP-AASLAC, which are more relevant to real-world engineering scenarios. However, the investigation of its eccentric compression behaviours requires further research.
- (2)
- This study only investigated short concrete columns with a diameter of 150 mm and a height of 300 mm, without considering the influence of aspect ratios of the specimens. To broaden the engineering applications of FRP-AASLAC, further research is needed to examine the effects of aspect ratios and size-related phenomena on the axial mechanical performances of FRP-AASLAC.
Author Contributions
Funding
Data Availability Statement
Conflicts of Interest
References
- Worrell, E.; Martin, N.; Price, L. Potentials for energy efficiency improvement in the US cement industry. Energy 2000, 25, 1189–1214. [Google Scholar] [CrossRef]
- Worrell, E.; Price, L.; Martin, N.; Hendriks, C.; Meida, L.O. Carbon dioxide emissions from the global cement industry. Annu. Rev. Energy Environ. 2001, 26, 303–329. [Google Scholar] [CrossRef]
- Khurana, S.; Banerjee, R.; Gaitonde, U. Energy balance and cogeneration for a cement plant. Appl. Therm. Eng. 2002, 22, 485–494. [Google Scholar] [CrossRef]
- Choate, W.T. Energy and Emission Reduction Opportunities for the Cement Industry; BCS Inc.: Laurel, MD, USA, 2003. [Google Scholar]
- Hu, S.; Jiang, Y.; Yan, D. China Building Energy Use and Carbon Emission Yearbook 2021: A Roadmap to Carbon Neutrality by 2060; Springer: Berlin/Heidelberg, Germany, 2022. (In Chinese) [Google Scholar]
- Jiao, Z.; Wang, Y.; Zheng, W.; Huang, W. Effect of the activator on the performance of alkali-activated slag mortars with pottery sand as fine aggregate. Constr. Build. Mater. 2019, 197, 83–90. [Google Scholar] [CrossRef]
- Zhang, Y.; Wan, X.M.; Yu, Q. Review of mechanical properties of alkali-excited cementitious materials. Concrete 2018, 3, 60–64. (In Chinese) [Google Scholar]
- Puertas, F.; Martínez Ramírez, S.; Alonso, S.; Vázquez, T. Alkali-activated fly ash/slag cements: Strength behaviour and hydration products. Cem. Concr. Res. 2000, 30, 1625–1632. [Google Scholar] [CrossRef]
- Escalante-Garcia, J.I.; Espinoza-Perez, L.J.; Gorokhovsky, A.; Gomez-Zamorano, L. Coarse blast furnace slag as a cementitious material, comparative study as a partial replacement of Portland cement and as an alkali activated cement. Constr. Build. Mater. 2009, 23, 2511–2517. [Google Scholar] [CrossRef]
- Hassanpour, M.; Shafigh, P.; Mahmud, H. Lightweight aggregate concrete fiber reinforcement–A review. Constr. Build. Mater. 2012, 37, 452–461. [Google Scholar] [CrossRef]
- Al-Khaiat, H.; Haque, M.N. Effect of initial curing on early strength and physical properties of a lightweight concrete. Cem. Concr. Res. 1998, 28, 859–866. [Google Scholar] [CrossRef]
- Uysal, H.; Demirboğa, R.; Şahin, R.; Gül, R. The effects of different cement dosages, slumps, and pumice aggregate ratios on the thermal conductivity and density of concrete. Cem. Concr. Res. 2004, 34, 845–848. [Google Scholar] [CrossRef]
- Bilodeau, A.; Kodur, V.K.R.; Hoff, G.C. Optimization of the type and amount of polypropylene fibres for preventing the spalling of lightweight concrete subjected to hydrocarbon fire. Cem. Concr. Compos. 2004, 26, 163–174. [Google Scholar] [CrossRef]
- Kayali, O.; Haque, M.N.; Zhu, B. Some characteristics of high strength fiber reinforced lightweight aggregate concrete. Cem. Concr. Compos. 2003, 25, 207–213. [Google Scholar] [CrossRef]
