Transient Thermoelastic Analysis of Rectangular Plates with Time-Dependent Convection and Radiation Boundaries
Abstract
:1. Introduction
2. Heat Transfer Analysis
- i.
- The plate is made of a homogeneous, isotropic, and temperature-independent material;
- ii.
- The heat convection coefficient and surface emissivity corresponding to the top and bottom surfaces are considered as constants;
- iii.
- The plate’s deformation falls within the scope of linear elasticity and small strains.
2.1. Linearization of Radiation Condition
2.2. Basic Equations and Homogenization of Boundary Conditions
2.3. Solution of Space-Variable
2.4. Solution of Time-Variable
2.5. Calculation Procedure of Temperature Solution
3. Thermoelastic Analysis
3.1. Thermoelasticity Equations
3.2. General Displacement and Stress Solutions
3.3. Determination of Unknowns
4. Numerical Results and Discussion
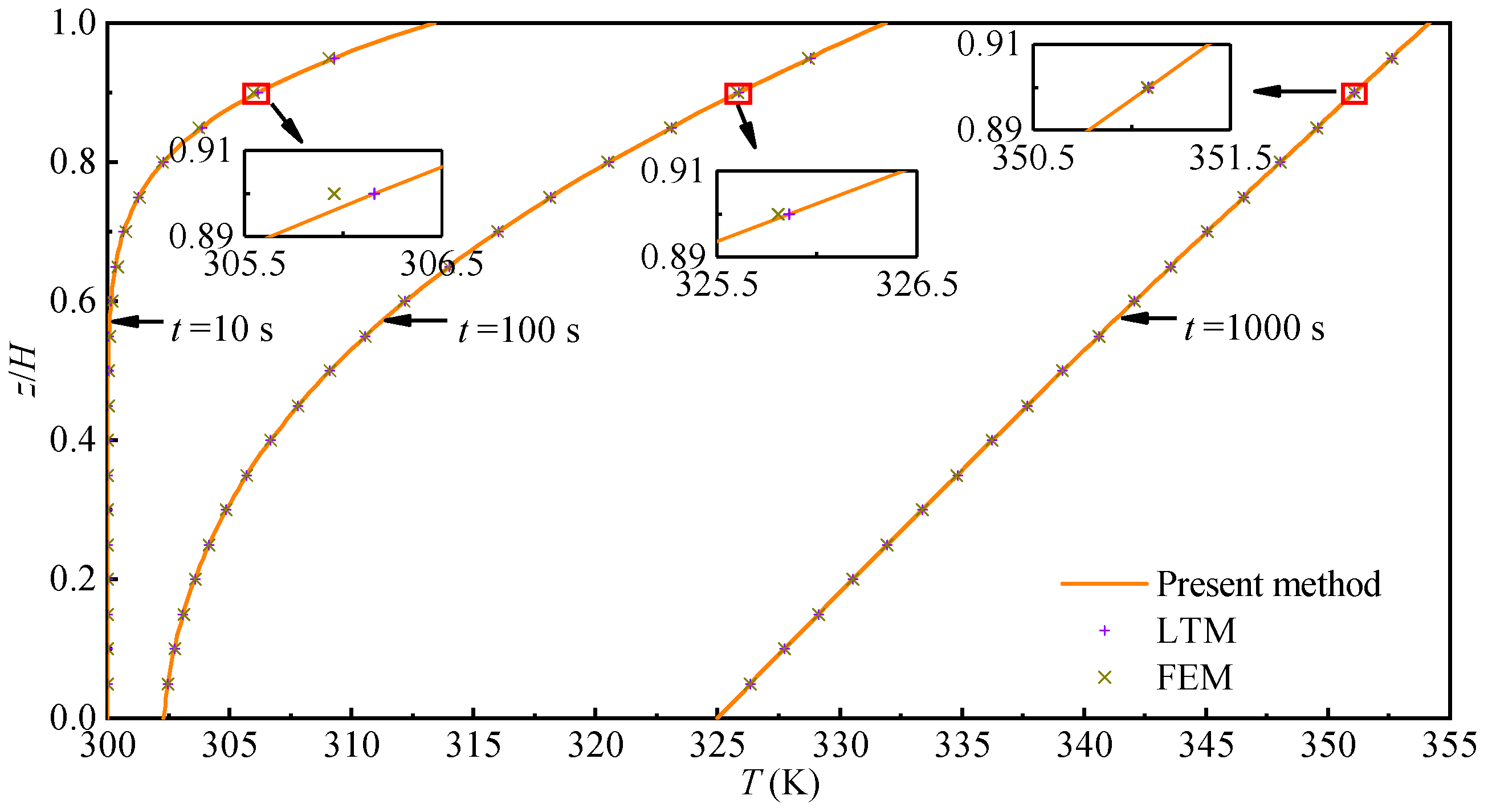
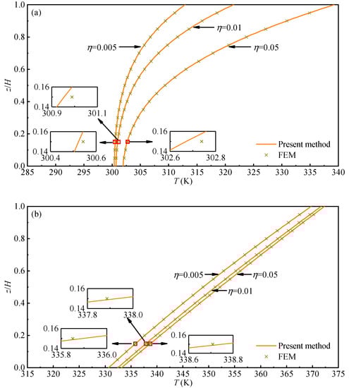
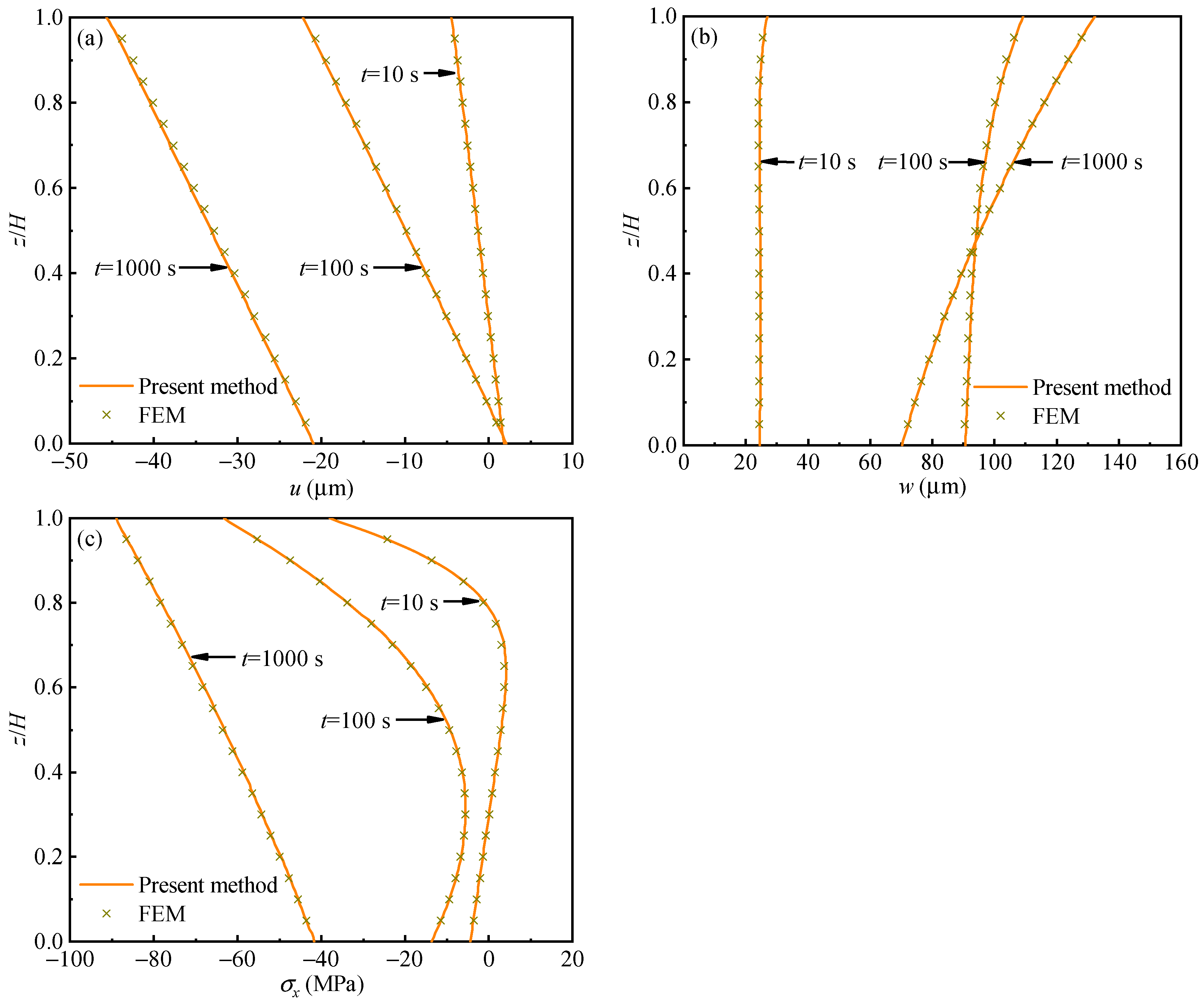
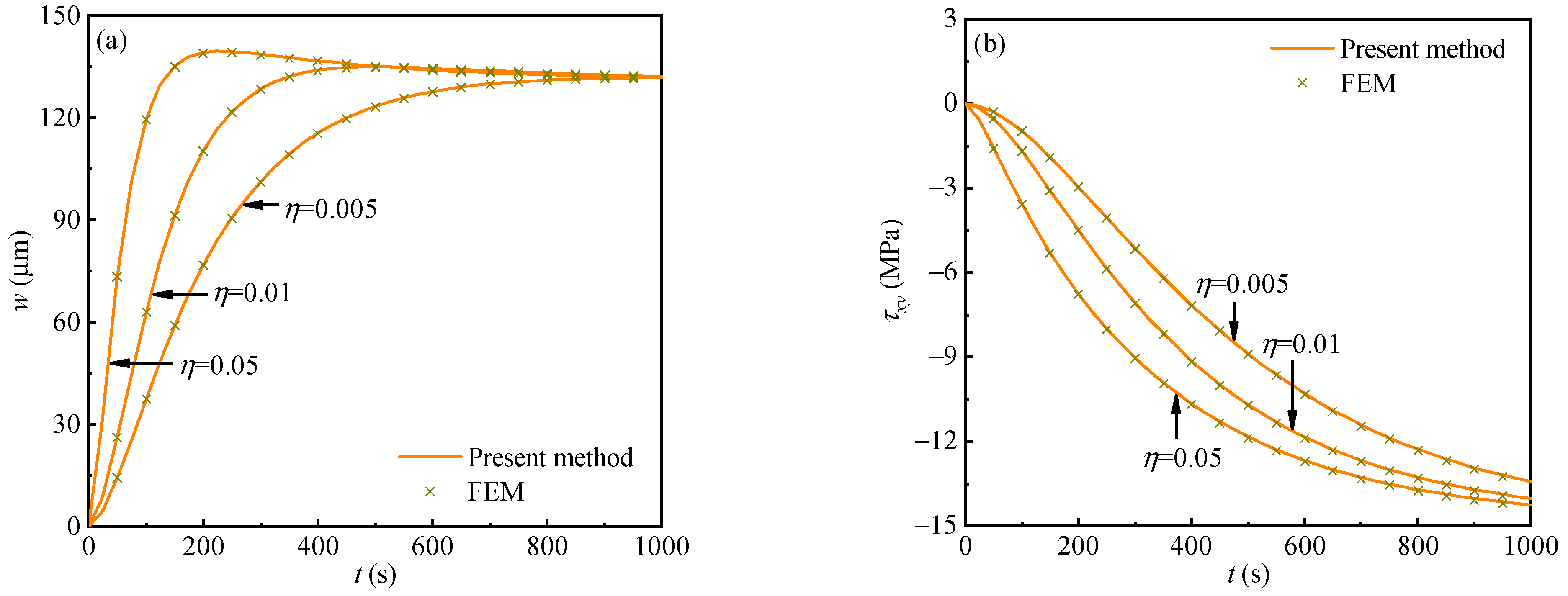
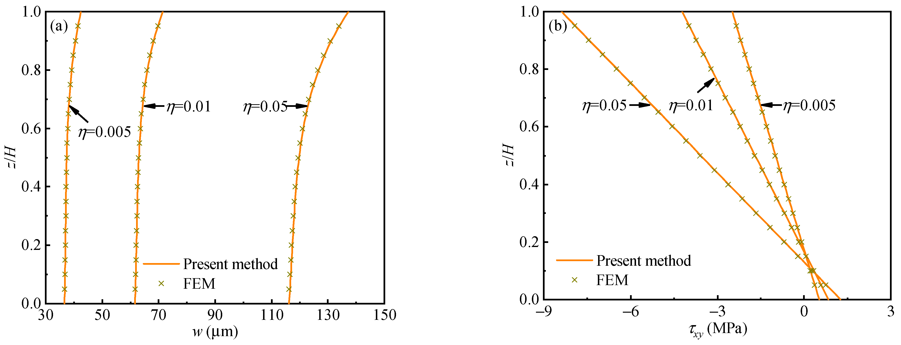
4.1. Validation Study
4.2. Purely Convection Boundary and T-I Surrounding Temperature
4.3. Convection and Radiation Boundaries and T-D Surrounding Temperature
5. Conclusions
- i.
