Abstract
In a chloride environment, taking reinforced concrete structures as the research object, the corrosion rate of reinforcement determines its corrosion expansion because multiple coupling parameters will affect the corrosion rate of reinforcement, which is extremely difficult to effectively predict. In this paper, 144 sets of experimental data were collected and sorted out by reading the relevant literature, and six empirical models for predicting the corrosion rate of steel bars were compared and analyzed based on these experimental data. Based on the investigations, a new empirical model is proposed for predicting the corrosion rate of reinforcement, and the relevant influencing factors are considered in the new model. By comparing the 144 sets of experimental data and 90 experimental data for this paper, the new prediction model can well predict the corrosion rate of reinforcement. Furthermore, the time variability of the new prediction model is verified. The probability distribution characteristics of seven prediction models are obtained through model error analysis, which provides a theoretical basis for the next step of concrete cover cracking and reliability analysis.
1. Introduction
Taking the reinforced concrete (RC) structure as the research object, a large number of RC structures have entered the service stage. However, the chloride ion corrosion sink of steel bars destroys the former, which has become a problem that must be urgently solved, as shown in Figure 1 [1,2]. From the perspective of essence, the corrosion process of reinforcement belongs to electrochemical process, which forms cathode and anode regions on the surface of the steel bar [2,3,4,5]. Generally, the corrosion process of reinforcement can be described with the help of the corrosion rate and is a slow reaction process in the natural environment. However, the steel corrosion will cause the accumulation of corrosion products on the narrow surface of steel bars, which will affect the cracking time of concrete cover and the performance in service of RC structures. Moreover, it will reduce the effective sectional area of reinforcement and weaken the bearing capacity of the RC structure, which will eventually lead to structural failure and destruction. Therefore, for the existing RC structures and new structures, the corrosion rate of reinforcement has an important influence on service safety and evaluation performance, as well as the decision of later maintenance and the prediction of remaining service life [6,7].
Figure 1.
Corrosion of structures in a chloride environment. (a) Reinforcement corrosion of viaduct (reprinted with permission from L JR. 2021); (b) Rust of Qingdao Bridge (from LI T. 2022); (c) Diagram of rebar corrosion caused by deicing salt (from LI T. 2022); (d) Rust of Wuhan East Lake Bridge (from LI T. 2022).
People have carried out in-depth research on reinforced concrete structures as early as decades ago, and conducted in-depth analysis on its corrosion rate in the chloride environment. By collating previous research results, the research models for corrosion rate can be mainly divided into three types [8,9]: (1) empirical model, (2) theoretical model, (3) hybrid model. The parameters considered in the theoretical model and the empirical model are different; the theoretical model is mainly based on electrochemical parameters, and the empirical model is mainly based on experimental parameters. However, considering that the empirical model has good engineering application, this paper adopts an empirical model for research, which can usually obtain the direct relationship between some basic parameters and variables and the corrosion rate of reinforcement through indoor and outdoor experimental results, such as the temperature and humidity of the environment, concrete resistivity, concrete cover thickness, water–cement ratio, chloride content, corrosion duration time and so on [10,11,12,13].
At present, during the research of reinforced concrete structures, most scholars have predicted the corrosion rate of reinforcement by proposing and constructing their empirical models, including the Moringa model [14], Liu and Weyers model [15], Vu and Stewart model [16], Ahmad and Bhattacharjee model [17], Jung et al. model [18], Li model [19], Yu HY et al. model [20], Li G model [21], Kong et al. model [22], Yu et al. model [23], Guo et al. model [24], and so on. Such models can match some experimental data, but it is extremely difficult to determine the matching degree between them and other experimental data, thus further analysis is necessary. Although the Lu et al. model [25] can meet the accuracy requirements in the prediction of steel corrosion rate, the factors considered in the model, such as cover thickness and the water–cement ratio, are not comprehensive enough. Therefore, it is necessary to further modify and verify the corrosion rate model [26].