- Karthika, R.B.; Vidyapriya, V.; Sri, K.V.N.; Beaula, K.M.G.; Harini, R.; Sriram, M. Experimental study on lightweight concrete using pumice aggregate. Mater. Today Proc. 2021, 43, 1606–1613. [Google Scholar] [CrossRef]
- Jing, Q.; Wang, Y.; Chai, L.; Tang, C.-J.; Huang, X.-D.; Guo, H.; Wang, W.; You, W. Adsorption of copper ions on porous ceramsite prepared by diatomite and tungsten residue. Trans. Nonferrous Met. Soc. China 2018, 28, 1053–1060. [Google Scholar] [CrossRef]
- Liu, Y.; Du, F.; Yuan, L.; Zeng, H.; Kong, S. Production of lightweight ceramsite from iron ore tailings and its performance investigation in a biological aerated filter (BAF) reactor. J. Hazard. Mater. 2010, 178, 999–1006. [Google Scholar] [CrossRef]
- Ma, L.; Li, G.Z. The preparation of red mud lightweight ceramsite. In Advanced Materials Research; Trans Tech Publications Ltd.: Stafa-Zurich, Switzerland, 2013; Volume 648, pp. 96–99. [Google Scholar]
- Qin, J.; Yang, C.; Cui, C.; Huang, J.; Hussain, A.; Ma, H. Ca2+ and OH− release of ceramsites containing anorthite and gehlenite prepared from waste lime mud. J. Environ. Sci. 2016, 47, 91–99. [Google Scholar] [CrossRef]
- Chen, P.; Shi, Z.; Cao, S.; Liu, P.; Rong, X.; Wang, L. Mechanical properties of alkali-activated slag lightweight aggregate concrete. J. Clean. Prod. 2022, 359, 132136. [Google Scholar] [CrossRef]
- Zheng, W.Z.; Zou, M.N.; Wang, Y. Research progress of alkali excited cementitious materials. J. Archit. Struct. 2018, 40, 28–39. (In Chinese) [Google Scholar]
- Mo, K.H.; Ling, T.C.; Alengaram, U.J.; Yap, S.P.; Yuen, C.W. Overview of supplementary cementitious materials usage in lightweight aggregate concrete. Constr. Build. Mater. 2017, 139, 403–418. [Google Scholar] [CrossRef]
- Toutanji, H.; Han, M.; Gilbert, J.; Matthys, S. Behavior of large-scale rectangular columns confined with FRP composites. J. Compos. Constr. 2010, 14, 62–71. [Google Scholar] [CrossRef]
- Richart, F.E.; Brandtzæg, A.; Brown, R.L. A Study of the Failure of Concrete under Combined Compressive Stresses; Engineering Experiment Station, College of Engineering, University of Illinois at Urbana Champaign: Champaign, IL, USA, 1928. [Google Scholar]
- Chastre, C.; Silva, M.A.G. Monotonic axial behavior and modelling of RC circular columns confined with CFRP. Eng. Struct. 2010, 32, 2268–2277. [Google Scholar] [CrossRef]
- Liang, M. Study on the Strength and Deformation Characteristics of CFRP Confined Concrete Cylinder; Dalian University of Technology: Dalian, China, 2012. (In Chinese) [Google Scholar]
- Hao, H.Y. Study on Mechanical Properties of FRP Tube Constrained Alkali Excitation-Recycled Aggregate Concrete Column; Southeast University: Nanjing, China, 2019. (In Chinese) [Google Scholar]
- Zohrevand, P.; Mirmiran, A. Behavior of ultrahigh-performance concrete confined by fiber-reinforced polymers. J. Mater. Civ. Eng. 2011, 23, 1727–1734. [Google Scholar] [CrossRef]
- Liao, J.J.; Yang, K.Y.; Zeng, J.J.; Quach, W.M.; Ye, Y.Y.; Zhang, L. Compressive behavior of FRP-confined ultra-high performance concrete (UHPC) in circular columns. Eng. Struct. 2021, 249, 113246. [Google Scholar] [CrossRef]
- Eid, R.; Paultre, P. Compressive behavior of FRP-confined reinforced concrete columns. Eng. Struct. 2017, 132, 518–530. [Google Scholar] [CrossRef]
