Post-Earthquake Damage Identification of Buildings with LMSST
Abstract
1. Introduction
2. Time-Frequency Methods
2.1. Wigner Distribution
2.2. Smoothed Wigner–Ville Distribution
2.3. Synchrosqueezing Transform
2.4. Local Maximum Synchrosqueezing Transform
3. Assessment Criteria of Time–Frequency Method
4. Results and Discussion
4.1. Synthetic Signal
4.2. Earthquake Data
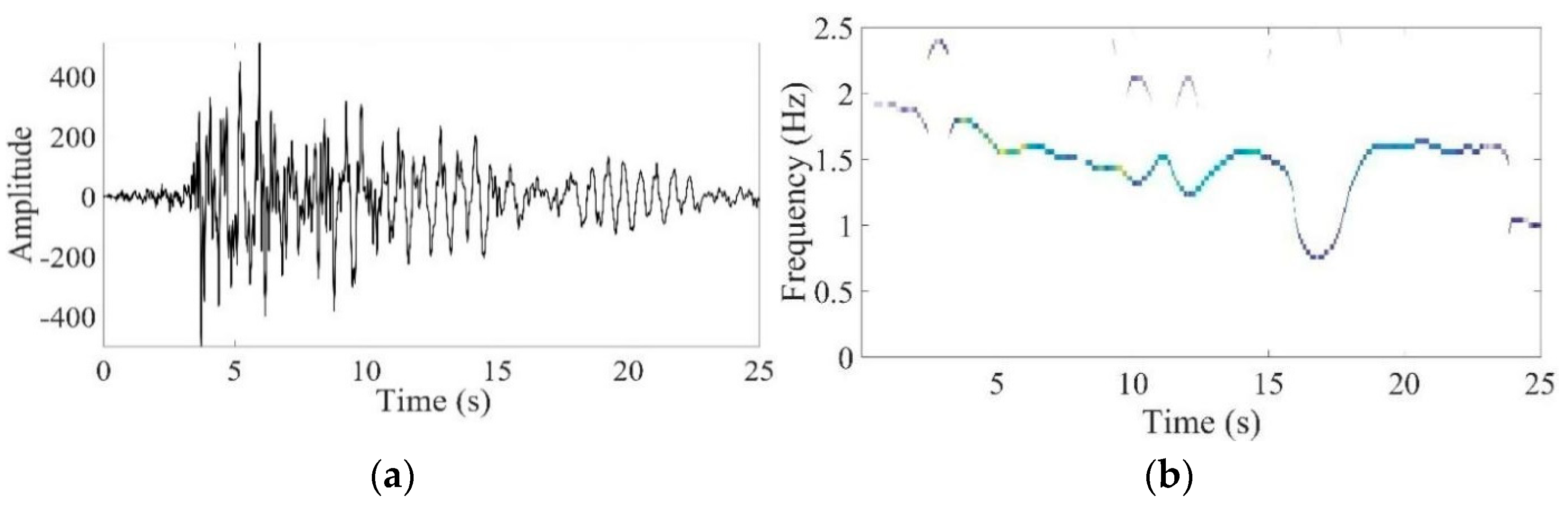
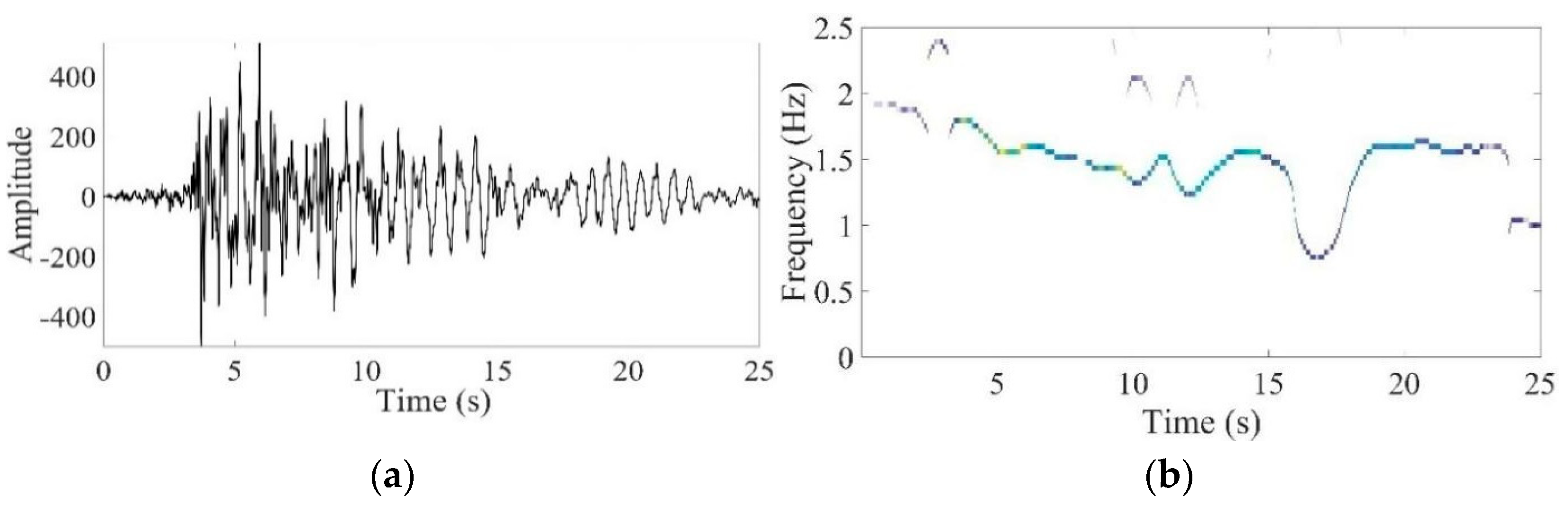
4.2.1. Seismic Data-1: San Fernando Earthquake, 1971
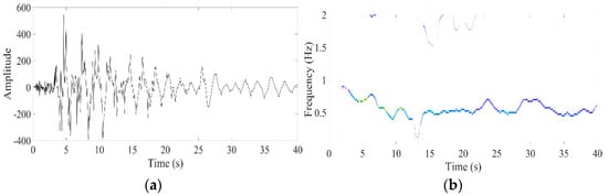
4.2.2. Seismic Data-2: Northridge Earthquake, 1994
4.2.3. Seismic Data-3: Northridge Earthquake, 1994
5. Conclusions
Author Contributions
Funding
Conflicts of Interest
References
- Omoya, M.; Ero, I.; Zakir, E.M.; Burton, H.V.; Brandenberg, S.; Sun, H.; Yi, Z.; Kang, H.; Nweke, C.C. A relational database to support post-earthquake building damage and recovery assessment. Earthq. Spectra 2022, 38, 1549–1569. [Google Scholar] [CrossRef]
- Doebling, S.W.; Farrar, C.R.; Prime, M.B.; Shevitz, D.W. Damage Identification and Health Monitoring of Structural and Mechanical Systems from Changes in Their Vibration Characteristics: A Literature Review; LA—13070-MS, 249299; U.S. Department of Energy Office of Scientific and Technical Information: Oak Ridge, TN, USA, 1996. [Google Scholar] [CrossRef]
- Clinton, J.F. The observed wander of the natural frequencies in a structure. Bull. Seismol. Soc. Am. 2006, 96, 237–257. [Google Scholar] [CrossRef]
- Bradford, S.C.V. Time-Frequency Analysis of Systems with Changing Dynamic Properties. Ph.D. Thesis, California Institute of Technology, Pasadena, CA, USA, 2006. [Google Scholar] [CrossRef]
- Ozer, E.; Özcebe, A.G.; Negulescu, C.; Kharazian, A.; Borzi, B.; Bozzoni, F.; Molina, S.; Peloso, S.; Tubaldi, E. Vibration-based and near real-time seismic damage assessment adaptive to building knowledge level. Buildings 2022, 12, 416. [Google Scholar] [CrossRef]
- Cano, L.; Martínez-Cruzado, J.A. Damage identification of structures using instantaneous frequency changes. In Proceedings of the International Conference on Computational Methods in Structural Dynamics and Earthquake Engineering, Rethymno, Greece, 13–16 June 2007. [Google Scholar]
