Fluctuating Wind Pressure Characteristics of Dome Roofs with Low Rise-Span Ratio
Abstract
:1. Introduction
2. Wind Tunnel Tests
2.1. Test Model
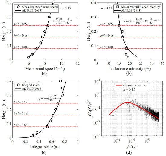
2.2. Characteristics of Approaching Flow and Data Acquisition
2.3. Definitions of Wind Pressure Coefficients
3. Fluctuating Wind Pressure Characteristics on Spherical Dome with Low Rise-Span Ratio
3.1. Distribution of Pressure Coefficients
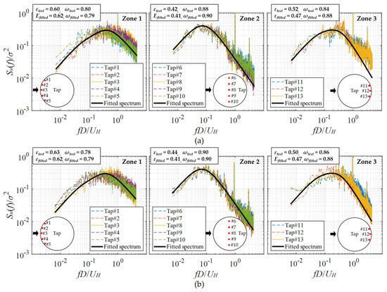
3.2. Characteristics of Fluctuating Pressure Spectra
4. Modeling of Fluctuating Pressure Spectra
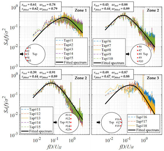
4.1. Comparison with Pressure Spectra Models from Previous Studies
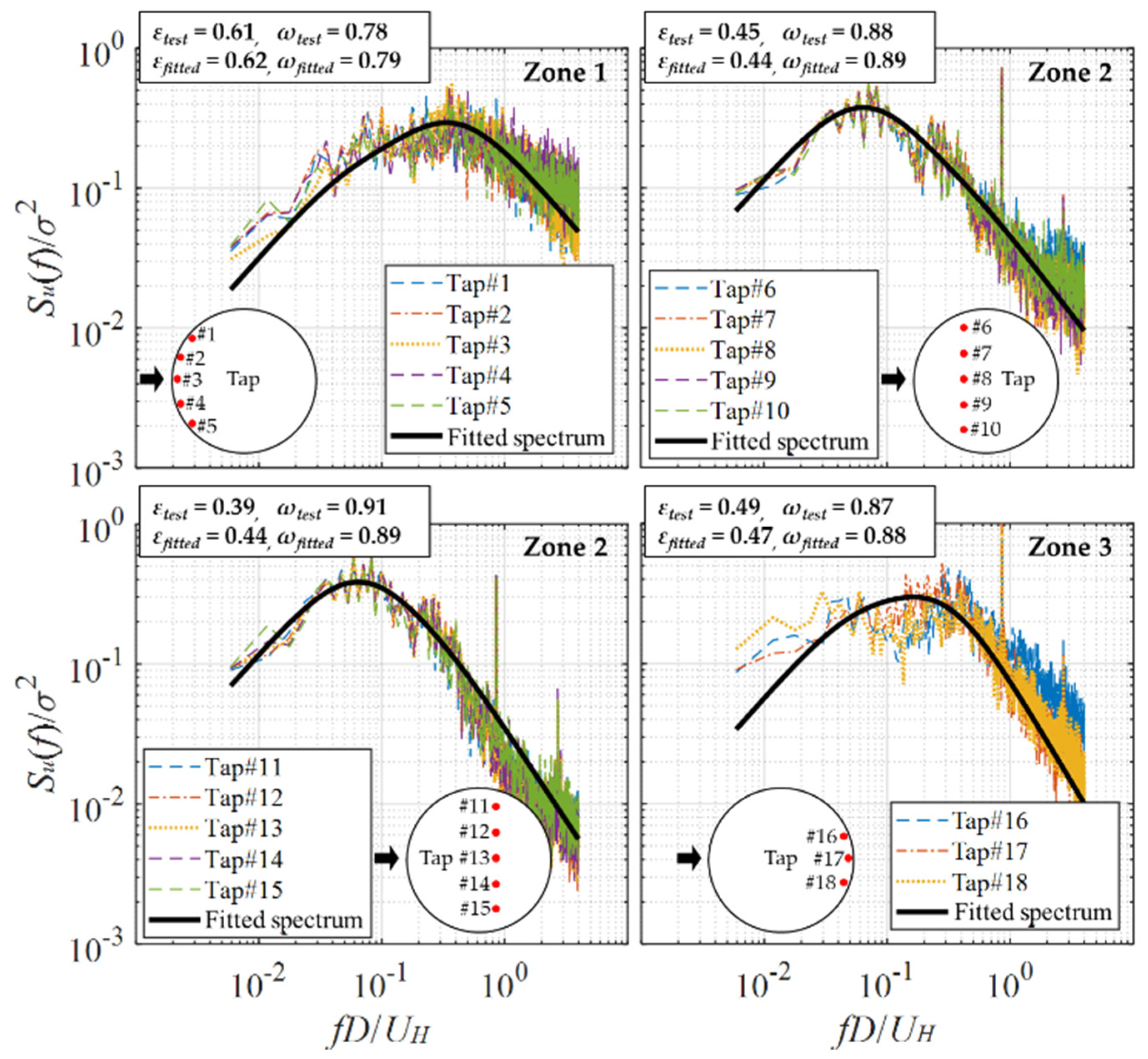
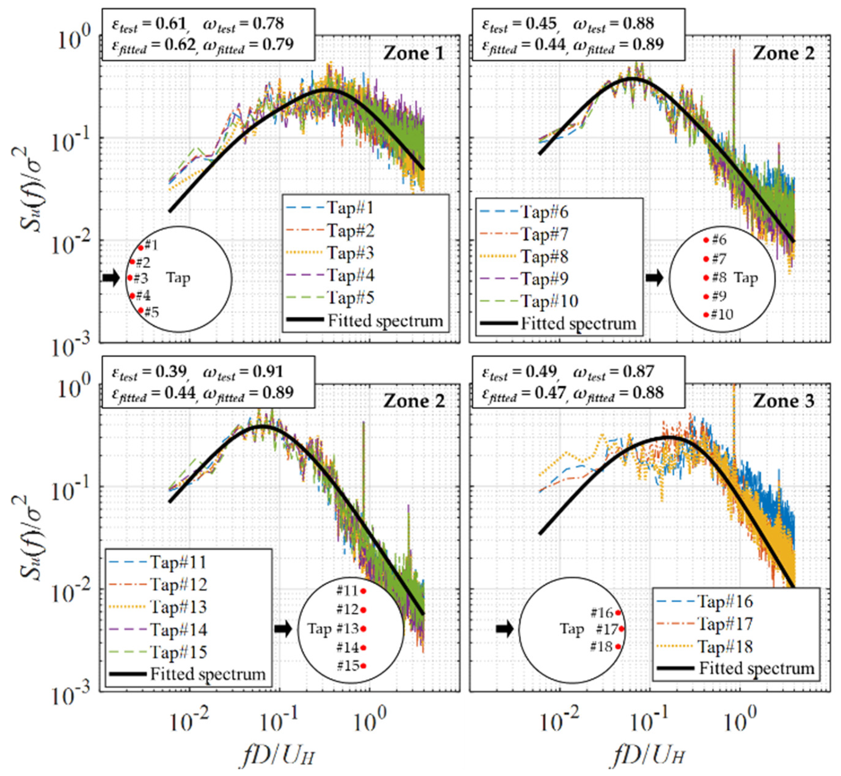
4.2. Modeling of Pressure Spectra for Dome Roofs with Low Rise–Span Ratio
5. Conclusions
- The experimental results confirmed that the flow patterns differed from the windward to the leeward side along the dome centerline. The windward zone was considerably influenced by the vortices generated by the separation of the approaching flow, whereas the leeward zone was influenced by the vortices caused by the wake.
- By comparing the wind pressure distribution and spectra of the dome roof with f/D = 0.1, which was the subject of this study, and those of previous studies with f/D = 0.14, the most significant difference was observed in the windward zone. When f/D = 0.14, the windward zone was directly influenced by the approaching flow. However, when f/D is reduced to 0.1, the approaching flow separates at the roof edge in the windward zone, and the windward zone is affected by the vortices generated by this separation.
- Although the pressure spectra varied according to tap location, similar spectral patterns were observed in the spanwise direction. Based on the characteristics observed in the wind pressure coefficients and pressure spectra, three zones were established according to the flow patterns and representative pressure spectra were derived for each zone. A comparison of the spectral model proposed in a previous study with the experimental results of the present study confirmed a significant difference between the experimental and spectral models owing to the difference in f/D.
- Finally, a modified pressure spectral model applicable to dome roofs with low f/D values was proposed. Based on spectral statistics, the average error between the measured and simulated spectra was less than 4%. This suggests that the modified pressure spectra model proposed in this study can effectively estimate the pressure fluctuations on spherical dome roofs with low f/D values, and can serve as a basis for the fatigue design of claddings and components.
