Research on Carbon Emission of Prefabricated Structure in China
Abstract
1. Introduction
2. Method
2.1. Structural Design
2.2. Carbon Emission Estimation during the Materialization Phase
2.2.1. Production Phase
2.2.2. Transportation Phase
- Allocate appropriate transport vehicles for each material involved in the subproject.
- Determine the transportation distance of the materials, with an average distance of 50 km for the design area.
- Estimate the carbon emission per kilometer per unit material based on the transport vehicle capacity and fuel consumption data.
- Multiply the carbon emission per kilometer per unit material by the corresponding transportation distance, considering the return coefficient of empty car K = 1.67 [42], to obtain the transportation carbon emission factor of each material. The transportation carbon emission factor of each material are shown in Table 3.
- Multiply and add the carbon emission factors of all materials transportation involved in the subproject with the quantity of materials to obtain the comprehensive emission coefficient of the subproject in the transport phase, as shown in Equation (5) (the comprehensive carbon emission coefficients of subprojects in the transportation stage are shown in Table 1).
- Multiply and add the comprehensive emission coefficient of all subprojects and the engineering quantity to obtain the final total carbon emissions in the transport phase, as shown in Equation (6).
2.2.3. Construction Phase
3. Results
3.1. Carbon Emission Results for Each Phase of Materialization
3.1.1. Production Phase
3.1.2. Transportation Phase
3.1.3. Construction Phase
3.1.4. Overall Materialization Phase
4. Discussion
4.1. Calculate Parameter Sensitivity Analysis
4.1.1. Material Carbon Emission Factor Sensitivity Analysis
4.1.2. Material Transportation Distance Sensitivity Analysis
4.2. Sensitivity Analysis of Design Parameters
4.2.1. Slab Span Sensitivity Analysis
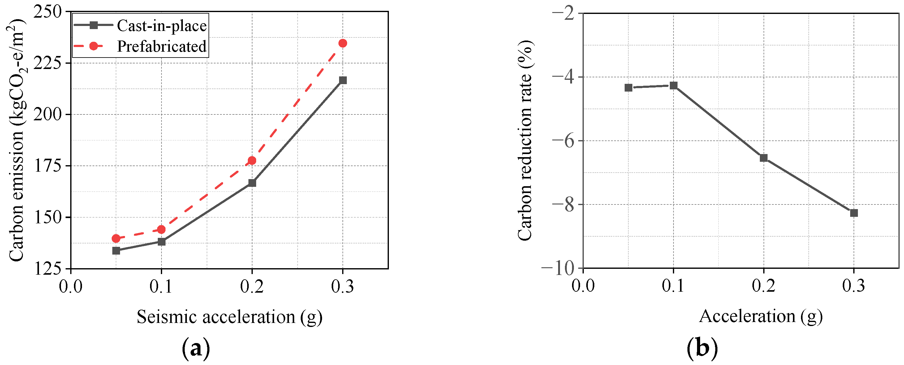
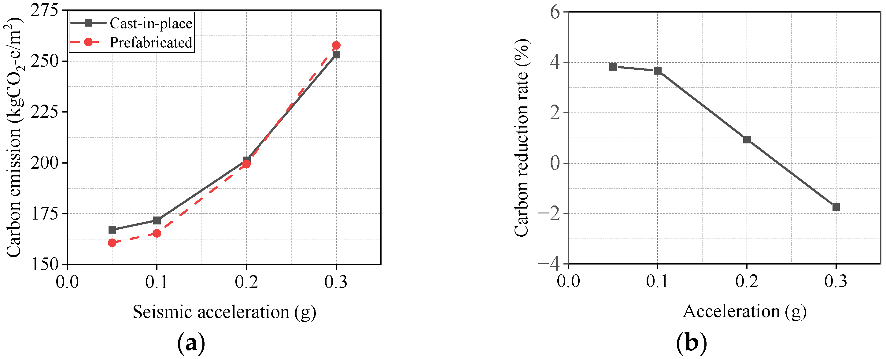