Based on these analyses, this paper assesses and analyzes existing applicability empirical prediction models by collecting and sorting out experimental data of the corrosion rate prediction and other parameters provided by other literature. Taking the reinforced concrete structure as the research object, the corrosion rate of a new model is studied by proposing it. The various factors in the model are comprehensive and reasonable; after obtaining the experimental data, this paper conducts a comparative analysis with other experimental data and verifies the universality and applicability of the new model. Finally, through the model error analysis, the probability distribution characteristics of the empirical prediction model are obtained, which can provide a research basis for the corrosion cracking time of concrete cover and the analysis of structural reliability.
2. Empirical Models for Predicting Corrosion Rate
During the research of reinforced concrete structures, six empirical models are commonly collected to predict the corrosion rate of reinforcement in RC structures, which are namely Liu and Weyers [15], Vu and Stewart [16], Kong et al. [22], Yu et al. [23], Guo et al. [24] and Lu et al. [25]. The relationship between the influencing factors considered in these models and the corrosion rate can often be directly obtained through experimental results. The definition of each influencing factor of the empirical model and the applicability analysis of the model are shown in Table 1.
Table 1.
Model analysis of corrosion rate of reinforcement.
In order to make an effective comparative analysis, the symbolic meanings in the above empirical model are as follows: Ct is the chloride content by weight of concrete (kg/m3); T is the ambient temperature (K); Rc is the concrete ohmic resistance (Ω) [25]; t is the duration time (a); w/c is the water–cement ratio; C is concrete cover thickness (mm); r is the concrete resistivity (kΩ cm); RH is relative humidity; a1, a2, a3, a4 are the fitting parameters of the prediction model, which are related to the concrete cover thickness, chloride ion content and water–cement ratio of concrete [23]; mc is moisture content in decimal format; Cl is water soluble chloride concentration at the steel surface (kg/m3); ClTh is the chloride threshold of the steel reinforcement required for corrosion initiation (kg/m3); Tmean is annual mean temperature at the depth of the steel surface (K); Thigh is average high temperature (K); Tlow is average low temperature (K); as is corrosion initiation season factors, which are 0.07, 0.7, 0.43 and 0.25 for spring, summer, fall and winter, respectively.
3. Result and Discussion
3.1. Data Sorting
During the research of concrete structures, domestic and foreign scholars have carried out in-depth research on its corrosion rate with the help of various experiments. The experimental research methods usually include natural corrosion and accelerated electrical corrosion. In the natural environment, the reinforcement in concrete generally has a slow corrosion rate, so in the process of studying the corrosion rate of reinforcement, it should be analyzed from the perspective of natural corrosion. One hundred forty-four groups of corrosion rate test data have been collated in this paper, including the following three parts of data: 48 data from Liu, 78 data from Yang, and 18 data from Kong et al. [22]. Among them, the data of Liu and Yang refer to the relevant literature [25,27], and the basic information of the experimental data are shown in Table 2.
Table 2.
Test data of corrosion rate of reinforcement caused by chloride ion.
For concrete, the chloride ion content can be expressed by the concrete mass or the percentage (%) of the total chloride ion content, or by the total chloride ion concentration per cubic meter of concrete (kg/m3). The applicable conditions of the model shall be considered when selecting. For some experiments, the cement content and concrete weight per unit volume are not clearly given. In order to facilitate the reasonable comparative analysis between the models, the cement content and concrete weight are set to be 400 kg/m3 and 2500 kg/m3, respectively.
It can be seen from Table 2 that cover thickness, steel diameter, w/c ratio, ambient temperature, relative humidity, chloride content, corrosion duration and corrosion rate, which are the basic parameters of the experiment, would be selected for calculations, combining the parameters required for different models. For the parameters considered in the model not given in Table 2, we can refer to the relevant literature [23,24,25]. The corrosion rate of reinforcement is obtained by different researchers through experiments, which will be used to verify the accuracy of the model through comparisons with other model calculation results. The mean, standard deviation and coefficient of variation can be obtained by the ratio (iexp/ical) of the experimental value to the calculated value of 144 groups of each model, which can be used to judge the applicability of the model.
