Abstract
As an essential structural indicator of buildings, sky view factor (SVF) is one of the most critical factors affecting the urban thermal environment. However, the relationship between SVF and the thermal environment at the neighborhood scale has not been adequately studied. Therefore, this paper investigates the relationship between SVF and air temperature in different building scenarios based on the Local Climate Zone (LCZ) classification framework. Firstly, the study is based on multi-source urban data and the Open Street Map (OSM) to map the local climate zones in Beijing. Then, a simulation model with different LCZs was constructed based on realistic scenarios using the microclimate simulation software ENVI-met, and the thermal environment was simulated in 24 h on a single day in summer. Finally, the SVF and air temperature relationship under different LCZ scenarios was calculated and analyzed. The results show that (1) the SVF values of LCZ 1, LCZ 2, and LCZ 5 show a more apparent positive correlation with air temperature than other categories, and the SVF values of LCZ 6–9 show a negative and then positive correlation with air temperature; (2) in the morning, the dense building areas show a weak correlation with air temperature, and the differences in air temperature corresponding to the SVF values in different zones are greater; (3) in the morning, the air temperature in the dense building areas showed a weak correlation, the difference between the SVF values and the air temperature in different intervals was different, and when the SVF was larger or smaller, the air temperature change was smaller and concentrated, and the correlation between the air temperature and the SVF in the open building areas was not obvious; (4) with 12:00 as the dividing line, the SVF and the air temperature in all categories showed a weak positive correlation after this time. This study can provide guidance on optimizing building layouts and mitigating the impacts of urban heat on human health.
1. Introduction
Recent work in urbanization has predicted that 68% of people are expected to live in cities by 2050 [1], which means that the level of urbanization will increase further in the future. However, the advancement of urbanization has led to many inevitable problems in cities, such as declining air quality, persistent urban surface subsidence, and rising urban temperatures [2,3,4], which greatly affect the normal production and life of urban residents [5].
Meanwhile, the 2021 IPCC Sixth assessment report states that the global average temperature increased by 1.09 °C from 2011 to 2020 compared to the pre-industrial period (1850–1900), and the frequency and intensity of extreme heat events also increased more than ever before [6]. In addition, due to the urban heat island effect, cities are more vulnerable to temperature change and extreme heat weather than other areas [7,8,9], especially when there is a superposition of factors such as unreasonable management during the urbanization process, which exacerbates the instability of the thermal environment and the risk of human heat exposure [10]. Accordingly, much research has been conducted in recent years to improve the UHI [11].
The Urban Heat Island (UHI), which was first identified by Manley in 1958, is now widely defined as a phenomenon in which urban temperatures are significantly higher than those in the suburbs as a direct result of land use and configuration, the design of the built environment, and household and human activities [6,12]. Typically, climate is the ensemble distribution of climate variables for constant external conditions and represents the average atmospheric conditions over a long period of time [13]. However, the urban heat island induces anomalous changes in the urban thermal environment, resulting in more complex climate change. Furthermore, due to combined effects like the attributes of local urban areas including the spatial heterogeneity and complexity of the urban structure under a wider area, the spatial correlation within a local zone, and the dynamics of urban internal changes, the urban climate system shows randomness in variation and differences while showing regularity, and this performance may be more pronounced compared to rural areas [14,15,16].
Therefore, in order to study the thermal environment in complex urban climates [7], Oke et al. summarized the general rules and established detailed geometric ground cover types within cities to characterize the characteristic areas within cities after synthesizing various types of data and experience. The measured data confirmed the feasibility of this classification model to quantify the thermal environment and urban climate in the city. In particular, the characteristic zone, ranging from a few hundred meters to several kilometers horizontally, has a specific definition; the inner area of the characteristic zone has homogeneous human activity, surface cover, structure, and material, but on the other hand, different characteristic zones have random variation and varying degrees of impact on the urban thermal environment [17]. Therefore, as a mesoscale classification model, local climate zone (LCZ) has served as a good transition to the previous models that have studied the relationship between urban morphology and urban thermal environment at both macroscopic and microscopic scales [18]. In recent years, the results of numerous studies on LCZ classification have shown that the general framework of LCZ can fill the gaps in previous studies on thermal environment issues [19]. Furthermore, as the LCZ classification is built in such a way that it has the ability to synthesize two-dimensional and three-dimensional morphological characteristics of local urban areas, especially when the 10 building types are combined as a higher parent of the standard set to simulate urban morphology in the field [17], the morphological characteristics of the urban morphology among the relevant building groups will be more fully reflected in the LCZ classification results. At the same time, for the selection of temperature data at the LCZ scale, Middel et al. demonstrated that the use of model simulations can provide an understanding of the relationship between urban morphology and microclimate [20]. Moreover, the current availability of WUDAPT (the World Urban Database and Access Portal Tools), for example, makes it possible to create a global classification database. Therefore, the LCZ classification can be used to establish characteristic zones for each city in the world, reveal the patterns and connections between the thermal environment and morphology in the characteristic zones, compare the thermal environment characteristics of different LCZ classifications, and then synthesize the results from the regional perspective to illustrate the thermal environment issues in each city.
However, the current LCZ model cannot define the classification boundaries precisely enough, and it is still a challenge to classify the high heterogeneity of urban surfaces into different types [21]. Thus, some precise quantitative parameters need to be introduced to support the use of the LCZ classification in the study of the connection between urban complex morphology and the urban thermal environment. Among them, the urban canopy parameter sky view factor (SVF), physically defined as the ratio of radiation received (or emitted) from the sky at the surface plane to that emitted (or received) from the entire hemispheric radiation environment [22], can reflect the correlation between the urban climate and spatial characteristics such as street geometry and building density in the region [23,24]. On the other hand, as a physical parameter, air temperature plays a crucial role in describing the urban thermal environment and human thermal comfort [18,25,26,27]. Current established studies have shown that there is a clear relationship between air temperature and urban morphology [28,29], while the sky visibility factor, which often characterizes urban morphology as mentioned before, is also related to air temperature [30]. Hence, the use of these two parameters is important for studying the relationship between urban morphology and urban thermal environment, and studying the correlation between these two parameters can reflect the impact of building scenarios under different LCZ classifications on the urban thermal environment to a certain extent.