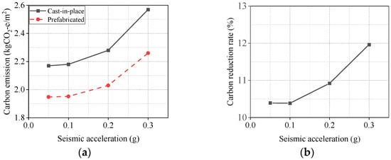
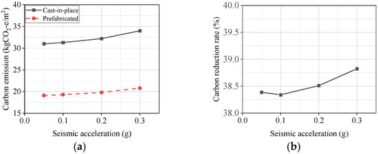
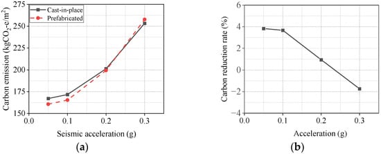
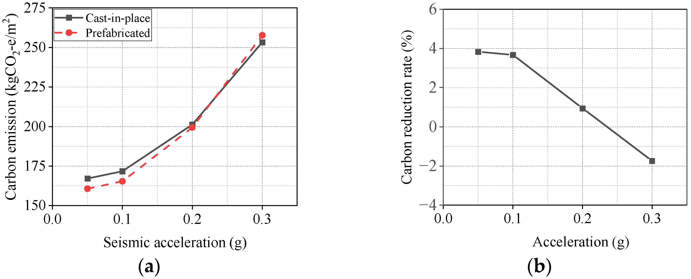
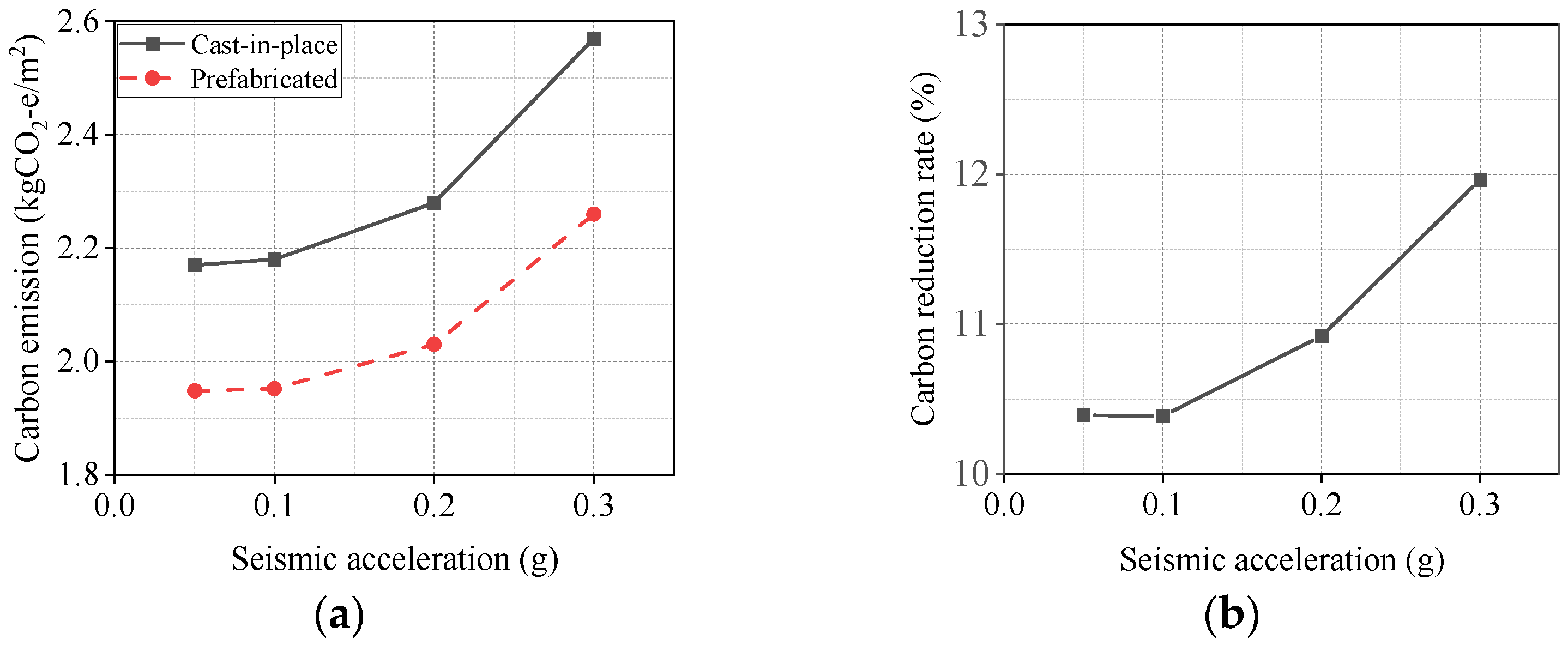
4.2.2. Sensitivity Analysis of Seismic Requirements
5. Conclusions
6. Limitations and Future Outlook
Author Contributions
Funding
Data Availability Statement
Conflicts of Interest
Appendix A

| Work | Subproject | Unit | 0005510 | 0010510 | 0020510 | 0030510 | 0005255 | |
|---|---|---|---|---|---|---|---|---|
| Concrete | Cast-in-place | Column | m3 | 44.52 | 44.52 | 56.4 | 84.24 | 44.52 |
| Beam | 91.38 | 91.38 | 90.42 | 98.28 | 109.50 | |||
| Slab | 186.60 | 186.60 | 186.60 | 186.60 | 119.22 | |||
| Rebar | Cast-in-place | ≤10 mm | kg | 12,576.90 | 12,576.90 | 12,576.90 | 13,041.00 | 9130.68 |
| ≤18 mm | 8989.87 | 11,358.16 | 6332.24 | 559.50 | 11,814.51 | |||
| ≤25 mm | 0.00 | 0.00 | 17,342.09 | 42,714.43 | 0.00 | |||
| Stirrup | Cast-in-place | ≤10 mm | kg | 5238.30 | 5238.30 | 7369.42 | 10,169.64 | 6126.54 |
| Formwork | Cast-in-place | Column | m2 | 445.44 | 445.44 | 501.12 | 612.48 | 445.44 |
| Beam | 851.04 | 851.04 | 851.04 | 894.96 | 1091.88 | |||
| Slab | 1459.62 | 1459.62 | 1459.62 | 1459.62 | 1441.26 | |||
| Measure | Vertical transport | day | 190.00 | 190.00 | 190.00 | 190.00 | 190.00 | |
| Scaffold | m2 | 1404.54 | 1404.54 | 1404.54 | 1404.54 | 1404.54 | ||
| Work | Subproject | Unit | 5005510 | |
|---|---|---|---|---|
| Concrete | Cast-in-place | Column | m3 | 44.50 |
| Prefabricate | Beam | 61.01 | ||
| Slab | 70.56 | |||
| Post pouring | Composite beam and slab | 146.42 | ||
| Rebar | Cast-in-place | ≤18 | kg | 2530.21 |
| Prefabricate | ≤10 | 9970.66 | ||
| ≤18 | 3525.64 | |||
| Post pouring | ≤10 | 5275.86 | ||
| ≤18 | 2934.02 | |||
| Stirrup | Cast-in-place | ≤10 | kg | 2452.74 |
| Prefabricate | ≤10 | 2705.47 | ||
| Post pouring | ≤10 | 80.09 | ||
| Formwork | Cast-in-place | Column | m2 | 445.44 |
| Post pouring | Composite beam and slab | 115.67 | ||
