Influence of Spanish Broom Fibre Treatment, Fibre Length, and Amount and Harvest Year on Reinforced Cement Mortar Quality
Abstract
1. Introduction
2. Materials and Methods
2.1. Spanish Broom Fibres
2.1.1. Attenuated Total Reflectance-Fourier Transform Infrared Spectroscopy (ATR-FTIR)
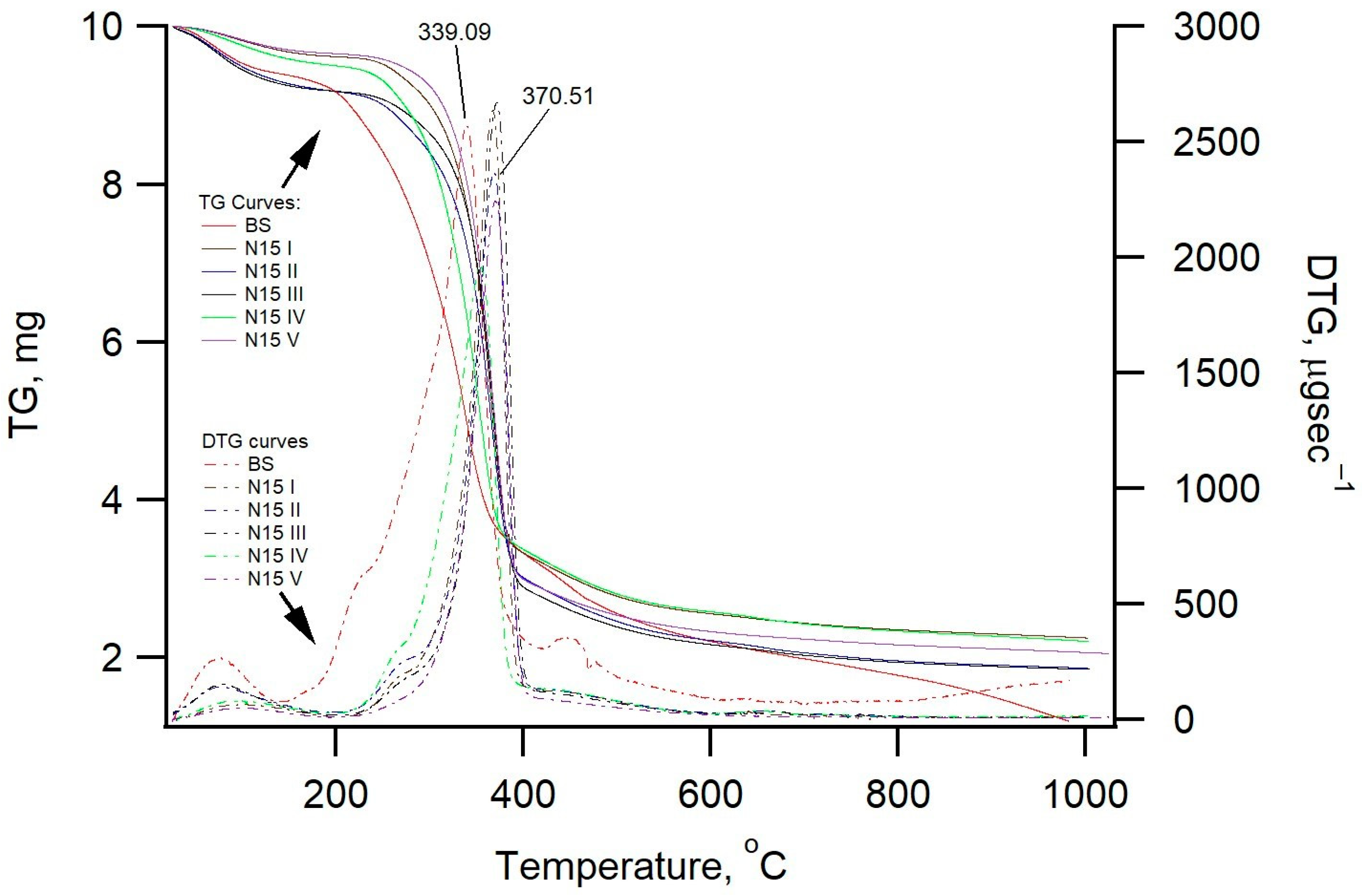
2.1.2. Thermogravimetry/Derivative Thermogravimetry Analysis (TG/DTG)
2.1.3. Mechanical Properties of Spanish Broom Fibres
2.2. Other Materials and Mixing Proportions
2.3. Test Methods for Cement Mortars
3. Results and Discussion
3.1. Compressive and Flexural Strength, Bending-Compressive Ratio
3.2. Influence of Fibre Length and amount on the Compressive and Flexural Strength
3.3. Influence of Three Consecutive Year of Harvesting on Compressive and Flexural Strength for Reinforced Mortar Specimens
4. Conclusions
- In the investigation conducted here, it is not possible to establish a correlation between the concentration of the maceration solution and the tensile strength of the fibres. Fibres from 5%, 8% and 15% NaOH solution achieved the highest tensile strength.