- Wang, W.; Sheikh, M.N.; Hadi, M.N.S.; Gao, D.; Chen, G. Behaviour of concrete-encased concrete-filled FRP tube (CCFT) columns under axial compression. Eng. Struct. 2017, 147, 256–268. [Google Scholar] [CrossRef]
- Guo, Y.C.; Gao, W.Y.; Zeng, J.J.; Duan, Z.-J.; Ni, X.-Y.; Peng, K.-D. Compressive behavior of FRP ring-confined concrete in circular columns: Effects of specimen size and a new design-oriented stress-strain model. Constr. Build. Mater. 2019, 201, 350–368. [Google Scholar] [CrossRef]
- Parvin, A.; Jamwai, A.S. Performance of externally FRP reinforced columns for changes in angleand thickness of the wrap and concrete strength. Compos. Struct. 2006, 73, 451–457. [Google Scholar] [CrossRef]
- Pan, J.L.; Xu, T.; Hu, Z.J. Experimental investigation of load carrying capacity of the slender reinforced concrete columns wrapped with FRP. Constr. Build. Mater. 2007, 22, 1991–1996. [Google Scholar] [CrossRef]
- Xing, L.; Lin, G.; Chen, J.F. Behavior of FRP-confined circular RC columns under eccentric compression. J. Compos. Constr. 2020, 24, 04020030. [Google Scholar] [CrossRef]
- Silva, M.A.G. Aging of GFRP laminates and confinement of concrete columns. Compos. Struct. 2007, 79, 97–106. [Google Scholar] [CrossRef]
- Wang, Z.; Li, Z.; Yang, J.Q.; Huang, F.; Feng, P. Axial compressive and seismic performance of GFRP wrapped square RC columns with different scales. J. Build. Eng. 2022, 62, 105342. [Google Scholar] [CrossRef]
- Gu, D.S.; Wu, G.; Wu, Z.S.; Wu, Y.-F. Confinement effectiveness of FRP in retrofitting circular concrete columns under simulated seismic load. J. Compos. Constr. 2010, 14, 531–540. [Google Scholar] [CrossRef]
- Zheng, B.T.; Teng, J.G. Finite-element modeling of FRP-confined noncircular concrete columns using the evolutionary potential-surface trace plasticity constitutive model for concrete. J. Compos. Constr. 2023, 27, 04022089. [Google Scholar] [CrossRef]
- Ali, O.; Abbas, A.; Khalil, E.; Madkour, H. Numerical investigation of FRP-confined short square RC columns. Constr. Build. Mater. 2021, 275, 122141. [Google Scholar] [CrossRef]
- Zeng, J.J.; Chen, S.P.; Zhuge, Y.; Gao, W.-Y.; Duan, Z.-J.; Guo, Y.-C. Three-dimensional finite element modeling and theoretical analysis of concrete confined with FRP rings. Eng. Struct. 2021, 234, 111966. [Google Scholar] [CrossRef]
- Fardis, M.N.; Khalili, H.H. FRP-encased concrete as a structural material. Mag. Concr. Res. 1982, 34, 191–202. [Google Scholar] [CrossRef]
- Samaan, M.; Mirmiran, A.; Shahawy, M. Model of concrete confined by fiber composites. J. Struct. Eng. 1998, 124, 1025. [Google Scholar] [CrossRef]
- Youssef, M.N.; Feng, M.Q.; Mosallam, A.S. Stress–strain model for concrete confined by FRP composites. Compos. Part B Eng. 2007, 38, 614–628. [Google Scholar] [CrossRef]
- Wei, Y.Y.; Wu, Y.F. Unified stress–strain model of concrete for FRP-confined columns. Constr. Build. Mater. 2012, 26, 381–392. [Google Scholar] [CrossRef]
- Mander, J.B.; Priestley, M.J.N. Theoretical stress-strain model for confined concrete. J. Struct. Eng. 1988, 114, 1804. [Google Scholar] [CrossRef]
- Saadatmanesh, H.; Ehsani, M.R.; Li, M.W. Strength and ductility of concrete columns externally reinforced with fiber composite straps. Struct. J. 1994, 91, 434–447. [Google Scholar]
- ACI 440.2R-02; Guide for the Design and Construction of Externally Bonded FRP Systems for Strengthening Concrete Structures. American Concrete Institute: Indianapolis, IN, USA, 2002.