- The comparison with the reported results and the FEM results indicates that the present method can give a satisfactory prediction for the thermoelastic responses in the plate.
- ii.
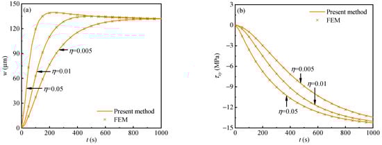
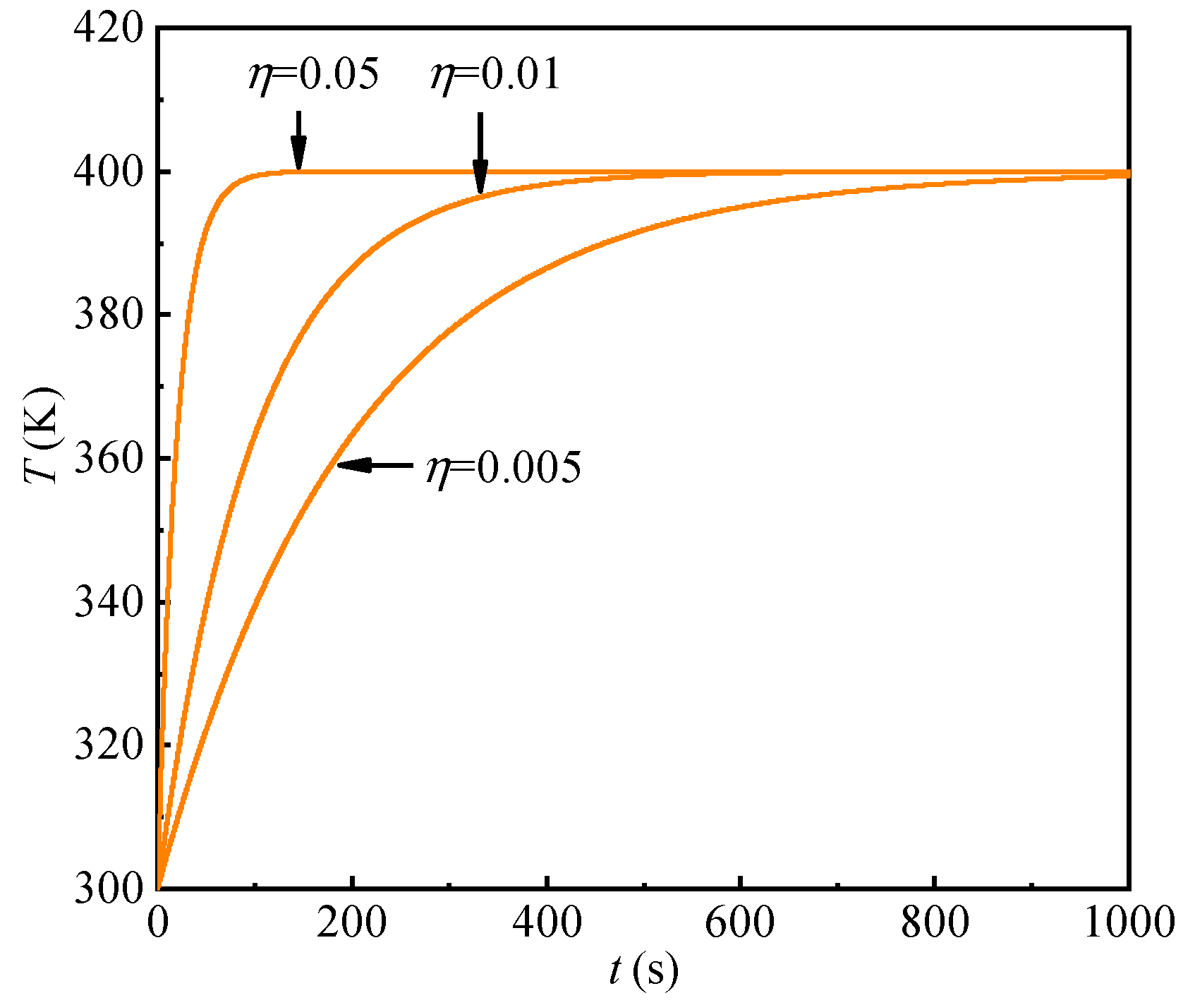
- The temperature, displacements, and stresses increase quickly in the early stage but tend to eventually stabilize.
- iii.
- The temperature distribution progressively changes from nonlinearity to linearity with time.
- iv.
- The temperature, displacements, and stresses increase quickly with the increase in the temperature coefficient η. However, the long-term deformations of the plate do not vary with η.
- v.