- The results of the FITR spectrum test show that the success of the maceration process does not depend on whether the macerated plants are freshly harvested or almost dry. This means that after the summer harvest, fibre separation can be carried out throughout the year as needed. At the same time results of application of XRD shown that separated fibers of cellulose have a structurally ordered form as Cellulose Iα, and Cellulose Iβ.
- The maceration effect reduces the lignin content in the fibres, so the same alkali solution can be used for at least five preparations. The reuse of the same solution contributes to the preservation of the environment.
- The higher flexural and compressive strength was found to be achieved in the specimens with 1 and 3 cm long fibres and a content of 0.5%, while for 2 cm long fibres, higher results are obtained with 1% fibre content.
- No connection has been established between the tensile strength of the fibres and the strength of the reinforced mortar. Mortars with fibres from 4% and 15% NaOH solutions achieved higher flexural strength, while mortars with fibres from 6% and 10% NaOH achieved higher compressive strength. Considering the results achieved, it is optimal to macerate the fibres in 15% NaOH, because this concentration is the fastest way to separate the fibres.
- A visual inspection of the half prisms after testing the bending strength revealed the main problems with the installation of natural fibres: fibres with a large diameter, bundles of fibres in specimen, weak or no contact zone between fibre and cement matrix. SEM/EDS analysis showed that the fibres are integrated into the cement matrix, but there is not a strong interaction.
- Spanish Broom is a very resistant plant and for the three consecutive years it was not observed that meteorological conditions affected the quality of fibres and cement mortars.
Author Contributions
Funding
Data Availability Statement
Acknowledgments
Conflicts of Interest
References
- Onuaguluchi, O.; Banthia, N. Plant-based natural fibre reinforced cement composites: A review. Cem. Concr. Compos. 2016, 68, 96–108. [Google Scholar] [CrossRef]
- Bahekar, P.V.; Gadve, S.S. Corrosion of rebar in carbon fibre reinforced polymer bonded reinforced concrete. Adv. Concr. Constr. 2019, 8, 247–255. [Google Scholar] [CrossRef]
- Katman, H.Y.B.; Khai, W.J.; Bheel, N.; Kırgız, M.S.; Kumar, A.; Benjeddou, O. Fabrication and Characterization of Cement-Based Hybrid Concrete Containing Coir Fibre for Advancing Concrete Construction. Buildings 2022, 12, 1450. [Google Scholar] [CrossRef]
- Page, J.; Khadraoui, F.; Boutouil, M.; Gomina, M. Multi-physical properties of a structural concrete incorporating short flax fibres. Constr. Build. Mater. 2017, 140, 344–353. [Google Scholar] [CrossRef]
- Ogunbode, E.B.; Egba, E.I.; Olaiju, O.A.; Elnafaty, A.S.; Kawuwa, S.A. Microstructure and mechanical properties of Green concrete composites containing coir fibre. Chem. Eng. Trans. 2017, 61, 1879–1884. [Google Scholar] [CrossRef]
- Booya, E.; Gorospe, K.; Ghaednia, H.; Das, S. Durability properties of engineered pulp fibre reinforced concretes made with and without supplementary cementitious materials. Compos. B Eng. 2019, 172, 376–386. [Google Scholar] [CrossRef]
- Alcivar-Bastidas, S.; Petroche, D.M.; Martinez-Echevarria, M.J. The effect of different treatments on abaca fibers used in cementitious composites. J. Nat. Fibers. 2023, 20, 2177235. [Google Scholar] [CrossRef]
- Jami, T.; Karade, S.R.; Singh, L.P. A review of the properties of hemp concrete for green building applications. J. Clean. Prod. 2019, 239, 117852. [Google Scholar] [CrossRef]
- Sen, T.; Reddy, H.N.J. Various Industrial Applications of Hemp, Kinaf, Flax and Ramie Natural Fibres. Int. J. Innov. Manag. Technol. 2011, 2, 192–198. [Google Scholar]