- Fu, Y.W.; Cai, L.C.; Cao, D.G.; Wu, Y.G. Study on preparation and properties of alkali mineral powder inorganic polymer concrete. J. Build. Mater. 2010, 13, 524–528. (In Chinese) [Google Scholar]
- Xie, T.; Ozbakkaloglu, T. Behavior of low-calcium fly and bottom ash-based geopolymer concrete cured at ambient temperature. Ceram. Int. 2015, 41, 5945–5958. [Google Scholar] [CrossRef]
- Krizan, D.; Zivanovic, B. Effects of dosage and modulus of water glass on early hydration of alkali–slag cements. Cem. Concr. Res. 2002, 32, 1181–1188. [Google Scholar] [CrossRef]
- Liu, X.; Wu, T.; Liu, Y. Stress-strain relationship for plain and fibre-reinforced lightweight aggregate concrete. Constr. Build. Mater. 2019, 225, 256–272. [Google Scholar] [CrossRef]
- Roufael, G.; Beaucour, A.L.; Eslami, J.; Hoxha, D.; Noumowé, A. Influence of lightweight aggregates on the physical and mechanical residual properties of concrete subjected to high temperatures. Constr. Build. Mater. 2021, 268, 121221. [Google Scholar] [CrossRef]
- Zhang, M.H.; Gjvorv, O.E. Mechanical properties of high-strength lightweight concrete. Mater. J. 1991, 88, 240–247. [Google Scholar]
- GB/T 50081-2002; Standard of Test Methods for Mechanical Properties of Ordinary Concrete. China Architecture & Building Press: Beijing, China, 2002. (In Chinese)
- Gao, S.; Zhao, G.; Guo, L.; Zhou, L.; Yuan, K. Utilization of coal gangue as coarse aggregates in structural concrete. Constr. Build. Mater. 2021, 268, 121212. [Google Scholar] [CrossRef]
- Tamai, H. Enhancing the performance of porous concrete by utilizing the pumice aggregate. Procedia Eng. 2015, 125, 732–738. [Google Scholar]
- Liu, X.M. Experimental Study and Analysis of Axial Compression Performance of Light Aggregate Concrete Restrained by CFRP; Shenzhen University: Shenzhen, China, 2016. (In Chinese) [Google Scholar]
- Chen, L.; Ozbakkaloglu, T. Corner strengthening of square and rectangular concrete-filled FRP tubes. Eng. Struct. 2016, 117, 486–495. [Google Scholar] [CrossRef]
- Shen, Y. Compressive Properties of CFRP Confined Steel Fiber Reinforced Concrete Cylindrical Shaft; Xi’an University of Architecture and Technology: Xi’an, China, 2018. (In Chinese) [Google Scholar]
- Guo, Y.C.; Xiao, S.H.; Zeng, J.J.; Su, J.-Y.; Li, T.-Z.; Xie, Z.-H. Behavior of concrete-filled FRP tube columns internally reinforced with FRP-steel composite bars under axial compression. Constr. Build. Mater. 2022, 315, 125714. [Google Scholar] [CrossRef]
- Zeng, J.J.; Gao, W.Y.; Duan, Z.J.; Bai, Y.-L.; Guo, Y.-C.; Ouyang, L.-J. Axial compressive behavior of polyethylene terephthalate/carbon FRP-confined seawater sea-sand concrete in circular columns. Constr. Build. Mater. 2020, 234, 117383. [Google Scholar] [CrossRef]
- Watanabe, K.; Nakamura, R.; Honda, Y.; Toyoshima, M.; Fujimaki, T. Confinement effect of FRP sheet on strength and ductility of concrete cylinders under uniaxial compression. In Proceedings of the Third International Symposium on Non-Metallic Reinforcement for Concrete Structures, Sapporo, Japan, 14–16 October 1997. [Google Scholar]
- Lim, J.C.; Ozbakkloglu, T. Factors influencing hoop rupture strains of FRP-confined concrete. Appl. Mech. Mater. 2014, 501, 949–953. [Google Scholar] [CrossRef]
- Almusallam, T.H. Behavior of normal and high-strength concrete cylinders confined with E-glass/epoxy composite laminates. Compos. Part B 2006, 38, 629–639. [Google Scholar] [CrossRef]
- Berthet, J.F.; Ferrier, E.; Hamelin, P. Compressive behavior of concrete externally confined by composite jackets: Part A: Experimental study. J. Constr. Build. Mater. 2005, 19, 223–232. [Google Scholar] [CrossRef]