Accordingly, this paper provides a more accurate classification result of LCZ within the Fifth Ring Road of Beijing based on road network division combined with the visual interpretation method. From the perspective of LCZ, this paper deeply explores the relationship between SVF and air temperature of LCZ types 1–9 in a day, and then further clarifies the differences in LCZ types in the relationship between building spatial pattern and thermal environment. Specifically, we firstly classified the blocks within the Fifth Ring Road of Beijing into 18 classifications based on the framework of LCZ, combined with Beijing Street data, which was obtained from Open Street Map (OSM), and then selected nine typical types of classified building scenes in Beijing to build the corresponding simulation scenarios with ENVI-met. After verifying the reliability of the model simulation by actual measurement, we demonstrated the characteristic of SVF and air temperature from 6:00 to 18:00 in a day and ultimately analyzed the correlation among them.
2. Study Area and Dataset
2.1. Study Area
Located in the northern region of the North China Plain, Beijing (115°25′~117°30′ E, 39°26′~41°30′ N) features a topography characterized by high elevations in the northwest and lower elevations in the southeast. The city expands over a total administrative area of 16,410.54 square kilometers, with the southeastern part consisting of a gently sloping plain towards the Bohai Sea. As a globalized, cosmopolitan city, Beijing has a long history of urban development and a rapid development process, with a high level of current urbanization. According to the New Statistical Yearbooks of Beijing [31], as of 2021, the total annual supply of construction land in the city was 3328 hectares, with a large proportion of urban area and a wide variety of urban building types; the city’s resident population is 21.226 million people, with a total of 260 million tourist arrivals every year, high intra-city population density and population movement intensity, and high reliance on urban architecture [32].
As of 2021, the annual average temperature in Beijing is 13.6 °C, with an annual extreme maximum temperature of 37.2 °C on 20 June and an annual extreme minimum temperature of −19.6 °C [31], and the average summer air temperature is outside the thermal comfort range.
As shown in Figure 1, the urban pattern of Beijing is a polycentric circle. The urban heat island effect is evident because of the high density of buildings and population within the periphery of the Fifth Ring Road, and each center in the region has different spatial characteristics and is well developed. Therefore, this study selects the area within the Fifth Ring Road of Beijing to investigate the correlation between sky visibility factors and air temperature for different building scenarios under the LCZ classification.
Figure 1.
Location and architecture of the study area. (a) The geographical location of the study area; (b) the geographical location of the Fifth Ring Road in Beijing; (c) satellite image of the study area; (d) vector map of the buildings in the study area.
2.2. Dataset
The data used in this study can be divided into two categories. One is multi-source city data for local climate zoning mapping, including high-resolution remote sensing images, Building Vector data (BVD), Open Street Map (OSM), and Land Use and Land Cover (LULC). OSM was used to divide the block units, and LULC and BVD were used to calculate the parameters of block units. High-resolution remote sensing images are used to assist the judgment of local climate zoning mapping. The other is the initial validation meteorological data for ENVI-met microclimate numerical simulation. Table 1 shows the details of these two types of data.
Table 1.
Multi-source urban data and meteorological data used in the study.
3. Methodology
3.1. Local Climate Zoning Mapping
In this paper, the method based on geographic information system (GIS) is used for LCZ zoning mapping [18,33,34]. First, we obtained the smallest block unit of the local climate division based on OSM network data [35]. Then, based on the BVD data, the Building Surface Fraction (BSF), sky view factor (SVF), and Height of Roughness Elements (HRE) of the block units were calculated. The Pervious Surface Fraction (PSF) and Impervious Surface Fraction (ISF) are calculated based on LULC data. These five parameters are used to map local climate zones. Finally, we modify misclassified units by comparing historical data with manual visual interpretation. It is worth noting that unlike the classification method based on remote sensing, the GIS-based method cannot effectively distinguish urban parks containing water. Therefore, in this paper, we separately classify urban parks into an independent class.
3.2. Design of ENVI-Met Simulation Model
According to Stewart and Oke, the areas of interest about Local Climate Zone definitions were divided into 17 standard LCZ types including 10 Urban types and 7 Natural types [17]. Furthermore, due to the fact that the main LCZ types of urban areas of Beijing are LCZ 1–LCZ 9, we built the ENVI-met simulation model of LCZ 1–9 according to the spatial distribution and morphological characteristics of real architectural scenes in the Beijing urban area, and detailed information on each LCZ type is shown in Table 2.
Table 2.
The detailed information of LCZ 1–9 [17].
3.3. Field Measurements and Evaluation Results
To validate the effectiveness of the numerical model, we carried out a field measurement at Building F of Beijing University of Civil Engineering and Architecture, Beijing, China, from 6:00 on 1 August to 6:00 on 2 August 2021. Figure 2a shows the remote sensing image of the experimental field, which is an open mid-rise scenario. Since the independent building on the south side of the scenario is not shaded by other buildings, we chose it to install five sets of infrared thermometry systems to collect temperature data from the roof and four walls of this building. Additionally, handheld weather stations were also placed around the building to measure relative humidity, wind speed, and average air temperature in the scenario every two hours. Shown in Figure 2b is the schematic diagram of the ENVI-met model in this local zone. The heights of buildings and vegetation in the simulated model were set based on the measurement results. The validation results in Table 3 indicate that the correlation coefficients (r) for the measured and simulated data of each wall are all above 0.96, the root mean square errors (RMSEs) are all below 2.2 °C, and the mean absolute percentage errors (MAPEs) are all less than 5%. Thus, ENVI-met can be used to obtain simulated numerical values and study the interplay between urban morphology and thermal environment.
