Abstract
In order to promote the efficient utilization of bio-oil, corn stover oil and petroleum asphalt were used to prepare bio-asphalt. UHMWPE was adopted to strengthen the high-temperature properties of bio-asphalt. UHMWPE-modified corn stover oil asphalt was prepared. Rheological and microscopic tests were carried out to study its performance. The softening point and viscosity of the modified asphalt were enhanced with a rise in the UHMWPE dosage. Its ductility and deformation ability increased at 5 °C. An MSCR test suggested that the asphalt’s creep recovery ability and anti-rutting properties decreased at a high stress level. Meanwhile, the low-temperature rheological behavior of UHMWPE-modified corn stover oil asphalt was superior to that of neat asphalt. The corn stover oil ameliorated the asphalt’s low-temperature properties but weakened its high-temperature behavior. The optimal preparation schemes for UHMWPE-modified corn stover oil asphalt were recommended through a comprehensive analysis of the properties. The recommended dosage of UHMWPE was 3–4%, while the corn stover oil dosage was 5%. However, when the dosage of corn stover oil was 10%, the recommended dosage of UHMWPE was 4%. UHMWPE powder was melted and cross-linked with neat asphalt during high-temperature preparation, demonstrating that UHMWPE can enhance the properties of asphalt. The UHMWPE polymer macromolecules can be dispersed in corn stover oil. UHMWPE can form a compact and robust network structure with asphalt. The feasible application of corn stover oil in road engineering was verified, which provides efficient solutions for waste utilization. This study will contribute to the sustainable development of road construction.
1. Introduction
During its service period, an asphalt pavement will suffer from vehicle load, changing temperature, and moisture, which aggravate the damage to the pavement structure. Structural damage will shorten the service time of an asphalt pavement, seriously affecting road traffic capacity, leading to the waste of resources, and increasing maintenance project costs. In order to satisfy the demands of an increase in traffic volume and the development of green transportation, it is necessary to improve pavement performance and ensure the development of green pavement materials. Meanwhile, bio-asphalt is widely used in modified asphalt due to its vast source and low price. The development of bio-asphalt can contribute to the development of green transportation. This study will explore the application of ultra-high-molecular-weight polyethylene (UHMWPE) polymer in modified bio-asphalt and provide a novel scheme for the modification of petroleum asphalt.
1.1. Polymer-Material-Modified Asphalt
In the 1930s, Britain began to use rubber-modified asphalt in large quantities. Since 1945, polymer-modified asphalt has been regarded as an effective method to improve asphalt pavement performance. Recently, polymer-modified asphalt has been widely used in road construction. Polymers include styrene–butadiene–styrene (SBS), rubber powder, polyphosphoric acids (PPA), etc. Polymers have remarkable effects on improving asphalt, such as high-temperature stability, low-temperature crack resistance, and ultraviolet aging resistance [1,2].
Viscione [3] used recycled plastics to modify asphalt (RPMA). Furthermore, laboratory tests revealed that the polymers could improve the mechanical properties of the asphalt mixture. The cracking resistance and rutting resistance of RPMA were obviously strengthened. Gabriel [4] summarized a polymeric-waste-modified asphalt mixture. It is beneficial as it raised the deformation resistance, fatigue cracking, and low-temperature cracking behavior of an asphalt pavement [5]. Mashaan [6] suggested that the optimal dosage of waste plastic is 6–8% in modified asphalt, which enhances fatigue, aging, and temperature stability behavior. The efficient utilization of waste plastics in road engineering can minimize the amount of waste plastics and effectively protect the environment. Waste tires can be shredded into rubber powder. Rubber powder has been successfully used in modified asphalt. Dibyendu [7] reported that a rubber-powder-modified asphalt mixture has excellent durability and is more resistant to moisture failure. Rubber powder can ameliorate the tensile strength of the asphalt mixture by 11.7%. Yan [8] studied the degradation within high-dosage polymer-modified asphalt (HDPMA). The results showed that the polymer appears to have noticeable degradation during the aging process. HDPMA is more sensitive to short-term aging at high temperatures. Polymer degradation increases the stiffness of asphalt, decreases its elastic recovery ability, and dramatically affects the phase angle. The polymer could significantly increase the rheological behavior and anti-aging properties of HDPMA. Sulfur improves the viscosity and storage stability of HDPMA [9]. However, excessive polymer has a limited effect on asphalt modification [10]. Esraa R. Al-Gurah [11] investigated polymer-modified asphalt binder (PMAB), adding different fillers. The application of PMBA remarkably improves the properties of asphalt mixtures. The rutting depth of the PMBA mixture decreased by 48% compared with the contrast test, which improved the deformation resistance of the pavement. Vamegh [12] investigated the performance of polypropylene- and styrene butadiene rubber (SBR)-modified asphalt. He reported that SBR could ameliorate the moisture behavior of asphalt, which decreased asphalt spalling by 50%. The combined effect of polypropylene and SBR could dramatically improve the deformation resistance of the asphalt mixture. This successful modification scheme can reduce the modification cost. Polymers can also be used as a rejuvenator to recover the performance of recycled asphalt (RA). Daryoosh [13] reported that a polymer and rejuvenator could improve the properties of aged asphalt. The low-temperature PG of recycled asphalt was upgraded to −22 °C. The polymer greatly enhanced the fatigue behavior of aged asphalt by 300% compared with neat asphalt. Ren [14] evaluated the properties of polymer-modified recycled asphalt (RMA). SBS and rubber could raise the high-temperature anti-deformation performance, aging resistance behavior, and viscosity of recycled asphalt (RA). The RA and PMA could strengthen the asphalt against fatigue cracking [15].