| Embedded part | Hook | piece | 288 | |
| Lifting point | 648 | |||
| Measure | Vertical transport | day | 130.50 | |
| Scaffold | m2 | 1404.54 | ||
| Work | Subproject | Unit | 8005510 | 8010510 | 8020510 | 8030510 | 8005255 | |
|---|---|---|---|---|---|---|---|---|
| Concrete | Prefabricate | Column | m3 | 37.33 | 37.33 | 47.24 | 69.12 | 37.33 |
| Beam | 61.01 | 61.01 | 60.37 | 68.95 | 69.37 | |||
| Slab | 70.56 | 70.56 | 70.52 | 70.39 | 72.43 | |||
| Post pouring | Beam-column joint | 7.20 | 7.20 | 9.16 | 15.13 | 7.20 | ||
| Composite beam and slab | 146.42 | 146.42 | 146.13 | 145.07 | 122.68 | |||
| Rebar | Prefabricate | ≤10 mm | kg | 9970.66 | 9970.66 | 9970.66 | 9970.66 | 9902.30 |
| ≤18 mm | 6055.85 | 6313.87 | 949.37 | 0.00 | 7868.42 | |||
| ≤25 mm | 0.00 | 0.00 | 14506.60 | 31426.20 | 626.02 | |||
| Post pouring | ≤10 mm | 5275.86 | 5275.86 | 5275.86 | 6204.12 | 4640.46 | ||
| ≤18 mm | 2934.02 | 5154.52 | 4342.51 | 1118.94 | 4951.75 | |||
| ≤25 mm | 0.00 | 0.00 | 6264.67 | 14890.82 | 80.60 | |||
| Stirrup | Prefabricate | ≤10 mm | kg | 4505.17 | 4505.17 | 5855.90 | 7832.18 | 5167.24 |
| Post pouring | ≤10 mm | 733.13 | 733.13 | 1419.47 | 2807.74 | 669.98 | ||
| Formwork | Post pouring | Beam-column joint | m2 | 30.24 | 30.24 | 38.88 | 62.40 | 30.24 |
| Composite beam and slab | 115.67 | 115.67 | 115.67 | 115.67 | 25.70 | |||
| Embedded part | Grout sleeve | piece | 768 | 768 | 912 | 1728 | 768 | |
| Hook | 288 | 288 | 288 | 288 | 396 | |||
| Lifting point | 648 | 648 | 648 | 648 | 972 | |||
| Hanging nail | 192 | 192 | 192 | 192 | 192 | |||
| Anchor | 384 | 384 | 384 | 384 | 384 | |||
| Measure | Vertical transport | day | 117.50 | 117.50 | 117.50 | 117.50 | 117.50 | |
| Scaffold | m2 | 1404.54 | 1404.54 | 1404.54 | 1404.54 | 1404.54 | ||
References
- IEA. Global Status Report for Buildings and Construction 2019. License: CC BY 4.0. IEA, Paris, France. Available online: https://www.iea.org/reports/global-status-report-for-buildings-and-construction-2019 (accessed on 15 April 2023).