3.2. Analysis of Comparison Results
Because the prediction model proposed by each scholar is usually obtained by fitting with their experimental data, many factors affect the corrosion rate of reinforcement, thus it is unrealistic to consider all of them. Therefore, each scholar selected several important factors to conduct experimental research based on his experience and proposed a model. Consequently, when comparing different models, this paper lists the detailed information of each experimental data as much as possible to satisfy the reasonable comparison between models and improve the credibility of the comparison results. Based on 144 groups of experimental data, taking each model as the research object, the calculated values and experimental values are compared and analyzed. Figure 2 shows the comparison results of six empirical models; the x axis represents the number of experimental data, and the y axis represents the ratio (iexp/ical) of the experimental value to the calculated value of each model. For the experimental and predicted results, the ratios (iexp/ical) can judge the relationship between them. Table 3 shows the mean value, maximum and minimum values and their differences, coefficient of variation and standard deviation for the different models.

Figure 2.
Comparison and analysis of the experimental results and the prediction results of the current empirical model. (a) Liu and Weyers [15]. (b) Vu and Stewart [16]. (c) Kong et al. [22] (d) Yu et al. [23]. (e) Guo et al [24]. (f) Lu et al. [25].
Table 3.
Comparison of the results of empirical models for corrosion rate prediction based on experimental data.
Through the observation of Table 3 and Figure 2, Liu and Weyers, Kong et al., Yu et al. and Guo et al. are generally larger than the experimental data, and their corresponding mean values are around 0.6. However, the coefficient of variation and standard deviation of Liu and Weyers are relatively large: 0.453 and 0.808, respectively; this shows that the dispersion of the model is relatively large. The prediction results of Vu and Stewart are generally smaller than the experimental results, and the corresponding values, mean value and standard deviation, are both large: 1.643 and 0.861, respectively. It also shows that the dispersion of the model is large. The comparison results of the prediction are by Lu et al., and the experimental values are generally between 0 and 2. This shows that Lu et al. can accurately predict the corrosion rate of reinforcement; however, the influence of the water–cement ratio and concrete cover thickness is not considered in this model, and the prediction model needs to be further improved.
3.3. New Model Proposal and Verification
Through the analysis of the six prediction models detailed above, by studying the corrosion rate of reinforcement, the main influencing factors can be determined, such as concrete electrical resistivity, concrete chloride ion content, ambient temperature and humidity, water–cement ratio and thickness of the protective layer.
3.3.1. Proposal of a New Model
From the comparison results of the six prediction models detailed above, it can be seen that compared with the experimental results, Lu et al. obtained model prediction results that can match them, with the coefficient of variation at 0.332; the average value and standard deviation are 0.927 and 0.298, respectively. However, when studying the corrosion rate of reinforcement, the water–cement ratio and the thickness of concrete cover are not considered in the prediction model. For concrete, its cracking and corrosion expansion will be affected by the two factors mentioned above. Therefore, based on Lu et al.’s model, combined with Vu and Stewart’s model, this paper establishes the following model:
where w/c is the water–cement ratio; C is concrete cover thickness (mm); Ct is the chloride content by weight of concrete (kg/m3); T is the ambient temperature (K); RH is relative humidity; t is the duration time (a); r is the concrete resistivity (kΩ cm); A is the adjustment coefficient, which is determined using the following equations through a regression analysis based on the previous 144 experimental tests. The adjustment coefficient A is expressed as follows:
The values of iexp and ical in the formula can be obtained by the equal sign of Table 2 and by the right side of Equation (1). Based on Matlab 2022a software, the value of adjustment coefficient A is obtained by the least square fitting method.
Substituting Equation (3) into Equation (1) leads to:
The calculation method of concrete resistivity r in the formula is consistent with Lu et al.’s method [17], which gives a detailed calculation process.
3.3.2. Model Validation
With the prediction model as the processing object, the accuracy can be verified by substituting test data; the comparison results between calculated values and experimental values are thus obtained, as shown in Figure 3. In this model, the contents shown in Table 4 mainly include the maximum and minimum values and their differences, average values, coefficient of variation and standard deviation.
Figure 3.
Comparison between predicted values of the new model and other experimental values.
Table 4.
Comparison of corrosion rate results of new prediction models based on experimental data.