All in all, due to the favorable modification effects of various polymers, they are widely used in modified asphalt. Polyethylene is one of the most widely used plastic products. Polyethylene accounts for one-third of global plastic production. According to the division method of Philips Petroleum Company, polyethylene with a molecular weight of more than 1.5 million is called ultra-high-molecular-weight polyethylene [16,17]. UHMWPE is a kind of thermoplastic engineering material with a moderate price and excellent performance due to its extremely high molecular weight [18]. UHMWPE has incomparable comprehensive properties, such as abrasion resistance, impact resistance, low-temperature resistance, corrosion resistance, and low density compared with ordinary polymers. UHMWPE has been widely used in the textile, papermaking, and chemical industries, and medical treatment [19,20]. The polymer has good compatibility with asphalt. However, there is little research on UHMWPE application in petroleum asphalt [21]. This study broadens the utilization of UHMWPE in engineering.
1.2. Bio-Asphalt
Bio-oil can be produced from various plants using pyrolysis technology [22]. As a renewable material, bio-oil has better application advantages. It’s functional groups are similar to the functional groups of petroleum asphalt, and they have outstanding compatibility [23]. Bio-asphalt is a blend of bio-oil and petroleum asphalt. The poor high-temperature performance of bio-asphalt is a crucial factor limiting its promotion. In order to promote the efficient application of bio-asphalt, there are numerous studies about modified bio-asphalt [24,25].
Deng [26] used sludge bio-oil to modify asphalt and conducted tests to investigate the intermolecular interactions between sludge bio-oil and asphalt. Sludge bio-oil’s main constituent is esterification, with a dosage of 75.94%. Their FTIR results indicated that no new functional groups appeared in the bio-asphalt, and the sludge bio-oil was blended with asphalt. The sludge bio-oil could influence the colloidal structure of the asphalt, which ameliorated its anti-creaking properties. Abdulnaser [27] investigated the application feasibility of crude palm oil (CPO). Their research demonstrated that palm oil could enhance mixtures’ fatigue and low-temperature properties. It was reported that the bio-asphalt containing 5% CPO had the same complex shear modulus as the neat asphalt. He also conducted other studies about nano-silica (NS)-modified CPO bio-asphalt [28]. NS could raise the rutting index of CPO bio-asphalt, which compensated for the drawback of the high-temperature performance of bio-asphalt. At shear stress levels of 0.1 kPa and 3.2 kPa, the recovery rate of this modified asphalt increased by 27.7% and 8.8% compared to neat asphalt. Heny [29] extracted the bio-oil from sugarcane using pyrolysis technology. Their study indicated that the penetration of the bio-asphalt was consistent with that of 70# asphalt (penetration between 60 and 70). Lei [30] introduced a novel preparation method of rubber-modified bio-asphalt (RMBA). The rubber enhanced the anti-stripping behavior of asphalt by about three times. Meanwhile, as a closely connected twist band, bio-oil could enable the modified asphalt to be better adsorbed on the aggregate surface. RMBA has great elastic recovery ability at high temperatures. Furthermore, it also has satisfactory storage stability and temperature sensitivity [31]. The rubber powder formed a skeletal structure in RMPA that dramatically enhanced the rutting resistance of the mixture. Jiang [32] developed the utilization of resin bio-oil. Resins bio-oils can positively strengthen bio-asphalt’s elastic recovery behavior and high-temperature stability. Furthermore, it is recommended that the best replacement amount of resin bio-oil is 30% of the asphalt. Zheng [33] studied 4,4′-diphenylmethane diisocyanate (MDI)-modified wood-oil asphalt. The MDI and wood oil changed the colloid type to a gel structure, enhancing the deflection resistance. The chemical reaction between MDI and asphalt leads to the enhancement of high-temperature properties. Yang [34] promoted the utilization of bio-asphalt modified with PPA and SBS. Bio-oil could facilitate the compatibility of the SBS modifier with asphalt. The chemical reaction between PPA and asphalt formed a network structure, which ameliorated the high-temperature behavior of the bio-asphalt [23]. Zhang [35] summarized the preparation and application of bio-asphalt. He pointed out that most types of bio-oil can reduce the asphaltene dosage and strengthen the low-temperature behavior of asphalt. The low viscosity of bio-asphalt leads to lower energy consumption during the compaction of pavement construction [36]. Applying bio-asphalt in road engineering can promote the effective utilization of waste and reduce costs.
In summary, various bio-asphalts have the obvious drawback of poor high-temperature behavior. It is essential to make up for this defect of bio-asphalt. Common polymers, such as SBS, PPA, MDI, and SBR, are used in modified bio-asphalt. The emergence of nanomaterials has also promoted the utilization of bio-asphalt.
1.3. Study Objectives
The objectives of this study were to promote the efficient application of corn stover oil. However, the poor high-temperature performance of bio-asphalt has limited its promotion. So, UHMWPE was adopted to strengthen the high-temperature properties of corn stover oil bio-asphalt. The UHMWPE-modified corn stover oil asphalt (UCA) was prepared. Some laboratory tests were conducted to study its properties. The following objectives were established:
- To promote the efficient application of corn stover oil bio-asphalt.
- To evaluate the high- and low-temperature characteristics and microscopic morphology of UCA.
- To determine the dosage of UHMWPE and CSO to prepare the UCA.
2. Raw Materials and Test Methods
2.1. Materials
SK neat asphalt (SK-NA) was selected in this research study, produced by Qingdao Rishi Jitong Company (Qingdao, China). The technical indicators of SK-NA are displayed in Table 1. The corn straw oil (CSO) selected in this study belongs to one kind of bio-oil. It has a wide range of sources, a low price, and a promising foundation for application [37]. Its technical indicators are shown in Table 2. Ultra-high-molecular-weight Polyethylene (UHMWPE) has excellent serviceability due to its super high molecular weight. UHMWPE is a three-million mesh of powder polymers. Furthermore, the technical indicators of UHMWPE are shown in Table 3.
Table 1.
Technical indicators of SK-NA.
Table 2.
Technical indicators of CSO.
Table 3.
Technical indicators of UHMWPE.
