Seismic Retrofitting of Indonesian Masonry Using Bamboo Strips: An Experimental Study
Abstract
:1. Introduction
2. Materials and Methods
2.1. Bamboo Preparation and Tensile Test
2.2. Flexural Test on Mortar
2.3. Diagonal Compressive Shear Test on Unreinforced Masonry Panel
- Ss = shear stress at net cross area
- P = compressive load
- An = net cross section,
- w = width of the panel
- h = height of the panel
- t = thickness of the panel
2.4. Pushover Shear Test on Unreinforced and Retrofitted Masonry Walls
3. Results and Discussions
4. Conclusions
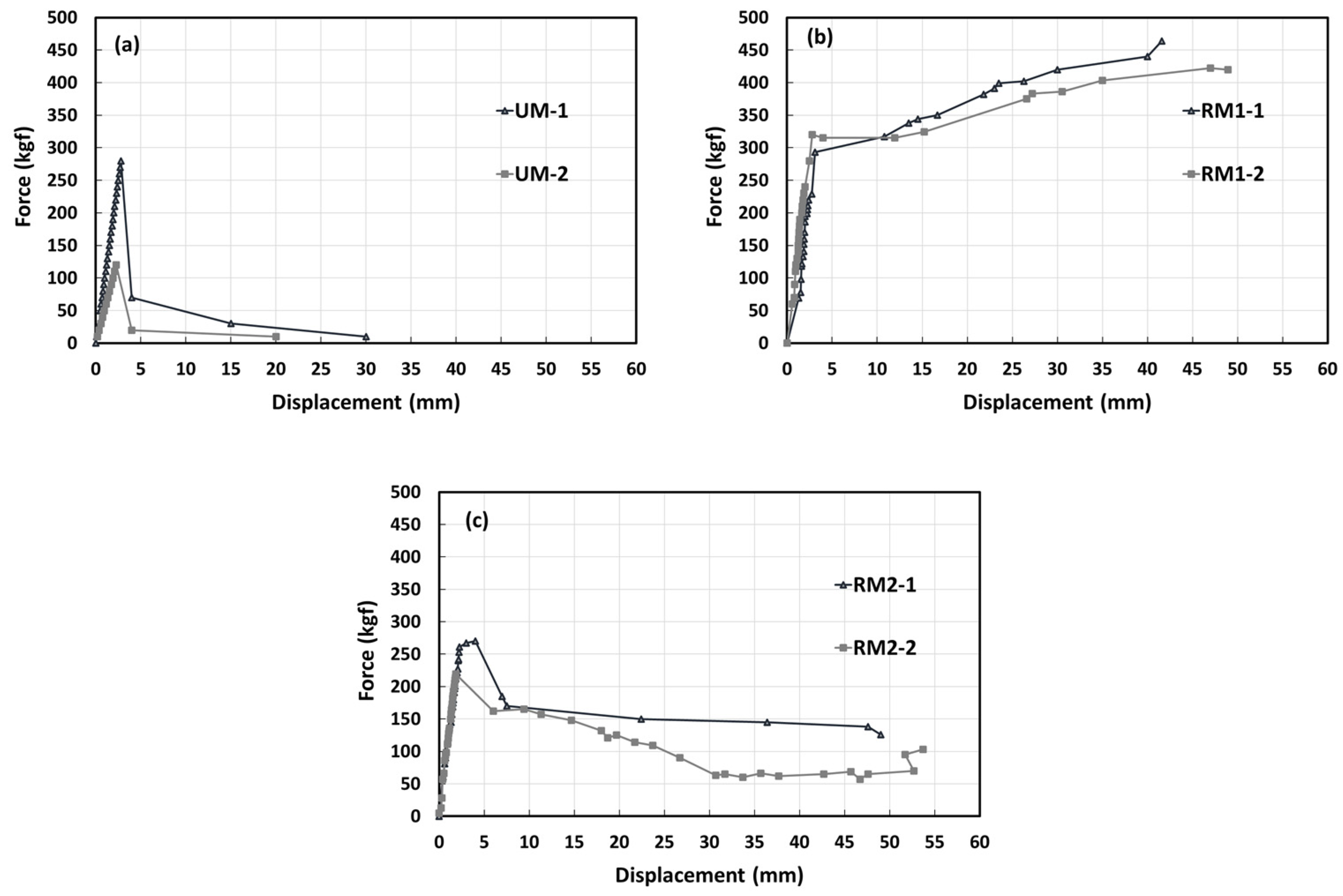
- The application of 2.88% bamboo reinforcement (model RM-1) resulted in a significant increase in ultimate strength and ultimate deformation. Hence, a sudden collapse could be avoided. Meanwhile, the application of 1.44% bamboo reinforcement (RM-2) barely improved the ultimate strength of the masonry wall under study.
