Abstract
Wax-based additives have been widely used in asphalt pavement for their preferable environmental benefits. However, poor compatibility between wax-based warm mix additives and asphalt easily leads to precipitation of wax and cracking of asphalt pavement. Plasma treatment can effectively modify the surface of various materials. This study applies plasma treatment to improve the surface properties of wax-based additives for compatibility improvement in asphalt binder. Compatibility of two different wax-base additives in asphalt binder before and after surface treatment is investigated via cigar tube test and morphology test. In parallel, rheological properties of wax-modified asphalt are characterized from the perspectives of rotational viscosity, rutting resistance, and fatigue performance. Results show the enhanced surface roughness and chemical activity of wax-based additives after plasma treatment. The adhesion between waxes and the asphalt matrix is significantly improved. Waxes within binder are uniformly dispersed after plasma treatment. The incorporation of surface activated wax helps to promote the viscosity reduction of asphalt binder. Furthermore, the high-temperature performance of wax-based asphalt after surface activation treatment of wax is significantly improved, especially for fatty acid amide waxes. As for fatigue performance, plasma treatment improves the fatigue resistance from a compatibility perspective. Therefore, plasma has great promise for facilitating wax-modified asphalt properties from a compatibility perspective.
1. Introduction
Nowadays, asphalt concrete has been widely used in pavement construction because of its stability and durability. The high viscosity of asphalt binder often results in high mixing and compaction temperatures, which requires additional burner fuel during its production. In recent years, warm mix asphalt (WMA) technology has been developed to alleviate energy consumption and lower CO2 emissions [1]. Wax additives, also known as viscosity reducers, are able to decrease the viscosity of the asphalt mixture during pavement construction. This enables production temperatures of asphalt mixes to be decreased by 20–30 °C, reducing energy costs by about 12–14% and gas emissions by approximately 30% [2]. As a result, wax-based warm mix additives will have unique economic benefits. Commonly used waxes are Fischer Tropsch waxes, Montan waxes, and fatty acid amides [3,4]. They have been used extensively in many countries (such as China, South Africa, Germany, Malaysia, Netherlands, New Zealand, Norway, Russia, South Africa, Switzerland, the UK, and the USA) for various paving projects, including airport runways, taxiways, car parks, and roads [2,5]. Wax additives have a distinctive effect on viscosity reduction of asphalt binder. In general, wax additives are also effective in improving the rheological properties of asphalt binder in high temperatures [6]. However, wax-based additives suffer from the poor low-temperature cracking resistance of asphalt pavement because of the inferior compatibility within the wax-modified asphalt binder [7,8,9,10]. Furthermore, the incorporation of wax additives in asphalt was detrimental to the storage stability [11,12]. It has shown that waxes in asphalt lead to physical hardening. Their uneven distribution within asphalt binder leads to reduced bonding between the binder and aggregates. Therefore, it is of great necessity to improve the compatibility between the wax-based warm mix additives and asphalt binders.
There are many methods of improving the compatibility between the additives and base asphalt or modified asphalt. In recent years, surface treatment technologies have been developed and applied to multiple types of modified asphalt [13,14,15,16]. Surface modification methods focus on physical modification together with chemical modification. However, few studies have investigated the effect of surface treatment on modifying wax additives. Plasma technology has been proved useful for surface pretreatment on the surface properties of all kinds of materials [17,18,19]. Plasma treatment incorporates various oxygen-containing functional groups, making the surface polar and hydrophilic. It consequently facilitates the bonding between two materials [20]. It is widely used to deal with rubber powder, graphene, fiber, and other materials and plays an important role in cleaning, etching, surface activation, and physical–chemical modification of materials. Compared to chemical modification, the surface treatment process is cheaper and simpler but with more obvious improvement in surface properties. Therefore, the objective of this study is to introduce plasma activation technology to improve the surface affinity of the wax-based additives and further enhance their compatibility with asphalt matrix.
The plasma treatment technology enhances the surface activity of treated sample and improves its homogeneity of the co-mixing properties between the treated additive and the substrate. It has been proven to improve the adhesion properties between additive and the substrate [21]. Li [22] studied the effect of plasma surface treatment of rubber powder on the high-temperature performance of CRMA. The high-temperature performance of the asphalt binder was evaluated, as was the rotational viscosity and failure temperature. The results showed that the plasma surface treatment of rubber powder significantly enhanced the high-temperature properties of rubberized asphalt. Plasma treatment on the ground tire rubber was investigated, and optimal processing parameters focusing on the ground tire rubber were successfully derived [23]. After plasma treatment, surface hydrophilicity, lipophilicity, and roughness were improved, while oxygen-containing functional groups were incorporated into rubber particles after plasma treatment. The surface incidental oxygen-containing functional groups can enhance the adhesion properties between additives and the asphalt matrix. It can be predicted that for asphalt modifiers, microscopic etching is formed on the surface of the additive after surface treatment, while its lubricity with the asphalt matrix is enhanced. Karahancer [15] applied plasma modification to the nano-modified asphalt concrete and exhibited higher stabilities and better properties on the plasma modified samples. Therefore, incorporating the treated modifier in asphalt binder, the rheological properties exhibit enhancement to some extent. It can be reasonably assumed that the surface treatment on wax-based additives can also improve the rheological performance of wax modified asphalt binder.