Author Contributions
Funding
Data Availability Statement
Conflicts of Interest
References
- Toy, N.; Moss, W.D.; Savory, E. Wind tunnel studies on a dome in turbulent boundary layers. J. Wind Eng. Ind. 1983, 11, 201–212. [Google Scholar] [CrossRef]
- Taylor, T.J. Wind pressures on a hemispherical dome. J. Wind Eng. Ind. Aerodyn. 1991, 40, 199–213. [Google Scholar] [CrossRef]
- Uematsu, Y.; Yamada, M.; Inoue, A.; Hongo, T. Wind loads and wind-induced dynamic behavior of a single-layer latticed dome. J. Wind Eng. Ind. 1997, 66, 227–248. [Google Scholar] [CrossRef]
- Letchford, C.W.; Sarkar, P.P. Mean and fluctuating wind loads on rough and smooth parabolic domes. J. Wind Eng. Ind. 2000, 88, 101–117. [Google Scholar] [CrossRef]
- Cheng, C.M.; Fu, C.L. Characteristic of wind loads on a hemispherical dome in smooth flow and turbulent boundary layer flow. J. Wind Eng. Ind. 2010, 98, 328–344. [Google Scholar] [CrossRef]
- Noguchi, M.; Uematsu, Y. Design wind pressure coefficients for spherical domes. In Proceedings of the Annual Meeting, Chicago, IL, USA, 21–25 April 2003; pp. 177–178. [Google Scholar]
- Lee, J.H.; Kim, Y.C.; Cheon, D.J.; Yoon, S.W. Wind pressure characteristics of elliptical retractable dome roofs. J. Asian Archit. Build. Eng. 2022, 21, 1561–1577. [Google Scholar] [CrossRef]
- Rizzo, F.; Sepe, V.; Avossa, A.M. Wind pressures on a large span canopy roof. Wind Struct. 2020, 30, 299–316. [Google Scholar] [CrossRef]
- Sun, X.; Yu, R.; Wu, Y. Investigation on wind tunnel experiments of ridge-valley tensile membrane structures. Eng. Struct. 2019, 187, 280–298. [Google Scholar] [CrossRef]
- Zhang, Q. Experimental study of wind pressure on a long-span canopy roof structure using a wind tunnel. Iran. J. Sci. Technol. Trans. Civ. Eng. 2021, 45, 197–206. [Google Scholar] [CrossRef]
- Kumar, K.S.; Stathopoulos, T. Power spectra of wind pressures on low building roofs. J. Wind Eng. Ind. Aerodyn. 1998, 74–76, 665–674. [Google Scholar] [CrossRef]
- Uematsu, Y.; Moteki, T.; Hongo, T. Model of wind pressure field on circular flat roofs and its application to load estimation. J. Wind Eng. Ind. 2008, 96, 1003–1014. [Google Scholar] [CrossRef]
- Lo, Y.L.; Kanda, J. Cross spectra of wind pressures on domed roofs in boundary layer wind tunnel. In Proceedings of the Seventh International Colloquium on Bluff Body Aerodynamics and Applications, Shanghai, China, 2–6 September 2012; pp. 20–23. [Google Scholar]
- Sun, Y.; Qiu, Y.; Wu, Y. Modeling of wind pressure spectra on spherical domes. Int. J. Space Struct. 2013, 28, 87–99. [Google Scholar] [CrossRef]
- Cheon, D.J.; Kim, Y.C.; Lee, J.H.; Yoon, S.W. Experimental Investigation of Wind Pressure Characteristics for Cladding of Dome Roofs. Materials 2021, 14, 5266. [Google Scholar] [CrossRef] [PubMed]
- Cheon, D.J.; Lee, J.H.; Kim, Y.C.; Yoon, S.W. Analysis of Wind Pressure Characteristics of Retractable Dome Roof by Opening Type through Wind Tunnel Test. J. Korean Assoc. Spat. Struct. 2021, 21, 41–49. [Google Scholar] [CrossRef]
- Cheon, D.J.; Kim, Y.C.; Lee, J.H.; Yoon, S.W. Wind Pressure Spectra for Circular Closed and Open Dome Roofs. J. Korean Assoc. Spat. Struct. 2020, 20, 69–76. [Google Scholar] [CrossRef]
- Cheon, D.J.; Kim, Y.C.; Lee, J.H.; Yoon, S.W. Mean and Fluctuating Pressure Coefficient Distributions for Circular Closed and Open Dome Roofs. J. Korean Assoc. Spat. Struct. 2020, 20, 69–77. [Google Scholar] [CrossRef]
