Analysis of Variables Affecting Indoor Thermal Comfort in Mediterranean Climates Using Machine Learning
Abstract
:1. Introduction
- What variables have the most significant influence on the indoor thermal sensation in buildings? A comparison between the variables identified in a field study carried out in Seville and the ASHRAE database will provide valuable information on the most important variables that affect thermal sensation. Moreover, variable analysis would contribute to model building and would lead to the optimisation of their performance and gaining insight into the underlying data characteristics for more robust and reliable results. Usually, the datasets contain a large number of entries, but not all of them are relevant or useful for indoor thermal comfort prediction, so analysing the significance of each variable would allow one to identify the most relevant features to improve the efficiency of comfort models.
- Can machine learning algorithms effectively identify the most important variables and contribute to learning and detecting occupants’ thermal sensation? Which technique gives the best results? The study aims to investigate the usefulness of machine learning algorithms in the context of thermal comfort and their contribution to the design and operation of building conditioning systems. Different machine learning techniques will be evaluated to determine which one provides the most accurate and reliable results.
2. Background and Context
| Ref. | Year | Building, System | Variables | Algorithm(s)—Metrics (%) | |||||||||||||
|---|---|---|---|---|---|---|---|---|---|---|---|---|---|---|---|---|---|
| Input | Output | Accuracy (A) Precision (P) Recall (R) F1-Score (F) | SVC | DT | KNC | RF | NN | LR | LDA | GPC | NB | BT | Train—Test | Size | |||
| [23] | 2016 | CC, HVAC | TSV 7 | A | 90 | 50–50% | 1199 | ||||||||||
| [26] | 2017 | O, HVAC R, NV | TSV 3 | A (HVAC) A (NV) | 81 73 | 75 65 | 75 62 | 85 72 | 80 73 | 77 64 | 70–30% | 812 | |||||
| [21] | 2018 | O, HVAC | TSV 3 | A (male) A (female) | 93 94 | 80–20% | 700 | ||||||||||
| [22] | 2019 | O, HVAC | TSV 3 | A P R | 76 82 76 | 80 86 80 | 80 80 80 | 80 85 80 | 80–20% | 648 | |||||||
| [17] | 2019 | O, HVAC | TSV 6 | R | 49 | 49 | 49 | 90–10% | 5576 | ||||||||
| [20] | 2020 | O, HVAC | TSV 2 TSV 3 | A A | 77 75 | 76 72 | 80 82 | 78 77 | 80–20% | 1275 | |||||||
| [25] | 2021 | U, HVAC | clo, MET | PMV | A | 88 | 80–20% | 8000 | |||||||||
| [16] | 2021 | O, HVAC | TSV 7 | A | 57 | 68 | 70 | 90–10% | 556 | ||||||||
| [15] | 2021 | NS, HVAC | TSV 7 TSV 5 TSV 3 | A A A | 67 73 99 | 80–20% | 7222 | ||||||||||
| [18] | 2021 | U, HVAC | TSV 5 | A | 51 | 66 | 80 | 56 | 43 | 76 | 80–10% val.10% | 485 | |||||
| [7] | 2022 | CC, HVAC | TSV 3 | A | 93 | 90 | 93 | 80–20% | 6613 | ||||||||
| [24] | 2022 | U, NV | TSV 7 TSV 3 TSV 2 | A A A | 37 59 54 | 32 49 64 | 31 48 59 | 39 56 71 | 40 55 71 | 32 48 73 | 90–10% | 49,966 | |||||
| * | 2023 | O, HVAC | Ta,, Tg, Tr, CO2, Tout, Tout, avg, Tout, max, Tout, min, Trm 0.8, RHout, RHout, avg, RHrm 0.8, gender, height, weight, age, clo, activity, emotional, food | TSV 5 | A P R F | 55 52 55 52 | 57 55 57 54 | 55 50 55 49 | 61 59 61 59 | 51 42 51 40 | 80–20% | 3352 | |||||
3. Methodology
4. Case Studies
4.1. University of Seville
4.1.1. Data Collection
- The occupants: gender, height, weight, and age.
- The adaptive actions: clothing (clo), activity, emotional state, and food consumption.
- The inside of the building: indoor air temperature (Ta), indoor relative humidity (), globe temperature (Tg), radiant temperature (Tr), and indoor CO2 level (CO2).