Previous studies have shown that different treatment time, power of treatment, and gas atmosphere will lead to different surface activation effect on samples. For the wax-based additives used in this study, the processing power was set as 500 W, and the processing time was 500 s, which formed a better surface etching effect [23,24,25]. In addition, due to the fine particle size of the wax-based additives, the ordinary plasma treatment instrument could not solve the problem of incomplete and uneven treatment of the powder sample. As a consequence, a rotating plasma treatment was proposed to treat the powder sample in this study. A surface treatment procedure for wax-based additives was designed. The compatibility of wax and asphalt binder was evaluated through the cigar tube test. Afterwards, the changes in rheological properties of wax-based modified asphalt after plasma treatment were characterized. Based on the plasma attempts in this study, applying plasma treatment to wax additives and enhancing the rheological properties and compatibility of asphalt binders is a promising approach.
2. Materials and Methods
2.1. Materials and Sample Preparation
2.1.1. Materials
Asphalt binder with 60/70 penetration grade (Pen60/70) was selected as the base asphalt in this study. It is commonly used in South China. Pen60/70 base asphalt was only used for manufacturing wax-based modified asphalt binder, which was expected to reveal the plasma activation and modification mechanism on wax additives. Wax additives were proven to reduce the viscosity of asphalt binder, thereby lowering the construction and paving temperature [26,27]. The commonly used wax additives were FT wax, Montan wax, and fatty acid amide wax, which differ from the production process, physical properties, and so on. Montan wax was reported to have a similar effect on asphalt to that of FT waxes [28]. In parallel, physical melting points of FT wax and Montan wax are similar. Hence, to obtain representative results to demonstrate the feasibility of using plasma treatment on wax-based additives, two types of wax-based additives were selected in this study, as shown in Table 1. Appearance of wax-based additives was shown in Figure 1. They were FT wax and fatty acid amide wax. Since the main objective of this study is not to promote any product, the specific names of these additives were simplified.
Table 1.
Basic properties of wax-based additives.
Figure 1.
Appearance of wax-based additives: (a) FT wax; (b) fatty acid amide wax.
FT wax is a long-chain hydrocarbon wax produced by treating hot coal with steam, which is known as the Fischer–Tropsch process [29]. The carbon chain of FT waxes ranges from C40 to C120 [2]. Long carbon chain of FT wax results in a high melting point between 85 °C and 115 °C. It is characterized by a low viscosity at high temperature and a fine microcrystalline structure at low temperature. This wax is completely soluble in asphalt binder and noticeably reduces the viscosity of asphalt when the temperature is above its melting point. Fatty acid amide wax is synthetically manufactured by reacting amines with fatty acids [28,30]. The polarity of amide group and non-polarity of fatty chains can reduce the interaction between the macromolecular polymer chains, playing the role of internal lubricant [30]. The melting point of fatty acid wax generally ranges from 141 °C to 146 °C [26]. This wax forms crystals helping to enhance the complex modules of asphalt at low temperatures, while high temperature melts the crystal network and causes viscosity reduction in the binder [31]. The FT waxes used in this study were coarse granular solids, while the fatty acid amide waxes were smaller powders.
2.1.2. Sample Preparation
This study focused on the effect of plasma surface modification on wax additives for improving asphalt binder’s rheological properties from a compatibility perspective. Dosage of modifiers in asphalt binder is one of the factors affecting compatibility [32,33]. The additional content of FT wax and fatty acid amide wax were generally 1.5–4% and 3%, respectively, by weight of asphalt binder [2]. Therefore, to investigate the effect of plasma treatment on asphalt properties with different wax additive content, dosages of wax additives of 2% and 4%, respectively, by weight of base binder for each wax were selected. Wax-modified asphalts with and without plasma activation were prepared. Base asphalt was first placed in an oven set at 150 °C for one hour. Then, wax additives were added to the asphalt and blended for 5 min at 150 °C using a laboratory stirrer (1200 rpm). Since waxes were completely soluble in asphalt at sufficient temperatures (generally above the melting point of waxes), a 5 min blending was generally adopted, which also helped prevent asphalt aging at high temperatures. In order to exclude the interference of preparation conditions with test results, the mixing conditions were consistent among all types of wax-modified asphalt binders. Table 2 summarizes the detailed description of the prepared samples.
