Deformation Analysis and Reinforcement Effect of Tunnel Pile Excavation of a Subway Station in a Weak Stratum
Abstract
1. Introduction
2. Engineering Case
2.1. Engineering Overview and Difficulties
2.2. Geological Engineering Condition
2.3. Research Case
2.4. Reinforcement Scheme
3. MJS Pile Diameter
3.1. Circular Free Turbulence Theory
3.2. MJS Pile Diameter Derivation
4. Field Monitoring and Finite Element Analysis
4.1. Location of Monitoring Points
4.2. Finite Element Model
4.2.1. Basic Assumptions and Boundary Conditions
- (1)
- Field groundwater is not abundant, so the finite element analysis ignores the infiltration of groundwater;
- (2)
- Uniform horizontal distribution between soil layers;
- (3)
- Materials are isotropic and homogeneous;
- (4)
- The modified Mohr–Coulomb constitutive is used for soil, and the elastic constitutive is used for concrete;
- (5)
- The time effect of concrete from initial setting to expected strength is not considered;
- (6)
- Soil–structure interaction is considered.
4.2.2. Finite Element Parameters
4.2.3. Simulation of Construction Stage
- (1)
- Initial stress field (activate soil, load, and boundary conditions and set deformation clearing);
- (2)
- MJS pile reinforcement treatment simulation (study of the reinforcement effect) in which a total of two kinds of MJS pile are set up, with an outer diameter of 2 m and an inner diameter of 1.5 m;
- (3)
- Pilot hole excavation simulation (excavation according to the site construction plan, digging 1 m per day) starting with the first pilot hole excavation, followed by the right pilot hole excavation, and finally the left pilot hole excavation, a total of 45 construction steps.
5. Results Analysis
5.1. Field Monitoring Results
5.1.1. Longitudinal Settlement Analysis
5.1.2. Lateral Settlement Analysis
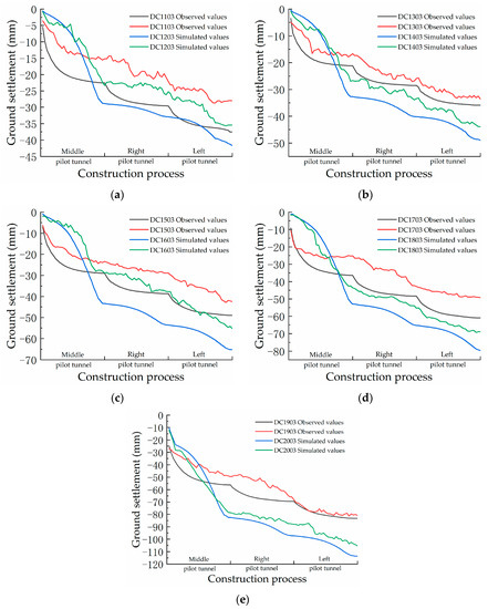
5.2. Comparative Analysis of Monitoring and Simulation Data
5.3. MJS Method Pile Reinforcement Effect
5.3.1. Longitudinal Soil Settlement
5.3.2. Lateral Surface Deformation
6. Conclusions
- (1)
- The greater the thickness of the plastic residual soil, the more unstable the ground surface caused by the excavation of the hole pile excavation method, the greater the settlement, and the greater the risk of collapse. The tunnel vault is located under the weak stratum, and the surface deformation is within the control value, so it does not need to be reinforced. The surface settlement of the whole tunnel section in the soft stratum is the fastest. The settlement is the largest, so the whole tunnel section in South China is in the thickness of plastic residual soil. It is necessary to go through the foundation reinforcement treatment before the next construction.
- (2)
- By comparing the monitoring value and the simulated value, it can be found that the surface deformation of the excavation of the pilot tunnel in the middle is obviously larger than that of the excavation of the pilot tunnel on both sides. After the primary stress release of the plastic residual soil, the amount of surface loss caused by the secondary stress release will be smaller. Therefore, by controlling the surface settlement of the central pilot tunnel, the total surface settlement can be controlled.