- The radiation heat transfer has a significant effect on the displacement and stress distributions.
Author Contributions
Funding
Data Availability Statement
Conflicts of Interest
References
- Yan, X.; Lin, C.; Liu, X.; Zheng, T.; Shi, S.; Mao, H. Numerical and Analytical Investigations of the Impact Resistance of Partially Precast Concrete Beams Strengthened with Bonded Steel Plates. Buildings 2023, 13, 696. [Google Scholar] [CrossRef]
- Jiang, L.; Cheng, R.; Zhang, H.; Ma, K. Human-Induced-Vibration Response Analysis and Comfort Evaluation Method of Large-Span Steel Vierendeel Sandwich Plate. Buildings 2022, 12, 1228. [Google Scholar] [CrossRef]
- Xie, H.; Shen, C.; Fang, H.; Han, J.; Cai, W. Flexural property evaluation of web reinforced GFRP-PET foam sandwich panel: Experimental study and numerical simulation. Compos. Part B Eng. 2022, 234, 109725. [Google Scholar] [CrossRef]
- Chen, J.; Zhu, L.; Fang, H.; Han, J.; Huo, R.; Wu, P. Study on the low-velocity impact response of foam-filled multi-cavity composite panels. Thin-Walled Struct. 2022, 173, 108953. [Google Scholar] [CrossRef]
- Manthena, V.R.; Srinivas, V.B.; Kedar, G.D. Analytical solution of heat conduction of a multilayered annular disk and associated thermal deflection and thermal stresses. J. Therm. Stress. 2020, 43, 563–578. [Google Scholar] [CrossRef]
- Chen, Y.; Zhang, L.; He, C.; He, R.; Xu, B.; Li, Y. Thermal insulation performance and heat transfer mechanism of C/SiC corrugated lattice core sandwich panel. Aerosp. Sci. Technol. 2021, 111, 106539. [Google Scholar] [CrossRef]
- Ren, Y.; Huo, R.; Zhou, D. Buckling and post-buckling analysis of restrained non-uniform columns in fire. Eng. Struct. 2022, 272, 114947. [Google Scholar] [CrossRef]
- Ren, Y.; Huo, R.; Zhou, D. Buckling analysis of non-uniform Timoshenko columns under localised fire. Structures 2023, 51, 1245–1256. [Google Scholar] [CrossRef]
- Özişik, M.N. Heat Conduction, 2nd ed.; Wiley: New York, NY, USA, 1993. [Google Scholar]
- Frankel, J.I.; Vick, B. An exact methodology for solving nonlinear diffusion equations based on integral transforms. Appl. Numer. Math. 1987, 3, 467–477. [Google Scholar] [CrossRef]
- Manthena, V.R.; Kedar, G.D. On thermoelastic problem of a thermosensitive functionally graded rectangular plate with instantaneous point heat source. J. Therm. Stress. 2019, 42, 849–862. [Google Scholar] [CrossRef]
- Ferraiuolo, M.; Manca, O. Heat transfer in a multi-layered thermal protection system under aerodynamic heating. Int. J. Therm. Sci. 2012, 53, 56–70. [Google Scholar] [CrossRef]
- Hefni, M.A.; Xu, M.; Zueter, A.F.; Hassani, F.; Eltaher, M.A.; Ahmed, H.M.; Saleem, H.A.; Ahmed, H.A.M.; Hassan, G.S.A.; Ahmed, K.I.; et al. A 3D space-marching analytical model for geothermal borehole systems with multiple heat exchangers. Appl. Therm. Eng. 2022, 216, 119027. [Google Scholar] [CrossRef]
- Tanigawa, Y.; Murakami, H.; Ootao, Y. Transient thermal stress analysis of a laminated composite beam. J. Therm. Stress. 1989, 12, 25–39. [Google Scholar] [CrossRef]
- Zhang, Z.; Zhou, D.; Zhang, J.; Fang, H.; Han, H. Transient analysis of layered beams subjected to steady heat supply and mechanical load. Steel Compos. Struct. 2021, 40, 87–100. [Google Scholar] [CrossRef]
- Yang, W.; Pourasghar, A.; Cui, Y.; Wang, L.; Chen, Z. Transient heat transfer analysis of a cracked strip irradiated by ultrafast Gaussian laser beam using dual-phase-lag theory. Int. J. Heat Mass Transf. 2023, 203, 123771. [Google Scholar] [CrossRef]
- de Monte, F. Transient heat conduction in one-dimensional composite slab. A ‘natural’ analytic approach. Int. J. Heat Mass Transf. 2000, 43, 3607–3619. [Google Scholar] [CrossRef]
