Performance Analysis of Short-Span Simply Supported Bridges for Heavy-Haul Railways with A Novel Prefabricated Strengthening Structure
Abstract
1. Introduction
2. Proposed Methodology
3. Theoretical Model
4. Finite Element Model and Verification
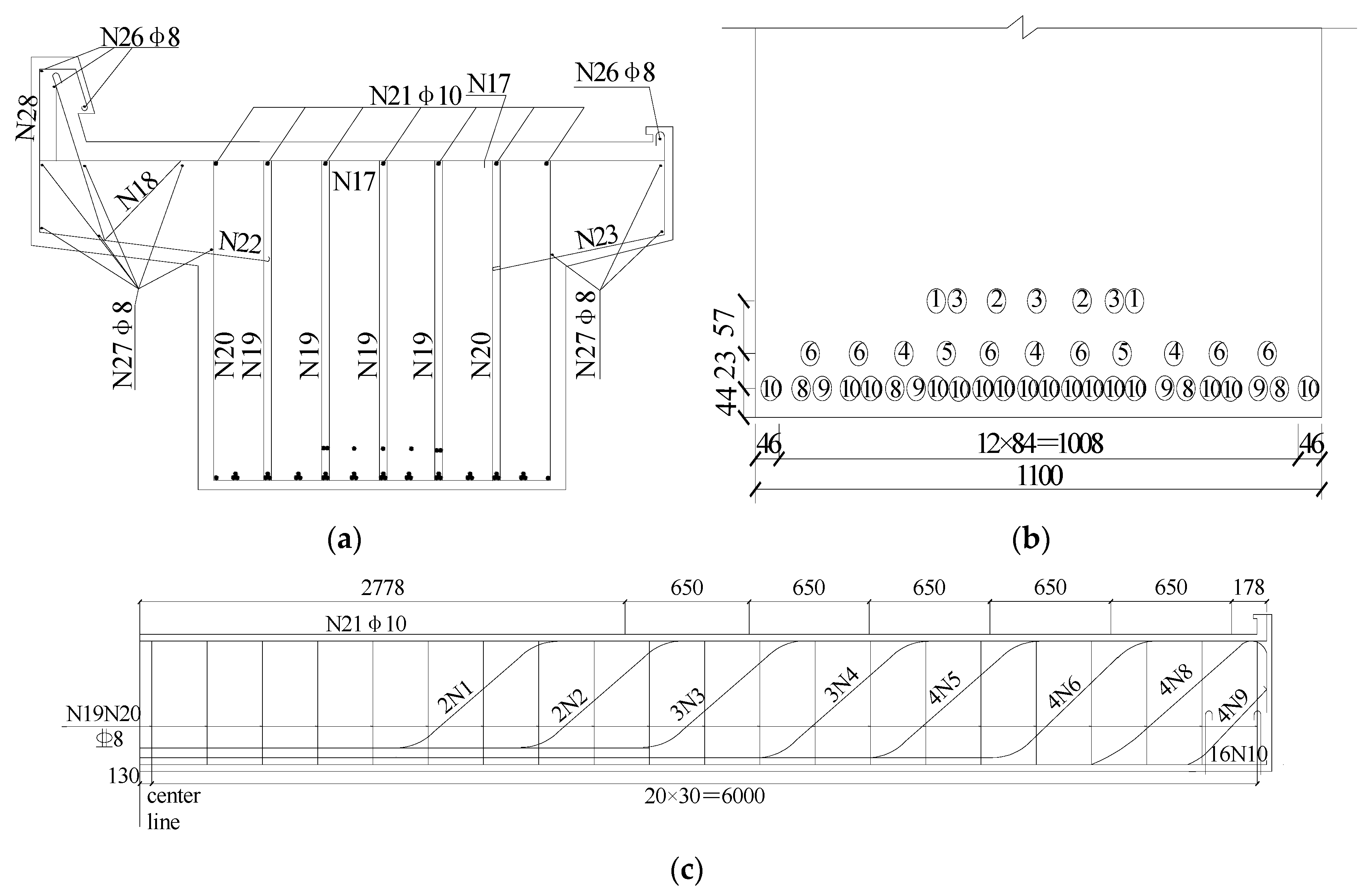
4.1. Finite Element Model
4.2. Experiments
4.3. Comparison between Model and Experimental Data
5. Discussion
5.1. Comparison Studies with and without NPSS
5.2. Influence of the Support Stiffness
5.3. Influence of the Installation Location
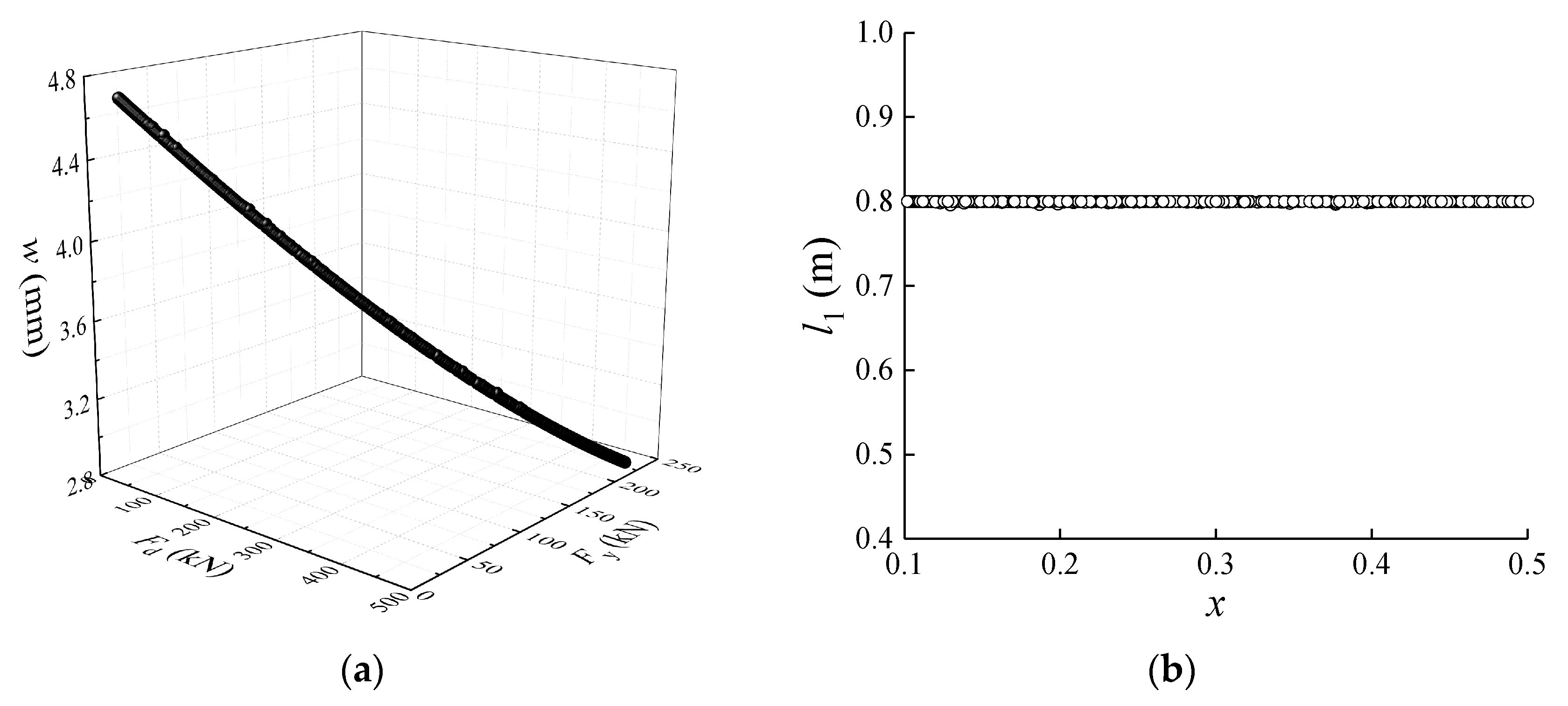
5.4. Parameters Optimization
5.5. Dynamic Performance Verification
6. Conclusions
Author Contributions
Funding
Data Availability Statement
Conflicts of Interest
Appendix A

References
- Holder, D.E.; Csenge, M.V.; Qian, Y.; Dersch, M.S.; Edwards, J.R.; Dyk, B.V. Laboratory Investigation of the Skl-Style Fastening System’s Lateral Load Performance under Heavy Haul Freight Railroad Loads. Eng. Struct. 2017, 139, 71–80. [Google Scholar] [CrossRef]
- Guo, F.Q.; Wang, P.J.; Yang, Q.; Yu, Z.W.; Leng, W.M.; Chen, C. Experimental Research on Characteristics of Vertical Dynamic Load on Bridge Pier and Pile Foundation under Heavy-Haul Railway Train. China Civ. Eng. J. 2021, 54, 79–90. [Google Scholar] [CrossRef]
- Bonopera, M.; Liao, W.C.; Perceka, W. Experimental–Theoretical Investigation of the Short-Term Vibration Response of Uncracked Prestressed Concrete Members under Long-Age Conditions. Structures 2022, 35, 260–273. [Google Scholar] [CrossRef]
- Noble, D.; Nogal, M.; O’Connor, A.; Pakrashi, V. The Effect of Prestress Force Magnitude and Eccentricity on the Natural Bending Frequencies of Uncracked Prestressed Concrete Beams. J. Sound Vib. 2016, 365, 22–44. [Google Scholar] [CrossRef]
- Song, L.; Cui, C.X.; Liu, J.L.; Yu, Z.W.; Jiang, L.Z. Corrosion-Fatigue Life Assessment of RC Plate Girder in Heavy-Haul Railway under Combined Carbonation and Train Loads. Int. J. Fatigue 2021, 151, 106368. [Google Scholar] [CrossRef]
- Sangiorgio, V.; Nettis, A.; Uva, G.; Pellegrino, F.; Varum, H.; Adam, J.M. Analytical Fault Tree and Diagnostic Aids for the Preservation of Historical Steel Truss Bridges. Eng. Fail. Anal. 2022, 133, 105996. [Google Scholar] [CrossRef]