2.2. Preparation of UHMWPE-Modified CSO Bio-Asphalt
The SK-NA and CSO were heated to form a flowing liquid in an oven at 135 °C. Firstly, a high-speed shear was utilized to prepare the CSO bio-asphalt. The dosages of CSO were 5% and 10% of the mass of the SK neat asphalt. The shear rate was 2000 rpm. The shear time was 30 min. The temperature was maintained at 135 °C during the preparation of the CSO bio-asphalt. Secondly, UHMWPE was added to the CSO bio-asphalt, and its dosages were 2%, 3%, and 4% of the mass of the CSO bio-asphalt. In this step, the shear rate was 3000 rpm, the shear time was 60 min, and the shear temperature was 150 °C. Then, the UHMWPE-modified CSO bio-asphalt (UCA) was prepared. The diffident types of modified asphalt are displayed in Table 4. The SK-NA was the contrast test in this study and reflects the modification effects of UCA.
Table 4.
The various types of modified asphalt.
2.3. Test Methods
A test chart of this research study is shown in Figure 1. The tests were divided into three main parts: conventional performance tests, rheological performance tests, and microscopic characteristics tests. The conventional and rheological performance tests were conducted according to the SHRP specifications. The ductility test was conducted in a water bath at 5 °C. The extension rate of the ductility test was 5 ± 0.25 cm/min. This study tested the Brookfield rotational viscosity of asphalt at 135 °C. A dynamic shear rheometer conducted temperature sweep (TS) and multiple stress creep recovery (MSCR) tests. The TS test was performed on the original asphalt sample, and the test temperature was 42–80 °C. The MSCR test was performed on the short-term-aged asphalt sample. The bending beam rheometer (BBR) test proceeded at −18 °C and −24 °C. Scanning electron microscope (SEM) and fluorescence microscope (FM) tests were carried out to reflect the morphology characteristics of the materials.
Figure 1.
Test chart of UHMWPE-modified CSO bio-asphalt.
3. Results and Discussion
3.1. Conventional Performance of Modified Asphalt
3.1.1. Softening Point
Figure 2 summarizes the softening point and segregation test results of SK-NA and UCA. The softening point of SK-NA is 48.2 °C. The softening point dramatically rose when 5% CSO and a 2–4% dosage of UHMWPE were all blended with SK-NA. This was mainly because UHMWPE enhanced the high-temperature performance of asphalt. However, when the CSO dosage was 10%, the softening points of UCA were dramatically reduced. This was mainly because 10% CSO softened the asphalt and decreased the softening point. The CSO could have a negative effect on the high-temperature performance of asphalt. As detailed in Figure 2a, UCA 4–5 had a maximum value of 59.3 °C. Compared with SK-NA, the softening point of UCA 4–5 was increased by 23.03%. Unfortunately, the softening point of UCA 2–10 was merely 42.5 °C, which was reduced by 11.83% compared with SK-NA. The enhancements of the softening point caused by a 1% dosage of UHMWPE are marked in Figure 2a. It can be noted from Figure 2a that the softening point of UCA was positively enhanced with the increase in the UHMWPE blending amount. It is summarized that UHMWPE can improve the high-temperature property of UCA. When UHMWPE was blended in a certain amount, the softening points of UCA2–10, UCA 3–10, and UCA 4–10 declined by 14.49%, 11.38%, and 11.64%, respectively, compared with UCA 2–5, UCA 3–5, and UCA 4–5. It can be concluded that CSO has the most dramatic impact on the high-temperature property of UCA.
Figure 2.
Softening point and segregation test results. (a) Softening point; (b) segregation test.
Considering the results in Figure 2a, the UHMWPE dosage should be higher than 2% when the CSO dosage is 5%, and the UHMWPE dosage should be higher than 3% when the CSO dosage is 10%. In this sense, the softening point of UCA is greater than that of SK-NA.
Stability is an essential factor that influences the performance of polymer-modified asphalt. The segregation tests were conducted to reveal the stability of UCA. Moreover, the softening point difference was utilized as an evaluation index. The stability test results are displayed in Figure 2b. As displayed in Figure 2b, the softening point difference of SK-NA was 0.45 °C. With the increases in UHMWPE dosage, the softening point difference of UCA gradually decreased. When the CSO dosage was 5%, the softening point difference of UCA was lower than that of SK-NA. However, the softening point difference of UCA increased when the CSO dosage was increased from 5% to 10%. Compared to SK-NA, the softening point differences of UCA 2–10 and UCA 3–10 were increased by 0.2 °C and 0.1 °C. The segregation test results indicate that the UCA maintained good stability.
3.1.2. Penetration
Penetration is a routine index for assessing the consistency of asphalt, in which a higher value means the binder is softer. Figure 3 presents the penetration of SK-NA and UCA. The penetration was tested at 25 °C, near the average service temperature. As detailed in Figure 3, there was a strong correlation between the penetration of UCA and the dosage amount of UHMWPE. The penetration decreased as more UHMWPE was blended with the UCA, indicating that UHMWPE could ameliorate the CSO bio-asphalt stiffness. By contrast with SK-NA, the penetration of UCA 2–5, UCA 3–5, and UCA 4–5 increased by 5.48%, −5.62%, and −15.17%, respectively. There was a noticeable rise in the penetration of UCA as the CSO dosage was changed from 5% to 10%. This illustrates that CSO can soften the UCA and reduce its consistency.
Figure 3.
Penetration of UCA and SK-NA.
We can see that the penetration grade of UCA has not changed and still belongs to 70# (penetration between 60 and 80) asphalt. Therefore, in terms of penetration, we suggest that the dosage of CSO and UHMWPE in UCA should be 5–10% and 2–4%, respectively.
3.1.3. Ductility
A ductility test measures the ability of asphalt to be stretched or drawn without breaking. This test was conducted to measure the tensile properties and evaluate the compatibility of the binder. The ductility results are given in Figure 4. It is worth noting that the ductility of UCA was significantly improved. Compared to the results of Figure 4, the ductility of UCA 2–5, UCA 3–5, and UCA 4–5 increased by 45.4%, 66.98%, and 105.4%, respectively. Moreover, when the CSO dosage increased to 10%, the ductility of UCA continued to increase. Significantly, the ductility of UCA 4–10 was enhanced by 155.87% compared with SK-NA. The UCA’s ductility increase will reduce the possibility of cracking of the asphalt pavement at low in-service temperatures. This is mainly due to the dual roles of CSO and UHMWPE. On the one hand, CSO could increase the oil content in UCA. On the other hand, UHMWPE swelled in SK-NA during the preparation at high temperatures, thus strengthening the toughness and resistance to deformation of UCA. UHMWPE and CSO significantly increase the tensile properties of UCA.