- The outside of the building: outdoor air temperature (Tout), outdoor air temperature based on ISD (Integrated Surface Dataset) data (Tout, avg) together with the maximum value of the day (Tout, max) and the minimum value of the day (Tout, min) and also the running mean outdoor temperature with a weighted factor of 0.8 (Trm 0.8). Furthermore, outdoor relative humidity (RHout), outdoor relative humidity based on ISD data (RHout, avg), and running mean relative humidity with a weighted factor of 0.8 (RHrm 0.8) were also collected.
4.1.2. Data Preparation
4.1.3. Testing the Algorithms and Results
4.1.4. Selection of Hyperparameters and Effect of the Number of Study Variables
4.2. ASHRAE
5. Results and Discussion
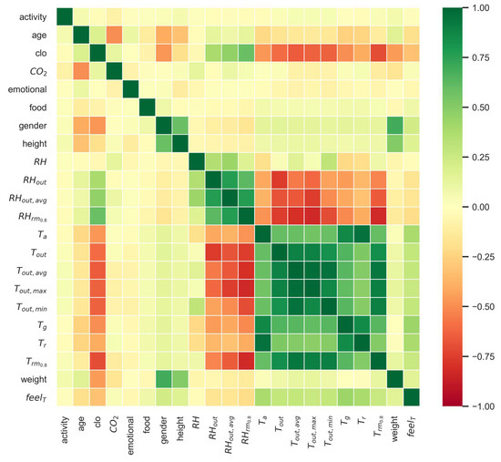
5.1. Analysis of the Variables Common to Both Studies
5.2. Analysis of the Typical Variables of Each Database
5.3. Thermal Adaptation and the Importance of Variables
6. Conclusions
- Fundamental variables: The analysis identifies eight key variables that determine indoor thermal comfort in Mediterranean climates. These variables include indoor air temperature, mean radiant temperature, indoor globe temperature, CO2, age, outdoor temperature, indoor humidity, and running mean temperature.
- Extended dataset: Expanding the variables considered from eight key variables to a broader set of 21 variables improves the accuracy and quality of the metrics. This expansion demonstrates a 5% increase in the effectiveness of the techniques with respect to the fundamental variables.
- Machine learning empowerment: Research demonstrates the potential of these strategies and emphasises the importance of machine learning algorithms in understanding the thermal comfort of the users. Among the techniques examined, random forest stands out as the one that achieves the greatest metrics, demonstrating improved accuracy and performance overall.
- Best performer: Throughout the research, random forest consistently outperforms alternative machine learning techniques. This is shown for both the experimental dataset from the University of Seville and the Mediterranean climate dataset from the ASHRAE database.
- Future research and implementation: Further studies based on the Mediterranean climate should include larger datasets to increase the robustness of the results. Furthermore, translating the present results into practical applications has the potential to revolutionise building design, operational strategies, and adaptive measures to optimise occupant thermal comfort.
Author Contributions
Funding
Data Availability Statement
Conflicts of Interest
Abbreviations
| ASHRAE | American Society of Heating, Refrigerating and Air-conditioning engineers |
| BP | Blood pressure |
| BT | Begged trees |
| CC | Climate chambers |
| CLO | Clothing insulation |
| DT | Decision tree |
| FN | False negatives |
| FP | False positives |
| GPC | Gaussian process classifier |
| GS | Grid search |
| HVAC | Heating, ventilating, and air conditioning |
| ISD | Integrated surface dataset |
| KNC | K nearest neighbour classifier |
| MET | Metabolic rate |
| ML | Machine learning |
| MM | Mixed mode |
| NB | Naive Bayes |
| NN | Neural network |
| NL | Naturally ventilated |
| NS | Non-specific |
| O | Office building |
| PR | Pulse rate |
| LDA | Linear discriminant analysis |
| LR | Logistic regression |
| RF | Random forest |
| RH | Relative humidity |
| RS | Random search |
| ST | Skin temperature |
| SVC | Support vector machine classifier |
| TN | True negatives |
| TP | True positives |
| TSV | Thermal sensation vote |
| U | University buildings |
References
- Fanger, P.O. Analysis and Applications in Environmental Engineering; Danish Technical Press: Copenhagen, Denmark, 1970; ISBN 0070199159. [Google Scholar]
- Nicol, J.F.; Humphreys, M.A. Adaptive Thermal Comfort and Sustainable Thermal Standards for Buildings. Energy Build. 2002, 34, 563–572. [Google Scholar] [CrossRef]
- Zhao, Q.; Lian, Z.; Lai, D. Thermal Comfort Models and Their Developments: A Review. Energy Built Environ. 2021, 2, 21–33. [Google Scholar] [CrossRef]
- 55-2020; Thermal Environmental Conditions for Human Occupancy. American Society of Heating, Refrigerating and Air conditioning Engineers (ASHRAE): Atlanta, GA, USA, 2020.