- While the ultimate strength of the reinforced models was improved with the application of the bamboo reinforcement, the crack load and the deformations at the crack were barely increased. It indicates that the elastic mechanical properties of the masonry wall were not affected by the application of bamboo reinforcement, in particular, when the finishing mortar or adhesion is not applied.
- No damage on the bamboo strips was observed until the end of the test. However, at large displacement, notable slips on the bamboo wire ties were observed. The application of an adhesive agent on the masonry–bamboo interface would eliminate this slip failure mode.
Author Contributions
Funding
Data Availability Statement
Conflicts of Interest
References
- Di Boen, T. Yogya Earthquake 27 May 2006: Structural Damage Report; EERI: Oakland, CA, USA, 2006. [Google Scholar]
- Boen, T. Bengkulu & West Sumatra Earthquakes, 12 September 2007, Structural Damage Report. In Seminar dan Pameran HAKI; HAKI: Jakarta, Indonesia, 2007. [Google Scholar]
- Shehu, R. Implementation of pushover analysis for seismic assessment of masonry towers: Issues and practical recommendations. Buildings 2021, 11, 71. [Google Scholar] [CrossRef]
- Milani, G.; Shehu, R.; Valente, M. Possibilities and limitations of innovative retrofitting for masonry churches: Advanced computations on three case studies. Constr. Build. Mater. 2017, 147, 239–263. [Google Scholar] [CrossRef]
- Pamungkas, A.; Larasati, K.D.; Iranata, D. Building emergency infrastructure requirement to enhance urban resilience for earthquake: A case study of Surabaya building regulation. In IOP Conference Series: Earth and Environmental Science; IOP Publishing: Bristol, UK, 2022; Volume 1095, p. 012007. [Google Scholar]
- ElGawady, M.A.; Lestuzzi, P.; Badoux, M. Aseismic retrofitting of unreinforced masonry walls using FRP. Compos. Part B Eng. 2005, 37, 148–162. [Google Scholar] [CrossRef]
- Carozzi, F.G.; Poggi, C.; Bertolesi, E.; Milani, G. Ancient masonry arches and vaults strengthened with TRM, SRG and FRP composites: Experimental evaluation. Compos. Struct. 2018, 187, 466–480. [Google Scholar] [CrossRef] [Green Version]
- Pantò, B.; Cannizzaro, F.; Caddemi, S.; Caliò, I.; Chácara, C.; Lourenço, P.B. Nonlinear Modelling of Curved Masonry Structures after Seismic Retrofit through FRP Reinforcing. Buildings 2017, 7, 79. [Google Scholar] [CrossRef] [Green Version]
- Tarfan, S.; Banazadeh, M.; Esteghamati, M.Z. Probabilistic seismic assessment of non-ductile RC buildings retrofitted using pre-tensioned aramid fiber reinforced polymer belts. Compos. Struct. 2019, 208, 865–878. [Google Scholar] [CrossRef]
- D’Ambra, C.; Lignola, G.P.; Prota, A.; Sacco, E.; Fabbrocino, F. Experimental performance of FRCM retrofit on out-of-plane behaviour of clay brick walls. Compos. Part B Eng. 2018, 148, 198–206. [Google Scholar] [CrossRef]
- Scacco, J.; Ghiassi, B.; Milani, G.; Lourenço, P.B. A fast modeling approach for numerical analysis of unreinforced and FRCM reinforced masonry walls under out-of-plane loading. Compos. Part B Eng. 2020, 180, 107553. [Google Scholar] [CrossRef]