Table 2.
Detailed description of samples.
2.2. Preparation of Activated Wax-Based Additives
Plasma is a state of matter apart from the solid, liquid, and gaseous states [34]. It is generated using high-voltage power to impose sufficient energy on gas under certain pressure conditions. The modification mechanism of plasma treatment is presented in Figure 2. Plasma treatment accomplishes two effects on wax-based additives. Firstly, a large number of ions, activated molecules, free radicals and other active particles within the plasma perform a physical impact on the wax surface. The impact helps to remove contaminants from the surface and performs an etching effect, forming microscopic pits on the surface. It increases the specific surface area of the waxes and ultimately improves the surface properties. Additionally, the original chemical bonds on the additive’s surface are broken. The free radicals in the plasma form a network of cross-linked structures with these broken chemical bonds. The introduction of new functional groups activates the surface, which significantly improves the surface activity of the material. Thereby, plasma treatment hopefully activates the inert surface of wax additives to further strengthen the compatibility of the wax-modified asphalt binder [13,35]. Hence, it can be predicted that plasma only improves the surface properties of wax additives without changing the bulk properties [35].
Figure 2.
Modification mechanisms of plasma treatment on wax-based additives.
A plasma machine (SUNJUNE PLASMA VP-TS) was employed to conduct the surface treatment on wax additives in this study. For each treatment, approximately 10 g of wax additive was initially weighed and delivered into a cylindrical quartz vessel. Then, the vessel was placed in the reaction chamber and the plasma treatment was started. A roots pump was employed to achieve a vacuum degree of 100 Pa, after which dry air was injected into the chamber at a flow rate of 500 mL/min. After the pressure was stabilized, the plasma treatment was started. The radio frequency (RF) was 13.562 MHz, the RF power was 500 W, and the processing time was set as 500 s. During the treatment, the cylindrical container was rotated at 0.8 rad/s, and the wax additives were repeatedly tumbled to achieve a deeper surface-activating effect. After 500 s of plasma treatment, the wax additives were effectively activated and ready for the preparation of plasma-treated-wax-modified asphalt binders.
2.3. Experimental Methods
To investigate the effect of plasma surface activation on waxes additives for improving asphalt properties, viscosity and rheological properties of asphalt binders were characterized with the help of a dynamic shear rheometer (DSR). For compatibility characterization, the cigar tube test was conducted and phase morphology was observed in this study. The experimental program is as shown in Figure 3. Table 3 shows the information of conducted tests.
Figure 3.
Flowchart of experimental design.
Table 3.
Details of the laboratory test.
2.3.1. Viscosity Measurement
The primary feature of wax-based additives is reduction of the viscosity of asphalt binder. To validate the effect of plasma activation on the viscosity reduction of wax additives, the viscosities of wax modified asphalt were characterized using a Brookfield viscometer in this study. The measurement is in accordance with AASHTO TP48-97. Viscosity measurements were conducted for temperatures ranging from 115 °C to 175 °C at intervals of 20 °C. With viscosity results, the viscosity–temperature curves of asphalt binders were obtained. Two replicates were prepared in the tests.
2.3.2. Rheological Characterization
Rutting factor (G*/sin δ) indicates asphalt’s resistance to high-temperature rutting. Incorporation of wax additives in asphalt beneficially enhances the rutting resistance of asphalt [27]. To discover the modification of plasma activation on asphalt’s rutting resistance, the rutting factors of rolling thin film oven (RTFO)-aged residues were used to characterize the rutting resistance of each asphalt binder. The rutting factor test was conducted with temperature automatically increasing in 6 °C intervals, and the G*/sin δ at each temperature was measured. The test progressed continuously if the measured G*/sin δ remained higher than 2.2 kPa, as specified in AASHTO M320. Three replicates were prepared in these tests. The testing procedures followed the AASHTO T315-12.
The multiple stress creep recover (MSCR) test assesses high-temperature performance from the perspective of linear and non-linear behaviour. It is widely considered an effective means of depicting the rutting resistance of asphalt binder. In this study, the temperature of MSCR test was conducted 64 °C, and the samples were RTFO residues. The binder sample experienced 10 creep–recovery cycles with 0.1 kPa creep stress followed by 10 cycles with 3.2 kPa creep stress. Each cycle consisted of creep stress applied for 1 s and a following recovery of 9 s. This test is in accordance with AASHTO TP 70-10. Three replicates were prepared in these tests.