- Imraan, M.; Ilyas, R.A.; Norfarhana, A.S.; Bangar, S.P.; Knight, V.F.; Norrrahim, M.N.F. Sugar palm (Arenga pinnata) fibres: New emerging natural fibre and its relevant properties, treatments and potential applications. J. Mater. Res. Technol. 2023, 24, 4551–4572. [Google Scholar] [CrossRef]
- da Fonseca, R.P.; Rocha, J.C.; Cheriaf, M. Mechanical Properties of Mortars Reinforced with Amazon Rainforest Natural Fibres. Materials 2020, 14, 155. [Google Scholar] [CrossRef] [PubMed]
- Kesikidou, F.; Stefanidou, M. Natural Fibre-Reinforced Mortars. J. Build. Eng. 2019, 25, 100786. [Google Scholar] [CrossRef]
- De Azevedo, A.R.G.; Marvila, M.T.; Tayeh, B.A.; Cecchin, D.; Pereira, A.C.; Monteiro, S.N. Technological Performance of Açaí Natural Fibre Reinforced Cement-Based Mortars. J. Build. Eng. 2021, 33, 101675. [Google Scholar] [CrossRef]
- Jabbar, A.; Militký, J.; Wiener, J.; Kale, B.M.; Ali, U.; Rwawiire, S. Nanocellulose coated woven jute/green epoxy composites: Characterization of mechanical and dynamic mechanical behavior. Compos. Struct. 2017, 161, 340–349. [Google Scholar] [CrossRef]
- Yamini, P.; Rokkala, S.; Rishika, S.; Rani, P.M.; Kumar, R.A. Mechanical properties of natural fibre reinforced composite structure. Mater. Today Proc. 2023. [Google Scholar] [CrossRef]
- Hamada, H.M.; Shi, S.; Al Jawahery, M.S.; Majdi, A.; Yousif, S.T.; Kaplan, G. Application of Natural Fibres in Cement Concrete: A Critical Review. Mater. Today Commun. 2023, 35, 105833. [Google Scholar] [CrossRef]
- Thyavihalli Girijappa, Y.G.; Mavinkere Rangappa, S.; Parameswaranpillai, J.; Siengchin, S. Natural Fibres as Sustainable and Renewable Resource for Development of Eco-Friendly Composites: A Comprehensive Review. Front. Mater. 2019, 6, 226. [Google Scholar] [CrossRef]
- Juradin, S.; Boko, I.; Netinger Grubeša, I.; Jozić, D.; Mrakovčić, S. Influence of different treatment and amount of Spanish Broom and hemp fibres on the mechanical properties of reinforced cement mortars. Constr. Build. Mater. 2021, 273, 121702. [Google Scholar] [CrossRef]
- Ji, Y.; Zou, Y.; Ma, Y.; Wang, H.; Li, W.; Xu, W. Frost Resistance Investigation of Fibre-Doped Cementitious Composites. Materials 2022, 15, 2226. [Google Scholar] [CrossRef]
- Neto, J.S.S.; de Queiroz, H.F.M.; Aguiar, R.A.A.; Banea, M.D. A Review on the Thermal Characterisation of Natural and Hybrid Fibre Composites. Polymers 2021, 13, 4425. [Google Scholar] [CrossRef] [PubMed]
- Fan, M.; Naughton, A. Mechanisms of thermal decomposition of natural fibre composites. Compos. B Eng. 2016, 88, 1–10. [Google Scholar] [CrossRef]
- Kurien, R.A.; Anil, M.M.; Mohan, S.L.S.; Thomas, J.A. Natural fibre composites as sustainable resources for emerging applications—A review. Mater. Today Proc. 2023; in press. [Google Scholar] [CrossRef]
- Hasan, A.; Rabbi, M.S.; Billah, M.M. Making the lignocellulosic fibres chemically compatible for composite: A comprehensive review. Clean. Mater. 2022, 4, 100078. [Google Scholar] [CrossRef]
- Sawsen, C.; Fouzia, K.; Mohamed, B.; Moussa, G. Effect of flax fibres treatments on the rheological, the mechanical behavior of a cement composite. Constr.Build. Mater. 2015, 79, 229–235. [Google Scholar] [CrossRef]
- Page, J.; Khadraoui, F.; Gomina, M.; Boutouil, M. Influence of different surface treatments on the water absorption capacity of flax fibres: Rheology of fresh reinforced-mortars, mechanical properties in the hardened state. Constr. Build. Mater. 2019, 199, 424–434. [Google Scholar] [CrossRef]
- Alavudeen, A.; Rajini, N.; Karthikeyan, S.; Thiruchitrambalam, M.; Venkateshwaren, N. Mechanical properties of banana/kenaf fibre-reinforced hybrid polyester composites: Effect of woven fabric and random orientation. Mater. Des. 2015, 66, 246–257. [Google Scholar] [CrossRef]
- Yousif, B.F.; Shalwan, A.; Chin, C.W.; Ming, K.C. Flexural properties of treated and untreated kenaf/epoxy composites. Mater. Des. 2012, 40, 378–385. [Google Scholar] [CrossRef]