- Shabdin, M.; Attari, N.K.; Zargaran, M. Experimental study on seismic behavior of Un-Reinforced Masonry (URM) brick walls strengthened with shotcrete. Bull. Earthq. Eng. 2018, 16, 3931–3956. [Google Scholar] [CrossRef]
- Boen, T.; Imai, H.; Ismail, F.; Hanazato, T. Brief report of shaking table test on masonry building strengthened with ferrocement layers. J. Disaster Res. 2015, 10, 551–557. [Google Scholar] [CrossRef]
- Meguro, K.; Soti, R.; Navaratnaraj, S.; Numada, M. Dynamic testing of masonary houses retrofitted by bamboo band meshes. J. Jpn. Soc. Civ. Eng. Ser. A1 Struct. Eng. Earthq. Eng. SE/EE 2012, 68, I_760–I_765. [Google Scholar] [CrossRef] [Green Version]
- Xu, Q.; Chen, X.; Chen, J.F.; Harries, K.A.; Chen, L.; Wang, Z. Seismic strengthening of masonry walls using bamboo components. Adv. Struct. Eng. 2019, 22, 2982–2997. [Google Scholar] [CrossRef]
- Habieb, A.B.; Valente, M.; Milani, G. Hybrid seismic base isolation of a historical masonry church using unbonded fiber reinforced elastomeric isolators and shape memory alloy wires. Eng. Struct. 2019, 196, 109281. [Google Scholar] [CrossRef]
- Habieb, A.B.; Valente, M.; Milani, G. Effectiveness of different base isolation systems for seismic protection: Numerical insights into an existing masonry bell tower. Soil Dyn. Earthq. Eng. 2019, 125, 105752. [Google Scholar] [CrossRef]
- Habieb, A.B.; Valente, M.; Milani, G. Base seismic isolation of a historical masonry church using fiber reinforced elastomeric isolators. Soil Dyn. Earthq. Eng. 2019, 120, 127–145. [Google Scholar] [CrossRef]
- Sassu, M.; Stochino, F.; Mistretta, F. Assessment Method for Combined Structural and Energy Retrofitting in Masonry Buildings. Buildings 2017, 7, 71. [Google Scholar] [CrossRef] [Green Version]
- Yavartanoo, F.; Kang, T.H.K. Retrofitting of unreinforced masonry structures and considerations for heritage-sensitive constructions. J. Build. Eng. 2022, 49, 103993. [Google Scholar] [CrossRef]
- Dange, S.; Prataskar, S.V. Cost and Design Analysis of Steel and Bamboo Reinforcement. Int. J. Innov. Res. Sci. Eng. Technol. 2017, 6, 22464–22477. [Google Scholar] [CrossRef]
- Ogunbiyi, M.A.; Olawale, S.O.; Tudjegbe, O.E.; Akinola, S.R. Comparative analysis of the tensile strength of bamboo and reinforcement steel bars as structural member in building construction. Int. J. Sci. Technol. Res. 2015, 4, 551–553. [Google Scholar]
- Kaur, P.J. Bamboo availability and utilization potential as a building material. For. Res. Eng. Int. J. 2018, 2, 240–242. [Google Scholar]
- Akinlabi, E.T.; Anane-Fenin, K.; Akwada, D.R. Bamboo: The Multipurpose Plant; Springer: Berlin/Heidelberg, Germany, 2017. [Google Scholar]
- Duff, C.H. Bamboo and its structural use. Eng. Soc. China Sess. 1940, 41, 1–27. [Google Scholar]
- David, F. The Book of Bamboo; Sierra ClubBooks: San Francisco, CA, USA, 1984; ISBN 978-0-87156-825-0. [Google Scholar]
- ASTM C348-08; Standard Test Method for Flexural Strength of Hydraulic-Cement Mortars. ASTM: West Conshohocken, PA, USA, 2008.
- ASTM E519-2010; Standard Test Method for Diagonal Tension (Shear) in Masonry Assemblages. ASTM: West Conshohocken, PA, USA, 2010.