Figure 4.
Ductility of UCA and SK-NA.
3.1.4. Viscosity
The asphalt viscosity at 135 °C is near the mixing and laydown temperature for HMA. Viscosity is vital for HMA construction. It can determine the mixing and compaction range of HMA. In terms of performance, the viscosity reflects the high-temperature properties of the asphalt. The viscosity experiment results are given in Figure 5. As seen from Figure 5, when more UHMWPE was blended into the CSO bio-asphalt, the viscosity of UCA gradually increased. Compared to the UCA 2–5 viscosity, that of UCA 3–5 and UCA 4–5 increased by 9.07% and 16.37%, respectively. When a 10% dosage of CSO was blended with asphalt, the viscosity was obviously reduced. The UCA 2–10 viscosity was decreased by 14.8% compared with UCA 2–5.
Figure 5.
Viscosity test at 135 °C.
As reported in Figure 5, merely three kinds of UCA exceeded SK-NA viscosity. They are UCA 3–5, UCA 4–5, and UCA 4–10, respectively. Therefore, considering the results of Figure 5 separately, it is suggested that when the dosage of CSO is 5%, the UHMWPE dosage is 3–4%. It is recommended that the dosage of CSO is 10% and the dosage of UHMWPE is 4%.
3.1.5. Summary of Conventional Performance
The softening point and viscosity of UCA are enhanced with a UHMWPE dosage increase. Its ductility and deformation ability increase at 5 °C. Because of the composite modification of CSO and UHMWPE, UCA’s high- and low-temperature properties are satisfactorily strengthened. Asphalt performance improves because of the light fraction contained in CSO, which increases the oil content in UCA and ameliorates its tensile properties. Meanwhile, UHMWPE is melted in CSO bio-asphalt, and UHMWPE can form a compact and robust network structure in UCA [21]. These lead to dramatic stiffness and toughness enhancements in UCA. The dosages of UHMWPE and CSO in UCA are listed in Table 5 based on conventional performance. In order to make sure the UCA properties were better than SK-NA, the UHMWPE dosage was 3–4%, while the CSO dosage was 5%. The UHMWPE dosage was 4% when the CSO dosage was 10%.
Table 5.
The preparation scheme of UCA is based on conventional performance.
3.2. Rheological Performance of Modified Asphalt
3.2.1. TS Test
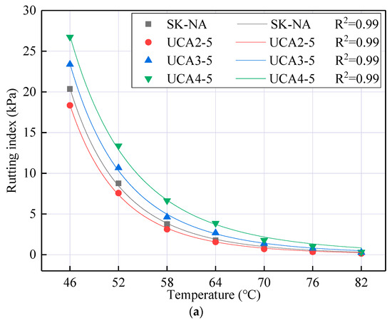
In a high-temperature environment, asphalt is a viscous fluid. The higher the temperature, the lower the viscosity, and the asphalt emerges with superior fluidity [38]. A TS test can reflect the rheological properties of asphalt. The rutting index () of the TS test results reveals the high-temperature performance of UCA. The bigger , the inferior flow performance of asphalt, indicating satisfactory deformation resistance. Figure 6 lists the TS test results. As detailed in Figure 6, the and temperature are fitted for the asphalt, and the R2 is 0.99. This exhibits good relevance between and temperature.

Figure 6.
TS test results: (a) CSO dosage 5%; (b) CSO dosage 10%.
We can note that the of UCA rose, while the UHMWPE dosage increased. When the TS temperature was 64 °C, the values of UCA 2–5, UCA 3–5, and UCA 4–5 were 1.564 kPa, 2.674 kPa, and 3.861 kPa, which increased by −11.25%, 51.72%, and 119.07% compared to those of SK-NA. UCA 2–5’s high-temperature performance was inferior to that of SK-NA. However, the values of UCA 3–5 and UCA 4–5 were superior to the those of the contrast test, proving that UHMWPE could strengthen the shear deformation resistance of the CSO bio-asphalt. When the CSO dosage of UCA rose to 10%, the 64 °C values of UCA 2–10, UCA 3–10, and UCA 4–10 were 1.2348 kPa, 1.6842 kPa, and 2.9945 kPa, which increased by −29.94%, −4.44%, and 69.91% compared to those of SK-NA. The rutting index of UCA 3–10 was the same as that of the contrast test. Furthermore, the high-temperature properties of UCA 4–10 were outstanding. This also proved that the UHMWPE dosage must be higher than 3% when the CSO dosage is 10%. Comparing the data in Figure 6a,b, it is not difficult to find that the UCA decreased with the increase in CSO dosage. The CSO could overcome the high-temperature rheological behavior.
The above TS analysis recommends that the UHMWPE dosage be higher than 3% when the CSO dosage is 5–10%. UCA 3–5, UCA 4–5, and UCA 4–10 have superior high-temperature rheological behavior, indicating that CSO and UHMWPE jointly provide favorable modification. This is mainly due to UHMWPE, as a polymer, having good compatibility and forming a stable network structure with CSO bio-asphalt [16]. The strengthening of the UCA microstructure resulted in a satisfactory amelioration in its performance.
3.2.2. MSCR Test
The MSCR test evaluates the rheological behavior of asphalt by applying repeated cycle loads to aged asphalt specimens. MSCR tests were performed at 58 °C. Recovery rate (R) and Jnr are crucial evaluation indexes of this test, and precisely reflect the service state of an asphalt pavement under actual load [39]. R reflects the recoverability of the asphalt binder. Jnr reflects the resistance against rutting deformation of the asphalt binder. Generally speaking, the larger the R demonstrated, the stronger the elastic recovery behavior of the asphalt sample, and the smaller the Jnr, the better the rutting deformation resistance of the asphalt sample. The MSCR test results are exhibited in Figure 7.