- Edeerozey, A.M.M.; Akil, H.M.; Azhar, A.B.; Ariffin, M.I.Z. Chemical modification of kenaf fibres. Mater. Lett. 2007, 61, 2023–2025. [Google Scholar] [CrossRef]
- Aravindh, M.; Sathish, S.; Ranga Raj, R.; Karthick, A.; Mohanavel, V.; Patil, P.P.; Muhibbullah, M.; Osman, S.M. A Review on the Effect of Various Chemical Treatments on the Mechanical Properties of Renewable Fibre-Reinforced Composites. Adv. Mater. Sci. Eng. 2022, 2022, 2009691. [Google Scholar] [CrossRef]
- Islam, M.S.; Pickering, K.L.; Foreman, N.J. Influence of alkali fibre treatment and fibre processing on the mechanical properties of hemp/epoxy composites. J. Appl. Polym. Sci. 2011, 119, 3696–3707. [Google Scholar] [CrossRef]
- Grubeša, I.N.; Marković, B.; Gojević, A.; Brdarić, J. Effect of hemp fibres on fire resistance of concrete. Constr. Build. Mater. 2018, 184, 473–484. [Google Scholar] [CrossRef]
- Isak, M.R.; Leman, Z.; Sapuan, S.M.; Salleh, M.Y.; Misri, S. The effect of sea water treatment on the influence and flexural strength of sugar palm fibre reinforced epoxy composites. Int. J. Mech. Mater. Eng. 2009, 4, 316–320. [Google Scholar]
- Juradin, S.; Boko, I.; Grubeša, I.N.; Jozić, D.; Mrakovčić, S. Influence of harvesting time and maceration method of Spanish Broom (Spartium junceum L.) fibres on mechanical properties of reinforced cement mortar. Constr. Build. Mater. 2019, 225, 243–255. [Google Scholar] [CrossRef]
- Lefeuvre, A.; Bourmaud, A.; Lebrun, L.; Morvan, C.; Baley, C. A Study of the Yearly Reproducibility of Flax Fibre Tensile Properties. Ind. Crops Prod. 2013, 50, 400–407. [Google Scholar] [CrossRef]
- Lefeuvre, A.; Bourmaud, A.; Morvan, C.; Baley, C. Tensile Properties of Elementary Fibres of Flax and Glass: Analysis of Reproducibility and Scattering. Mater. Lett. 2014, 130, 289–291. [Google Scholar] [CrossRef]
- Chemikosova, S.B.; Pavlencheva, N.V.; Gur’yanov, O.P.; Gorshkova, T.A. The Effect of Soil Drought on the Phloem Fibre Development in Long-Fibre Flax. Russ. J. Plant Physiol. 2006, 53, 656–662. [Google Scholar] [CrossRef]
- Lokhande, S.; Reddy, K.R. Quantifying Temperature Effects on Cotton Reproductive Efficiency and Fibre Quality. Agron. J. 2014, 106, 1275–1282. [Google Scholar] [CrossRef]
- Juradin, S.; Boko, I. Possibility of cement composite reinforcement by Spanish Broom fibres. Građevinar 2018, 70, 487–495. [Google Scholar] [CrossRef]
- Kondo, T. The assignment of IR absorption bands due to free hydroxyl groups in cellulose. Cellulose 1997, 4, 281–292. [Google Scholar] [CrossRef]
- Nelson, M.L.; O’Connor, T.R. Relation of Certain Infrared Bands to Cellulose Crystallinity and Crystal Lattice Type. Part 11. A New Infrared Ratio for Estimation of Crystallinity in Celluloses I and II. J. Appl. Polym. Sci. 1964, 8, 1325–1341. [Google Scholar] [CrossRef]
- Nelson, M.L.; O’Connor, T.R. Relation of Certain Infrared Bands to Cellulose Crystallinity and Crystal Latticed Type. Part I. Spectra of Lattice Types I, II, III and of Amorphous Cellulose. J. Appl. Polym. Sci. 1964, 8, 1311–1324. [Google Scholar] [CrossRef]
- Yang, Y.P.; Zhang, Y.; Lang, Y.X.; Yu, M.H. Structural ATR-IR analysis of cellulosic fibres prepared from a NaOH complex aqueous solution. IOP Conf. Ser. Mater. Sci. Eng. 2017, 213, 012039. [Google Scholar] [CrossRef]
- Zhang, S.-Y.; Wang, C.-G.; Fei, B.-H.; Yu, Y.; Cheng, H.-T.; Tian, G.-L. Mechanical Function of Lignin and Hemicelluloses in Wood Cell Wall Revealed with Microtension of Single Wood Fibre. BioResources 2013, 8, 2376–2385. [Google Scholar] [CrossRef]
- Qi, J.; Xie, J.; Hse, C.Y.; Shupe, T.F. Analysis of Phyllostachys pubescens Bamboo Residues for Liquefaction: Chemical Components, Infrared Spectroscopy, and Thermogravimetry. BioResources 2013, 8, 5644–5654. [Google Scholar] [CrossRef]
- nHRN EN 14889-2; Fibres for Concrete—Part 2: Polymer Fibres—Definition, Specifications and Conformity. CSI: Zagreb, Croatia, 2018.