- de Monte, F. An analytic approach to the unsteady heat conduction processes in one-dimensional composite media. Int. J. Heat Mass Transf. 2002, 45, 1333–1343. [Google Scholar] [CrossRef]
- Miller, J.R.; Weaver, P.M. Temperature profiles in composite plates subject to time-dependent complex boundary conditions. Compos. Struct. 2003, 59, 267–278. [Google Scholar] [CrossRef]
- Gu, L.; Wang, Y.; Shi, S.; Dai, C. An approximate analytical method for nonlinear transient heat transfer through a metallic thermal protection system. Int. J. Heat Mass Transf. 2016, 103, 582–593. [Google Scholar] [CrossRef]
- Reddy, J.N. Mechanics of Laminated Composite Plates and Shells; CRC Press: Boca Raton, FL, USA, 2004. [Google Scholar]
- Abrate, S.; Di Sciuva, M. Equivalent single layer theories for composite and sandwich structures: A review. Compos. Struct. 2017, 179, 482–494. [Google Scholar] [CrossRef]
- Tauchert, T.R. Thermally induced flexure, buckling, and vibration of plates. Appl. Mech. Rev. 1991, 44, 347–360. [Google Scholar] [CrossRef]
- Kulkarni, P.; Dhoble, A.; Padole, P. A review of research and recent trends in analysis of composite plates. Sādhanā 2018, 43, 96. [Google Scholar] [CrossRef]
- Yang, K.J.; Kang, K.J.; Beom, H.G. Thermal Stress Analysis for an Inclusion with Nonuniform Temperature Distribution in an Infinite Kirchhoff Plate. J. Therm. Stress. 2005, 28, 1123–1144. [Google Scholar] [CrossRef]
- Ren, Y.; Huo, R.; Zhou, D. Thermo-mechanical buckling analysis of non-uniformly heated rectangular plates with temperature-dependent material properties. Thin-Walled Struct. 2023, 186, 110653. [Google Scholar] [CrossRef]
- Prakash, A.; Kumar, P.; Saran, V.H.; Harsha, S.P. NURBS based thermoelastic behaviour of thin functionally graded sigmoidal (TFGS) porous plate resting on variable Winkler’s foundation. Int. J. Mech. Mater. Des. 2023. [Google Scholar] [CrossRef]
- Thongchom, C.; Jearsiripongkul, T.; Refahati, N.; Roudgar Saffari, P.; Roodgar Saffari, P.; Sirimontree, S.; Keawsawasvong, S. Sound Transmission Loss of a Honeycomb Sandwich Cylindrical Shell with Functionally Graded Porous Layers. Buildings 2022, 12, 151. [Google Scholar] [CrossRef]
- Van Vinh, P.; Van Chinh, N.; Tounsi, A. Static bending and buckling analysis of bi-directional functionally graded porous plates using an improved first-order shear deformation theory and FEM. Eur. J. Mech.-A/Solids 2022, 96, 104743. [Google Scholar] [CrossRef]
- Qolipour, A.M.; Eipakchi, H.; Nasrekani, F.M. Asymmetric/Axisymmetric buckling of circular/annular plates under radial load using first-order shear deformation theory. Thin-Walled Struct. 2023, 182, 110244. [Google Scholar] [CrossRef]
- Hauck, B.; Szekrényes, A. Fracture mechanical finite element analysis for delaminated composite plates applying the first-order shear deformation plate theory. Compos. Struct. 2023, 308, 116719. [Google Scholar] [CrossRef]
- Mei, Y.; Ban, H.; Shi, Y. Elastic buckling of simply supported bimetallic steel plates. J. Constr. Steel Res. 2022, 198, 107581. [Google Scholar] [CrossRef]
- Roodgar Saffari, P.; Sher, W.; Thongchom, C. Size Dependent Buckling Analysis of a FG-CNTRC Microplate of Variable Thickness under Non-Uniform Biaxial Compression. Buildings 2022, 12, 2238. [Google Scholar] [CrossRef]
- Van Do, V.N.; Lee, C.-H. Nonlinear thermal buckling analyses of functionally graded circular plates using higher-order shear deformation theory with a new transverse shear function and an enhanced mesh-free method. Acta Mech. 2018, 229, 3787–3811. [Google Scholar] [CrossRef]