Figure 4 shows the predicted values and model experimental values obtained in this paper. Based on the contents shown in Figure 3 and Table 4, the new model has a standard deviation of 0.329, a coefficient of variation of 0.313 and an average value of 1.052, respectively; therefore, the comparison results are quite good. Even though the new model has a larger coefficient of variation and standard deviation than Lu et al., it has a larger coefficient of variation and average standard deviation compared to other models; however, the mean value is better. The new model’s mean value and coefficient of variation are better than other models. In general, the model can be used to predict the corrosion rate of reinforcement in reinforced concrete structures; in addition, in the process of studying the life of concrete structures and cover cracking, the later model needs to meet the prediction requirements from the perspective of concrete cover by applying the water–cement ratio and cover thickness.
Figure 4.
Comparison and analysis of the experimental value and the predicted value of the new model.
In order to verify the universality of the new model, this paper has completed the design of a concrete test block with a size of 250 mm × 250 mm × 200 mm, considering 0.45 and 0.55 water–cement ratio, 30 mm and 50 mm concrete cover thickness and 40 groups of test blocks with 10% and 15% NaCl immersion solution. An electrochemical workstation can be used to detect the corrosion rate of reinforcement after one year, and 90 groups of experimental data were selected for model validation analysis; the experimental details can refer to the relevant literature [28].
According to the observation in Table 4 and Figure 4, the new model has a coefficient of variation of 0.214; the average value and standard deviation are 0.903 and 0.193, respectively. Compared with the experimental value, the prediction results of the new model are in good agreement with the experimental values, and the fluctuation range is small, between 0.532 and 1.424. Therefore, this model can predict the corrosion rate of reinforcement in the process of eye detection of concrete structures, and has good universality.
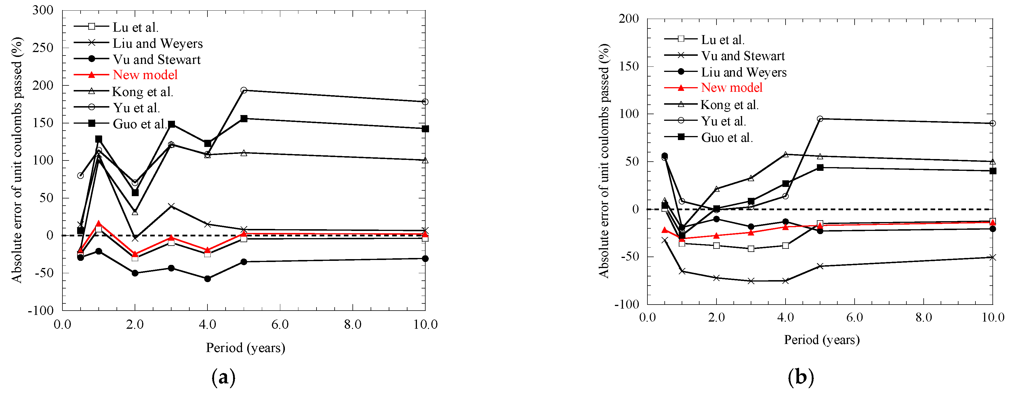
When verifying the applicability of the new model, this paper uses the experimental data provided by Liu [29]; the calculation results of each prediction model are compared by considering the influence of the receiving time factor on the reinforcement corrosion rate. Two specimens with different cover thicknesses of 51 mm and 70 mm are considered; they have a concrete chloride ion content of 2.85 kg/m3 and a water–cement ratio of 0.44. To effectively evaluate the seven prediction models, this paper adopts the calculation model proposed by Guo et al. [24]:
where UCE denotes the unit coulombs passed from the experimental data, and UCM denotes the unit coulombs passed from the forecast data.
Through data calculation, the comparison results between each prediction model and experimental data can be obtained by substituting the calculation results of seven empirical prediction models into the above formula, as shown in Figure 5.
Figure 5.
Comparison results between calculated values and experimental values. (a) The covering layer has a thickness of 50 mm. (b) The covering layer has a thickness of 70 mm [15,16,22,23,24,25].
Through the observation of Figure 5a,b, it can be found that the model built by Kong, Guo, and Yu et al. overestimated the actual corrosion rate during the research of reinforcement. On the contrary, the Stewart and Vu models have the problem of underestimation. Through the observation of Figure 5a, we can find that the Weyers and Liu models have an overestimation problem. Through the observation of Figure 5b, it can be found that the Weyers and Liu models overestimate the calculated value, but underestimate the erosion rate due to the new model using the Lu model, so the comparison between the two models and the experimental values is close. In Figure 5a, the average comparison percentage of the new model is within 15%; in Figure 5b, the average comparison percentage of the new model is within 28%. In general, when time changes, the new model can be used to predict the corrosion rate of reinforcement.