- (3)
- The MJS oblique jet grouting pile can reduce more than 50% of the deformation; the greater the thickness of the weak layer, the more obvious the effect, and eventually can reduce the settlement warning value. At the same time, in the formation process of the MJS pile, the plastic residual soil is squeezed, which improves the mechanical properties of the soil and is beneficial to controlling the deformation. Therefore, the oblique jet pile technology of the MJS construction method has a good reinforcing effect on the plastic residual soil.
Author Contributions
Funding
Data Availability Statement
Conflicts of Interest
References
- Ajay, P.; Nagaraj, B.; Pillai, B.M.; Suthakorn, J.; Bradha, M. Intelligent ecofriendly transport management system based on IoT in urban areas. Environ. Dev. Sustain. 2022. [Google Scholar] [CrossRef]
- Guo, X.; Jiang, A. Study on the stability of a large-span subway station constructed by combining with the shaft and arch cover method. Tunn. Undergr. Space Technol. 2022, 127, 104582. [Google Scholar] [CrossRef]
- Cao, X.; Schoner, J. The influence of light rail transit on transit use: An exploration of station area residents along the Hiawatha line in Minneapolis. Transp. Res. Part A-Policy Pract. 2014, 59, 134–143. [Google Scholar] [CrossRef]
- Avunduk, E.; Copur, H. Effect of Clogging on EPB TBM Performance: A Case Study in Akfirat Waste Water Tunnel, Turkey. Geotech. Geol. Eng. 2019, 37, 4789–4801. [Google Scholar] [CrossRef]
- Bernat, S.; Cambou, B. Soil-structure interaction in shield tunnelling in soft soil. Comput. Geotech. 1998, 22, 221–242. [Google Scholar] [CrossRef]
- Gao, F.; Li, Z.F.; Yang, K.W.; Chen, Y.M.; Bian, X.C. Shield tunneling-induced disturbance in soft soil. Transp. Geotech. 2023, 40, 100971. [Google Scholar] [CrossRef]
- Olsen, T.; Kasper, T.; de Wit, J. Immersed tunnels in soft soil conditions experience from the last 20 years. Tunn. Undergr. Space Technol. 2022, 121, 104315. [Google Scholar] [CrossRef]
- Yu, L.; Zhang, D.; Fang, Q.; Cao, L.; Xu, T.; Li, Q. Surface settlement of subway station construction using pile-beam-arch approach. Tunn. Undergr. Space Technol. 2019, 90, 340–356. [Google Scholar] [CrossRef]
- Nguyen, X.L.; Wu, L.; Nguyen, K.T.; Bui, Q.A. Application research of high pressure jet grouting pile in an underground engineering in Vietnam. Arch. Civ. Eng. 2020, 66, 575–593. [Google Scholar] [CrossRef]
- Modoni, G.; Bzowka, J. Analysis of Foundations Reinforced with Jet Grouting. J. Geotech. Geoenviron. Eng. 2012, 138, 1442–1454. [Google Scholar] [CrossRef]
- Burke, G.K. Jet grouting systems: Advantages and disadvantages. In Proceedings of the GeoSupport Conference 2004, Orlando, FL, USA, 29 December 2004; pp. 875–886. [Google Scholar] [CrossRef]
- Nakashima, K.; Kashima, T.; Sakuma, T.; Murakami, T. Applications of MJS Method (Metro Jet System)—All-around Type Reinforcing and Consolidating Method in the Ground. Available online: https://jglobal.jst.go.jp/detail?JGLOBAL_ID=201002196477516747 (accessed on 1 January 1996).