Figure 7.
MSCR test result: (a) 0.1 kPa; (b) 3.2 kPa.
As detailed in Figure 7, whatever the stress level, it can be noted that increasing the UHMWPE dosage or decreasing the dosage of CSO will decrease the high-temperature behavior of UCA.
Under stress of 0.1 kPa, in comparison to SK-NA, the R values of the UCA 2–5, UCA 3–5, and UCA 4–5 samples containing 5% CSO increased by −18.56%, 14.96%, and 38.93%, respectively. Under stress of 3.2 kPa, the R containing 5% CSO increased by −43.34%, 11.45%, and 16.91%, respectively. Under stress of 0.1 kPa, the Jnr values of UCA 2–5, UCA 3–5, and UCA 4–5 were 1.212 kPa, 0.937 kPa, and 0.761 kPa, which decreased by −2.86%, 19.7%, and 34.79% compared to the contrast test. Under stress of 3.2 kPa, Jnr reduced by −5.51%, 15.43%, and 27.07%, respectively. The above analysis suggests that the creep recovery ability and anti-rutting properties of UCA decrease at high stress levels. We can conclude that the UHMWPE dosage should be 3–4% when the CSO dosage is 5%.
When the CSO dosage is 10%, the changing trend of MSCR results in a UCA similar to that with a CSO dosage of 5%. In order to ensure that the MSCR results of UCA containing 10% CSO are superior to those of the contrast test, it is recommended that the dosage of UHMWPE is 4%.
Analyzing the TS and MSCR test results of UCA, it can be concluded that the UHMWPE dosage is 3–4%, and the CSO dosage is 5%. When the CSO dosage is increased to 10%, the UHMWPE dosage is 4%. Only in this way can UCA exhibit excellent high-temperature rheological properties.
3.2.3. BBR Test
When the temperature drops suddenly or in a very low-temperature environment, asphalt will generate temperature stress, leading to cracking on the pavement surface. This will affect the pavement’s service state and lifespan [40]. The BBR test can determine the low-temperature cracking resistance of asphalt. The stiffness modulus (S) and m-value are taken as evaluation criteria. Generally speaking, the S must be less than 300 MPa, and the m-value must be higher than 0.3. The BBR results are given in Figure 8.

Figure 8.
BBR test result: (a) stiffness modulus; (b) m-value.
As listed in Figure 8a, S gradually rose with the increase in UHMWPE dosage. However, there was an inevitable reduction in S when the CSO dosage increased to 10%. The higher dosage of UHMWPE made the asphalt more susceptible to temperature stress. This indicated that UHMWPE would affect the low-temperature crack resistance of UCA. CSO contains more light substances and oil, which can effectively reduce the generation of temperature stress. At the same BBR test temperature, the S of the modified asphalt was lower than that of the SK-NA. It can be seen in Figure 8b that the m-value of UCA was higher than 0.3 at −18 °C. When the BBR test temperature was decreased to −24 °C, only the m-value of UCA 2–10 met the specification.
As shown in Figure 8, when the BBR test temperature was −18 °C, the BBR results of SK-NA and UCA results satisfied the requirements. When the test temperature was decreased to −24 °C, the S values of UCA was all higher than 300 MPa, and the m-value was lower than 0.3. It is worth mentioning that the S and m-values of UCA were better than those of the contrast test. One can conclude that the low-temperature rheological behavior of UCA is superior to that of SK-NA. A high dosage of CSO will ameliorate the low-temperature behavior of UCA. The CSO will weaken the high-temperature behavior to a certain extent. Considering the BBR test results alone, it is appropriate that the UHMWPE dosage is 2–4% when the CSO dosage is 5–10%.
3.3. Optimal Preparation Scheme of UCA
The recommended UHMWPE and CSO dosages for each test are summarized in Table 6. We considered UCA’s conventional and rheological behavior and determined the dosage of UHMWPE and CSO in UCA. As detailed in Table 6, each test’s recommended amounts were considered. In order to make sure the UCA properties were better than those of the SK-NA, the preparation scheme of UCA was obtained. When the dosage of CSO is 5%, the recommended dosage of UHMWPE is 3–4%. However, when the dosage of CSO is 10%, the recommended dosage of UHMWPE is 4%.
Table 6.
The preparation scheme of UCA.
3.4. Morphology Characteristics
3.4.1. SEM
We used a scanning electron microscope to scan the different types of asphalt and observed the micro-properties. The SEM images of the asphalt are visible in Figure 9.
Figure 9.
SEM images: (a) SK-NA; (b) CSO bio-asphalt; (c) UHMWPE-modified SK asphalt; (d) UCA.
As seen in Figure 9a, the microstructure surface of SK-NA did not present wrinkles. After blending CSO in SK-NA, smooth wrinkles appeared in the CSO bio-asphalt, as displayed in Figure 9b. Meanwhile, its SEM image became darker, which was caused by CSO [41]. The cross-linked molecular structure of the UHMWPE-modified SK asphalt can be seen in Figure 9c. UHMWPE powder was melted and cross-linked with SK-NA during high-temperature preparation to shape the stable cross-linked structure. This demonstrates that UHMWPE could influence the properties of asphalt. However, the cross-linked structure changed after blending UHMWPE with CSO bio-asphalt, as presented in Figure 9d. This phenomenon may be due to the adsorption of CSO by the reticular structure.
3.4.2. FM
Poor solubility occurs between polymers and asphalt, which results in drawbacks correlated with the properties of the modified asphalt. It is necessary to investigate the compatibility of UHMWPE and CSO in asphalt. The FM images exhibit the morphology between the modifier and SK-NA. Moreover, the FM images of SK-NA, CSO bio-asphalt, UHMWPE-modified SK-NA, and UCA are exhibited in Figure 10.
Figure 10.