- Fard, Z.Q.; Zomorodian, Z.S.; Korsavi, S.S. Application of Machine Learning in Thermal Comfort Studies: A Review of Methods, Performance and Challenges. Energy Build. 2022, 256, 111771. [Google Scholar] [CrossRef]
- Luo, M.; Xie, J.; Yan, Y.; Ke, Z.; Yu, P.; Wang, Z.; Zhang, J. Comparing Machine Learning Algorithms in Predicting Thermal Sensation Using ASHRAE Comfort Database II. Energy Build. 2020, 210, 109776. [Google Scholar] [CrossRef]
- Yang, B.; Li, X.; Liu, Y.; Chen, L.; Guo, R.; Wang, F.; Yan, K. Comparison of Models for Predicting Winter Individual Thermal Comfort Based on Machine Learning Algorithms. Build. Environ. 2022, 215, 108970. [Google Scholar] [CrossRef]
- Ma, N.; Aviv, D.; Guo, H.; Braham, W.W. Measuring the Right Factors: A Review of Variables and Models for Thermal Comfort and Indoor Air Quality. Renew. Sustain. Energy Rev. 2021, 135, 110436. [Google Scholar] [CrossRef]
- Mamani, T.; Herrera, R.F.; Muñoz-La Rivera, F.; Atencio, E. Variables That Affect Thermal Comfort and Its Measuring Instruments: A Systematic Review. Sustainability 2022, 14, 1773. [Google Scholar] [CrossRef]
- Xie, J.; Li, H.; Li, C.; Zhang, J.; Luo, M. Review on Occupant-Centric Thermal Comfort Sensing, Predicting, and Controlling. Energy Build. 2020, 226, 110392. [Google Scholar] [CrossRef]
- Čulić, A.; Nižetić, S.; Šolić, P.; Perković, T.; Čongradac, V. Smart Monitoring Technologies for Personal Thermal Comfort: A Review. J. Clean. Prod. 2021, 312, 127685. [Google Scholar] [CrossRef]
- Liu, S.; Schiavon, S.; Das, H.P.; Jin, M.; Spanos, C.J. Personal Thermal Comfort Models with Wearable Sensors. Build. Environ. 2019, 162, 106281. [Google Scholar] [CrossRef]
- Lu, S.; Wang, W.; Wang, S.; Cochran Hameen, E. Thermal Comfort-Based Personalized Models with Non-Intrusive Sensing Technique in Office Buildings. Appl. Sci. 2019, 9, 1768. [Google Scholar] [CrossRef]
- Wang, Z.; Liu, J.; Zhang, Y.; Yuan, H.; Zhang, R.; Srinivasan, R.S. Practical Issues in Implementing Machine-Learning Models for Building Energy Efficiency: Moving beyond Obstacles. Renew. Sustain. Energy Rev. 2021, 143, 110929. [Google Scholar] [CrossRef]
- Jin, L.; Liu, T.; Ma, J. Modeling Thermal Sensation Prediction Using Random Forest Classifier. Commun. Comput. Inf. Sci. 2021, 1469, 552–561. [Google Scholar]
- Li, Q.Y.; Han, J.; Lu, L. A Random Forest Classification Algorithm Based Personal Thermal Sensation Model for Personalized Conditioning System in Office Buildings. Comput. J. 2021, 64, 500–508. [Google Scholar] [CrossRef]
- Lu, S.; Wang, W.; Lin, C.; Hameen, E.C. Data-Driven Simulation of a Thermal Comfort-Based Temperature Set-Point Control with ASHRAE RP884. Build. Environ. 2019, 156, 137–146. [Google Scholar] [CrossRef]
- Salleh, F.H.M.; binti Saripuddin, M.; bin Omar, R. Predicting Thermal Comfort of HVAC Building Using 6 Thermal Factors. In Proceedings of the 2020 8th International Conference on Information Technology and Multimedia (ICIMU), Selangor, Malaysia, 24–25 August 2020; pp. 170–176. [Google Scholar]
- Parkinson, T.; de Dear, R.; Brager, G. Nudging the Adaptive Thermal Comfort Model. Energy Build. 2020, 206, 109559. [Google Scholar] [CrossRef]