- Li, C.Z.; Hong, J.; Xue, F.; Shen, G.Q.; Xu, X.; Mok, M.K. Schedule risks in prefabrication housing production in Hong Kong: A social network analysis. J. Clean. Prod. 2016, 134, 482–494. [Google Scholar] [CrossRef]
- Yang, Q.B.Z. Prefabricated Construction Development Bottleneck and Countermeasures Research. J. SHENYANG JIANZHU Univ. Nat. Sci. Ed. 2015, 17, 156–159. (In Chinese) [Google Scholar]
- List of Replicable Experiences for Prefabricated Building Development. 2022. Available online: http://www.gov.cn/zhengce/zhengceku/2022-12/03/content_5730064.htm (accessed on 15 April 2023).
- Tumminia, G.; Guarino, F.; Longo, S. Life cycle energy performances and environmental impacts of a prefabricated building module. Renew. Sustain. Energy Rev. 2018, 92, 272–283. [Google Scholar] [CrossRef]
- Teng, Y.; Pan, W. Systematic embodied carbon assessment and reduction of prefabricated high-rise public residential buildings in Hong Kong. J. Clean. Prod. 2019, 238, 117791. [Google Scholar] [CrossRef]
- Ding, Z.; Liu, S.; Luo, L. A building information modeling-based carbon emission measurement system for prefabricated residential buildings during the materialization phase. J. Clean. Prod. 2020, 264, 121728. [Google Scholar] [CrossRef]
- Jin, R.; Hong, J.; Zuo, J. Environmental performance of off-site constructed facilities: A critical review. Energy Build. 2020, 207, 109567. [Google Scholar] [CrossRef]
- Wang, H.; Zhang, Y.; Gao, W. Life Cycle Environmental and Cost Performance of Prefabricated Buildings. Sustainability 2020, 12, 2609. [Google Scholar] [CrossRef]
- Wen, T.J.; Siong, H.C.; Noor, Z.Z. Assessment of embodied energy and global warming potential of building construction using life cycle analysis approach: Case studies of residential buildings in Iskandar Malaysia. Energy Build. 2015, 93, 295–302. [Google Scholar] [CrossRef]
- Bonamente, E.; Cotana, F. Carbon and Energy Footprints of Prefabricated Industrial Buildings: A Systematic Life Cycle Assessment Analysis. Energies 2015, 8, 12685–12701. [Google Scholar] [CrossRef]
- Li, X.J.; Lai, J.Y.; Ma, C.Y. Using BIM to research carbon footprint during the materialization phase of prefabricated concrete buildings: A China study. J. Clean. Prod. 2021, 279, 123454. [Google Scholar] [CrossRef]
- Zhou, F.; Ning, Y.; Guo, X.; Guo, S. Analyze Differences in Carbon Emissions from Traditional and Prefabricated Buildings Combining the Life Cycle. Buildings 2023, 13, 874. [Google Scholar] [CrossRef]
- Han, Q.; Chang, J.; Liu, G.; Zhang, H. The Carbon Emission Assessment of a Building with Different Prefabrication Rates in the Construction Stage. Int. J. Environ. Res. Public Health 2022, 19, 2366. [Google Scholar] [CrossRef] [PubMed]
- Pons, O.; Wadel, G. Environmental impacts of prefabricated school buildings in Catalonia. Habitat Int. 2011, 35, 553–563. [Google Scholar] [CrossRef]
- Mao, C.; Shen, Q.; Shen, L.; Tang, L. Comparative study of greenhouse gas emissions between off-site prefabrication and conventional construction methods: Two case studies of residential projects. Energy Build. 2013, 66, 165–176. [Google Scholar] [CrossRef]
- Du, Q.; Pang, Q.; Bao, T. Critical factors influencing carbon emissions of prefabricated building supply chains in China. J. Clean. Prod. 2021, 280, 124398. [Google Scholar] [CrossRef]