- Chmielewski, R.; Muzolf, P. Analysis of Degradation Process of A Railway Steel Bridge in the Final Period of Its Operation. Struct Infrastruct E. 2023, 19, 537–553. [Google Scholar] [CrossRef]
- Scheerer, S.; Zobel, R.; Müller, E.; Senckpiel-Peters, T.; Schmidt, A.; Curbach, M. Flexural Strengthening of RC Structures with TRC—Experimental Observations, Design Approach and Application. Appl. Sci. 2019, 9, 1322. [Google Scholar] [CrossRef]
- Kadhim, M.M.A.; Jawdhari, A.; Nadir, W.; Cunningham, L.S. Behaviour of RC Beams Strengthened in Flexure with Hybrid CFRP-Reinforced UHPC Overlays. Eng. Struct. 2022, 262, 114356. [Google Scholar] [CrossRef]
- Sohail, M.G.; Wasee, M.; Nuaimi, N.A.; Alnahhal, W.; Hassan, M.K. Behavior of Artificially Corroded RC Beams Strengthened with CFRP and Hybrid CFRP-GFRP Laminates. Eng. Struct. 2022, 272, 114827. [Google Scholar] [CrossRef]
- Bazli, M.; Heitzmann, M.; Hernandez, B.V. Hybrid Fibre Reinforced Polymer and Seawater Sea Sand Concrete Structures: A Systematic Review on Short-Term and Long-Term Structural Performance. Constr. Build. Mater. 2021, 301, 124335. [Google Scholar] [CrossRef]
- Ekoi, E.J.; Dickson, A.N.; Dowling, D.P. Investigating the Fatigue and Mechanical Behaviour of 3D Printed Woven and Nonwoven Continuous Carbon Fibre Reinforced Polymer (CFRP) Composites. Compos. Part B-Eng. 2021, 212, 108704. [Google Scholar] [CrossRef]
- Xiong, Z.; Wei, W.; Liu, F.; Cui, C.Y.; Li, L.J.; Zou, R.; Zeng, Y. Bond Behaviour of Recycled Aggregate Concrete with Basalt Fibre-Reinforced Polymer Bars. Compos. Struct. 2021, 256, 113078. [Google Scholar] [CrossRef]
- Crawford, B.; Soto, R.; Lemus-Romani, J.; Astorga, G.; de la Parra, S.M.; Peña-Fritz, A.; Valenzuela, M.; García, J.; de la Fuente-Mella, H.; Castro, C. Investigating the Efficiency of Swarm Algorithms for Bridge Strengthening by Conversion to Tied-Arch: A Numerical Case Study on San Luis Bridge. Iran. J. Sci. Technol. Trans. Civ. Eng. 2021, 45, 2345–2357. [Google Scholar] [CrossRef]