- HRN EN 196-1:2016; Methods of Testing Cement—Part 1: Determination of Strength. CSI: Zagreb, Croatia, 2016.
- HRN EN 196-9:2010; Methods of Testing Cement—Part 9: Heat of Hydration—Semi-Adiabatic Method. CSI: Zagreb, Croatia, 2010.
- Benmansour, N.; Agoudjil, B.; Gherabli, A.; Kareche, A.; Boudenne, A. Thermal and mechanical performance of natural mortar reinforced with date palm fibers for use as insulating materials in building. Energy Build. 2014, 81, 98–104. [Google Scholar] [CrossRef]
- Ozerkan, N.G.; Ahsan, B.; Mansour, S.; Iyengar, S.R. Mechanical performance and durability of treated palm fiber reinforced mortars. Int. J. Sustain. Built Environ. 2013, 2, 131–142. [Google Scholar] [CrossRef]
- Kriker, A.; Bali, A.; Debicki, G.; Bouziane, M.; Chabannet, M. Durability of date palm fibres and their use as reinforcement in hot dry climates. Cem. Concr. Compos. 2008, 30, 639–648. [Google Scholar] [CrossRef]
- Benaimeche, O.; Carpinteri, A.; Mellas, M.; Ronchei, C.; Scorza, D.; Vantadori, S. The influence of date palm mesh fibre reinforcement on flexural and fracture behaviour of a cement-based mortar. Compos. B 2018, 152, 292–299. [Google Scholar] [CrossRef]
- Bamaga, S.O. The Influence of Silica Fume on the Properties of Mortars Containing Date Palm Fibres. Fibres 2022, 10, 41. [Google Scholar] [CrossRef]
- Sedan, D.; Pagnoux, C.; Smith, A.; Chotard, T. Mechanical properties of hemp fibre reinforced cement: Influence of the fibre/matrix interaction. J. Eur. Ceram. Soc. 2008, 28, 183–192. [Google Scholar] [CrossRef]
- Wang, L.; He, T.; Zhou, Y.; Tang, S.; Tan, J.; Liu, Z.; Su, J. The influence of fibre type and length on the cracking resistance, durability and pore structure of face slab concrete. Constr. Build. Mater. 2021, 282, 122706. [Google Scholar] [CrossRef]
- Angelini, L.G.; Lazzeri, A.; Levita, G.; Fontanelli, D.; Bozzi, C. Ramie (Boehmeria nivea (L.) Gaud.) and Spanish Broom (Spartium junceum L.) fibres for composite materials: Agronomical aspects, morphology and mechanical properties. Ind. Crops Prod. 2000, 11, 145–161. [Google Scholar] [CrossRef]
- Angelini, L.G.; Tavarini, S.; Foschi, L. Spanish Broom (Spartium junceum L.) as New Fiber for Biocomposites: The Effect of Crop Age and Microbial Retting on Fiber Quality. Conf. Pap. Sci. 2013, 2013, 274359. [Google Scholar] [CrossRef]
- Katović, D.; Katović, A.; Krnčević, M. Spanish Broom (Spartium junceum L.)—History and Perspective. J. Nat. Fibre 2011, 8, 81–89. [Google Scholar] [CrossRef]
- Ajouguim, S.; Page, J.; Djelal, C.; Waqif, M.; Saâdi, L. Investigation on the use of ground Alfa fibres as reinforcement of cement mortars. Proc. Inst. Civ. Eng. Constr. Mater. 2021, 174, 161–171. [Google Scholar] [CrossRef]
- Merta, I.; Tschegg, E.K. Fracture energy of natural fibre reinforced concrete. Constr. Build. Mater. 2013, 40, 991–997. [Google Scholar] [CrossRef]
- Stefanou, G.; Savvas, D.; Metsis, P. Random Material Property Fields of 3D Concrete Microstructures Based on CT Image Reconstruction. Materials 2021, 14, 1423. [Google Scholar] [CrossRef]
- Hou, M.; Acton, P.D. Understanding the tampon density and density gradient through computed tomography imaging. Text. Res. J. 2016, 86, 573–579. [Google Scholar] [CrossRef]
- Juradin, S.; Mihanović, F.; Ostojić-Škomrlj, N.; Rogošić, E. Pervious Concrete Reinforced with Waste Cloth Strips. Sustainability 2022, 14, 2723. [Google Scholar] [CrossRef]
- Shah, I.; Li, J.; Yang, S.; Zhang, Y.; Anwar, A. Experimental Investigation on the Mechanical Properties of Natural Fiber Reinforced Concrete. J. Renew. Mater. 2022, 10, 1307–1320. [Google Scholar] [CrossRef]
- Kovačić, S.; Nikolić, T.; Ruščić, M.; Milović, M.; Stamenković, V.; Mihelj, D.; Jasprica, N.; Bogdanović, S.; Topić, J. Flora Jadranske Obale i Otoka—250 Najčešćih Vrsta; Školska Knjiga: Zagreb, Croatia, 2008; ISBN 978-953-0-61289-1. (In Croatian) [Google Scholar]
- Bezić, N.; Dunkić, V.; Radonić, A. Anatomical and Chemical Adaptation of Spartium junceum L. in Arid Habitat. Acta Biol. Cracoviensia Ser. Bot. 2003, 45, 43–47. [Google Scholar]
- Croatian Meteorological and Hydrological Service, Zagreb, Croatia. Available online: https://meteo.hr/index_en.php (accessed on 20 May 2023).