- Wang, S.; Sinha, R. Life Cycle Assessment of Different Prefabricated Rates for Building Construction. Buildings 2021, 11, 552. [Google Scholar] [CrossRef]
- Quale, J.D.; Eckelman, M.J.; Williams, K. Construction Matters: Comparing Environmental Impacts of Building Modular and Conventional Homes in the United States. J. Ind. Ecol. 2012, 16, 243–253. [Google Scholar] [CrossRef]
- Dodoo, A.; Gustavsson, L.; Sathre, R. Lifecycle carbon implications of conventional and low-energy multi-storey timber building systems. Energy Build. 2014, 82, 194–210. [Google Scholar] [CrossRef]
- Omar, W.M.S.W.; Doh, J.H.; Panuwatwanich, K. Assessment of the embodied carbon in precast concrete wall panels using a hybrid life cycle assessment approach in Malaysia. Sustain. Cities Soc. 2014, 10, 101–111. [Google Scholar] [CrossRef]
- Islam, H.; Zhang, G.; Setunge, S. Life cycle assessment of shipping container home: A sustainable construction. Energy Build. 2016, 128, 673–685. [Google Scholar] [CrossRef]
- Geisler, G.; Hellweg, S.; Hungerbühler, K. Uncertainty Analysis in Life Cycle Assessment (LCA): Case Study on Plant—Protection Products and Implications for Decision Making. Int. J. Life Cycle Assess. 2005, 10, 192.1–192.3. [Google Scholar] [CrossRef]
- Marland, E.; Cantrell, J.; Kiser, K.; Marland, G.; Shirley, K. Valuing uncertainty part I: The impact of uncertainty in GHG accounting. Carbon Manag. 2014, 5, 35–42. [Google Scholar] [CrossRef]
- MHURD-PRC. Technical Regulations for Prefabricated Concrete Structures, Beijing, 2014. Available online: https://www.mohurd.gov.cn/gongkai/zhengce/zhengcefilelib/202002/20200221_244041.html (accessed on 17 February 2023). (In Chinese)
- MHURD-PRC. Uniform Standard for Reliability Design of Building Structures, Beijing, 2018. Available online: https://www.mohurd.gov.cn/gongkai/zhengce/zhengcefilelib/201903/20190315_239764.html (accessed on 17 February 2023). (In Chinese)
- MHURD-PRC. Chinese Load Code for the Design of Building Structures, GB 50009-2012. 2012. Available online: https://gb50009.readthedocs.io/zh/latest/index.html (accessed on 17 February 2023). (In Chinese)
- Pakdel, A.; Ayatollahi, H.; Sattary, S. Embodied energy and CO2 emissions of life cycle assessment (LCA) in the traditional and contemporary Iranian construction systems. J. Build. Eng. 2021, 39, 102310. [Google Scholar] [CrossRef]
- Luo, L.; Chen, Y. Carbon emission energy management analysis of LCA-Based fabricated building construction. Sustain. Comput. Inform. Syst. 2020, 27, 100405. [Google Scholar] [CrossRef]
- Chen, T.Y.; Burnett, J.; Chau, C.K. Analysis of embodied energy use in the residential building of Hong Kong. Energy 2001, 26, 323–340. [Google Scholar] [CrossRef]
- Nardi, I.; Lucchi, E. In Situ Thermal Transmittance Assessment of the Building Envelope: Practical Advice and Outlooks for Standard and Innovative Procedures. Energy 2023, 16, 3319. [Google Scholar] [CrossRef]
- Zhang, X.; Zhang, X. A subproject-based quota approach for life cycle carbon assessment at the building design and construction stage in China. Build. Environ. 2020, 185, 107258. [Google Scholar] [CrossRef]
- MHURD-PRC. Consumption Quota for Building and Decoration Engineering, 2015. Available online: https://www.mohurd.gov.cn/gongkai/zhengce/zhengcefilelib/201503/20150311_220456.html (accessed on 17 February 2023). (In Chinese)