- Aryal, A.; Becerik-Gerber, B. Thermal Comfort Modeling When Personalized Comfort Systems Are in Use: Comparison of Sensing and Learning Methods. Build. Environ. 2020, 185, 107316. [Google Scholar] [CrossRef]
- Chaudhuri, T.; Zhai, D.; Soh, Y.C.; Li, H.; Xie, L. Random Forest Based Thermal Comfort Prediction from Gender-Specific Physiological Parameters Using Wearable Sensing Technology. Energy Build. 2018, 166, 391–406. [Google Scholar] [CrossRef]
- Cosma, A.C.; Simha, R. Machine Learning Method for Real-Time Non-Invasive Prediction of Individual Thermal Preference in Transient Conditions. Build. Environ. 2019, 148, 372–383. [Google Scholar] [CrossRef]
- Jiang, L.; Yao, R. Modelling Personal Thermal Sensations Using C-Support Vector Classification (C-SVC) Algorithm. Build. Environ. 2016, 99, 98–106. [Google Scholar] [CrossRef]
- Song, G.; Ai, Z.; Zhang, G.; Peng, Y.; Wang, W.; Yan, Y. Using Machine Learning Algorithms to Multidimensional Analysis of Subjective Thermal Comfort in a Library. Build. Environ. 2022, 212, 108790. [Google Scholar] [CrossRef]
- Xiong, L.; Yao, Y. Study on an Adaptive Thermal Comfort Model with K-Nearest-Neighbors (KNN) Algorithm. Build. Environ. 2021, 202, 108026. [Google Scholar] [CrossRef]
- Chaudhuri, T.; Soh, Y.C.; Li, H.; Xie, L. Machine Learning Based Prediction of Thermal Comfort in Buildings of Equatorial Singapore. In Proceedings of the 2017 IEEE International Conference on Smart Grid and Smart Cities, ICSGSC 2017, Singapore, 23–26 July 2017; pp. 72–77. [Google Scholar]
- Iyoho, A.E.; Ng, L.J.; MacFadden, L. Modeling of Gender Differences in Thermoregulation. Mil. Med. 2017, 182, 295–303. [Google Scholar] [CrossRef] [PubMed]
- Schweiker, M.; Fuchs, X.; Becker, S.; Shukuya, M.; Dovjak, M.; Hawighorst, M.; Kolarik, J. Challenging the Assumptions for Thermal Sensation Scales Challenging the Assumptions for Thermal Sensation Scales. Build. Res. Inf. 2016, 45, 572–589. [Google Scholar] [CrossRef]
- Subasi, A. Machine Learning Techniques. In Practical Machine Learning for Data Analysis Using Python; Elsevier: Amsterdam, The Netherlands, 2020; pp. 91–202. [Google Scholar]
- Cutler, A.; Cutler, D.R.; Stevens, J.R. Random Forests. In Ensemble Machine Learning; Springer: Boston, MA, USA, 2012; pp. 157–175. [Google Scholar]
- Altan, H.; Ozarisoy, B. Dynamic Evaluation Method for Assessing Households’ Thermal Sensation Using Parametric Statistical Analysis: S Longitudinal Field Study in the South-Eastern Mediterranean Climate. In Proceedings of the CLIMA 2022 Conference, Rotterdam, The Netherlands, 22–25 May 2022. [Google Scholar] [CrossRef]
- Refaeilzadeh, P.; Tang, L.; Liu, H. Cross-Validation. In Encyclopedia of Database Systems; Springer: Boston, MA, USA, 2009; pp. 532–538. [Google Scholar]
- Ozarisoy, B.; Altan, H. Regression Forecasting of ‘Neutral’ Adaptive Thermal Comfort: A Field Study Investigation in the South-Eastern Mediterranean Climate of Cyprus. Build. Environ. 2021, 202, 108013. [Google Scholar] [CrossRef]
- Sarker, I.H. Machine Learning: Algorithms, Real-World Applications and Research Directions. SN Comput. Sci. 2021, 2, 160. [Google Scholar] [CrossRef]