- Spano, D.; Cesaraccio, C.; Duce, P.; Snyder, R.L. Phenological Stages of Natural Species and Their Use as Climate Indicators. Int. J. Biometeorol. 1999, 42, 124–133. [Google Scholar] [CrossRef]
- Spano, D.; Cesaraccio, C.; Duce, P.; Botarelli, L.; Pratizzoli, W.; Sacchetti, V. Response of some Phenological Garden Species to Inter-Annual Weather Variability. In Proceedings of the 17th Conference on Biometeorology and Aerobiology, San Diego, CA, USA, 22–26 May 2006; p. 4. Available online: https://ams.confex.com/ams/BLTAgFBioA/techprogram/programexpanded_353.htm (accessed on 20 May 2023).



















| Fibre | Fibre Diameter | σMAX, [N/mm2] | σaverage, [N/mm2] | |
|---|---|---|---|---|
| Average Diameter, [mm] | Standard Deviation, [mm] | |||
| N4 | 0.68 | 0.11 | 63.54 | 43.73 |
| N5 | 0.26 | 0.09 | 593.97 | 314.20 |
| N6 | 0.44 | 0.11 | 208.90 | 115.49 |
| N8 | 0.32 | 0.08 | 510.49 | 311.77 |
| N10 | 0.40 | 0.16 | 338.53 | 188.87 |
| N15 | 0.26 | 0.05 | 522.13 | 291.52 |
| N5S2 | 0.62 | 0.13 | 159.76 | 78.76 |
| SW40 | 0.94 | 0.09 | 57.10 | 39.41 |
| Mixtures | Cement [g] | Water [g] | Standard Quartz Sand [g] | Fibre [g] | Fibre Length [cm] |
|---|---|---|---|---|---|
| CM | 450 | 225 | 1325 | - | - |
| NX-1-0.5 * | 450 | 225 | 1325 | 4.8 | 1 |
| NX-1-1.0 * | 9.6 | 1 | |||
| NX-2-0.5 * | 4.8 | 2 | |||
| NX-2-1.0 * | 9.6 | 2 | |||
| NX-3-0.5 * | 4.8 | 3 | |||
| NX-3-1.0 * | 9.6 | 3 | |||
| N5S2-1-0.5 | 450 | 225 | 1325 | 4.8 | 1 |
| N5S2-1-1.0 | 9.6 | 1 | |||
| N5S2-2-0.5 | 4.8 | 2 | |||
| N5S2-2-1.0 | 9.6 | 2 | |||
| N5S2-3-0.5 | 4.8 | 3 | |||
| N5S2-3-1.0 | 9.6 | 3 | |||
| SW40-1-0.5 | 450 | 225 | 1325 | 4.8 | 1 |
| SW40-1-1.0 | 9.6 | 1 | |||
| SW40-2-0.5 | 4.8 | 2 | |||
| SW40-2-1.0 | 9.6 | 2 | |||
| SW40-3-0.5 | 4.8 | 3 | |||
| SW40-3-1.0 | 9.6 | 3 |
| Mixtures | Flexural Strength [MPa] | Standard Deviation [MPa] | Relative Flexural Strength/CM | Compressive Strength [MPa] | Standard Deviation [MPa] | Relative Compressive Strength/CM |
|---|---|---|---|---|---|---|
| CM | 8.47 | 0.51 | 1.00 | 53.32 | 0.51 | 1.00 |
| N4-1-0.5 | 8.74 | 0.43 | 1.03 | 46.91 | 0.43 | 0.88 |
| N4-1-1.0 | 7.72 | 0.20 | 0.91 | 41.43 | 0.64 | 0.78 |
| N4-2-0.5 | 8.48 | 0.23 | 1.00 | 45.88 | 1.63 | 0.86 |
| N4-2-1.0 | 7.71 | 0.11 | 0.91 | 38.75 | 1.81 | 0.73 |
| N4-3-0.5 | 8.31 | 0.31 | 0.98 | 44.68 | 1.69 | 0.84 |
| N4-3-1.0 | 7.52 | 0.57 | 0.89 | 40.86 | 1.30 | 0.77 |
| N5-1-0.5 | 7.91 | 0.58 | 0.93 | 45.32 | 0.89 | 0.85 |
| N5-1-1.0 | 7.57 | 0.43 | 0.89 | 40.77 | 1.31 | 0.76 |