- Kim, Y.C.; Yoon, S.W.; Cheon, D.J.; Song, J.Y. Characteristics of wind pressures on retractable dome roofs and external peak pressure coefficients for cladding design. J. Wind Eng. Ind. 2019, 188, 294–307. [Google Scholar] [CrossRef]
- Park, M.J.; Yoon, S.W.; Kim, Y.C.; Cheon, D.J. Wind pressure characteristics based on the rise–span ratio of spherical domes with openings on the roof. Buildings 2022, 12, 576. [Google Scholar] [CrossRef]
- AIJ (Architectural Institute of Japan). AIJ Recommendations for Loads on Buildings; AIJ: Tokyo, Japan, 2015. [Google Scholar]
- Jang, Y.I.; Lee, S.J. PIV analysis of near-wake behind a sphere at a subcritical Reynolds number. Exp. Fluids 2008, 44, 905–914. [Google Scholar] [CrossRef]



















| f (in Full Scale, m) | h (in Full Scale, m) | D (in Full Scale, m) | f/D | h/D |
|---|---|---|---|---|
| 0.04 (6) | 0.04 (6) | 0.4 (60) | 0.1 | 0.1 |
| 0.12 (18) | 0.3 | |||
| 0.2 (30) | 0.5 |
| Conditions | Value |
|---|---|
| Length scale | 1/150 |
| Velocity scale | 1/3 |
| Time scale | 1/50 |
| Wind direction | 0 deg. |
| 10-min sample number | 10 |
| Sampling frequency | 1000 Hz |
| Uematsu et al. [12] | Sun et al. [14] | Present Study | |
|---|---|---|---|
| f/D | 0.0 | 0.14 | 0.1 |
| h/D | 0.125, 0.25, 0.5, 1 | 0.1, 0.2, 0.5 | 0.1, 0.3, 0.5 |
| Iu | 18% | 19% | 16% |
| α | 0.142 | 0.16 | 0.15 |
| D | 0.267 m | 0.6 m | 0.4 m |
| Zone | Weighted | |||||||
|---|---|---|---|---|---|---|---|---|
| Coefficients | ||||||||
| a | (1 − a) | λ | γ | κ1 | α | β | κ2 | |
| 1 | 0.8 | 0.2 | 1.22 | 100 | 0.4 | 1.2 | 0.44 | 2.5 |
| 2 | 0.1 | 0.9 | ||||||
| 3 | 0.5 | 0.5 | ||||||
| Zone | Weighted | |||||||||||
|---|---|---|---|---|---|---|---|---|---|---|---|---|
| Coefficients | ||||||||||||
| a | b | 1 − a − b | λ | γ | κ1 | α1 | β1 | κ2 | α2 | β2 | κ3 | |
| 1 | 0.9 | 0.1 | 0 | 1.22 | 0.04 | 2.37 | 10.87 | 340.19 | 1.02 | 0.22 | 0.11 | 1.97 |
| 2 | 0 | 1.0 | 0 | |||||||||
| 3 | 0 | 0.4 | 0.6 | |||||||||
| f/D | |||||||||
|---|---|---|---|---|---|---|---|---|---|
| α1 | β1 | κ1 | λ | γ | κ | α2 | β2 | κ2 | |
| 0.1 | 1.79 | 7.68 | 1.01 | 2.13 | 373.24 | 0.31 | 2.96 | 14.79 | 1.26 |
Disclaimer/Publisher’s Note: The statements, opinions and data contained in all publications are solely those of the individual author(s) and contributor(s) and not of MDPI and/or the editor(s). MDPI and/or the editor(s) disclaim responsibility for any injury to people or property resulting from any ideas, methods, instructions or products referred to in the content. |
© 2023 by the authors. Licensee MDPI, Basel, Switzerland. This article is an open access article distributed under the terms and conditions of the Creative Commons Attribution (CC BY) license (https://creativecommons.org/licenses/by/4.0/).
Share and Cite
Cheon, D.J.; Kim, Y.C.; Yoon, S.W. Fluctuating Wind Pressure Characteristics of Dome Roofs with Low Rise-Span Ratio. Buildings 2023, 13, 1673. https://doi.org/10.3390/buildings13071673
Cheon DJ, Kim YC, Yoon SW. Fluctuating Wind Pressure Characteristics of Dome Roofs with Low Rise-Span Ratio. Buildings. 2023; 13(7):1673. https://doi.org/10.3390/buildings13071673
Chicago/Turabian StyleCheon, Dong Jin, Yong Chul Kim, and Sung Won Yoon. 2023. "Fluctuating Wind Pressure Characteristics of Dome Roofs with Low Rise-Span Ratio" Buildings 13, no. 7: 1673. https://doi.org/10.3390/buildings13071673
APA StyleCheon, D. J., Kim, Y. C., & Yoon, S. W. (2023). Fluctuating Wind Pressure Characteristics of Dome Roofs with Low Rise-Span Ratio. Buildings, 13(7), 1673. https://doi.org/10.3390/buildings13071673