- Moayeri, M.; Darabi, B.; Sianaki, A.H.; Adamian, A. Third order nonlinear vibration of viscoelastic circular microplate based on softening and hardening nonlinear viscoelastic foundation under thermal loading. Eur. J. Mech.-A/Solids 2022, 95, 104644. [Google Scholar] [CrossRef]
- Vu, N.A.; Pham, T.D.; Tran, T.T.; Pham, Q.-H. Third-order isogeometric analysis for vibration characteristics of FGP plates in the thermal environment supported by Kerr foundation. Case Stud. Therm. Eng. 2023, 45, 102890. [Google Scholar] [CrossRef]
- Van Do, T.; Hong Doan, D.; Chi Tho, N.; Dinh Duc, N. Thermal Buckling Analysis of Cracked Functionally Graded Plates. Int. J. Struct. Stab. Dyn. 2022, 22, 22500894. [Google Scholar] [CrossRef]
- Zenkour, A.M.; Alghamdi, N.A. Bending Analysis of Functionally Graded Sandwich Plates under the Effect of Mechanical and Thermal Loads. Mech. Adv. Mater. Struct. 2010, 17, 419–432. [Google Scholar] [CrossRef]
- Sah, S.K.; Ghosh, A. Effect of Porosity on the Thermal Buckling Analysis of Power and Sigmoid Law Functionally Graded Material Sandwich Plates Based on Sinusoidal Shear Deformation Theory. Int. J. Struct. Stab. Dyn. 2022, 22, 22500638. [Google Scholar] [CrossRef]
- Bouiadjra, R.B.; Bedia, E.A.A.; Tounsi, A. Nonlinear thermal buckling behavior of functionally graded plates using an efficient sinusoidal shear deformation theory. Struct. Eng. Mech. 2013, 48, 547–567. [Google Scholar] [CrossRef]
- Houari, M.S.A.; Tounsi, A.; Bessaim, A.; Mahmoud, S.R. A new simple three-unknown sinusoidal shear deformation theory for functionally graded plates. Steel Compos. Struct. 2016, 22, 257–276. [Google Scholar] [CrossRef]
- Bouazza, M.; Lairedj, A.; Benseddiq, N.; Khalki, S. A refined hyperbolic shear deformation theory for thermal buckling analysis of cross-ply laminated plates. Mech. Res. Commun. 2016, 73, 117–126. [Google Scholar] [CrossRef]
- Laoufi, I.; Ameur, M.; Zidi, M.; Bedia, E.A.A.; Bousahla, A.A. Mechanical and hygrothermal behaviour of functionally graded plates using a hyperbolic shear deformation theory. Steel Compos. Struct. 2016, 20, 889–911. [Google Scholar] [CrossRef]
- Benahmed, A.; Houari, M.S.A.; Benyoucef, S.; Belakhdar, K.; Tounsi, A. A novel quasi-3D hyperbolic shear deformation theory for functionally graded thick rectangular plates on elastic foundation. Geomech. Eng. 2017, 12, 9–34. [Google Scholar] [CrossRef]
- Zhang, Z.; Zhou, D.; Fang, H.; Zhang, J.; Li, X. Analysis of layered rectangular plates under thermo-mechanical loads considering temperature-dependent material properties. Appl. Math. Model. 2021, 92, 244–260. [Google Scholar] [CrossRef]
- Wang, J.; Yuan, W.; Li, Z.; Trofimov, Y.; Lishik, S.; Fan, J. A neural network-assisted 3D theoretical thermoelastic solution for laminated liquid crystal elastomer plate used in restoring cardiac mechanical function. J. Mech. Behav. Biomed. Mater. 2022, 136, 105478. [Google Scholar] [CrossRef]
- Aljadani, M.H.; Zenkour, A.M. A Modified Two-Relaxation Thermoelastic Model for a Thermal Shock of Rotating Infinite Medium. Materials 2022, 15, 9056. [Google Scholar] [CrossRef] [PubMed]
- Zakaria, K.; Sirwah, M.A.; Abouelregal, A.E.; Rashid, A.F. Photo-Thermoelastic Model with Time-Fractional of Higher Order and Phase Lags for a Semiconductor Rotating Materials. Silicon 2021, 13, 573–585. [Google Scholar] [CrossRef]
- Abouelregal, A.E. Two-temperature thermoelastic model without energy dissipation including higher order time-derivatives and two phase-lags. Mater. Res. Express 2019, 6, 116535. [Google Scholar] [CrossRef]
- Askar, S.; Abouelregal, A.E.; Marin, M.; Foul, A. Photo-Thermoelasticity Heat Transfer Modeling with Fractional Differential Actuators for Stimulated Nano-Semiconductor Media. Symmetry 2023, 15, 656. [Google Scholar] [CrossRef]