- Black, C.J.; Ventura, C.E. Joint time-frequency analysis of a 20 story instrumented building during two earthquakes. In Proceedings of the XVII International Modal Analysis Conference, Kissimee, FL, USA, 8–11 February 1999. [Google Scholar]
- Bradford, C.; Yang, J.; Heaton, T. Variations in the dynamic properties of structures: The Wigner-Ville distribution. In Proceedings of the 8th U.S. National Conference on Earthquake Engineering, Pasadena, CA, USA, 18–22 April 2006. [Google Scholar]
- Li, Y.; Zheng, X. Wigner-Ville distribution and its application in seismic attenuation estimation. Appl. Geophys. 2007, 4, 245–254. [Google Scholar] [CrossRef]
- Wu, X.; Liu, T. Spectral decomposition of seismic data with reassigned smoothed pseudo Wigner–Ville distribution. J. Appl. Geophys. 2009, 68, 386–393. [Google Scholar] [CrossRef]
- Michel, C.; Gueguen, P. Time-frequency analysis of small frequency variations in civil engineering structures under weak and strong motions using a reassignment method. Struct. Health Monit. 2010, 9, 159–171. [Google Scholar] [CrossRef]
- Liu, N.; Schumacher, T.; Li, Y.; Xu, L.; Wang, B. Damage detection in reinforced concrete member using local time-frequency transform applied to vibration measurements. Buildings 2023, 13, 148. [Google Scholar] [CrossRef]
- Kumar, R.; Sumathi, P.; Kumar, A. Synchrosqueezing transform-based frequency shifting detection for earthquake-damaged structures. IEEE Geosci. Remote Sens. Lett. 2017, 14, 1393–1397. [Google Scholar] [CrossRef]
- Yu, G.; Wang, Z.; Zhao, P.; Li, Z. Local maximum synchrosqueezing transform: An energy-concentrated time-frequency analysis tool. Mech. Syst. Signal Process. 2019, 117, 537–552. [Google Scholar] [CrossRef]
- Qian, S.; Chen, D. Joint time-frequency analysis. IEEE Signal Process. Mag. 1999, 16, 52–67. [Google Scholar] [CrossRef]
- Kumar, R.; Zhao, W.; Singh, V. Joint time-frequency analysis of seismic signals: A critical review. Struct. Durab. Health Monit. 2018, 12, 65–83. [Google Scholar]
- Cohen, L. Time-frequency distributions-a review. Proc. IEEE 1989, 77, 941–981. [Google Scholar] [CrossRef]
- Staszewski, W.J.; Robertson, A.N. Time-frequency and time-scale analyses for structural health monitoring. Philos. Trans. R. Soc. A Math. Phys. Eng. Sci. 2007, 365, 449–477. [Google Scholar] [CrossRef] [PubMed]