- Hosseini, A.; Ghafoori, E.; Al-Mahaidi, R.; Zhao, X.L.; Motavalli, M. Strengthening of A 19th-Century Roadway Metallic Bridge Using Nonprestressed Bonded and Prestressed Unbonded CFRP Plates. Constr. Build. Mater. 2019, 209, 240–259. [Google Scholar] [CrossRef]
- Mechtcherine, V. Novel Cement-Based Composites for the Strengthening and Repair of Concrete Structures. Constr. Build. Mater. 2013, 41, 365–373. [Google Scholar] [CrossRef]
- Heiza, K.; Nabil, A.; Meleka, N.; Tayel, M. State-of-the Art Review: Strengthening of Reinforced Concrete Structures—Different Strengthening Techniques. Sixth Int. Conf. Nano-Technol. Constr. 2014, 6, 1–24. [Google Scholar]
- Pantelides, C.P. Strengthening Techniques: Bridges. In Encyclopedia of Earthquake Engineering; Beer, M., Kougioumtzoglou, I., Patelli, E., Au, I.K., Eds.; Springer: Berlin/Heidelberg, Germany, 2014. [Google Scholar]
- Cao, X.Y.; Shen, D.J.; Feng, D.C.; Wang, C.L.; Qu, Z. Seismic Retrofitting of Existing Frame Buildings Through Externally Attached Sub-Structures: State of the Art Review and Future Perspectives. J. Build Eng. 2022, 57, 104904. [Google Scholar] [CrossRef]
- Sarno, L.D.; Manfredi, G. Seismic Retrofitting with Buckling Restrained Braces: Application to An Existing Non-Ductile RC Framed Building. Soil Dyn. Earthq. Eng. 2010, 30, 1279–1297. [Google Scholar] [CrossRef]
- Cao, X.Y.; Feng, D.C.; Beer, M. Consistent Seismic Hazard and Fragility Analysis Considering Combined Capacity-Demand Uncertainties via Probability Density Evolution Method. Struct. Saf. 2023, 103, 102330. [Google Scholar] [CrossRef]
- Liu, Z.N.; Chen, X.C.; Ding, M.B.; Zhang, X.Y.; Lu, J.H. Quasi-Static Test of the Gravity Railway Bridge Pier with A Novel Preventative Seismic Strengthening Technique. Structures 2022, 35, 68–81. [Google Scholar] [CrossRef]
- Kang, J.T.; Wang, X.F.; Yang, J.; Du, Y.G. Strengthening Double Curved Arch Bridges by Using Extrados Section Augmentation Method. Constr. Build. Mater. 2013, 41, 165–174. [Google Scholar] [CrossRef]
- Chen, X.Y.; Fan, P.Y.; Gao, H.S.; Qian, W.; Jiang, S.H. Application of External Prestressing Combined with Enlarged Section Method to Reinforce T-Beam of Approach Bridge to Reduce Seawater Corrosion. Desalin. Water Treat. 2022, 267, 161–166. [Google Scholar] [CrossRef]