- Yang, Y.B.; Li, J.S.; Liu, C.; Ma, J.J.; Zheng, S.; Chen, W. Influence of deep excavation on adjacent bridge piles considering underlying karst cavern: A case history and numerical investigation. Acta Geotech. 2022, 17, 545–562. [Google Scholar] [CrossRef]
- Liu, X.; Liu, Y.; Qu, W.; Tu, Y. Internal force calculation and supporting parameters sensitivity analysis of side piles in the subway station excavated by Pile-Beam-Arch method. Tunn. Undergr. Space Technol. 2016, 56, 186–201. [Google Scholar] [CrossRef]
- Chen, R.P.; Lin, X.T.; Kang, X.; Zhong, Z.Q.; Liu, Y.; Zhang, P.; Wu, H.N. Deformation and stress characteristics of existing twin tunnels induced by close-distance EPBS under-crossing. Tunn. Undergr. Space Technol. 2018, 82, 468–481. [Google Scholar] [CrossRef]
- Oda, K.; Kaji, S.; Nakajima, K.; Nakagawa, K. Horizontal Jet-mixing method for ground Improvement. In Soft Soil Engineering; Routledge: London, UK, 25 October 2017; pp. 483–488. [Google Scholar] [CrossRef]
- Fan, H.; Xu, Q.; Lai, J.; Liu, T.; Zhu, Z.; Zhu, Y.; Gao, X. Stability of the loess tunnel foundation reinforced by jet grouting piles and the influence of reinforcement parameters. Transp. Geotech. 2023, 40, 100965. [Google Scholar] [CrossRef]
- Li, Z.; Lv, J.; Xie, X.; Fu, H.; Huang, J.; Li, Z. Mechanical characteristics of structures and ground deformation caused by shield tunneling under-passing highways in complex geological conditions based on the MJS method. Appl. Sci. 2021, 11, 9323. [Google Scholar] [CrossRef]
- Cherlo, M.A.; Hashemolhosseini, H.; Cheraghi, M.; Mahdevari, S. Feasibility evaluation for excavation of Naghshe Jahan Square subway station by underground methods. J. Rock Mech. Geotech. Eng. 2013, 5, 452–459. [Google Scholar] [CrossRef]
- Nguyen, V.-Q.; Lee, Y.-G.; Park, D. Seismic damage evaluation of double-box metro tunnel accounting for soil stiffness using three-dimensional finite element analysis. Structures 2023, 50, 1584–1597. [Google Scholar] [CrossRef]
- Keskin, İ.; Ahmed, M.Y.; Taher, N.R.; Gör, M.; Abdulsamad, B.Z. An evaluation on effects of surface explosion on underground tunnel; availability of ABAQUS Finite element method. Tunn. Undergr. Space Technol. 2022, 120, 104306. [Google Scholar] [CrossRef]
- Hernandez, Y.Z.; Farfan, A.D.; de Assis, A.P. Three-dimensional analysis of excavation face stability of shallow tunnels. Tunn. Undergr. Space Technol. 2019, 92, 103062. [Google Scholar] [CrossRef]
- Klotoé, C.H.; Bourgeois, E. Three dimensional finite element analysis of the influence of the umbrella arch on the settlements induced by shallow tunneling. Comput. Geotech. 2019, 110, 114–121. [Google Scholar] [CrossRef]
- Heidari, M.; El Naggar, M.H. Design guideline for extended pile shaft incorporating nonlinear pile-soil interaction. Ocean Eng. 2022, 243, 109371. [Google Scholar] [CrossRef]
- Bao, X.; Wu, S.; Liu, Z.; Su, D.; Chen, X. Study on the nonlinear behavior of soil–pile interaction in liquefiable soil using 3D numerical method. Ocean Eng. 2022, 258, 111807. [Google Scholar] [CrossRef]
- GB 50911-2013; Technical Specification for Monitoring of Urban Rail Transit Projects. Ministry of Housing and Urban-Rural Development: Beijing, China, 2013.