- MHURD-PRC. Wastage Quota of Prefabricated Building, TY 01-01(01)-2016. 2016. Available online: http://www.gov.cn/xinwen/2016-12/27/content_5153581.htm (accessed on 17 February 2023). (In Chinese)
- MHURD-PRC. Standard for Building Carbon Emission Calculation, GB/T 51366-2019. 2019. Available online: https://www.mohurd.gov.cn/gongkai/zhengce/zhengcefilelib/201905/20190530_240723.html (accessed on 17 February 2023). (In Chinese)
- Bin, H. Preparation and Application Research of Sleeve Grouting Material for Assembly Building. Master’s Thesis, Southeast University, Nanjing, China, 2017. (In Chinese). [Google Scholar]
- Luyuan, Y. Measurement of Carbon Footprint in Materialization Stage of Precast Concrete. Master’s Thesis, Southeast University, Nanjing, China, 2017. [Google Scholar]
- Yuanxue, G. Assessment Methodology and Empirical Analysis of Embodied Carbon Footprint of Bbuilding Construction. Master’s Thesis, Tsinghua University, Beijing, China, 2012. (In Chinese). [Google Scholar]
- Yu, W. Whole Life Cycle Carbonemissions Researchofindustrialized Precastconstruction. Ph.D. Thesis, Southeast University, Nanjing, China, 2016. (In Chinese). [Google Scholar]
- Wang, J. Calculation and Analysis of Life Cycle CO2 Emission of Chinese Urban Residential Communities. Master’s Thesis, Tsinghua University, Beijing, China, 2009. (In Chinese). [Google Scholar]
- Zhang, X.; Zhang, X. Sustainable design of reinforced concrete structural members using embodied carbon emission and cost optimization. J. Build. Eng. 2021, 44, 102940. [Google Scholar] [CrossRef]
- CAO, X.; MIAO, C.Q.; PAN, H.T. Comparative Analysis and Research on Carbon Emission of Prefabricated Concrete and Cast-in-Place Building Based on Carbon Emission Model. 2021. Available online: https://kns.cnki.net/kcms2/article/abstract?v=3uoqIhG8C44YLTlOAiTRKibYlV5Vjs7iJTKGjg9uTdeTsOI_ra5_XT-kQ3a9Fttxez6AJ4_NF3a0WOb_p_lZjf5HnRzs1ny8&uniplatform=NZKPT&src=copy (accessed on 17 February 2023). (In Chinese).
- Ebrahimi, K. Construction Techniques for Lowering Embodied GHGs: A Review of Prefabrication and 3D Printed Concrete Mix Designs. Master’s Thesis, University of Toronto, Toronto, ON, Canada, 2021. [Google Scholar]















| Work | Subproject | Unit | Specification | Coefficient (kgCO2-e/Unit) | |||
|---|---|---|---|---|---|---|---|
| EFP | EFT | EFC | EF | ||||
| Concrete (C40) | Cast-in-place | 10 m3 | Column | 3681.2 | 98.0 | 70.6 | 3849.7 |
| Beam | 3654.8 | 90.3 | 42.9 | 3788.0 | |||
| Slab | 3654.7 | 90.3 | 44.9 | 3789.9 | |||
| Post pouring | 10 m3 | Beam-column joint | 3672.7 | 90.8 | 209.4 | 3972.9 | |
| Composite beam and slab | 3673.0 | 90.8 | 64.8 | 3828.5 | |||
| Prefabricate | 10 m3 | Column | 3766.0 | 79.4 | 61.9 | 3907.4 | |
| Beam | 3726.0 | 76.7 | 109.3 | 3911.9 | |||
| Slab | 3851.0 | 76.8 | 177.0 | 4104.8 | |||
| Rebar (HRB400) | Cast-in-place | 1 t | ≤10 mm | 2444.0 | 2.5 | 202.4 | 2648.9 |
| ≤18 mm | 2537.4 | 2.6 | 160.8 | 2700.7 | |||
| ≤25 mm | 2520.0 | 2.6 | 102.7 | 2625.2 | |||
| Post pouring | 1 t | ≤10 mm | 2444.0 | 2.5 | 207.4 | 2653.9 | |
| ≤18 mm | 2537.4 | 2.6 | 165.1 | 2705.1 | |||
| ≤25 mm | 2520.0 | 2.6 | 105.7 | 2628.2 | |||