- Tian, J.; Wu, X.W.; Tan, X.; Wang, W.W.; Hu, S.W.; Du, Y.F.; Yuan, J.Y.; Huang, W.T.; Huang, X. Experimental Study and Analysis Model of Flexural Synergistic Effect of Reinforced Concrete Beams Strengthened with ECC. Constr. Build. Mater. 2022, 352, 128987. [Google Scholar] [CrossRef]
- He, Y.L.; Wang, K.; Cao, Z.Y.; Zheng, P.J.; Xiang, Y.Q. Reinforcement Analysis of an Old Multi-Beam Box Girder Based on a New Embedded Steel Plate (ESP) Strengthening Method. Materials 2022, 15, 4353. [Google Scholar] [CrossRef]
- Zhang, K.X.; Qi, T.Y.; Zhu, Z.M.; Xue, X.W. Strengthening of A Reinforced Concrete Bridge with A Composite of Prestressed Steel Wire Ropes Embedded in Polyurethane Cement. J. Perform. Constr. Facil. 2021, 35, 04021063. [Google Scholar] [CrossRef]
- Kim, S.H.; Park, J.S.; Jung, W.T.; Kim, T.K.; Park, H.B. Experimental Study on Strengthening Effect Analysis of A Deteriorated Bridge Using External Prestressing Method. Appl. Sci. 2021, 11, 2478. [Google Scholar] [CrossRef]
- Aksoylu, C.; Yazman, S.¸.; Özkılıç, Y.O.; Gemi, L.; Arslan, M.H. Experimental Analysis of Reinforced Concrete Shear Deficient Beams with Circular Web Openings Strengthened by CFRP Composite. Compos. Struct. 2020, 249, 112561. [Google Scholar] [CrossRef]
- Naser, M.Z.; Hawileh, R.A.; Abdalla, J.A. Fiber-Reinforced Polymer Composites in Strengthening Reinforced Concrete Structures: A Critical Review. Eng. Struct. 2019, 198, 109542. [Google Scholar] [CrossRef]
- Yuhazri, M.Y.; Zulfikar, A.J.; Ginting, A. Fiber Reinforced Polymer Composite as a Strengthening of Concrete Structures: A Review. IOP Conf. Ser. Mater. Sci. Eng. 2022, 1003, 012135. [Google Scholar] [CrossRef]
- Siddika, A.; Mamun, M.A.A.; Ferdous, W.; Alyousef, R. Performances, Challenges and Opportunities in Strengthening Reinforced Concrete Structures by Using FRPs—A State-of-the-Art Review. Eng. Fail. Anal. 2020, 111, 104480. [Google Scholar] [CrossRef]
- Zhou, C.D.; Ma, X.; Zhang, X.; Tian, M.W.; Wang, P.G. Mechanical Properties of Double-T Railway Bridges by Transforming Simply Supported into Continuous System. J. Cent. South Univ. 2018, 49, 703–710. [Google Scholar]