Figure 2.
(a) Remote sensing image of the experimental area; (b) the simulated scenario input into ENVI-met.
Table 3.
Validation results of simulation accuracy.
4. Results
4.1. Local Climate Zoning Classification
From the building statistics results, as shown in Table 4, the intra-city building types are the main LCZ distribution types, with LCZ 1–6 dominating the building types. The experiment obtained 2279 LCZ classification results based on the road network data divided into neighborhoods; the proportion of intra-urban LCZ building types in the region is about 74% (1691) and is concentrated within the fifth ring. The actual proportion of LCZ building types inside the fifth ring will be higher. In terms of building openness, there is little difference between the proportion of open and dense buildings. In terms of building height, the proportion of medium-rise buildings is the highest, accounting for about 39% of building types, and the proportion of the 10 building types set as a standard concentration of higher parent categories is consistent with the quantitative pattern of building types within the city.
Table 4.
Statistical results of local climate zoning classification.
The inner part of the city shows a distribution pattern consistent with the urban development plan of Beijing. Figure 3 displays that the spatial scale of the inner-city neighborhoods is gradually increasing from the inner city to the outer city due to the influence of roads, and the spatial arrangement of buildings from the inner city to the outer city is gradually irregular, except for the areas where large and light buildings are concentrated. The building density decreases radially from the urban core area to the outside of the Fifth Ring Road, with fewer LCZ types on the northern side than on the southern side and a concentrated distribution of each type, reflecting the urban development process; the vegetation coverage outside the Fifth Ring Road shows an obvious upward trend, presenting a more obvious urban development boundary, and on the northwest side, there is a significant expanse of vegetation coverage, corresponding to Beijing’s ecological conservation policy; water bodies are distributed more evenly in all areas of the city, with large areas of water bodies within the Fifth Ring Road. Within the Fifth Ring Road, various parks have been built around large water bodies.
Figure 3.
Local climate zoning within the Fifth Ring Road of Beijing.
The LCZ types in different urban areas show different spatial distribution characteristics, reflecting the potential connection between urban architecture and the planning position of each urban area within the city. The urban center, mainly in the east and west of the city, and the horizontal and vertical axes with the city center as the origin are characterized by a high concentration of low- and medium-rise buildings, which correspond to the historic conservation areas in the city; the Haidian District, to the northwest of the Fifth Ring Road, is characterized by a high concentration of medium- and high-rise buildings, which correspond to the science and innovation center complex; the Shijingshan District, to the northwest of the Fifth Ring Road, and the Chaoyang District, to the northeast of the city, are characterized by a high concentration of open buildings, which correspond to the integrated residential areas in the city. In the southern part of the Fifth Ring Road, there are more LCZ 7–9 buildings than in the northern part of the city, which corresponds to the emerging areas of urban development and transformation.
As a result, the area within the Fifth Ring Road of Beijing, which is dominated by LCZ 1–LCZ 6, shows a more mature level of development and a stronger concentration of LCZ zones on the north side than on the south side, and the relationship between LCZ classifications and the urban thermal environment on the north and south sides remains to be explored (discussed). Therefore, the investigation of the sky visibility factor and air temperature in the LCZ 1–6 building types mainly distributed in the smooth area on the north side can more easily identify the potential patterns between the two and provide reference suggestions for the subsequent development on the south side while obtaining the causes of the thermal environment in the urban area on the north side.
4.2. Simulated Results
4.2.1. Subsubsection
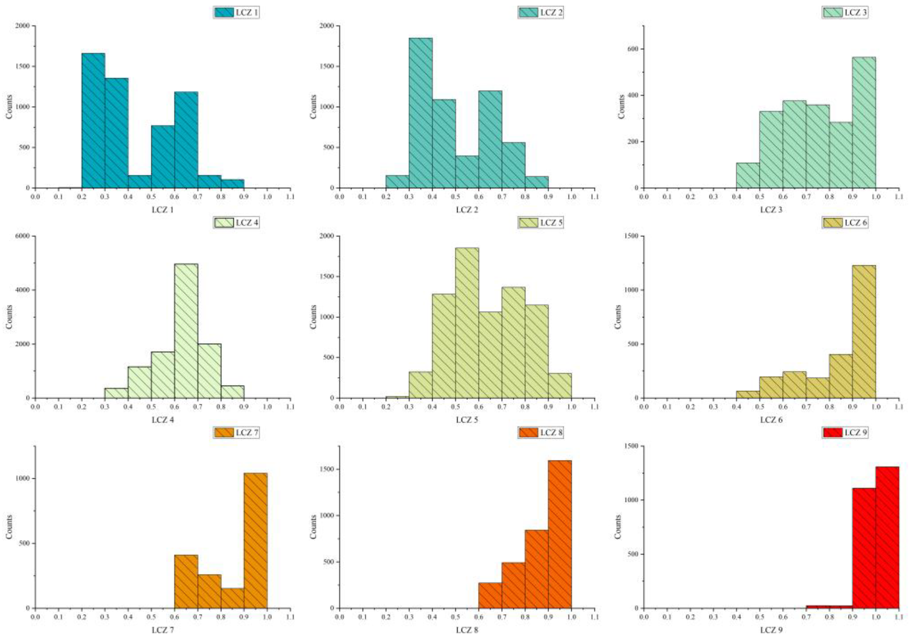
Through the calculation and statistics of the simulation scenarios, we obtained the SVF value of the smallest unit in each simulation scenario; the disregulation of different LCZs is similar to the results of Tong et al. [36]. Figure 4 shows the spatial SVF distribution for the simulated scenarios. In addition, the SVF values within each scenario were statistically analyzed. Figure 5 displays the distribution of SVF values for each simulation scenario, while Figure 6 presents the frequency distribution of SVF values for each building scenario.