FM images: (a) SK-NA and CSO bio-asphalt; (b) UHMWPE-modified SK-NA; (c) UCA.
The SK-NA and CSO bio-asphalt did not appear as fluorescent substances [41]. So, Figure 10a was used to display their microscopic morphology. Figure 10b shows the UHMWPE-modified SK-NA morphology. Many fluorescent substances can be seen in Figure 10b. Compared with Figure 10a, it is presumed that the UHMWPE polymer exhibits fluorescence characteristics. The morphology of UCA is given in Figure 10c. It can be noted that many fluorescent spots appear, and they are evenly distributed. This is because the compositions of CSO and SK-NA are similar, and polymer macromolecules can be dispersed in CSO. UHMWPE appears in UCA as a small-molecular-weight solvent. UHMWPE and CSO change the morphology of asphalt, which leads to the improvement of its performance.
3.5. Economic Analysis
In order to compare the economic benefits of bio-asphalt, the raw material costs of the modified asphalt were calculated. The prices of SK-NA, CSO, and UHMWPE are 5000 CNY/ton, 1000 CNY/ton, and 15,000 CNY/ton. The raw material costs of UCA are displayed in Table 7.
Table 7.
The raw material costs of UCA.
As displayed in Table 7, the raw material costs of UCA 2–10 and UCA 3–10 were lower than that of SK-NA. With the increase in CSO dosage, there was a significant decrease in the cost of UCA. The high price of UHMWPE increased the cost of UCA. UCA 4–5 had the highest price of 5201.4 CNY/ton. Compared to SK-NA, the UCA 4–5 prices increased by 4.028%. UCA 3–5, UCA 4–5, and UCA 4–10 were slightly more expensive than SK-NA, but their conventional and rheological properties were significantly improved. Meanwhile, CSO was used for modified asphalt. The efficient utilization of waste resources generates positive environmental benefits.
4. Conclusions
In order to develop the utilization of CSO and UHMWPE in road engineering, UCA was prepared in this paper. We conducted a series of laboratory tests to study its performance. These experiments included conventional property, rheological behavior, and morphology characteristic tests. We comprehensively analyzed these properties and recommended the optimal preparation scheme for UCA. In summary, we draw the following conclusions.
- (1)
- The softening point and viscosity of UCA are enhanced with an increase in the UHMWPE dosage. Its ductility and deformation ability increase at 5 °C. The high- and low-temperature properties of UCA are obviously strengthened. Asphalt performance improves because of the light fraction contained in CSO, which increases the oil content in UCA and ameliorates its tensile properties. UHMWPE can form a compact and robust network structure in UCA. These lead to dramatic stiffness and toughness enhancements in UCA.
- (2)
- UCA 3–5, UCA 4–5, and UCA 4–10 have superior high-temperature rheological behavior, indicating that CSO and UHMWPE jointly provide favorable modification. This is mainly due to UHMWPE, as a polymer, having good compatibility and forming a stable network structure with CSO bio-asphalt. The MSCR test suggests that UCA’s creep recovery ability and anti-rutting properties decrease at a high-stress level. The low-temperature rheological behavior of UCA is superior to that of SK-NA. The high dosage of CSO will ameliorate the low-temperature behavior of UCA but will weaken its high-temperature behavior to a certain extent.
- (3)
- The recommended UHMWPE and CSO dosages for each test are summarized. When the dosage of CSO is 5%, the recommended dosage of UHMWPE is 3–4%. However, when the dosage of CSO is 10%, the recommended dosage of UHMWPE is 4%.
- (4)
- UHMWPE powder is melted and cross-linked with SK-NA during high-temperature preparation to shape the stable cross-linked structure. After blending UHMWPE with CSO bio-asphalt, the cross-linked structure is changed. This phenomenon may be due to the adsorption of CSO by the reticular structure. The UHMWPE polymer exhibits fluorescence characteristics. The UHMWPE polymer macromolecules can be dispersed in CSO. UHMWPE appears in UCA as a small-molecular-weight solvent. UHMWPE and CSO change the morphology of asphalt, which leads to the improvement of its performance.
Author Contributions
J.L.: methodology, conceptualization, writing—reviewing and editing, validation, formal analysis. C.L.: methodology, formal analysis, investigation, supervision, writing—reviewing and editing. J.J.: software, validation, formal analysis. H.C.: visualization, writing—reviewing and editing. All authors have read and agreed to the published version of the manuscript.
Funding
This research received no external funding.
Data Availability Statement
Some or all data, models, and code generated or used during this study are available from the corresponding author upon request.
Conflicts of Interest
The authors declare no conflict of interest.