- Xu, Z.; Chen, B.C.; Zhuang, Y.Z.; Tabatabai, H. Rehabilitation and Retrofitting of a Multi Span Simply-Supported Adjacent Box Girder Bridge into a Jointless and Continuous Structure. J. Perform. Constr. Facil. 2018, 32, 04017112. [Google Scholar] [CrossRef]
- Hu, T.M.; Huang, C.K.; Chen, X.F.; Liang, Z.Y. Fatigue Experiment of Concrete Bridges Strengthened by Simple-Supporting to Continuous Construction Method. China J. Highw. Transp. 2010, 23, 76–83. [Google Scholar]
- Song, Y.F.; Hu, W.L.; Yuan, Y.G.; Ren, S.P. Strengthening Prestressed Concrete Box Girder Bridge by Upgrading Structural System. J. Perform. Constr. Facil. 2020, 34, 04019103. [Google Scholar]
- Zhang, W.X.; Wang, Z.; Wang, P.L.; Chen, H.T. Analysis of Effect of Using Added Self-Anchored Suspension Bridge to Strengthen Continuous Box Girder Bridge. World Bridg. 2017, 45, 76–81. [Google Scholar]
- Chen, C.; Yang, C.Q.; Pan, Y.; Zhang, H.L.; Backer, H.D. Parameters Analysis and Design of Transverse Connection Strengthening Prestressed Concrete T-Girder Bridge. Struct. Concr. 2021, 22, 3385–3395. [Google Scholar] [CrossRef]
- Hou, P.; Yang, J.; Pan, Y.; Ma, C.J.; Du, W.P.; Yang, C.Q.; Zhang, Y. Experimental and Simulation Studies on the Mechanical Performance of Concrete T-Girder Bridge Strengthened with K-Brace Composite Trusses. Structures 2022, 43, 479–492. [Google Scholar] [CrossRef]
- Jiang, L.Z.; Long, W.G.; Yu, Z.W.; Chen, L.K.; Li, L. Dynamic Response Analysis of Heavy-Haul Railway Bridge Strengthened by Bonding Assisted Steel Beams. J. Hunan City Univ. 2013, 40, 28–33. [Google Scholar]
- ANSYS Release: 19.0. January, 2018. ANSYS Inc. Available online: https://www.sohu.com/a/220292909_722157 (accessed on 13 March 2023).
- TB 10015-2012; Code for Design of Railway Continuous Welded Rail. China Railway Publishing House: Beijing, China, 2013.
- Yin, C.F.; Wei, B. Numerical Simulation of a Bridge-Subgrade Transition Zone Due to Moving Vehicle in Shuohuang Heavy Haul Railway. J. Vibroeng. 2013, 15, 1041–1047. [Google Scholar]
- TB 10625-2017; Code for Design of Heavy Haul Railway. China Railway Publishing House: Beijing, China, 2017.




