Figure 4.
SVF distribution for LCZ 1–9.
Figure 5.
The box line diagram of LCZ 1–9 statistical data.
Figure 6.
SVF frequency distribution statistics for LCZ 1–9.
As we can see, there are differences in the spatial distribution characteristics of the SVF due to the different building models in different scenarios. And there is a more obvious bimodal and skewed distribution for all values except LCZ 4 and LCZ 5. The relationship between the median and mean values within each category reflects its bias, i.e., the data are right-skewed when the median value is lower than the mean and vice versa. It can also be seen that the dense LCZ categories are more skewed to the right than the other LCZ categories, which helps us to make judgments about the density of buildings in non-visualized or unfamiliar LCZ scenes.
Overall, the SVF values increase significantly as the density of the buildings decreases and the height decreases. The low rise in SVF values in the low-rise areas is evident in the three categories of dense low-rise buildings, light low-rise buildings, and large low-rise buildings, which all have high SVF values regardless of the openness of the buildings corresponding to the LCZ categories, with the large increase in overall SVF values in LCZ 3 compared to LCZ 2 suggesting that there may be a height threshold for the effect of building height on sky visibility. However, there is no significant change in the open areas, but the significant increase in the concentration of low SVF values in the scattered buildings in LCZ 9 compared to the dense low-rise buildings in LCZ 7 suggests that there may be a width range for the effect of openness between buildings on sky visibility. Furthermore, a comparison of LCZ 1–LCZ 3 and LCZ 4–LCZ 6 on a case-by-case basis shows that an increase in openness between buildings leads to a small increase in SVF values, especially in the lower limit of their concentrated areas, suggesting that SVF values in concentrated areas reflect the degree of openness within the building mass to some extent. The mid-rise buildings show a significant increase in the lower values when the openness increases, compared to the lower LCZ5 mid-rise, which is less affected by the degree of openness. The apparent rise in the taller buildings may be a consequence of the increase in openness between zones. Scattered buildings have SVF values close to 1 except for very small areas of the building that are obscured by the building, so the outliers actually reflect SVF values in very small areas close to the building perimeter.
4.2.2. Air Temperature for LCZ 1–9
As shown in Figure 7, at 12:00, the temperature distribution of each building group shows a low center and high outside, which the shadows of the buildings may cause, while the higher temperature around LCZ 9 may be due to the small area of the shadows of the individual buildings, which cannot produce a cold arrival effect inside the area; the temperature shows a gradual decrease from the northwest to the southeast side, which is caused by the wind direction.
Figure 7.
The air temperature distribution diagram for LCZ 1–9 at 12:00.
For each simulation scenario, we calculated the average air temperature at 12 moments from 6:00 to 18:00, as shown in Figure 8. The overall trend of temperature within each scene that can be seen is to rise and then fall, with the peak occurring uniformly at around 14:00, which may be linked to the accumulation of thermal radiation within the city. The difference in air temperature between LCZ categories is greater in the morning than in the afternoon, the maximum difference in temperature between categories is around 3 °C in the morning, with a gradual regional consistency from 11:00 onwards, and the minimum difference in temperature is within 0.5 °C. Of these, LCZ 1 and LCZ 2 building temperatures are significantly lower than the other types before 11:00, which is consistent with the fact that temperatures in compact urban spaces are typically lower than those in open spaces [25], which remains consistent with the findings of other researchers. Meanwhile, the results of Jun et al. show that average air temperature increases with increasing building spacing during the summer daytime for the same urban building height; temperature decreases with increasing building height for the same building spacing [37], and our study is broadly consistent with this pattern. LCZ 3–9 air temperature shows two more distinct peaks and a trough, with the first peak occurring between 7:00 and 9:00 and the second at 13:00–15:00, and the trough occurs at 10:00–12:00. In addition, the air temperature around the LCZ shows lower levels in LCZ 3–LCZ 9, suggesting that the air temperature is also affected to some extent when the area is sufficiently open.
Figure 8.
Scatter plot of average air temperature for LCZ 1–9 during the day from 6:00 to 18:00.
4.3. Relationship between SVF and Air Temperature
In this paper, we analyzed the correlation between SVF and air temperature. Considering that most of the data within each category did not conform to the normal distribution pattern, we used the Spearman coefficient for the analysis. As can be seen from Table 5, in general, the SVF values of each category correlate with the air temperature within the category to varying degrees and are all significant at the 0.05 level. The SVF values of LCZ 1, LCZ 2, and LCZ 5 showed a more significant positive correlation with air temperature than the other categories; the SVF values of LCZ 3, LCZ 4, and LCZ 5 showed a weaker positive correlation with air temperature; the SVF values of LCZ 6–9 showed a negative and then a positive correlation with air temperature. On a moment-by-moment basis, with 12:00 as the dividing line, there is no consistent pattern of correlation between the data and SVF before this time; after this time, all categories of SVF and air temperature show a weak positive correlation. Figure 9 shows the Spearman correlation coefficient between SVF and near-surface air temperature in various scenarios during the day.
Table 5.
SVF and air temperature Spearman coefficients at different moments of the day for LCZ 1–9.
Figure 9.
Spearman correlation coefficient between SVF and near-surface air temperature in different scenarios during the day (** p < 0.01).
We normalized the air temperature at 12 moments of each building scenario. During the day, solar radiation undergoes a process of gradual enhancement, accumulation, and gradual weakening, which leads to different relationships between SVF and air temperature at different stages. Therefore, in this paper, 8:00, 11:00, and 15:00 are selected as the representative moments of the beginning of the solar radiation enhancement stage, the solar radiation accumulation stage, and the solar radiation gradual weakening stage.