- Flora, A.; Modoni, G.; Lirer, S.; Croce, P. The diameter of single, double and triple fluid jet grouting columns: Prediction method and field trial results. Geotechnique 2013, 63, 934–945. [Google Scholar] [CrossRef]
- Zhang, Y.; Zou, Q. A prediction model for the slot depth of high pressure water jet. Results Phys. 2018, 11, 1105–1109. [Google Scholar] [CrossRef]
- Ho, C.E. Turbulent Fluid Jet Excavation in Cohesive Soil: With Particular Application to Jet Grouting. Doctoral Dissertation, Massachusetts Institute of Technology, Cambridge, MA, USA, 1 June 2005. [Google Scholar]
- Shen, S.-L.; Wang, Z.-F.; Yang, J.; Ho, C.-E. Generalized Approach for Prediction of Jet Grout Column Diameter. J. Geotech. Geoenviron. Eng. 2013, 139, 2060–2069. [Google Scholar] [CrossRef]
- Greenwood, D.A. Theoretical modelling of jet grouting—Discussion. Geotechnique 2008, 58, 533–535. [Google Scholar] [CrossRef]
- Lv, J.B.; Lu, J.J.; Wu, H. Study on the Mechanical Characteristics and Ground Surface Settlement Influence of the Rise-Span Ratio of the Pile-Beam-Arch Method. Appl. Sci. 2023, 13, 5678. [Google Scholar] [CrossRef]














| Parameter | Cohesion (Mpa) | Poisson’s Ratio | Volumetric Weight (kN/m3) | Internal Friction Angle (β) | (MPa) | (MPa) | (MPa) | E (MPa) | |
|---|---|---|---|---|---|---|---|---|---|
| Structure | |||||||||
| miscellaneous fill | 0.010 | 0.35 | 21 | 10 | 4.16 | 3.28 | 26.06 | \ | |
| plastic residual soil | 0.023 | 0.4 | 24 | 18 | 7.02 | 5.85 | 40.95 | \ | |
| highly weathered siltstone | 0.045 | 0.3 | 25 | 25 | 12.96 | 10.8 | 75.6 | \ | |
| conglomerate | \ | 0.3 | 27 | 40 | \ | \ | \ | 6000 | |
| C25 lining | \ | 0.2 | 25 | \ | \ | \ | \ | 30,000 | |
| MJS | \ | 0.2 | 25 | \ | \ | \ | \ | 400 | |
| Type | Unreinforced Settlement (mm) | Reinforcement Settlement (mm) | Decrement | Proportion |
|---|---|---|---|---|
| Case 2 | 48.57 | 24.16 | 24.41 | 50.30% |
| Case 3 | 65.40 | 29.89 | 35.51 | 54.30% |
| Case 4 | 79.64 | 33.90 | 45.74 | 57.40% |
| Case 5 | 116.3 | 34.66 | 81.64 | 70.20% |
Disclaimer/Publisher’s Note: The statements, opinions and data contained in all publications are solely those of the individual author(s) and contributor(s) and not of MDPI and/or the editor(s). MDPI and/or the editor(s) disclaim responsibility for any injury to people or property resulting from any ideas, methods, instructions or products referred to in the content. |
© 2023 by the authors. Licensee MDPI, Basel, Switzerland. This article is an open access article distributed under the terms and conditions of the Creative Commons Attribution (CC BY) license (https://creativecommons.org/licenses/by/4.0/).
Share and Cite
Lv, J.; Lu, J.; Huang, J.; Huang, J.; Li, J.; Ge, X. Deformation Analysis and Reinforcement Effect of Tunnel Pile Excavation of a Subway Station in a Weak Stratum. Buildings 2023, 13, 1943. https://doi.org/10.3390/buildings13081943
Lv J, Lu J, Huang J, Huang J, Li J, Ge X. Deformation Analysis and Reinforcement Effect of Tunnel Pile Excavation of a Subway Station in a Weak Stratum. Buildings. 2023; 13(8):1943. https://doi.org/10.3390/buildings13081943
Chicago/Turabian StyleLv, Jianbing, Jianjun Lu, Jingkai Huang, Juan Huang, Jia Li, and Xiangyang Ge. 2023. "Deformation Analysis and Reinforcement Effect of Tunnel Pile Excavation of a Subway Station in a Weak Stratum" Buildings 13, no. 8: 1943. https://doi.org/10.3390/buildings13081943
APA StyleLv, J., Lu, J., Huang, J., Huang, J., Li, J., & Ge, X. (2023). Deformation Analysis and Reinforcement Effect of Tunnel Pile Excavation of a Subway Station in a Weak Stratum. Buildings, 13(8), 1943. https://doi.org/10.3390/buildings13081943