| Component | Element Type | Mesh Sizes | Amount |
|---|---|---|---|
| rail | beam188 | 0.01–0.09 m | 2574 |
| sleeper | shell63 | 0.05 m | 16,223 |
| beam | solid185 | 0.05 m | 134,750 |
| steel bars | mesh200/reinf264 | 0.05 m | 55,847 |
| fastener | combin14/combin39 | - | 208/104 |
| ballast bed | combin14/combin39 | - | 39,310/19,655 |
| bearing | combin14/combin39 | - | 196 |
| NPSS | combin39 | - | 196 |
| Name | Model | Range | Sensitivity | Accuracy |
|---|---|---|---|---|
| pressure sensor | JMZX3420 | 0–2000 kN | 2.0 mV/V | 2 kN |
| displacement sensor (bearings) | CDP-10 | 0–10 mm | 1000 με/mm | 0.001 mm |
| displacement sensor (midspan) | SDP-50C | 0–50 mm | 100 με/mm | 0.01 mm |
| Type | Parameter | Value | Type | Parameter | Value |
|---|---|---|---|---|---|
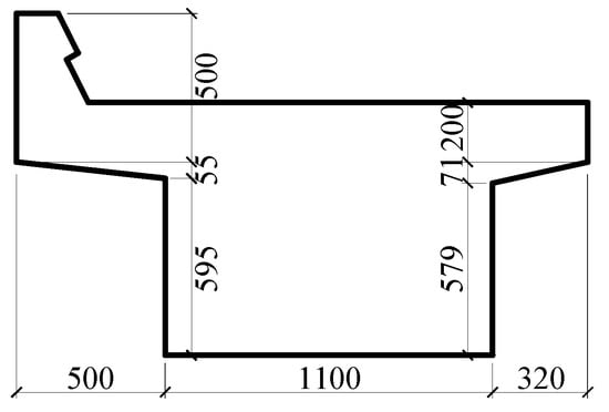
| steel bars | Young’s modulus (Pa) | 2.1 × 1011 | bridge section | area (m2) | 1.18 |
| Poisson’s ratio | 0.3 | vertical moment of inertia (m4) | 0.087 | ||
| yield strength (MPa) | 400/300 | single bearing | length × width × height (m) | 0.3 × 0.3 × 0.05 | |
| tangent modulus (Pa) | 1.6 × 109 | Young’s modulus (Pa) | 6.84 × 108 | ||
| diameter (mm) | 8–25 | vertical stiffness (N/m) | 1.23 × 109 |
Disclaimer/Publisher’s Note: The statements, opinions and data contained in all publications are solely those of the individual author(s) and contributor(s) and not of MDPI and/or the editor(s). MDPI and/or the editor(s) disclaim responsibility for any injury to people or property resulting from any ideas, methods, instructions or products referred to in the content. |
© 2023 by the authors. Licensee MDPI, Basel, Switzerland. This article is an open access article distributed under the terms and conditions of the Creative Commons Attribution (CC BY) license (https://creativecommons.org/licenses/by/4.0/).
Share and Cite
Xie, K.; Liu, B.; Dai, W.; Chen, S.; Wang, X. Performance Analysis of Short-Span Simply Supported Bridges for Heavy-Haul Railways with A Novel Prefabricated Strengthening Structure. Buildings 2023, 13, 876. https://doi.org/10.3390/buildings13040876
Xie K, Liu B, Dai W, Chen S, Wang X. Performance Analysis of Short-Span Simply Supported Bridges for Heavy-Haul Railways with A Novel Prefabricated Strengthening Structure. Buildings. 2023; 13(4):876. https://doi.org/10.3390/buildings13040876
Chicago/Turabian StyleXie, Kaize, Bowen Liu, Weiwu Dai, Shuli Chen, and Xinmin Wang. 2023. "Performance Analysis of Short-Span Simply Supported Bridges for Heavy-Haul Railways with A Novel Prefabricated Strengthening Structure" Buildings 13, no. 4: 876. https://doi.org/10.3390/buildings13040876
APA StyleXie, K., Liu, B., Dai, W., Chen, S., & Wang, X. (2023). Performance Analysis of Short-Span Simply Supported Bridges for Heavy-Haul Railways with A Novel Prefabricated Strengthening Structure. Buildings, 13(4), 876. https://doi.org/10.3390/buildings13040876