Firstly, we statistically analyzed the simulated near-surface air temperature data and sky view factor data at each hour to obtain the correlation between them. From the experimental results, the correlation between near-surface air temperature and SVF in the city during daytime is roughly positive. In other words, the denser the urban building area, the higher the probability of high temperature around the building area, and these results show a similar trend to the research results of Hai et al. [38,39]. In addition, the correlation between daytime SVF and air temperature showed a weak trend of increasing and then decreasing with time series, which may be related to the timing of exposure to direct sunlight and the amount of solar radiation absorbed and released near the buildings during different time periods [40,41].
Accordingly, we further analyzed the correlation between air temperature and SVF under each local climate zone. It can be seen that the strength of the correlation varies among the local climate zones, indicating that the SVF has different effects on the air temperature in the surrounding area. Furthermore, since the near-surface air temperature in different scenes is affected by many factors such as wind speed and the spatial pattern, while the percentage of impervious surface in each scenario also remains different, the response of the air temperature to the SVF in the scenario varies among scenarios [39].
We can see from Figure 10 that at 8:00, the air temperature in the dense areas of the buildings shows a weak correlation with the air temperature. The difference between the air temperature corresponding to the SVF values in different intervals varies greatly, and the change in air temperature is small and concentrated when the SVF is large or small; the correlation between the air temperature and the SVF in the open areas of the buildings is not obvious, and the air temperature fluctuates in a wide range but is concentrated in the fluctuation range. The SVF value and the air temperature show a more obvious negative correlation, and the dispersion of air temperature gradually decreases with the increase in SVF value.
Figure 10.
Scatter plot and linear fit of SVF and air temperature for LCZ 1–9 at 8:00.
Specifically, as shown in Figure 11, at 11:00, the correlation between SVF and air temperature becomes stronger, and there is no significant change in the dispersion of the data. LCZ 1-LCZ 6 SVF and air temperature show a weak positive correlation, and LCZ 3 has a stronger positive correlation than the other five categories; LCZ 7–LCZ 9 SVF and air temperature show a strong negative correlation, and when the SVF value tends to 1, the air temperature drops significantly.
Figure 11.
Scatter plot and linear fit of SVF and air temperature for LCZ 1–9 at 11:00.
As shown in Figure 12, at 15:00, all categories of SVF showed positive correlations with air temperature to varying degrees, with LCZ 3, LCZ 5, and LCZ 6 showing more significant positive correlations compared to morning and midday, while the direction of correlation between SVF and air temperature for the remaining building categories changed significantly from negative to positive.
Figure 12.
Scatter plot and linear fit of SVF and air temperature for LCZ 1–9 at 15:00.
5. Discussion
5.1. Performance of Air Temperature at Night
The correlation between SVF and air temperature can be seen to show an overall trend of increasing and then decreasing at night, with stronger correlations at 22:00 and 1:00. The correlation between SVF and air temperature varies from category to category. The correlation between SVF and air temperature data tends to be stronger for data that show the correlation in the same direction throughout the period. That is, the directionality of the correlation varies for LCZ 1, LCZ 2, LCZ 4, and LCZ 6, and the correlation between sky visualization factors and air temperature is less strong than for the five categories LCZ 3, LCZ 5, LCZ 7, LCZ 8, and LCZ 9. In particular, it is noted that the SVF and air temperature for all five categories of data show varying degrees of negative correlation at night, i.e., the higher the sky visibility within the category, the lower the air temperature, as the areas outside the buildings at night are no longer visible. In addition, the strength of the air temperature correlations for each category showed a bias at the two preceding and following times if 0:00 p.m. was used as the time limit. For the five categories LCZ 3, LCZ 5, LCZ 7, LCZ 8, and LCZ 9, where the direction of correlation does not change, all five categories show a stronger correlation after 0:00, except for LCZ 5, where SVF shows a stronger correlation with air temperature before 0:00. Table 6 shows the correlation between SVF and air temperature at night for each building scenario. Figure 13 shows the Spearman correlation coefficient between SVF and near-surface air temperature for each scenario at night.
Table 6.
Spearman’s correlation coefficient at different moments of the nighttime for LCZ 1–9.
Figure 13.
Spearman correlation coefficient between SVF and near-surface air temperature in different scenarios at night (* p < 0.05 ** p < 0.01).
As shown in Figure 14, at 22:00, except for the high-rise open building (LCZ 4) where SVF showed a weak positive correlation with air temperature, the other types of SVF showed different degrees of positive correlation with air temperature, with LCZ 7, LCZ 8, and LCZ 9 SVF showing a stronger positive correlation with air temperature than the other types. In addition, the air temperature drops sharply and changes dramatically when the SVF is higher.
Figure 14.
Scatter plot and linear fit curve of SVF and air temperature for LCZ 1–9 at 22:00.
As shown in Figure 15, at 1:00, all LCZ types’ SVF showed a negative correlation with air temperature to varying degrees, except for LCZ 6’s SVF, which showed a very weak correlation with air temperature. The correlation between LCZ 1 and LCZ 2 is stronger when the air temperature fluctuates less, when the SVF is small, but it becomes weaker when the SVF is large. The remaining types also follow this pattern, but to a lesser extent than LCZ 1 and LCZ 2.
Figure 15.
Scatter plot and linear fit curve of SVF and air temperature for LCZ 1–9 at 1:00.