- Alecci, V.; Fagone, M.; Rotunno, T.; De Stefano, M. Shear strength of brick masonry walls assembled with different types of mortar. Constr. Build. Mater. 2013, 40, 1038–1045. [Google Scholar] [CrossRef]
- Kadam, S.B.; Singh, Y.; Li, B. Strengthening of unreinforced masonry using welded wire mesh and micro-concrete—Behaviour under in-plane action. Constr. Build. Mater. 2014, 54, 247–257. [Google Scholar] [CrossRef]
- Nkeuwa, W.N.; Zhang, J.; Semple, K.E.; Chen, M.; Xia, Y.; Dai, C. Bamboo-based composites: A review on fundamentals and processes of bamboo bonding. Compos. Part B Eng. 2022, 235, 109776. [Google Scholar] [CrossRef]
- Chen, M.; Weng, Y.; Semple, K.; Zhang, S.; Jiang, X.; Ma, J.; Fei, B.; Dai, C. Sustainability and innovation of bamboo winding composite pipe products. Renew. Sustain. Energy Rev. 2021, 144, 110976. [Google Scholar] [CrossRef]




















| Properties | Value |
|---|---|
| Density | 0.2–0.85 kg/cm3 [23] |
| Modulus of elasticity | 1.5–2.0 × 104 MPa [21] |
| Ultimate compressive strength | 79.4–86.4 MPa [21] |
| Ultimate tensile strength | 31.6–95.8 MPa [22] |
| Ultimate tensile strength (outer part only) | 290–342 MPa [24,25] |
| Specimen | Ultimate Tensile Load (N) | Ultimate Tensile Strength (MPa) |
|---|---|---|
| 1. | 17,542 | 140 |
| 2. | 22,638 | 181 |
| 3. | 20,972 | 168 |
| 4. | 25,676 | 205 |
| 5. | 15,876 | 127 |
| Average | 164 | |
| Specimen | Force at Crack (kgf) | Flexural Stress (MPa) | Average (MPa) |
|---|---|---|---|
| 1 | 3.50 | 0.100 | 0.11 |
| 2 | 4.50 | 0.120 | |
| 3 | 4.00 | 0.110 |
| Specimen | Maximum Load (kN) | Shear Strength (MPa) | Average (MPa) |
|---|---|---|---|
| 1 | 20.35 | 0.14 | 0.16 |
| 2 | 25.75 | 0.18 |
| Spec. | Bamboo Ratio (%) | Fcr (kgf) | Δcr (mm) | Fult (kgf) | Δult (mm) | Average Increase in Fult (%) | Ductility (µ) |
|---|---|---|---|---|---|---|---|
| UM-1 | - | 270 | 2.70 | 270 | 2.70 | 0.00 | 1.00 |
| UM-2 | - | - | - | - | - | ||
| RM1-1 | 2.88 | 293 | 3.08 | 464 | 41.62 | 64.07 | 13.51 |
| RM1-2 | 315 | 2.80 | 422 | 47.05 | 16.80 | ||
| RM2-1 | 1.44 | 270 | 2.23 | 270 | 4.25 | −9.26 | 1.91 |
| RM2-2 | 219 | 1.85 | 220 | 1.85 | 1.00 |
Disclaimer/Publisher’s Note: The statements, opinions and data contained in all publications are solely those of the individual author(s) and contributor(s) and not of MDPI and/or the editor(s). MDPI and/or the editor(s) disclaim responsibility for any injury to people or property resulting from any ideas, methods, instructions or products referred to in the content. |
© 2023 by the authors. Licensee MDPI, Basel, Switzerland. This article is an open access article distributed under the terms and conditions of the Creative Commons Attribution (CC BY) license (https://creativecommons.org/licenses/by/4.0/).
Share and Cite
Habieb, A.B.; Rofiussan, F.A.; Irawan, D.; Milani, G.; Suswanto, B.; Widodo, A.; Soegihardjo, H. Seismic Retrofitting of Indonesian Masonry Using Bamboo Strips: An Experimental Study. Buildings 2023, 13, 854. https://doi.org/10.3390/buildings13040854
Habieb AB, Rofiussan FA, Irawan D, Milani G, Suswanto B, Widodo A, Soegihardjo H. Seismic Retrofitting of Indonesian Masonry Using Bamboo Strips: An Experimental Study. Buildings. 2023; 13(4):854. https://doi.org/10.3390/buildings13040854
Chicago/Turabian StyleHabieb, Ahmad Basshofi, Farisal Akbar Rofiussan, Djoko Irawan, Gabriele Milani, Budi Suswanto, Amien Widodo, and Hidajat Soegihardjo. 2023. "Seismic Retrofitting of Indonesian Masonry Using Bamboo Strips: An Experimental Study" Buildings 13, no. 4: 854. https://doi.org/10.3390/buildings13040854
APA StyleHabieb, A. B., Rofiussan, F. A., Irawan, D., Milani, G., Suswanto, B., Widodo, A., & Soegihardjo, H. (2023). Seismic Retrofitting of Indonesian Masonry Using Bamboo Strips: An Experimental Study. Buildings, 13(4), 854. https://doi.org/10.3390/buildings13040854