| Prefabricate | 1 t | ≤10 mm | 2438.0 | 0.0 | 0.0 | 2438.0 | |
| ≤18 mm | 2554.3 | 0.0 | 0.0 | 2554.3 | |||
| ≤25 mm | 2528.0 | 0.0 | 0.0 | 2528.0 | |||
| Stirrup (HPB300) | Cast-in-place | 1 t | ≤10 mm | 2386.8 | 2.4 | 125.1 | 2514.3 |
| >10 mm | 2398.5 | 2.4 | 64.4 | 2465.3 | |||
| Post pouring | 1 t | ≤10 mm | 2386.8 | 2.4 | 130.6 | 2519.8 | |
| >10 mm | 2398.5 | 2.4 | 73.1 | 2474.0 | |||
| Prefabricate | 1 t | ≤10 mm | 2492.8 | 0.0 | 0.0 | 2492.8 | |
| >10 mm | 2453.4 | 0.0 | 0.0 | 2453.4 | |||
| Formwork | Cast-in-place | 100 m2 | Column | 144.1 | 1.4 | 142.7 | 288.2 |
| Beam | 144.1 | 1.4 | 121.3 | 266.8 | |||
| Slab | 144.1 | 1.4 | 139.4 | 284.9 | |||
| Post pouring | 100 m2 | Beam-column joint | 449.9 | 5.2 | 278.7 | 733.8 | |
| Composite beam and slab | 268.5 | 2.9 | 167.6 | 439.0 | |||
| Embedded part | Grout sleeve | 1 piece | d = 16, 18 mm | 1.5 | 0.0 | 0.1 | 1.7 |
| d = 20 mm | 1.9 | 0.0 | 0.2 | 2.1 | |||
| d = 22 mm | 2.3 | 0.0 | 0.2 | 2.5 | |||
| d = 25 mm | 2.7 | 0.0 | 0.2 | 2.9 | |||
| Measure | Vertical transport | 1 day | 6- Story | 0 | 0 | 158.9 | 158.9 |
| Scaffold | 100 m2 | 6- Story | 0 | 0 | 237.5 | 237.5 | |
| Energy and Material | Factor | Material | Factor |
|---|---|---|---|
| Diesel oil [12,37,38,39] | 3.40 * kgCO2-e/kg | Steel [35] | 2.05 kgCO2-e/kg |
| Electric power [37,38,39] | 0.75 * kgCO2-e/kWh | Bar [35] | 2.34 kgCO2-e/kg |
| Cement (P.I.52.5) [37,38,39] | 1.14 * kgCO2-e/kg | Sand [35] | 2.51 kgCO2-e/t |
| Cement (P.O.42.5) [37,38,39] | 1.00 * kgCO2-e/kg | Water [35] | 0.618 kgCO2-e/t |
| Cement (P.S.32.5) [37,38,39] | 0.74 * kgCO2-e/kg | Welding rod [36] | 20.5 kgCO2-e/kg |
| C30 concrete [38,40,41] | 279.10 * kgCO2-e/m3 | Timber formwork [41] | 5.84 kgCO2-e/m2 |
| C35 concrete [38,40,41] | 319.20 * kgCO2-e/m3 | Dry-mixed mortar [12] | 220 kgCO2-e/m3 |
| C40 concrete [38,40,41] | 361.80 * kgCO2-e/m3 | Ready-mixed mortar [40] | 450 kgCO2-e/m3 |
| C50 concrete [38,40,41] | 420.40 * kgCO2-e/m3 | Grout | 0.325 + kgCO2-e/kg |
| Hanging nail | 0.33 + kgCO2-e/piece | Grout sleeve(d = 16, 18 mm) | 1.34 + kgCO2-e/piece |
| Lifting point | 0.52 + kgCO2-e/piece | Grout sleeve(d = 20 mm) | 1.62 + kgCO2-e/piece |
| Hook | 2.20 + kgCO2-e/piece | Grout sleeve(d = 22 mm) | 2.00 + kgCO2-e/piece |
| Anchor | 0.04 + kgCO2-e/piece | Grout sleeve(d = 25 mm) | 2.43 + kgCO2-e/piece |
| Material | Unit | Transport Vehicle | Capacity | Fuel Consumption /(L/100 km) | Factor /(kgCO2-e/Unit) |
|---|---|---|---|---|---|
| Prefabricate concrete | m3 | Prefabricated transport vehicle | 12.50 | 40 | 7.631 |
| Premixed concrete | m3 | Concrete carrier | 12.00 | 45 | 8.943 |
| Welding rod, grout material | t | Motorlorry (1.5 t) | 1.50 | 12 | 19.078 |
| Mortar | m3 | Motorlorry (1.5 t) | 0.83 | 12 | 34.341 |
| Timber formwork | m2 | Motorlorry (5 t) | 694.44 | 17 | 0.058 |
| Rebar | t | Motorlorry (40 t) | 40.00 | 40 | 2.385 |
| Machine | Factor | Machine | Factor |
|---|---|---|---|
| Concrete spreader | 17.332 | Concrete pump truck 75 m3/h | 285.158 |
| Dry mortar pot mixer | 21.354 | Welding rod drying box 45 × 35 × 45 cm3 | 5.018 |
| Autocrane 5 t | 103.87 | Electric single barrel fast winch 5 kN | 11.010 |
| Bar straightener 40 mm | 8.913 | Self-raising tower crane 400 kN m | 123.068 |
| Bar cutter 40 mm | 24.043 | Self-raising tower crane 800 kN m | 126.701 |