- Yan, Y.; Poon, C.C.; Zhang, Y. Reduction of motion artifact in pulse oximetry by smoothed pseudo Wigner-Ville distribution. J. NeuroEng. Rehabil 2005, 2, 3. [Google Scholar] [CrossRef] [PubMed]
- Daubechies, I.; Lu, J.; Wu, H.-T. Synchrosqueezed wavelet transforms: An empirical mode decomposition-like tool. Appl. Comput. Harmon. Anal. 2011, 30, 243–261. [Google Scholar] [CrossRef]
- Herrera, R.H.; Tary, J.B.; van der Baan, M.; Eaton, D.W. Body wave separation in the time-frequency domain. IEEE Geosci. Remote Sens. Lett. 2015, 12, 364–368. [Google Scholar] [CrossRef]
- Tary, J.B.; Herrera, R.H.; van der Baan, M. The synchrosqueezing transform for high-resolution time-frequency representation of microseismic recordings. In Proceedings of the 75th EAGE Conference and Exhibition Incorporating SPE EUROPEC 2013, London, UK, 10–13 June 2013. [Google Scholar] [CrossRef]
- Kumar, R.; Zhao, W. Predominant frequency detection of seismic signal based on Gabor–Wigner transform for earthquake early warning systems. Asian J. Civ. Eng. 2018, 19, 927–936. [Google Scholar] [CrossRef]
- Kumar, R.; Zhao, W. Theory and applications of time-frequency methods for analysis of non-stationary vibration and seismic signal. In Proceedings of the 2nd International Conference on Vision, Image and Signal Processing, Las Vegas, NV, USA, 27–29 August 2018; pp. 1–6. [Google Scholar] [CrossRef]
- Saldana, C.L. On Time-Frequency Analysis for Structural Damage Detection. Ph.D. Thesis, University of Puerto Rico, San Juan, PUR, USA, June 2014. [Google Scholar]
- Aviyente, S.; Williams, W.J. Minimum entropy time-frequency distributions. IEEE Signal Process. Lett. 2005, 12, 37–40. [Google Scholar] [CrossRef]
- Yu, G.; Yu, M.; Xu, C. Synchroextracting transform. IEEE Trans. Ind. Electron. 2017, 64, 8042–8054. [Google Scholar] [CrossRef]
- Boashash, B.; Black, P.J. An efficient real-time implementation of the Wigner-Ville distribution. IEEE Trans. Acoust. Speech Signal Process. 1987, 35, 1611–1618. [Google Scholar] [CrossRef]
- Creed, S.G. Assessment of Large Engineering Structures Using Data Collected during In-Service Loading in Structural Assessment; Butterworths and Company Publishers, Limited: Singapore, 1987. [Google Scholar]