- Kazemi, F.; Asgarkhani, N.; Jankowski, R. Machine Learning-Based Seismic Response and Performance Assessment of Reinforced Concrete Buildings. Arch. Civ. Mech. Eng. 2023, 23, 94. [Google Scholar] [CrossRef]
- Bagherzadeh, F.; Shafighfard, T.; Khan, R.M.A.; Szczuko, P.; Mieloszyk, M. Prediction of Maximum Tensile Stress in Plain-Weave Composite Laminates with Interacting Holes via Stacked Machine Learning Algorithms: A Comparative Study. Mech. Syst. Signal Process. 2023, 195, 110315. [Google Scholar] [CrossRef]
- Yang, L.; Shami, A. On Hyperparameter Optimization of Machine Learning Algorithms: Theory and Practice. Neurocomputing 2020, 415, 295–316. [Google Scholar] [CrossRef]
- Belete, D.M.; Huchaiah, M.D. Grid Search in Hyperparameter Optimization of Machine Learning Models for Prediction of HIV/AIDS Test Results. Int. J. Comput. Appl. 2022, 44, 875–886. [Google Scholar] [CrossRef]
- Bergstra, J.; Bengio, Y. Random Search for Hyper-Parameter Optimization. J. Mach. Learn. Res. 2012, 13, 281–305. [Google Scholar]
- Wu, J.; Chen, X.Y.; Zhang, H.; Xiong, L.D.; Lei, H.; Deng, S.H. Hyperparameter Optimization for Machine Learning Models Based on Bayesian Optimization. J. Electron. Sci. Technol. 2019, 17, 26–40. [Google Scholar] [CrossRef]
- Barbadilla-Martín, E.; Salmerón Lissén, J.M.; Guadix Martín, J.; Aparicio-Ruiz, P.; Brotas, L. Field Study on Adaptive Thermal Comfort in Mixed Mode Office Buildings in Southwestern Area of Spain. Build. Environ. 2017, 123, 163–175. [Google Scholar] [CrossRef]
- Beck, H.E.; Zimmermann, N.E.; McVicar, T.R.; Vergopolan, N.; Berg, A.; Wood, E.F. Present and Future Köppen-Geiger Climate Classification Maps at 1-Km Resolution. Sci. Data 2018, 5, 180214. [Google Scholar] [CrossRef] [PubMed]
- Arakawa Martins, L.; Soebarto, V.; Williamson, T. A Systematic Review of Personal Thermal Comfort Models. Build. Environ. 2022, 207, 108502. [Google Scholar] [CrossRef]
- Nicol, F.; Humphreys, M. Derivation of the Adaptive Equations for Thermal Comfort in Free-Running Buildings in European Standard EN15251. Build. Environ. 2010, 45, 11–17. [Google Scholar] [CrossRef]
- Humphreys, M.A.; Rijal, H.B.; Nicol, J.F. Updating the Adaptive Relation between Climate and Comfort Indoors; New Insights and an Extended Database. Build. Environ. 2013, 63, 40–55. [Google Scholar] [CrossRef]
- de la Hoz-Torres, M.L.; Aguilar, A.J.; Costa, N.; Arezes, P.; Ruiz, D.P.; Martínez-Aires, M.D. Predictive Model of Clothing Insulation in Naturally Ventilated Educational Buildings. Buildings 2023, 13, 1002. [Google Scholar] [CrossRef]
- Breiman, L. Random Forests. Mach. Learn. 2001, 45, 5–32. [Google Scholar] [CrossRef]
- Kotsiantis, S.B. Decision Trees: A Recent Overview. Artif. Intell. Rev. 2013, 39, 261–283. [Google Scholar] [CrossRef]
- Salcedo-Sanz, S.; Rojo-Álvarez, J.L.; Martínez-Ramón, M.; Camps-Valls, G. Support Vector Machines in Engineering: An Overview. Wiley Interdiscip. Rev. Data Min. Knowl. Discov. 2014, 4, 234–267. [Google Scholar] [CrossRef]
- Zhang, H. Exploring Conditions for the Optimality of Naïve Bayes. Int. J. Pattern Recognit. Artif. Intell. 2005, 19, 183–198. [Google Scholar] [CrossRef]