| N5-2-0.5 | 8.19 | 0.31 | 0.97 | 43.68 | 2.19 | 0.82 |
| N5-2-1.0 | 7.20 | 0.50 | 0.85 | 39.30 | 1.36 | 0.74 |
| N5-3-0.5 | 8.30 | 0.29 | 0.98 | 45.55 | 2.15 | 0.85 |
| N5-3-1.0 | 7.10 | 0.52 | 0.84 | 38.04 | 1.25 | 0.71 |
| N6-1-0.5 | 7.97 | 0.07 | 0.94 | 47.10 | 1.50 | 0.88 |
| N6-1-1.0 | 7.51 | 0.33 | 0.89 | 41.40 | 0.87 | 0.78 |
| N6-2-0.5 | 8.20 | 0.21 | 0.97 | 49.10 | 1.84 | 0.92 |
| N6-2-1.0 | 7.43 | 0.38 | 0.88 | 42.85 | 1.85 | 0.80 |
| N6-3-0.5 | 8.39 | 0.32 | 0.99 | 46.16 | 1.33 | 0.87 |
| N6-3-1.0 | 7.09 | 1.00 | 0.84 | 41.32 | 1.76 | 0.77 |
| N8-1-0.5 | 8.03 | 0.13 | 0.85 | 46.80 | 0.65 | 0.88 |
| N8-1-1.0 | 7.50 | 0.20 | 0.89 | 40.58 | 1.60 | 0.76 |
| N8-2-0.5 | 7.53 | 0.40 | 0.89 | 40.11 | 1.97 | 0.75 |
| N8-2-1.0 | 7.67 | 0.15 | 0.91 | 39.20 | 2.11 | 0.74 |
| N8-3-0.5 | 8.03 | 0.38 | 0.95 | 47.66 | 1.56 | 0.89 |
| N8-3-1.0 | 7.09 | 0.37 | 0.84 | 40.34 | 2.76 | 0.76 |
| N10-1-0.5 | 8.31 | 0.33 | 0.94 | 45.47 | 1.50 | 0.85 |
| N10-1-1.0 | 7.38 | 0.01 | 0.87 | 40.79 | 1.33 | 0.77 |
| N10-2-0.5 | 8.43 | 0.67 | 0.95 | 45.96 | 0.84 | 0.86 |
| N10-2-1.0 | 8.01 | 0.06 | 0.94 | 41.76 | 1.37 | 0.78 |
| N10-3-0.5 | 8.24 | 0.06 | 0.96 | 47.93 | 0.86 | 0.90 |
| N10-3-1.0 | 7.49 | 0.43 | 0.92 | 42.59 | 1.54 | 0.80 |
| N15-1-0.5 | 8.24 | 0.30 | 0.97 | 45.32 | 0.71 | 0.85 |
| N15-1-1.0 | 7.92 | 0.43 | 0.94 | 41.91 | 1.57 | 0.79 |
| N15-2-0.5 | 8.69 | 0.22 | 1.03 | 46.28 | 1.16 | 0.87 |
| N15-2-1.0 | 7.10 | 0.26 | 0.84 | 38.62 | 1.93 | 0.72 |
| N15-3-0.5 | 8.42 | 0.30 | 0.99 | 47.11 | 1.29 | 0.88 |
| N15-3-1.0 | 7.96 | 0.48 | 0.94 | 42.16 | 1.33 | 0.79 |
| N5S2-1-0.5 | 7.91 | 0.49 | 0.93 | 42.86 | 1.14 | 0.80 |
| N5S2-1-1.0 | 7.62 | 0.37 | 0.90 | 40.02 | 0.57 | 0.75 |
| N5S2-2-0.5 | 8.13 | 0.38 | 0.96 | 44.60 | 1.37 | 0.84 |
| N5S2-2-1.0 | 7.11 | 0.15 | 0.84 | 36.33 | 1.70 | 0.68 |
| N5S2-3-0.5 | 7.70 | 0.65 | 0.91 | 40.18 | 1.11 | 0.75 |
| N5S2-3-1.0 | 7.26 | 0.42 | 0.86 | 34.95 | 1.16 | 0.66 |
| SW40-1-0.5 | 8.34 | 0.32 | 0.98 | 46.14 | 1.83 | 0.87 |
| SW40-1-1.0 | 7.35 | 0.25 | 0.87 | 39.64 | 0.86 | 0.74 |
| SW40-2-0.5 | 8.08 | 0.10 | 0.95 | 43.53 | 1.21 | 0.82 |
| SW40-2-1.0 | 7.30 | 0.30 | 0.86 | 39.71 | 2.20 | 0.74 |
| SW40-3-0.5 | 7.81 | 0.65 | 0.92 | 43.97 | 2.12 | 0.82 |
| SW40-3-1.0 | 7.32 | 0.32 | 0.86 | 36.94 | 2.44 | 0.69 |
| Measured Values | CM | N4-1-0.5 | N5-3-1.0 | N6-2-0.5 | N15-2-1.0 | N5S2-3-1.0 | N5-3-1.0 | N5-3-1.0 | N5-3-1.0 |
|---|---|---|---|---|---|---|---|---|---|
| Year B | Year A-1 | Year A-2 | Year C | ||||||