3.4. Model Error Analysis
Because test data is an important basis for the empirical test model, and the test data itself has a certain degree of discreteness, it is necessary to study the uncertainty of the seven prediction empirical models mentioned above. The following formula is used for the model error variable:
ME refers to professional factors proposed by Ellingwood and Galambos [30]. Combined with the 144 groups of experimental data collected above, 144 groups of ME values corresponding to each empirical model can be obtained.
Taking the empirical prediction model as the research object, the statistical distance of its model error variables is calculated, and its uncertainty parameter histogram is shown in Figure 6. According to the change rules of the histogram, in this paper, four two-parameter rate–density functions of normal distribution, logarithmic distribution, Gumbel distribution and Weibull distribution were selected and calculated after obtaining statistical data; Figure 6 shows the standard deviation and average value.
Figure 6.
Histograms and statistical moments of model fitting results and error variables. (a) Liu and Weyers [15]. (b) Vu and Stewart [16]. (c) Kong et al. [22]. (d) Yu et al. [23]. (e) Guo et al [24]. (f) Lu et al. [25]. (g) New model.
By calculating the goodness of fit of four different probability distributions, Chi-square test result model errors (experimental values/calculated values) of the seven predictive empirical models are shown in Table 5. In this paper, seven empirical models are used. Taking the uncertainty parameters of their models as the research object, the probability characteristics are analyzed in depth; see Table 6 for details. The goodness of fit can be calculated with the help of the following formula [31]:
Table 5.
Experimental values/calculated values of Chi-square test results.
Table 6.
Probability characteristics of the uncertainty parameters of the model.
In the formula, the probability frequency and actual frequency are represented by Ei and Oi, respectively; The goodness of fit and the number of use intervals are expressed by Tg and k, respectively.
As shown in Figure 6 and Table 5, the new model, Lu et al., and Yu et al.’s histogram and probability distribution goodness-of-fit results show that among the four probability distributions, the fitting degree of normal distribution can reach the best, corresponding to fitting degrees of 6.80, 6.14 and 1.83, respectively. Through the comparative analysis of their results, Liu and Weyers, Vu and Stewart, and Guo et al. obtained the goodness of fit, and it can be seen that the goodness of fit of the Weibull distribution is at the highest level; the corresponding fit degrees were 3.06, 15.93 and 3.81, respectively. The fitting degree value is related to the selected test data, and the larger the data, the greater the fitting accuracy. The probability distribution characteristics of each empirical model are obtained, which provides a theoretical basis for further research of concrete cover cracking and reliability analysis.
4. Conclusions
This paper studies reinforced concrete structure using six prediction models to analyze the corrosion rate of reinforcement, and the applicability of the model is evaluated. At the same time, a new prediction model of the steel corrosion rate is proposed, and the conclusions are listed as follows:
- (1)
- Through the comparative analysis of existing prediction models, the prediction results of Liu and Weyers, Kong, et al., Guo et al. and Yu et al. overestimated the experimental results; on the whole, the predicted result of Vu and Stewart underestimated the experimental results, while Lu et al.’s prediction results are generally better than those of other models.
- (2)
- This paper proposes a new prediction model, which can also conduct in-depth analyses of environmental temperature and humidity, concrete resistivity, chloride ion content, corrosion duration time, water–cement ratio and cover thickness. Based on various experimental data obtained in this paper, it is verified that the new model has good applicability and universality.
- (3)
- Through model error analysis, the probability distribution characteristics of the new model, as well as the Lu et al. and Yu et al. models, all follow a lognormal distribution. Vu and Stewart, Liu and Weyers, and Guo et al. obey the Weibull distribution; the Kong et al. model obeys the Gumbel distribution. During the research of concrete cover, the theoretical foundation is laid for the analysis of its reliability and the research of cracking problems.