- Matthys, S.; Toutanji, H.; Taerwe, L. Stress-strain behavior of large-scale circular columns confined with FRP composites. Struct. Eng. 2006, 132, 123. [Google Scholar] [CrossRef]
- Sadeghian, P.; Rahai, A.R.; Ehsani, M.R. Experimental study of rectangular RC columns strengthened with CFRP composites under eccentric loading. J. Compos. Constr. 2010, 14, 443–450. [Google Scholar] [CrossRef]
- Wang, L.M.; Wu, Y.F. Effect of corner radius on the performance of CFRP-confined square concrete columns: Test. Eng. Struct. 2007, 30, 493–505. [Google Scholar] [CrossRef]
- Teng, J.G.; Jiang, T.; Lam, L.; Luo, Y.Z. Refinement of a design-oriented stress-strain model for FRP-confined concrete. J. Compos. Constr. 2009, 13, 269. [Google Scholar] [CrossRef]
- Mirmiran, A.; Shahawy, M.; Samaan, M.; Echary, H. Effect of column parameters on FRP-confined concrete. J. Compos. Constr. ASCE 1998, 2, 175–185. [Google Scholar] [CrossRef]
- Liao, J.J.; Zeng, J.J.; Gong, Q.M.; Quach, W.M.; Gao, W.Y.; Zhang, L. Design-oriented stress-strain model for FRP-confined ultra-high performance concrete (UHPC). Constr. Build. Mater. 2022, 318, 126200. [Google Scholar] [CrossRef]
















| Researchers | Contents | Parameters | Remarks |
|---|---|---|---|
| Eid [30] | Axial compressive behaviours of RC columns confined by FRP | Mechanical and geometrical properties of the concrete and FRP | This paper presents a unified stress–strain model suitable to represent the compressive behaviours of circular and square/rectangular reinforced concrete columns confined internally with TSR and/or externally with FRP. |
| Wang [31] | Axial compressive behaviours of concrete columns confined by FRP tubes | FRP thickness | The parametric analyses showed that by increasing the inner and outer concrete strengths, the first peak loads of the columns could increase. The ultimate axial loads could significantly increase by increasing the inner concrete compressive strength. The FRP tube thickness and the filament winding angle significantly influences the ultimate loads and ultimate axial strains of the columns. |
| Guo [32] | Axial compressive behaviours of concrete columns confined by FRP | Different scales, and degrees of FRP wrapping | Similar to the fully wrapped columns, the partially wrapped columns failed due to the tensile rupture of FRP strips. The axial strains and the hoop strains at the mid-plane of the concrete between two adjacent FRP rings were larger than those in the FRP rings, regardless of the sizes of the tested specimens. |
| Parvin [33,34] | Axial compressive behaviours of concrete columns confined by CFRP sheet | Winding angle and layer of FRP | The restrained effect was better when the compressive direction and winding direction are along 90° and 45°. The bearing capacity and ductility of specimens were positively correlated with the thickness of CFRP sheets. |
| Xing [35] | Eccentric compressive behaviours of RC columns confined by FRP | FRP thickness, initial load eccentricity, and column slenderness | The ultimate axial load of an eccentrically loaded FRP-confined circular RC column decreased rapidly as the load eccentricity or the column slenderness increased. In the post-peak stage, the axial load decreased more gradually in a column with a larger load eccentricity or a larger column slenderness. The design equations in both the Chinese national standard and the UK design guidance predicted the test results well, with the latter providing slightly more conservative predictions. |