| N * | 9 | 9 | 9 | 9 | 9 | 9 | 9 | 9 | 10 |
| Area [cm2] | 6.681 | 22.373 | 23.496 | 22.481 | 24.614 | 23.685 | 25.700 | 24.586 | 21.550 |
| Minimum [HU] | 496.333 | −103.667 | −171.556 | 32.889 | −153.778 | 138.778 | −470.889 | −75.111 | −341.500 |
| Maximum [HU] | 1880.889 | 1811.333 | 1833.556 | 1838.889 | 1871.000 | 1863.889 | 1841.333 | 1830.556 | 1891.600 |
| Mean [HU] | 1668.447 | 1503.142 | 1433.302 | 1504.433 | 1456.131 | 1451.126 | 1446.599 | 1483.871 | 1392.129 |
| Median [HU] | 1709.000 | 1546.222 | 1480.667 | 1546.222 | 1497.000 | 1489.556 | 1499.667 | 1527.222 | 1438.300 |
| Standard deviation [HU] | 142.517 | 176.524 | 209.291 | 169.888 | 191.496 | 190.227 | 222.528 | 185.733 | 248.617 |
Disclaimer/Publisher’s Note: The statements, opinions and data contained in all publications are solely those of the individual author(s) and contributor(s) and not of MDPI and/or the editor(s). MDPI and/or the editor(s) disclaim responsibility for any injury to people or property resulting from any ideas, methods, instructions or products referred to in the content. |
© 2023 by the authors. Licensee MDPI, Basel, Switzerland. This article is an open access article distributed under the terms and conditions of the Creative Commons Attribution (CC BY) license (https://creativecommons.org/licenses/by/4.0/).
Share and Cite
Juradin, S.; Jozić, D.; Netinger Grubeša, I.; Pamuković, A.; Čović, A.; Mihanović, F. Influence of Spanish Broom Fibre Treatment, Fibre Length, and Amount and Harvest Year on Reinforced Cement Mortar Quality. Buildings 2023, 13, 1910. https://doi.org/10.3390/buildings13081910
Juradin S, Jozić D, Netinger Grubeša I, Pamuković A, Čović A, Mihanović F. Influence of Spanish Broom Fibre Treatment, Fibre Length, and Amount and Harvest Year on Reinforced Cement Mortar Quality. Buildings. 2023; 13(8):1910. https://doi.org/10.3390/buildings13081910
Chicago/Turabian StyleJuradin, Sandra, Dražan Jozić, Ivanka Netinger Grubeša, Anita Pamuković, Anđela Čović, and Frane Mihanović. 2023. "Influence of Spanish Broom Fibre Treatment, Fibre Length, and Amount and Harvest Year on Reinforced Cement Mortar Quality" Buildings 13, no. 8: 1910. https://doi.org/10.3390/buildings13081910
APA StyleJuradin, S., Jozić, D., Netinger Grubeša, I., Pamuković, A., Čović, A., & Mihanović, F. (2023). Influence of Spanish Broom Fibre Treatment, Fibre Length, and Amount and Harvest Year on Reinforced Cement Mortar Quality. Buildings, 13(8), 1910. https://doi.org/10.3390/buildings13081910