- Luo, M. The Dynamics and Mechanism of Human Thermal Adaptation in Building Environment—A Glimpse to Adaptive Thermal Comfort in Buildings; Springer: Berlin/Heidelberg, Germany, 2020; ISBN 978-981-15-1164-6. [Google Scholar]
- Seyedzadeh, S.; Rahimian, F.P.; Rastogi, P.; Glesk, I. Tuning Machine Learning Models for Prediction of Building Energy Loads. Sustain. Cities Soc. 2019, 47, 101484. [Google Scholar] [CrossRef]
- Kottek, M.; Grieser, J.; Beck, C.; Rudolf, B.; Rubel, F. World Map of the Köppen-Geiger Climate Classification Updated. Meteorol. Z. 2006, 15, 259–263. [Google Scholar] [CrossRef] [PubMed]
- Baker, N.; Standeven, M. Comfort Criteria for Passively Cooled Buildings a Pascool Task. Renew. Energy 1994, 5, 977–984. [Google Scholar] [CrossRef]
- Benton, C.O. Sunset Building: A Study of Occupant Thermal Comfort in Support of PG&E’S Advanced Customer Technology Test(ACT2) or Maximum Energy Efficiency; Final Report, CEDR-06-94, CEDR; University of California Berkeley: Berkeley, CA, USA, 1994; p. 94. [Google Scholar]
- Brager, G.; Paliaga, G.; De Dear, R. Operable Windows, Personal Control, and Occupant Comfort. ASHRAE Trans. 2004, 110, 17–35. [Google Scholar]
- Stoops, J.L. The Thermal Environmentand Occupant Perceptions in European Office Buildings. Ph.D. Thesis, Chalmers University of Technology, Gothenburg, Sweden, 2000. [Google Scholar]
- Zhou, X.; Xu, L.; Zhang, J.; Niu, B.; Luo, M.; Zhou, G.; Zhang, X. Data-Driven Thermal Comfort Model via Support Vector Machine Algorithms: Insights from ASHRAE RP-884 Database. Energy Build. 2020, 211, 109795. [Google Scholar] [CrossRef]
- Liu, X.; Tang, H.; Ding, Y.; Yan, D. Investigating the Performance of Machine Learning Models Combined with Different Feature Selection Methods to Estimate the Energy Consumption of Buildings. Energy Build. 2022, 273, 112408. [Google Scholar] [CrossRef]
- De Dear, R.; Brager, G. Developing an Adaptive Model of Thermal Comfort and Preference. ASHRAE Trans. 1998, 104, 145–167. [Google Scholar]










| Metric | Basic Classification | Multi-Class Classification | Equations | |
|---|---|---|---|---|
| i-Class | Macro Avg | Weighted Avg | ||
| Accuracy | (1) | |||
| Precision | (2) | |||
| Recall | (3) | |||
| F1-score | (4) | |||
| Parameters and Hyperparameters in the US (Extended) | Scoring | US Extended | US Minimum | Improvement over the Case with 8 var. (%) | ||||
|---|---|---|---|---|---|---|---|---|
| Methods | Analysis Range | Optimum | Mean | std | Mean | std | ||
| RF | Number of trees (1; three hundred) | 181 | Accuracy | 0.611 | 0.004 | 0.587 | 0.004 | 4% |
| Precision | 0.594 | 0.005 | 0.560 | 0.006 | 6% | |||
| Maximum depth of the tree (1; 20) | 13 | Recall | 0.611 | 0.004 | 0.587 | 0.004 | 4% | |
| F1-score | 0.589 | 0.005 | 0.555 | 0.004 | 6% | |||
| DT | Maximum depth of the tree (1; 20) | 8 | Accuracy | 0.567 | 0.005 | 0.540 | 0.007 | 5% |
| Precision | 0.549 | 0.009 | 0.516 | 0.008 | 6% | |||
| Minimum number of samples required to be at a leaf node (5;100) | 70 | Recall | 0.567 | 0.005 | 0.540 | 0.007 | 5% | |
| F1-score | 0.540 | 0.007 | 0.521 | 0.007 | 4% | |||