Author Contributions
Conceptualization, P.L.; methodology, Z.N.; software, Z.P.; validation, Z.N.; formal analysis, R.S.; investigation, Y.L.; resources, R.S.; data curation, Z.H.; writing—original draft preparation, R.S.; writing—review and editing, Z.P. and P.L.; visualization, Z.M.; supervision, Z.P.; project administration, Y.Z.; funding acquisition, Z.P. All authors have read and agreed to the published version of the manuscript.
Funding
This research was funded by the Anhui Province Key Research and Development Program, from the Department of Science and Technology of Anhui Province, grant number is 2022o07020003.
Data Availability Statement
The data presented in this study are available on request from the corresponding author.
Conflicts of Interest
The authors declare no conflict of interest.
References
- Liu, J.R. Study on Adhesion Properties between Inhomogeneous Rusted Steel Bars and Concrete under Continuous Loading; Qingdao University of Technology: Qingdao, China, 2021. [Google Scholar]
- Li, T. Study on Interface Bonding Strength of Reinforced Concrete under Freeze-Thaw-Chloride Ion Coupling; Xi’an Technological University: Xi’an, China, 2022. [Google Scholar]
- Li, F.M.; Yuan, Y.S.; Geng, O. Theoretical model of corrosion rate of reinforcement in concrete. J. South China Univ. Technol. 2009, 37, 83–87. (In Chinese) [Google Scholar]
- Geng, O. Study on Prediction Model of Reinforcement Corrosion Rate in Concrete Members. Ph.D. Thesis, China University of Mining and Technology, Xuzhou, China, 2008. (In Chinese). [Google Scholar]
- Kim, S.H.; Ann, K.Y. Modeling steel corrosion in concrete structures—Part Ⅰ: A newinverse relation between current density and potential for the cathodic reaction. Int. J. Electrochem. Sci. 2010, 5, 302–313. [Google Scholar]
- Otieno, M.; Beushausen, H.; Alexander, M. Chloride-induced corrosion of steel in cracked concrete—Part Ⅰ: Experimental studies under accelerated and natural marine environments. Cem. Concr. Res. 2016, 79, 373–385. [Google Scholar] [CrossRef]
- Lun, P.Y.; Zhang, X.G.; Jiang, C.; Ma, Y.F.; Fu, L. Modelling of Corrosion-Induced Concrete Cover Cracking Due to Chloride Attacking. Materials 2021, 14, 1440. [Google Scholar] [CrossRef]
- Siamphukdee, K.; Collins, F.; Zou, R. Sensitivity analysis of corrosion rate prediction models utilized for reinforced concrete affected by chloride. J. Mater. Eng. Perform. 2013, 22, 1530–1540. [Google Scholar] [CrossRef]
- Lu, Z.H.; Zhao, Y.G.; Yu, K. Stochastic Modeling of Corrosion Propagation for Service Life Prediction of Chloride Contaminated RC Structures. In Proceedings of the 1st International Symposium on Life-Cycle Civil Engineering, Lake Como, Italy, 11–14 June 2008; pp. 195–201. [Google Scholar]
- Otieno, M.B.; Beushausen, H.D.; Alexander, M.G. Modelling corrosion propagation in reinforced concrete structures—A critical review. Cem. Concr. Compos. 2011, 33, 240–245. [Google Scholar] [CrossRef]
- Raupach, M. Models for the propagation phase of reinforcement corrosion—An overview. Mater. Corros. 2006, 57, 605–613. [Google Scholar] [CrossRef]
- Song, X.B.; Liu, X.L. Experiment research on corrosion of reinforcement in concrete through cathode-to-anode area ratio. ACI Mater. J. 2000, 97, 148–155. [Google Scholar]
- Pour-Ghaz, M.; Isgor, O.B.; Ghods, P. The effect of temperature on the corrosion of steel in concrete. Part 1: Simulated polarization resistance tests and model development. Corros. Sci. 2009, 52, 415–425. [Google Scholar] [CrossRef]
- Morinaga, S. Prediction of Service Lives of Reinforced Concrete Buildings Based on Rate of Corrosion of Reinforcement Steel; Special Report of Institute of Technology; Shimizu Corporation: Tokyo, Japan, 1988. [Google Scholar]