| Bar bender 40 mm | 9.587 | Single cage construction elevator 1 t 75 m | 31.698 |
| DC arc welder 2 kV A | 70.106 | Double cage construction elevator 2 × 1 t 100 m | 61.313 |
| Butt welder | 91.378 | Woodworking circular sawing machine | 17.976 |
| Electroslag welder | 110.103 | Electric multistage centrifugal pump 50 mm | 34.454 |
| Ac arc welder 32 kV A | 72.301 | Electric multistage centrifugal pump 100 mm | 135.120 |
| Assembly Rate | Column | Beam | Slab | |||
|---|---|---|---|---|---|---|
| Prefabricated | Cast-in-Place | Prefabricated | Cast-in-Place | Prefabricated | Cast-in-Place | |
| 0% | √ | √ | √ | |||
| 50% | √ | √ | √ | |||
| 80% | √ | √ | √ | |||
| Components | Carbon Emissions of Each Subproject/(kgCO2-e/m2) | |||||
|---|---|---|---|---|---|---|
| Concrete | Rebar | Formwork | Embedded Part | Total | ||
| Column | Cast-in-place | 11.7 | 8.7 | 0.5 | — | 20.9 |
| Prefabricated | 11.9 | 8.9 | 0.1 | 0.9 | 21.8 | |
| Beam | Cast-in-place | 23.8 | 16.4 | 0.9 | — | 41.1 |
| Prefabricated | 24.1 | 16.6 | 0.0 | 0.5 | 41.2 | |
| Slab | Cast-in-place | 48.6 | 22.0 | 1.5 | — | 72.1 |
| Prefabricated | 49.7 | 26.5 | 0.2 | 0.2 | 76.6 | |
| Components | Carbon Emissions of Each Subproject/(kgCO2-e/m2) | |||||
|---|---|---|---|---|---|---|
| Concrete | Rebar | Formwork | Embedded Part | Total | ||
| Column | Cast-in-place | 0.311 | 0.009 | 0.005 | — | 0.32 |
| Prefabricated | 0.258 | 0.001 | 0.001 | 0.006 | 0.27 | |
| Beam | Cast-in-place | 0.588 | 0.017 | 0.009 | — | 0.61 |
| Prefabricated | 0.529 | 0.006 | 0.000 | — | 0.53 | |
| Slab | Cast-in-place | 1.200 | 0.022 | 0.015 | — | 1.24 |
| Prefabricated | 1.136 | 0.009 | 0.002 | — | 1.15 | |
| Assembly Rate | Carbon Emissions/(kgCO2-e/m2) | |||||
|---|---|---|---|---|---|---|
| Concrete | Rebar | Formwork | Embedded Part | Vertical Transportation | Scaffolding | |
| 0% | 1.1 | 3.4 | 2.6 | 0.0 | 21.5 | 2.4 |
| 50% | 2.3 | 1.6 | 0.6 | 0.0 | 14.8 | 2.0 |
| 80% | 2.3 | 1.2 | 0.2 | 0.1 | 13.3 | 2.0 |
Disclaimer/Publisher’s Note: The statements, opinions and data contained in all publications are solely those of the individual author(s) and contributor(s) and not of MDPI and/or the editor(s). MDPI and/or the editor(s) disclaim responsibility for any injury to people or property resulting from any ideas, methods, instructions or products referred to in the content. |
© 2023 by the authors. Licensee MDPI, Basel, Switzerland. This article is an open access article distributed under the terms and conditions of the Creative Commons Attribution (CC BY) license (https://creativecommons.org/licenses/by/4.0/).
Share and Cite
Huang, Y.; Wang, A. Research on Carbon Emission of Prefabricated Structure in China. Buildings 2023, 13, 1348. https://doi.org/10.3390/buildings13051348
Huang Y, Wang A. Research on Carbon Emission of Prefabricated Structure in China. Buildings. 2023; 13(5):1348. https://doi.org/10.3390/buildings13051348
Chicago/Turabian StyleHuang, Yuan, and Anqi Wang. 2023. "Research on Carbon Emission of Prefabricated Structure in China" Buildings 13, no. 5: 1348. https://doi.org/10.3390/buildings13051348
APA StyleHuang, Y., & Wang, A. (2023). Research on Carbon Emission of Prefabricated Structure in China. Buildings, 13(5), 1348. https://doi.org/10.3390/buildings13051348