| Time–Frequency Methods | Renyi Entropy |
|---|---|
| Test Signal-1 | |
| WD | 18.278 |
| WVD | 17.190 |
| PWVD | 16.132 |
| SPWVD | 15.613 |
| SST | 11.020 |
| LMSST | 10.910 |
| Parameters | Data-1 | Data-2 | Data-3 |
|---|---|---|---|
| Earthquake, year | San Fernando earthquake, 1971 | Northridge earthquake, 1994 | Northridge earthquake, 1994 |
| Magnitude | 6.6 | 6.7 | 6.7 |
| Epicenter | 31 km | 21 km | 18 km |
| Name of buildings | Millikan Library, Pasadena, US | Ten-story inhabited building, Burbank, US | Seven-story Van Nuys hotel |
| Sensor’s position | EW roof | Roof-center | Roof |
| Sampling frequency | 50 Hz | 50 Hz | 50 Hz |
| Peak acceleration | 340.8 cm/s2 | 511.99 cm/s2 | 550.22 cm/s2 |
| Time–Frequency Methods | Renyi Entropy |
|---|---|
| Data-1 San-Fernando Earthquake, 1971 | |
| WD | 17.256 |
| WVD | 15.980 |
| PWVD | 15.816 |
| SPWVD | 15.444 |
| SST | 12.797 |
| LMSST | 10.797 |
Disclaimer/Publisher’s Note: The statements, opinions and data contained in all publications are solely those of the individual author(s) and contributor(s) and not of MDPI and/or the editor(s). MDPI and/or the editor(s) disclaim responsibility for any injury to people or property resulting from any ideas, methods, instructions or products referred to in the content. |
© 2023 by the authors. Licensee MDPI, Basel, Switzerland. This article is an open access article distributed under the terms and conditions of the Creative Commons Attribution (CC BY) license (https://creativecommons.org/licenses/by/4.0/).
Share and Cite
Kumar, R.; Singh, V.; Ismail, M. Post-Earthquake Damage Identification of Buildings with LMSST. Buildings 2023, 13, 1614. https://doi.org/10.3390/buildings13071614
Kumar R, Singh V, Ismail M. Post-Earthquake Damage Identification of Buildings with LMSST. Buildings. 2023; 13(7):1614. https://doi.org/10.3390/buildings13071614
Chicago/Turabian StyleKumar, Roshan, Vikash Singh, and Mohamed Ismail. 2023. "Post-Earthquake Damage Identification of Buildings with LMSST" Buildings 13, no. 7: 1614. https://doi.org/10.3390/buildings13071614
APA StyleKumar, R., Singh, V., & Ismail, M. (2023). Post-Earthquake Damage Identification of Buildings with LMSST. Buildings, 13(7), 1614. https://doi.org/10.3390/buildings13071614