| SVC | Regularization parameter (0.1; 1000) | 100 | Accuracy | 0.550 | 0.005 | 0.538 | 0.004 | 2% |
| Precision | 0.520 | 0.006 | 0.495 | 0.009 | 5% | |||
| Kernel coefficient, gamma (0.0001; 1) | 0.0001 | Recall | 0.550 | 0.005 | 0.538 | 0.004 | 2% | |
| F1-score | 0.524 | 0.005 | 0.482 | 0.004 | 9% | |||
| KNC | Number of neighbours (1; 50) | 16 | Accuracy | 0.546 | 0.004 | 0.525 | 0.004 | 4% |
| Leaf size (1; 50) | 1 | Precision | 0.504 | 0.008 | 0.471 | 0.008 | 7% | |
| Power parameter for the Minkowski metric (1; 2) | 1 | Recall | 0.546 | 0.004 | 0.525 | 0.004 | 4% | |
| metrics (‘Minkowski’; ‘Euclidean’; ‘Manhattan’) weights (‘uniform’; ‘distance’) | Minkowski distance | F1-score | 0.490 | 0.005 | 0.445 | 0.004 | 10% | |
| NB | Portion of the largest variance (0; 10–15) | 0.00187 | Accuracy | 0.516 | 0.002 | 0.518 | 0.002 | −1% |
| Precision | 0.420 | 0.006 | 0.456 | 0.019 | −8% | |||
| Recall | 0.516 | 0.002 | 0.518 | 0.002 | −1% | |||
| F1-score | 0.402 | 0.003 | 0.411 | 0.002 | −2% | |||
| Variables | University of Seville | ASHRAE | University of Seville | ASHRAE | |||||
|---|---|---|---|---|---|---|---|---|---|
| Min | Avg | Max | Min | Avg | Max | ||||
| Human variables | gender | ✓ | ✓ | 0 | 0.72 | 1 | 0 | 0.46 | 1 |
| height | ✓ | 158 | 175 | 187 | |||||
| weight | ✓ | 52 | 73 | 120 | |||||
| age | ✓ | 26 | 32 | 60 | |||||
| Adaptive actions | clo | ✓ | ✓ | 0.34 | 0.89 | 1.63 | 0.26 | 0.61 | 1.64 |
| activity | ✓ | −1 | 0.03 | 1 | |||||
| emotional | ✓ | −1 | 0.16 | 3 | |||||
| food | ✓ | 0 | 0.31 | 2 | |||||
| met | ✓ | 0.8 | 1.23 | 3.8 | |||||
| Indoor variables | Ta | ✓ | ✓ | 13 | 23 | 64 | 17 | 26 | 39 |
| RH | ✓ | 16 | 4 | 79 | |||||
| Tg | ✓ | 13 | 23 | 34 | |||||
| Tr | ✓ | ✓ | 13 | 23 | 34 | 14 | 26 | 40 | |
| CO2 | ✓ | 395 | 735 | 1907 | |||||
| Outdoor variables | Tout | ✓ | ✓ | 2 | 19 | 42 | 4 | 19 | 28 |
| Tout, avg | ✓ | ✓ | 5 | 17 | 33 | 3 | 1 | 31 | |
| Tout, max | ✓ | ✓ | 9 | 23 | 44 | 9 | 23 | 36 | |
| Tout, min | ✓ | ✓ | 0 | 11 | 26 | −7 | 14 | 28 | |
| Trm0.8 | ✓ | ✓ | 9 | 17 | 31 | 5 | 19 | 29 | |
| RHout | ✓ | 9 | 60 | 97 | |||||
| RHout, avg | ✓ | ✓ | 22 | 65 | 96 | 25 | 65 | 95 | |
| RHrm0.8 | ✓ | ✓ | 32 | 65 | 88 | 35 | 65 | 87 | |
| University of Seville (Usc) | ASHRAE (ASHRAEc) | ||||
|---|---|---|---|---|---|
| Methods | Scoring | Mean | std | Mean | std |
| RF | Accuracy | 0.591 | 0.004 | 0.489 | 0.004 |
| Precision | 0.569 | 0.006 | 0.479 | 0.006 | |
| Recall | 0.591 | 0.004 | 0.489 | 0.004 | |
| F1-score | 0.561 | 0.005 | 0.462 | 0.005 | |
| DT | Accuracy | 0.551 | 0.004 | 0.476 | 0.005 |
| Precision | 0.516 | 0.011 | 0.450 | 0.008 | |
| Recall | 0.551 | 0.004 | 0.476 | 0.005 | |
| F1-score | 0.485 | 0.005 | 0.445 | 0.006 | |
| SVC | Accuracy | 0.563 | 0.003 | 0.489 | 0.003 |
| Precision | 0.526 | 0.019 | 0.484 | 0.007 | |
| Recall | 0.563 | 0.003 | 0.489 | 0.003 | |
| F1-score | 0.494 | 0.003 | 0.435 | 0.003 | |
| KNC | Accuracy | 0.558 | 0.004 | 0.473 | 0.003 |
| Precision | 0.530 | 0.007 | 0.451 | 0.006 | |
| Recall | 0.558 | 0.004 | 0.473 | 0.003 | |
| F1-score | 0.509 | 0.005 | 0.427 | 0.004 | |
| NB | Accuracy | 0.505 | 0.001 | 0.446 | 0.001 |