References
- Liu, H.; Zhang, Z.; Xie, J.; Gui, Z.; Li, N.; Xu, Y. Analysis of OMMT strengthened UV aging-resistance of Sasobit/SBS modified asphalt: Its preparation, characterization and mechanism. J. Clean. Prod. 2021, 315, 128139. [Google Scholar] [CrossRef]
- Gupta, A.; Lastra-Gonzalez, P.; Rodriguez-Hernandez, J.; González González, M.; Castro-Fresno, D. Critical assessment of new polymer-modified bitumen for porous asphalt mixtures. Constr. Build. Mater. 2021, 307, 124957. [Google Scholar] [CrossRef]
- Viscione, N.; Veropalumbo, R.; Oreto, C.; Biancardo, S.A.; Abbondati, F.; Russo, F. Additional procedures for characterizing the performance of recycled polymer modified asphalt mixtures. Measurement 2022, 187, 110238. [Google Scholar] [CrossRef]
- Duarte, G.M.; Faxina, A.L. Asphalt concrete mixtures modified with polymeric waste by the wet and dry processes: A literature review. Constr. Build. Mater. 2021, 312, 125408. [Google Scholar] [CrossRef]
- Sahebzamani, H.; Zia Alavi, M.; Farzaneh, O.; Moniri, A. Laboratory and field investigation of the effect of polymerized pellets on the fatigue and low-temperature performance of asphalt mixtures. Constr. Build. Mater. 2022, 323, 126527. [Google Scholar] [CrossRef]
- Mashaan, N.S.; Chegenizadeh, A.; Nikraz, H.; Rezagholilou, A. Investigating the engineering properties of asphalt binder modified with waste plastic polymer. Ain Shams Eng. J. 2021, 12, 1569–1574. [Google Scholar] [CrossRef]
- Paul, D.; Pal, M.; Majumdar, K.; Suresh, M. Effect of rubber polymeric materials on moisture susceptibility of asphalt mixtures: Optimization and evaluation study. Mater. Today Proc. 2022, 57, 454–459. [Google Scholar] [CrossRef]
- Yan, C.; Huang, W.; Ma, J.; Xu, J.; Lv, Q.; Lin, P. Characterizing the SBS polymer degradation within high content polymer modified asphalt using ATR-FTIR. Constr. Build. Mater. 2020, 233, 117708. [Google Scholar] [CrossRef]
- Wang, S.; Huang, W.; Kang, A. Laboratory evaluation of the properties of high-cured crumb rubber modified asphalt containing sulfur and polymer after the oxidative aging procedure. Constr. Build. Mater. 2021, 304, 124611. [Google Scholar] [CrossRef]
- Tang, N.; Huang, W.; Hao, G. Effect of aging on morphology, rheology, and chemical properties of highly polymer modified asphalt binders. Constr. Build. Mater. 2021, 281, 122595. [Google Scholar] [CrossRef]
- Al-Gurah, E.R.; Al-Humeidawi, B.H. Assessment of performance of hot mix asphalt contained various types of mineral fillers and newly polymer modified bitumen. Mater. Today Proc. 2021, 80, 3877–3886. [Google Scholar] [CrossRef]
- Vamegh, M.; Ameri, M.; Chavoshian Naeni, S.F. Experimental investigation of effect of PP/SBR polymer blends on the moisture resistance and rutting performance of asphalt mixtures. Constr. Build. Mater. 2020, 253, 119197. [Google Scholar] [CrossRef]
- Daryaee, D.; Ameri, M.; Mansourkhaki, A. Utilizing of waste polymer modified bitumen in combination with rejuvenator in high reclaimed asphalt pavement mixtures. Constr. Build. Mater. 2020, 235, 117516. [Google Scholar] [CrossRef]
- Ren, S.; Liu, X.; Wang, H.; Fan, W.; Erkens, S. Evaluation of rheological behaviors and anti-aging properties of recycled asphalts using low-viscosity asphalt and polymers. J. Clean. Prod. 2020, 253, 120048. [Google Scholar] [CrossRef]
- Al-Ghurabi, S.B.; Al-Humeidawi, B.H. Evaluation of performance of hot mix asphalt contained various sizes of Reclaim asphalt pavement and polymer modified Bitumen. Mater. Today Proc. 2021, 80, 2905–2910. [Google Scholar] [CrossRef]
- Sauer, W.L.; Weaver, K.D.; Beals, N.B. Fatigue performance of ultra-high-molecular-weight polyethylene: Effect of gamma radiation sterilization. Biomaterials 1996, 17, 1929–1935. [Google Scholar] [CrossRef] [PubMed]
- Chagas, N.P.d.S.; Aguiar, V.d.O.; Garcia Filho, F.d.C.; Figueiredo, A.B.-H.d.S.; Monteiro, S.N.; Huaman, N.R.C.; Marques, M.d.F.V. Ballistic performance of boron carbide nanoparticles reinforced ultra-high molecular weight polyethylene (UHMWPE). J. Mater. Res. Technol. 2022, 17, 1799–1811. [Google Scholar] [CrossRef]
- Cha, J.-H.; Kumar Sarath Kumar, S.; Noh, J.-E.; Choi, J.-S.; Kim, Y.; Kim, C.-G. Ultra-high-molecular-weight polyethylene/hydrogen-rich benzoxazine composite with improved interlaminar shear strength for cosmic radiation shielding and space environment applications. Compos. Struct. 2022, 300, 116157. [Google Scholar] [CrossRef]
- Alaferdov, A.V.; Lebedev, O.V.; Roggero, U.F.S.; Hernandez-Figueroa, H.E.; Nista, S.V.G.; Trindade, G.M.; Danilov, Y.A.; Ozerin, A.N.; Moshkalev, S.A. Highly conductive nanographite/ultra-high-molecular-weight polyethylene composite. Results Mater. 2022, 15, 100298. [Google Scholar] [CrossRef]
- Yang, H.; Yilmaz, G.; Jiang, J.; Xie, J.; Langstraat, T.; Chu, R.; van Es, M.; Garg, P.; Turng, L.-S. Pelletizing ultra-high molecular weight polyethylene (UHMWPE) powders with a novel tapered die and addition of high density polyethylene (HDPE): Processing, morphology, and properties. Polymer 2022, 256, 125171. [Google Scholar] [CrossRef]
- Hossein Hamedi, G.; Ghalandari Shamami, K.; Mazhari Pakenari, M. Effect of ultra-high-molecular-weight polyethylene on the performance characteristics of hot mix asphalt. Constr. Build. Mater. 2020, 258, 119729. [Google Scholar] [CrossRef]