5.2. Other Factors Related to Air Temperature
When using ENVI-met for numerical simulation, we set some initial parameter values like the air temperature from the meteorological station, wind direction, wind speed, and relative humidity. Figure 16, Figure 17 and Figure 18 are the distribution map of wind direction, wind speed, and relative humidity in LCZ 1–9 scenarios at 12:00. These parameter values are set to obtain the specific values distributed in each area of different scenarios. The specific process is to set the wind speed at the southeast corner as an initial wind speed, and the wind direction is set to bloom from southeast to northwest. By simulating the wind speed and humidity of each area, the building scenarios are obtained.
Figure 16.
The relative humidity distribution diagram for LCZ 1–9 at 12:00.
Figure 17.
The wind direction distribution diagram for LCZ 1–9 at 12:00.
Figure 18.
The wind speed distribution diagram for LCZ 1–9 at 12:00.
Relevant studies mentioned that the air temperature in the area is affected by various factors such as wind speed and relative humidity [42,43]. At the same time, SVF is also possibly related to these factors, which may affect the accuracy of our results. Therefore, we further explored the correlation between SVF, wind speed, relative humidity, and air temperature. In addition, we use wind speed and relative humidity as control variables to conduct partial correlation analyses on the SVF and air temperature in all scenarios at each time point.
Table 7 and Table 8 show the correlation value at 8:00, 11:00, and 15:00. From the results, it can be confirmed that SVF, wind speed, and relative humidity have different degrees of correlation with air temperature, and relative humidity and SVF have a more significant impact on air temperature than wind speed in the local climate zone.
Table 7.
Correlation between air temperature and SVF, relative humidity, and wind speed in all scenarios without control variables.
Table 8.
Correlation between air temperature and SVF in all scenarios under the condition that relative humidity and wind speed are the control variables, respectively.
From the results of partial correlation analysis, the correlation between air temperature and SVF is steadily significant when the near-surface air temperature and wind speed are controlled, indicating that the correlation between air temperature and SVF is still relatively small under the influence of multiple factors.
5.3. Limitations
Although GIS-based classification methods are more stringent by definition, they still have some limitations. The block units divided based on the road network sometimes cannot distinguish the mixed LCZ class well, and the areas covering a large area and few roads, such as urban parks, cannot be divided more carefully. From this point of view, the classification method based on remote sensing can make up for this defect well. In the future, a new LCZ classification method can be designed to combine the advantages of the GIS classification method and the remote sensing classification method.
Due to the limitations of experimental conditions and time, the model design of this study has some deficiencies, such as the fact that the overall scenario size of all models is not controlled to be exactly the same, vegetation factors are not taken into account, etc. These deficiencies will affect the experimental results to a certain extent.
6. Conclusions
This research investigates the relationship between SVF and air temperature in different building scenarios through ENVI-met based on the LCZ classification framework. The main conclusions are as follows.
The correlation and degree of correlation between SVF and air temperature vary between the different LCZ classifications, but overall, the local areas under the LCZ classification show a weak correlation between SVF and air temperature.
The correlations between SVF and air temperature in different LCZ classifications show different changes in the direction and degree of correlation with time. In particular, the correlation between SVF and air temperature in local climatic zones varies greatly between daytime and nighttime, i.e., SVF and TA show a positive correlation in most LCZs during the daytime but a negative correlation at night, with the correlation fluctuating at night and then gradually increasing in the first half of the night and gradually decreasing in the second half of the night. Specifically, LCZ 1–LCZ 5 show different degrees of positive correlations between SVF and air temperature during the day, with LCZ 3’s correlations being stronger, while classifications with strong correlations during the day tend to have weaker negative correlations during the night.
LCZ 1 and LCZ 2 show a weak positive correlation between SVF and TA during the day, a weaker correlation in the afternoon, and then a weaker correlation in the evening; LCZ 3 and LCZ 6 show a sharp drop in correlation from midday to around 14:00 pm and then a similar trend in the evening. This indicates that the air temperature and SVF of low-rise dense buildings and low-rise open buildings may be more influenced by solar radiation, for example. LCZ 7–9 show a significant negative correlation between SVF and TA in the morning, with a stronger correlation than at other times, and a positive correlation in the afternoon, followed by a negative correlation in the evening, with the strength of the correlation increasing with time. In addition, LCZ 5’s trends remained consistent, but positive correlations were higher during the day, with sharp changes in correlations between 17:00 and 20:00, while correlations were more consistent between 20:00 and 22:00.
This study can provide a reference for urban planning and design and urban heat mitigation decision making.
Author Contributions
Conceptualization, Q.C. (Qiang Chen) and R.L.; methodology, R.L. and R.W.; software, R.L. and R.W.; validation, R.L., R.W. and Q.C. (Qianhao Cheng); formal analysis, R.W.; investigation, R.L. and R.W.; resources, R.L., R.W. and Q.C. (Qianhao Cheng); data curation, R.W.; writing—original draft preparation, R.W.; writing—review and editing, R.W.; visualization, R.W. and R.L.; supervision, Q.C. (Qiang Chen); project administration, Q.C. (Qiang Chen) and M.D.; funding acquisition, Q.C. (Qiang Chen). All authors have read and agreed to the published version of the manuscript.
Funding
This work was supported in part by the Pyramid Talent Training Project of Beijing University of Civil Engineering and Architecture, JDYC20200321.
Data Availability Statement
The data that support the findings of this study are available from the author upon reasonable request.
Acknowledgments
The authors would like to thank the editors and anonymous reviewers for their valuable time and efforts in reviewing this manuscript.
Conflicts of Interest
The authors declare no conflict of interest.
References
- Ritchie, H.; Roser, M. Urbanization. Available online: https://ourworldindata.org/urbanization (accessed on 22 June 2023).