| Silva [36] | Durability behaviours of concrete columns confined by GFRP | Type of FRP | At low temperatures, GFRP-confined concrete could resist the damage caused by freezing expansion of pore water in concrete and improve the strength of specimens. The strength of GFRP-confined concrete decreased only by 2–16% after 300 freeze-thaw cycles, and the failure modes of the specimens after 150 freeze-thaw cycles were compared without constraints. The corrosion resistance of GFRP-confined concrete was improved obviously. The fire resistance limit of GFRP-confined concrete could reach 4 h. |
| Wang [37] | Seismic behaviours of reinforced concrete columns confined by GFRP | Different scales | With the increasing column scales but the constant volumetric ratio of FRP wraps, the improvement of load bearing capacity reduced significantly, while the ductility and other seismic performances such as energy dissipation capacity and equivalent viscous damping ratio could still be enhanced. With an increasing axial compression ratio (from 0.35 to 0.65), the lateral load-bearing capacity of the FRP wrapped columns increased while the ductility factor dropped significantly. |
| Gu [38] | Seismic behaviours of reinforced concrete columns confined by FRP | Type and layer of FRP | The horizontal deformation capacity of the component was positively correlated with the FRP thickness, negatively correlated with the axial compression ratio, and not correlated with the FRP fracture strain. The FRP-onfined stiffness had an important effect on the energy dissipation capacity of the component and the thickness of FRP had an important effect on the size of the plastic hinge area of the component. |
| Zheng [39] | Finite element analysis on noncircular concrete columns confined by FRP | / | A viscoplastic regularization with a fixed value equal to 0.0005 could provide accurate behaviour. Nevertheless, the dilation angle could not be considered as a fixed value and should be related to the confinement degree coefficient Cd, which depends on the cross-sectional geometrical and FRP properties. Among the four considered design codes, ACI-440 and ECP-208 provided more accurate behaviours than CSA-S806 and FIB-Bulletin-14. |
| Ali [40] | Finite element analysis on short square RC columns confined by FRP | / | The paper calibrated the concrete dilatancy angle and viscoplastic regularization parameters in the CDP model for the applications of square RC columns confined with FRP sheets. Effective strain values of 0.55 εfrp and 0.004 were recommended to enhance the performance of the FIB and CSA codes, respectively. |
| Zeng [41] | Finite element analysis on concrete columns confined by FRP | / | The stress distribution at the centre level of two adjacent FRP rings/ties was obtained, and the relationship between the arching action angle and controlling parameters (i.e., unconfined concrete strength, FRP width, FRP thickness and clear spacing of FRP rings) was established based on a proposed theoretical model of the arching action angle. |
| FRP Types | Elastic Modulus Efrp (GPa) | Tensile Strength ffrp (Mpa) | Elongation (%) | Layer Thickness (mm) |
|---|---|---|---|---|
| CFRP | 236 | 4507 | 1.85 | 0.15 |
| GFRP | 76 | 2650 | 3.5 | 0.18 |
| Composition | CaO | SiO2 | Al2O3 | MgO | Fe2O3 | Others |
|---|---|---|---|---|---|---|
| Content/% | 41.17 | 33.94 | 13.16 | 7.28 | 0.66 | 3.79 |
| Coarse Aggregate Types | Packing Density (kg/m3) | Density Degree | Cylinder Compressive Strength (Mpa) | Water Absorption Rate of 1 h (%) | Softening Coefficient | Rate of Mud Content (%) | Rate of Boiling Loss (%) |
|---|---|---|---|---|---|---|---|
| Fly ash aggregate | 650 | 877 | 12.1 | 11.0 | 0.85 | 1.6 | 2.4 |
| Group | FRP Type | FRP Layer | Aggregate Type | Content | fco (Mpa) | εco ) | fcc (Mpa) | εcc ) | ||
|---|---|---|---|---|---|---|---|---|---|---|
| 0-0-N-1 | - | 0 | NA | 0 | 44.7 | 2521 | - | - | - | - |
| 0-0-L-1/3 | - | 0 | FA | 1/3 | 41.5 | 2406 | - | - | - | - |