| Precision | 0.290 | 0.023 | 0.371 | 0.014 | |
| Recall | 0.505 | 0.001 | 0.446 | 0.001 | |
| F1-score | 0.341 | 0.001 | 0.374 | 0.001 | |
| University of Seville (USo) | Improvement over the USc (%) | ASHRAE (ASHRAEo) | Improvement over the ASHRAEc (%) | ||||
|---|---|---|---|---|---|---|---|
| Methods | Scoring | Mean | std | Mean | std | ||
| RF | Accuracy | 0.611 | 0.004 | 3% | 0.498 | 0.004 | 2% |
| Precision | 0.594 | 0.005 | 4% | 0.494 | 0.006 | 3% | |
| Recall | 0.611 | 0.004 | 3% | 0.498 | 0.004 | 2% | |
| F1-score | 0.589 | 0.005 | 5% | 0.465 | 0.004 | 1% | |
| DT | Accuracy | 0.567 | 0.005 | 3% | 0.475 | 0.005 | 0% |
| Precision | 0.549 | 0.009 | 6% | 0.450 | 0.009 | 0% | |
| Recall | 0.567 | 0.005 | 3% | 0.475 | 0.005 | 0% | |
| F1-score | 0.540 | 0.007 | 11% | 0.443 | 0.007 | −1% | |
| SVC | Accuracy | 0.550 | 0.005 | −2% | 0.485 | 0.004 | −1% |
| Precision | 0.520 | 0.006 | −1% | 0.475 | 0.007 | −2% | |
| Recall | 0.550 | 0.005 | −2% | 0.485 | 0.004 | −1% | |
| F1-score | 0.524 | 0.005 | 6% | 0.447 | 0.004 | 3% | |
| KNC | Accuracy | 0.546 | 0.004 | −2% | 0.474 | 0.004 | 0% |
| Precision | 0.504 | 0.008 | −5% | 0.456 | 0.006 | 1% | |
| Recall | 0.546 | 0.004 | −2% | 0.474 | 0.004 | 0% | |
| F1-score | 0.490 | 0.005 | −4% | 0.428 | 0.004 | 0% | |
| NB | Accuracy | 0.516 | 0.002 | 2% | 0.446 | 0.001 | 0% |
| Precision | 0.420 | 0.006 | 45% | 0.372 | 0.014 | 0% | |
| Recall | 0.516 | 0.002 | 2% | 0.446 | 0.001 | 0% | |
| F1-score | 0.402 | 0.003 | 18% | 0.374 | 0.001 | 0% | |
Disclaimer/Publisher’s Note: The statements, opinions and data contained in all publications are solely those of the individual author(s) and contributor(s) and not of MDPI and/or the editor(s). MDPI and/or the editor(s) disclaim responsibility for any injury to people or property resulting from any ideas, methods, instructions or products referred to in the content. |
© 2023 by the authors. Licensee MDPI, Basel, Switzerland. This article is an open access article distributed under the terms and conditions of the Creative Commons Attribution (CC BY) license (https://creativecommons.org/licenses/by/4.0/).
Share and Cite
Aparicio-Ruiz, P.; Barbadilla-Martín, E.; Guadix, J.; Nevado, J. Analysis of Variables Affecting Indoor Thermal Comfort in Mediterranean Climates Using Machine Learning. Buildings 2023, 13, 2215. https://doi.org/10.3390/buildings13092215
Aparicio-Ruiz P, Barbadilla-Martín E, Guadix J, Nevado J. Analysis of Variables Affecting Indoor Thermal Comfort in Mediterranean Climates Using Machine Learning. Buildings. 2023; 13(9):2215. https://doi.org/10.3390/buildings13092215
Chicago/Turabian StyleAparicio-Ruiz, Pablo, Elena Barbadilla-Martín, José Guadix, and Julio Nevado. 2023. "Analysis of Variables Affecting Indoor Thermal Comfort in Mediterranean Climates Using Machine Learning" Buildings 13, no. 9: 2215. https://doi.org/10.3390/buildings13092215
APA StyleAparicio-Ruiz, P., Barbadilla-Martín, E., Guadix, J., & Nevado, J. (2023). Analysis of Variables Affecting Indoor Thermal Comfort in Mediterranean Climates Using Machine Learning. Buildings, 13(9), 2215. https://doi.org/10.3390/buildings13092215