- Liu, T.; Weyers, R.W. Modeling the dynamic corrosion process in chloride contaminated concrete structures. Cem. Concr. Res. 1998, 28, 365–379. [Google Scholar] [CrossRef]
- Vu, K.A.T.; Stewart, M.G. Structural reliability of concrete bridges including improved chloride-induced corrosion models. Struct. Saf. 2000, 22, 313–333. [Google Scholar] [CrossRef]
- Ahmad, S.; Bhattacharjee, B. Empirical modeling of indicators of chloride induced rebar corrosion. J. Struct. Eng. 2000, 27, 195–207. [Google Scholar]
- Jung, W.Y.; Yoon, Y.S.; Sohn, Y.M. Predicting the remaining service life of land concrete by steel corrosion. Cem. Concr. Res. 2003, 33, 663–677. [Google Scholar] [CrossRef]
- Li, C.Q. Reliability Based Service Life Prediction of Corrosion Affected Concrete Structures. J. Struct. Eng. 2004, 130, 1570–1577. [Google Scholar]
- Yu, H.; Zhang, Y.H.; Wang, Q.; Xu, Q.; Deng, Y.M. Forecast model of steel corrosion rate of marine concrete. J. Build. Mater. 2009, 12, 478–481. [Google Scholar]
- Li, G. Durability behaviour and basic models of reinforced concrete deterioration under climate environments. Ph.D. Thesis, China University of Mining and Technology, Xuzhou, China, 2004. (In Chinese). [Google Scholar]
- Kong, Q.; Gong, G.; Yang, J.; Song, X. The corrosion rate of reinforcement in chloride contamination concrete. Low Temp. Archit. Technol. 2006, 111, 1–2. (In Chinese) [Google Scholar]
- Yu, B.; Yang, L.; Wu, M.; Li, B. Practical model for predicting corrosion rate of steel reinforcement in concrete structures. Constr. Build. Mater. 2014, 54, 315–328. [Google Scholar] [CrossRef]
- Guo, Y.; Trejo, D.; Yim, S. New model for estimating the time-variant seismic performance of corroding RC bridge columns. J. Struct. Eng. 2015, 141, 04014158. [Google Scholar] [CrossRef]
- Lu, Z.H.; Lun, P.Y.; Li, W.; Luo, Z.; Li, Y.; Liu, P. Empirical model of corrosion rate for steel reinforced concrete structures in chloride-laden environments. Adv. Struct. Eng. 2019, 22, 223–239. [Google Scholar] [CrossRef]
- Shi, J.J.; Sun, W. Recent research on steel corrosion in concrete. J. Chin. Ceram. Soc. 2010, 38, 1753–1764. (In Chinese) [Google Scholar]
- Yang, Y.T. Research on Concrete Resistivity and Reinforced Concrete Steel Corrosion Rate; Dalian University of Technology: Dalian, China, 2009. (In Chinese) [Google Scholar]
- Lun, P.Y. Research on Corrosion Rate of Reinforcement and Concrete Cover Cracking Reliability in Chloride Environment. Ph.D. Thesis, Central South University, Changsha, China, 2019. (In Chinese). [Google Scholar]
- Liu, Y.P. Modeling the Time-to-Corrosion Cracking in Chloride Contaminated Reinforced Concrete Structures. Ph.D. Thesis, Virgina Polytechnic Institute and State University, Blacksburg, VA, USA, 1996. [Google Scholar]
- Ellingwood, B.R.; Galambos, T.V. Probability-based criteria for structural design. Struct. Saf. 1982, 1, 15–26. [Google Scholar] [CrossRef]
- Ang, A.H.S.; Tang, W.H. Probability Concepts in Engineering: Emphasis on Applications to Civil & Environmental Engineering, 2nd ed.; John Wiley & Sons: New York, NY, USA, 2006. [Google Scholar]
Disclaimer/Publisher’s Note: The statements, opinions and data contained in all publications are solely those of the individual author(s) and contributor(s) and not of MDPI and/or the editor(s). MDPI and/or the editor(s) disclaim responsibility for any injury to people or property resulting from any ideas, methods, instructions or products referred to in the content. |
© 2023 by the authors. Licensee MDPI, Basel, Switzerland. This article is an open access article distributed under the terms and conditions of the Creative Commons Attribution (CC BY) license (https://creativecommons.org/licenses/by/4.0/).