- Sicard, P.; Agathokleous, E.; Anenberg, S.C.; De Marco, A.; Paoletti, E.; Calatayud, V. Trends in urban air pollution over the last two decades: A global perspective. Sci. Total Environ. 2023, 858, 160064. [Google Scholar] [CrossRef] [PubMed]
- Bagheri-Gavkosh, M.; Hosseini, S.M.; Ataie-Ashtiani, B.; Sohani, Y.; Ebrahimian, H.; Morovat, F.; Ashrafi, S. Land subsidence: A global challenge. Sci. Total Environ. 2021, 778, 146193. [Google Scholar] [CrossRef] [PubMed]
- Huang, K.; Li, X.; Liu, X.; Seto, K.C. Projecting global urban land expansion and heat island intensification through 2050. Environ. Res. Lett. 2019, 14, 114037. [Google Scholar] [CrossRef]
- Lee, Y.Y.; Din, M.F.M.; Ponraj, M.; Noor, Z.Z.; Iwao, K.; Chelliapan, S. Overview of urban heat island (uhi) phenomenon towards human thermal comfort. Environ. Eng. Manag. J. (EEMJ) 2017, 16, 2097–2111. [Google Scholar]
- IPCC. Climate Change 2022: Impacts, Adaptation, and Vulnerability. In Contribution of Working Group II to the Sixth Assessment Report of the Intergovernmental Panel on Climate Change; Pörtner, H.-O., Roberts, D.C., Tignor, M., Poloczanska, E.S., Mintenbeck, K., Alegría, A., Craig, M., Langsdorf, S., Löschke, S., Möller, V., et al., Eds.; Cambridge University Press: Cambridge, UK; New York, NY, USA, 2022; p. 3056. [Google Scholar] [CrossRef]
- Oke, T.R. The energetic basis of the urban heat island. Q. J. R. Meteorol. Soc. 1982, 108, 1–24. [Google Scholar] [CrossRef]
- Zhang, P.; Ren, G.; Qin, Y.; Zhai, Y.; Zhai, T.; Tysa, S.K.; Xue, X.; Yang, G.; Sun, X. Urbanization Effects on Estimates of Global Trends in Mean and Extreme Air Temperature. J. Clim. 2021, 34, 1923–1945. [Google Scholar] [CrossRef]
- Zhu, D.; Ooka, R. WRF-based scenario experiment research on urban heat island: A review. Urban Clim. 2023, 49, 101512. [Google Scholar] [CrossRef]
- Ching, J.; Mills, G.; Bechtel, B.; See, L.; Feddema, J.; Wang, X.; Ren, C.; Brousse, O.; Martilli, A.; Neophytou, M. WUDAPT: An urban weather, climate, and environmental modeling infrastructure for the anthropocene. Bull. Am. Meteorol. Soc. 2018, 99, 1907–1924. [Google Scholar] [CrossRef]
- Kim, S.W.; Brown, R.D. Urban heat island (UHI) intensity and magnitude estimations: A systematic literature review. Sci. Total Environ. 2021, 779, 146389. [Google Scholar] [CrossRef]
- Manley, G. On the frequency of snowfall in metropolitan England. Q. J. R. Meteorol. Soc. 1958, 84, 70–72. [Google Scholar] [CrossRef]
- Werndl, C. On defining climate and climate change. Br. J. Philos. Sci. 2016, 67, 337–364. [Google Scholar] [CrossRef]
- Peiró, M.N.; Sánchez, C.S.-G.; González, F.N. Source area definition for local climate zones studies. A systematic review. Build. Environ. 2019, 148, 258–285. [Google Scholar] [CrossRef]
- Kotthaus, S.; Grimmond, C.S.B. Energy exchange in a dense urban environment–Part II: Impact of spatial heterogeneity of the surface. Urban Clim. 2014, 10, 281–307. [Google Scholar] [CrossRef]
- Gao, Y.; Zhao, J.; Han, L. Exploring the spatial heterogeneity of urban heat island effect and its relationship to block morphology with the geographically weighted regression model. Sustain. Cities Soc. 2022, 76, 103431. [Google Scholar] [CrossRef]
- Stewart, I.D.; Oke, T.R. Local Climate Zones for Urban Temperature Studies. Bull. Am. Meteorol. Soc. 2012, 93, 1879–1900. [Google Scholar] [CrossRef]
- Aslam, A.; Rana, I.A. The use of local climate zones in the urban environment: A systematic review of data sources, methods, and themes. Urban Clim. 2022, 42, 101120. [Google Scholar] [CrossRef]
- Huang, F.; Jiang, S.; Zhan, W.; Bechtel, B.; Liu, Z.; Demuzere, M.; Huang, Y.; Xu, Y.; Ma, L.; Xia, W. Mapping local climate zones for cities: A large review. Remote Sens. Environ. 2023, 292, 113573. [Google Scholar] [CrossRef]
- Middel, A.; Häb, K.; Brazel, A.J.; Martin, C.A.; Guhathakurta, S. Impact of urban form and design on mid-afternoon microclimate in Phoenix Local Climate Zones. Landsc. Urban Plan. 2014, 122, 16–28. [Google Scholar] [CrossRef]
- Zhou, L.; Yuan, B.; Hu, F.; Wei, C.; Dang, X.; Sun, D. Understanding the effects of 2D/3D urban morphology on land surface temperature based on local climate zones. Build. Environ. 2022, 208, 108578. [Google Scholar] [CrossRef]
- Watson, I.; Johnson, G. Graphical estimation of sky view-factors in urban environments. J. Climatol. 1987, 7, 193–197. [Google Scholar] [CrossRef]
- Dirksen, M.; Ronda, R.; Theeuwes, N.; Pagani, G. Sky view factor calculations and its application in urban heat island studies. Urban Clim. 2019, 30, 100498. [Google Scholar] [CrossRef]
- Gál, T.M.; Rzepa, M.; Gromek, B.; Unger, J. Comparison between sky view factor values computed by two different methods in an urban environment. Acta Climatol. Et Chorol. 2007, 40, 17–26. [Google Scholar]