| 0-0-L-2/3 | - | 0 | FA | 2/3 | 37.1 | 2215 | - | - | - | - |
| 0-0-L-1 | - | 0 | FA | 100% | 31.1 | 2053 | - | - | - | - |
| C-2-N-1 | CFRP | 2 | NA | 0 | 44.7 | 2521 | 53.9 | 4933 | 1.21 | 1.96 |
| C-4-N-1 | CFRP | 4 | NA | 0 | 44.7 | 2521 | 67.9 | 6696 | 1.52 | 2.66 |
| C-6-N-1 | CFRP | 6 | NA | 0 | 44.7 | 2521 | 72.4 | 15,013 | 1.62 | 5.96 |
| G-2-N-1 | GFRP | 2 | NA | 0 | 44.7 | 2521 | 48.3 | 4016 | 1.08 | 1.59 |
| G-4-N-1 | GFRP | 4 | NA | 0 | 44.7 | 2521 | 53.6 | 6049 | 1.20 | 2.40 |
| G-6-N-1 | GFRP | 6 | NA | 0 | 44.7 | 2521 | 59.1 | 10,753 | 1.32 | 4.27 |
| C-2-L-1/3 | CFRP | 2 | FA | 1/3 | 41.5 | 2406 | 50.6 | 3955 | 1.22 | 1.64 |
| C-4-L-2/3 | CFRP | 4 | FA | 2/3 | 37.1 | 2215 | 52.3 | 5655 | 1.41 | 2.55 |
| C-6-L-1 | CFRP | 6 | FA | 100% | 31.1 | 2053 | 56.1 | 13,546 | 1.80 | 6.60 |
| G-2-L-1/3 | GFRP | 2 | FA | 1/3 | 41.5 | 2406 | 45.6 | 3513 | 1.10 | 1.46 |
| G-4-L-2/3 | GFRP | 4 | FA | 2/3 | 37.1 | 2215 | 47.3 | 4404 | 1.27 | 1.99 |
| G-6-L-1 | GFRP | 6 | FA | 100% | 31.1 | 2053 | 51.1 | 5333 | 1.64 | 2.60 |
| Compound | Water | NaOH | Na2SiO3 | Slag | River Sand | Natural Aggregate |
|---|---|---|---|---|---|---|
| Concentration, kg/m3 | 152 | 27.8 | 164 | 625 | 833 | 1320 |
| Group | ρ | MCR | Judgement of Restrained Degree |
|---|---|---|---|
| C-2-N-1 | 0.053 | 1.240 | Strongly confined concrete |
| C-4-N-1 | 0.106 | 0.620 | |
| C-6-N-1 | 0.160 | 0.413 | |
| G-2-N-1 | 0.021 | 1.757 | |
| G-4-N-1 | 0.041 | 0.879 | |
| G-6-N-1 | 0.062 | 0.586 | |
| C-2-L-1/3 | 0.065 | 1.151 | |
| C-4-L-2/3 | 0.163 | 0.514 | |
| C-6-L-1 | 0.323 | 0.288 | |
| G-2-L-1/3 | 0.025 | 1.631 | |
| G-4-L-2/3 | 0.063 | 0.729 | |
| G-6-L-1 | 0.125 | 0.407 |
| Models | Equations for the Compressive Strength | Equations for the Peak Compressive Strain | Remarks |
|---|---|---|---|
| Liao [72] | |||
| ACI [48] | 2 = 2 |
| FRP Type | k1 | k2 | k3 | k4 | k5 | k6 |
|---|---|---|---|---|---|---|
| CFRP | 0.4 | 0.70 | 0.50 | 0.45 | 0.05 | 1.00 |
| GFRP | 0.4 | 0.70 | 0.45 | 0.35 | 0.05 | 0.90 |
Disclaimer/Publisher’s Note: The statements, opinions and data contained in all publications are solely those of the individual author(s) and contributor(s) and not of MDPI and/or the editor(s). MDPI and/or the editor(s) disclaim responsibility for any injury to people or property resulting from any ideas, methods, instructions or products referred to in the content. |
© 2023 by the authors. Licensee MDPI, Basel, Switzerland. This article is an open access article distributed under the terms and conditions of the Creative Commons Attribution (CC BY) license (https://creativecommons.org/licenses/by/4.0/).
Share and Cite
Zhang, X.; Chen, P.; Wang, H.; Xu, C.; Wang, H.; Zhang, L. Constitutive Model of FRP Tube-Confined Alkali-Activated Slag Lightweight Aggregate Concrete Columns under Axial Compression. Buildings 2023, 13, 2284. https://doi.org/10.3390/buildings13092284
Zhang X, Chen P, Wang H, Xu C, Wang H, Zhang L. Constitutive Model of FRP Tube-Confined Alkali-Activated Slag Lightweight Aggregate Concrete Columns under Axial Compression. Buildings. 2023; 13(9):2284. https://doi.org/10.3390/buildings13092284
Chicago/Turabian StyleZhang, Xinyu, Pang Chen, Hui Wang, Changchun Xu, Hao Wang, and Longliang Zhang. 2023. "Constitutive Model of FRP Tube-Confined Alkali-Activated Slag Lightweight Aggregate Concrete Columns under Axial Compression" Buildings 13, no. 9: 2284. https://doi.org/10.3390/buildings13092284
APA StyleZhang, X., Chen, P., Wang, H., Xu, C., Wang, H., & Zhang, L. (2023). Constitutive Model of FRP Tube-Confined Alkali-Activated Slag Lightweight Aggregate Concrete Columns under Axial Compression. Buildings, 13(9), 2284. https://doi.org/10.3390/buildings13092284