- Abouelregal, A.E.; Askar, S.S.; Marin, M.; Mohamed, B. The theory of thermoelasticity with a memory-dependent dynamic response for a thermo-piezoelectric functionally graded rotating rod. Sci. Rep. 2023, 13, 9052. [Google Scholar] [CrossRef]
- Abouelregal, A.E.; Moustapha, M.V.; Nofal, T.A.; Rashid, S.; Ahmad, H. Generalized thermoelasticity based on higher-order memory-dependent derivative with time delay. Results Phys. 2021, 20, 103705. [Google Scholar] [CrossRef]
- Abouelregal, A.E.; Alesemi, M. Evaluation of the thermal and mechanical waves in anisotropic fiber-reinforced magnetic viscoelastic solid with temperature-dependent properties using the MGT thermoelastic model. Case Stud. Therm. Eng. 2022, 36, 102187. [Google Scholar] [CrossRef]
- Ying, J.; Lü, C.; Lim, C.W. 3D thermoelasticity solutions for functionally graded thick plates. J. Zhejiang Univ. A 2009, 10, 327–336. [Google Scholar] [CrossRef]
- Monds, J.R.; McDonald, A.G. Determination of skin temperature distribution and heat flux during simulated fires using Green’s functions over finite-length scales. Appl. Therm. Eng. 2013, 50, 593–603. [Google Scholar] [CrossRef]
- Fogang, V. Bending Analysis of Isotropic Rectangular Kirchhoff Plates Subjected to Non-Uniform Heating Using the Fourier Transform Method. Preprints 2021, 2021060479. [Google Scholar] [CrossRef]











| Poisson’s Ratio | Aspect Ratio | Fogang [56] | Present | Error (%) |
|---|---|---|---|---|
| μ = 0 | a/b = 1 | 0.0737 | 0.0734 | 0.41 |
| a/b = 1.5 | 0.1008 | 0.1005 | 0.30 | |
| a/b = 2 | 0.1139 | 0.1136 | 0.26 | |
| a/b = 3 | 0.1227 | 0.1224 | 0.24 | |
| a/b = 5 | 0.1249 | 0.1247 | 0.16 | |
| a/b = 10 | 0.1250 | 0.1251 | 0.08 | |
| μ = 0.2 | a/b = 1 | 0.0884 | 0.0881 | 0.34 |
| a/b = 1.5 | 0.1209 | 0.1206 | 0.25 | |
| a/b = 2 | 0.1366 | 0.1363 | 0.22 | |
| a/b = 3 | 0.1472 | 0.1469 | 0.20 | |
| a/b = 5 | 0.1499 | 0.1497 | 0.13 | |
| a/b = 10 | 0.1500 | 0.1501 | 0.07 |
Disclaimer/Publisher’s Note: The statements, opinions and data contained in all publications are solely those of the individual author(s) and contributor(s) and not of MDPI and/or the editor(s). MDPI and/or the editor(s) disclaim responsibility for any injury to people or property resulting from any ideas, methods, instructions or products referred to in the content. |
© 2023 by the authors. Licensee MDPI, Basel, Switzerland. This article is an open access article distributed under the terms and conditions of the Creative Commons Attribution (CC BY) license (https://creativecommons.org/licenses/by/4.0/).
Share and Cite
Zhang, Z.; Sun, Y.; Xiang, Z.; Qian, W.; Shao, X. Transient Thermoelastic Analysis of Rectangular Plates with Time-Dependent Convection and Radiation Boundaries. Buildings 2023, 13, 2174. https://doi.org/10.3390/buildings13092174
Zhang Z, Sun Y, Xiang Z, Qian W, Shao X. Transient Thermoelastic Analysis of Rectangular Plates with Time-Dependent Convection and Radiation Boundaries. Buildings. 2023; 13(9):2174. https://doi.org/10.3390/buildings13092174
Chicago/Turabian StyleZhang, Zhong, Ying Sun, Ziru Xiang, Wangping Qian, and Xuejun Shao. 2023. "Transient Thermoelastic Analysis of Rectangular Plates with Time-Dependent Convection and Radiation Boundaries" Buildings 13, no. 9: 2174. https://doi.org/10.3390/buildings13092174
APA StyleZhang, Z., Sun, Y., Xiang, Z., Qian, W., & Shao, X. (2023). Transient Thermoelastic Analysis of Rectangular Plates with Time-Dependent Convection and Radiation Boundaries. Buildings, 13(9), 2174. https://doi.org/10.3390/buildings13092174