- Lai, D.; Liu, W.; Gan, T.; Liu, K.; Chen, Q. A review of mitigating strategies to improve the thermal environment and thermal comfort in urban outdoor spaces. Sci. Total Environ. 2019, 661, 337–353. [Google Scholar] [CrossRef] [PubMed]
- Lai, D.; Lian, Z.; Liu, W.; Guo, C.; Liu, W.; Liu, K.; Chen, Q. A comprehensive review of thermal comfort studies in urban open spaces. Sci. Total Environ. 2020, 742, 140092. [Google Scholar] [CrossRef]
- Lai, D.; Guo, D.; Hou, Y.; Lin, C.; Chen, Q. Studies of outdoor thermal comfort in northern China. Build. Environ. 2014, 77, 110–118. [Google Scholar] [CrossRef]
- Eliasson, I.; Svensson, M. Spatial air temperature variations and urban land use-a statistical approach. Meteorol. Appl. 2003, 10, 135–149. [Google Scholar] [CrossRef]
- Xu, H.; Chen, H.; Zhou, X.; Wu, Y.; Liu, Y. Research on the relationship between urban morphology and air temperature based on mobile measurement: A case study in Wuhan, China. Urban Clim. 2020, 34, 100671. [Google Scholar] [CrossRef]
- Chen, L.; Ng, E.; An, X.; Ren, C.; Lee, M.; Wang, U.; He, Z. Sky view factor analysis of street canyons and its implications for daytime intra-urban air temperature differentials in high-rise, high-density urban areas of Hong Kong: A GIS-based simulation approach. Int. J. Climatol. 2012, 32, 121–136. [Google Scholar] [CrossRef]
- New Statistical Yearbooks. Available online: https://nj.tjj.beijing.gov.cn/nj/main/2022-tjnj/zk/e/zk/indexeh.htm (accessed on 22 June 2023).
- Overview of Beijing. Available online: https://www.beijing.gov.cn/renwen/bjgk/ (accessed on 22 June 2023).
- Ziesche, A.; Bergelt, J.; Deubel, H.; Hamker, F.H. Pre-and post-saccadic stimulus timing in saccadic suppression of displacement—A computational model. Vis. Res. 2017, 138, 1–11. [Google Scholar] [CrossRef]
- Emery, J.; Pohl, B.; Crétat, J.; Richard, Y.; Pergaud, J.; Rega, M.; Zito, S.; Dudek, J.; Vairet, T.; Joly, D. How local climate zones influence urban air temperature: Measurements by bicycle in Dijon, France. Urban Clim. 2021, 40, 101017. [Google Scholar] [CrossRef]
- Yonghuan, M.; Linlin, L.; Da, X.; Meng, C.; Chao, R.; Meiling, Z.; Wenhua, H.; Qingting, L. Urban thermal environment analysis by local climate zone in Beijing. J. Beijing Norm. Univ. (Nat. Sci.) 2022, 58, 901–909. [Google Scholar]
- Lyu, T.; Buccolieri, R.; Gao, Z. A Numerical Study on the Correlation between Sky View Factor and Summer Microclimate of Local Climate Zones. Atmosphere 2019, 10, 438. [Google Scholar] [CrossRef]
- Zhang, J.; Cui, P.; Song, H. Impact of urban morphology on outdoor air temperature and microclimate optimization strategy base on Pareto optimality in Northeast China. Build. Environ. 2020, 180, 107035. [Google Scholar] [CrossRef]
- Yu, Z.; Chen, S.; Wong, N.H.; Ignatius, M.; Deng, J.; He, Y.; Hii, D.J.C. Dependence between urban morphology and outdoor air temperature: A tropical campus study using random forests algorithm. Sustain. Cities Soc. 2020, 61, 102200. [Google Scholar] [CrossRef]
- Yan, H.; Wu, F.; Nan, X.; Han, Q.; Shao, F.; Bao, Z. Influence of view factors on intra-urban air temperature and thermal comfort variability in a temperate city. Sci. Total Environ. 2022, 841, 156720. [Google Scholar] [CrossRef]
- Chen, Q.; Liu, R.; Cheng, Q.; Chen, Y.; Cao, S.; Du, M.; Li, K. Evaluating the impact of sky view factor and building shadow ratio on air temperature in different residential and commercial building scenarios: A case study of Beijing, China. Urban Clim. 2023, 49, 101509. [Google Scholar] [CrossRef]
- Gong, F.-Y.; Zeng, Z.-C.; Ng, E.; Norford, L.K. Spatiotemporal patterns of street-level solar radiation estimated using Google Street View in a high-density urban environment. Build. Environ. 2019, 148, 547–566. [Google Scholar] [CrossRef]
- Eliasson, I. Urban geometry, surface temperature and air temperature. Energy Build. 1990, 15, 141–145. [Google Scholar] [CrossRef]
- He, X.; Miao, S.; Shen, S.; Li, J.; Zhang, B.; Zhang, Z.; Chen, X. Influence of sky view factor on outdoor thermal environment and physiological equivalent temperature. Int. J. Biometeorol. 2015, 59, 285–297. [Google Scholar] [CrossRef]
Disclaimer/Publisher’s Note: The statements, opinions and data contained in all publications are solely those of the individual author(s) and contributor(s) and not of MDPI and/or the editor(s). MDPI and/or the editor(s) disclaim responsibility for any injury to people or property resulting from any ideas, methods, instructions or products referred to in the content. |
© 2023 by the authors. Licensee MDPI, Basel, Switzerland. This article is an open access article distributed under the terms and conditions of the Creative Commons Attribution (CC BY) license (https://creativecommons.org/licenses/by/4.0/).


