- Ju, Z.; Ge, D.; Wu, Z.; Xue, Y.; Lv, S.; Li, Y.; Fan, X. The performance evaluation of high content bio-asphalt modified with polyphosphoric acid. Constr. Build. Mater. 2022, 361, 129593. [Google Scholar] [CrossRef]
- Lv, S.; Ju, Z.; Peng, X.; Cabrera, M.B.; Wang, Z.; Jiang, Y.; Long, H. Preparation and Performance of Polyphosphoric Acid/Bio-oil Composite Modified Asphalt Containing a High Content Bio-oil. J. Mater. Civ. Eng. 2021, 34, 04021484. [Google Scholar] [CrossRef]
- Wang, F.; Huang, T.; Xin, G.; Mu, M.; Shen, Q. Study on Conventional and Rheological Properties of Corn Stalk Bioasphalt/PPA Composite Modified Asphalt. Adv. Civ. Eng. 2021, 2021, 7928189. [Google Scholar] [CrossRef]
- Wen, H.; Bhusal, S.; Wen, B. Laboratory Evaluation of Waste Cooking Oil-Based Bioasphalt as an Alternative Binder for Hot Mix Asphalt. J. Mater. Civ. Eng. 2013, 25, 1432–1437. [Google Scholar] [CrossRef]
- Deng, M.; Cao, X.; Li, Z.; Li, X.; Yang, X.; Tang, B. Investigating properties and intermolecular interactions of sludge bio-oil modified asphalt. J. Mol. Liq. 2022, 360, 119415. [Google Scholar] [CrossRef]
- Al-Sabaeei, A.M.; Napiah, M.B.; Sutanto, M.H.; Rahmad, S.; Yusoff, N.I.M.; Alaloul, W.S. Determination of rheological properties of bio-asphalt binders through experimental and multilayer feed-forward neural network methods. Ain Shams Eng. J. 2021, 12, 3485–3493. [Google Scholar] [CrossRef]
- Al-Sabaeei, A.M.; Napiah, M.; Sutanto, M.; Alaloul, W.; Md Yusoff, N.I.; Imran Khan, M.; Modibbo Saeed, S. Physicochemical, rheological and microstructural properties of Nano-Silica modified Bio-Asphalt. Constr. Build. Mater. 2021, 297, 123772. [Google Scholar] [CrossRef]
- Dewajani, H.; Zamrudy, W.; Irfin, Z.; Ningtyas, D.; Mujibur Ridlo, N. Utilization of Indonesian sugarcane bagasse into bio asphalt through pyrolysis process using zeolite-based catalyst. Mater. Today Proc. 2023, 87, 383–389. [Google Scholar] [CrossRef]
- Lyu, L.; Pei, J.; Hu, D.; Sun, G.; Fini, E.H. Bio-modified rubberized asphalt binder: A clean, sustainable approach to recycle rubber into construction. J. Clean. Prod. 2022, 345, 131151. [Google Scholar] [CrossRef]
- Lyu, L.; Mikhailenko, P.; Piao, Z.; Fini, E.H.; Pei, J.; Poulikakos, L.D. Unraveling the modification mechanisms of waste bio-oils and crumb rubber on asphalt binder based on microscopy and chemo-rheology. Resour. Conserv. Recycl. 2022, 185, 106447. [Google Scholar] [CrossRef]
- Jiang, X.; Li, P.; Ding, Z.; Yue, L.; Li, H.; Bing, H.; Zhang, J. Physical, chemical and rheological investigation and optimization design of asphalt binders partially replaced by bio-based resins. Constr. Build. Mater. 2022, 350, 128845. [Google Scholar] [CrossRef]
- Zheng, W.; Wang, H.; You, Z.; Shao, L.; Golroo, A.; Chen, Y. Mechanism and rheological characterization of MDI modified Wood-Based Bio-Oil asphalt. Constr. Build. Mater. 2021, 309, 125113. [Google Scholar] [CrossRef]
- Yang, X.; Liu, G.; Rong, H.; Meng, Y.; Peng, C.; Pan, M.; Ning, Z.; Wang, G. Investigation on mechanism and rheological properties of Bio-asphalt/PPA/SBS modified asphalt. Constr. Build. Mater. 2022, 347, 128599. [Google Scholar] [CrossRef]
- Zhang, X.; Zhang, K.; Wu, C.; Liu, K.; Jiang, K. Preparation of bio-oil and its application in asphalt modification and rejuvenation: A review of the properties, practical application and life cycle assessment. Constr. Build. Mater. 2020, 262, 120528. [Google Scholar] [CrossRef]
- Zhang, Z.; Fang, Y.; Yang, J.; Li, X. A comprehensive review of bio-oil, bio-binder and bio-asphalt materials: Their source, composition, preparation and performance. J. Traffic Transp. Eng. (Engl. Ed.) 2022, 9, 151–166. [Google Scholar] [CrossRef]
- Wang, L.; Si, B.; Han, X.; Yi, W.; Li, Z.; Zhang, A. Study on the effect of red mud and its component oxides on the composition of bio-oil derived from corn stover catalytic pyrolysis. Ind. Crops Prod. 2022, 184, 114973. [Google Scholar] [CrossRef]
- Padhan, R.K.; Sreeram, A. Enhancement of storage stability and rheological properties of polyethylene (PE) modified asphalt using cross linking and reactive polymer based additives. Constr. Build. Mater. 2018, 188, 772–780. [Google Scholar] [CrossRef]
- Lv, S.; Liu, J.; Peng, X.; Liu, H.; Hu, L.; Yuan, J.; Wang, J. Rheological and microscopic characteristics of bio-oil recycled asphalt. J. Clean. Prod. 2021, 295, 126449. [Google Scholar] [CrossRef]
- Chaihad, N.; Karnjanakom, S.; Abudula, A.; Guan, G. Zeolite-based cracking catalysts for bio-oil upgrading: A critical review. Resour. Chem. Mater. 2022, 1, 167–183. [Google Scholar] [CrossRef]
- Huang, T.; He, H.; Zhang, P.; Lv, S.; Jiang, H.; Liu, H.; Peng, X. Laboratory investigation on performance and mechanism of polyphosphoric acid modified bio-asphalt. J. Clean. Prod. 2022, 333, 130104. [Google Scholar] [CrossRef]
Disclaimer/Publisher’s Note: The statements, opinions and data contained in all publications are solely those of the individual author(s) and contributor(s) and not of MDPI and/or the editor(s). MDPI and/or the editor(s) disclaim responsibility for any injury to people or property resulting from any ideas, methods, instructions or products referred to in the content. |
© 2023 by the authors. Licensee MDPI, Basel, Switzerland. This article is an open access article distributed under the terms and conditions of the Creative Commons Attribution (CC BY) license (https://creativecommons.org/licenses/by/4.0/).