The linear amplitude sweep (LAS) test is an advanced method that efficiently characterizes the fatigue performance of asphalt binder [36]. The testing procedure was in accordance with AASHTO TP 101-14. It was composed of two testing stages. In the first stage, a frequency sweep test was conducted to characterize the undamaged feature of asphalt over a range of 0.2–30 Hz at a constant strain level of 0.1%. The second stage was an amplitude sweep test, in which a linearly increasing strain was applied from 0% to 30% at a frequency level of 10 Hz. The samples used in this test were pressurized aging vessel (PAV) aged specimens. Three replicates were prepared in these tests. Ultimately, fatigue life (Nf) was determined using viscoelastic continuum damage (VECD) theory based on the following equation:
where γ refers to the strain level; A and B are coefficients determined in accordance with VECD theory [37].
2.3.3. Compatibility Characterization
The cigar tube test was employed to investigate the phase separation tendency of wax binders modified with and without plasma treatment. Aluminium cigar tubes were firstly filled with binders. Then, they were positioned vertically in the oven at 163 °C. After conditioning for 48 h, the heated tubes were immediately transferred to the freezer until thoroughly frozen. Afterwards, tubes were cut into three sections. The binder samples were extracted from top and bottom sections and used for conducting rutting factor test at 64 °C. The rutting factor test followed the AASHTO T315-12 for unaged samples. Three replicates were prepared in these tests. Ultimately, the separation index (SI) was calculated to evaluate the compatibility of asphalt binder, as shown below [32]:
where SI is the separation index, %; G* is the complex shear modulus; δ is the phase angle; (G*/sin δ)max is the maximum value of rutting factor among top or bottom sections; and (G*/sin δ)ave is the average of rutting factor of top and bottom sections.
2.3.4. Fluorescence Microscopy
Fluorescence microscopy is an effective tool for characterizing the phase dispersion of additives in asphalt matrix. Phase dispersion is an important issue for modified asphalt that affects the effect of additives on asphalt binder. Therefore, fluorescence microscopy was utilized to characterize the waxes dispersion in asphalt matrix. The testing specimens were prepared placing a drop of binder between two glass slides. Then, the micromorphology of the specimens was visually observed using at a magnification of 100 at room temperature.
3. Results and Discussion
3.1. Compatibility Characteristics
The compatibility between wax additives and asphalt binder is an important characteristic that influences both chemical and rheological properties of modified asphalt binder [13]. It is mainly affected by the variation of density and solubility between the modifier and the asphalt binder. However, wax-modified asphalt generally suffers from the inferior compatibility due to the waxes’ precipitation and suspension [9]. The poor compatibility between the waxes and asphalt binder may lead to phase separation, which in turn facilitates the segregation of wax-modified asphalt binder. This negatively affects not only the workability of wax modified asphalt but also the final performance of asphalt pavement. Therefore, surface activation on the wax additives is hopefully adopted to improve the molecular bonding between binder and waxes in this study. The compatibility of asphalt binder modified with original and activated wax-based additives were characterized using the cigar tube test.
Figure 4 shows the separation index (SI) results of wax-modified asphalt binders. Before surface activation, the SI of FT-wax-modified binder was small, while the SI of fatty acid amide wax modified binder was relatively higher. This indicated that the segregation of fatty acid amide wax modified asphalt was more significant. This can be attributed to the fact that this wax presents in a heterogeneous suspension in the asphalt, leading to the compatibility issue between waxes and binder [11]. With the increasing addition of FT waxes, the SI of FT wax modified asphalt increases, while the fatty acid amide waxes cannot find a similar tendency. After surface activation on wax additives, all wax-based modified binders obtained reduced SI compared to that before surface activation. It can be demonstrated that the plasma activation on wax additives effectively improves the compatibility between wax and asphalt. In particular, the improvement is more obvious under large dosages of wax additives. The SI of asphalt binder was reduced by 3.72 for A-4FT and by 5.66 for A-4FA. Based on the mechanism by which plasma improves the surface properties of polymers [14,25], the application of surface activation on waxes can change the surface free energy which finally enhance the compatibility of binders and modifiers.
Figure 4.
Separation index results.
3.2. Rotational Viscosity
Figure 5 presents the viscosity–temperature curves of asphalt binders. The Brookfield viscosity is commonly used to indicate the workability of asphalt in pavement construction. The optimal fluidity is the guarantee that asphalt binders have sufficient workability during pavement construction. The mixing temperature is defined as the temperature with a viscosity of 0.17 ± 0.02 Pa·s and of 0.28 ± 0.03 Pa·s for compaction temperature [38]. As shown in Figure 5a, the increased dosage of amide wax increased the viscosity of asphalt at low temperatures. As the temperature increased, the wax component in the asphalt binder began to melt and significantly reduced the viscosity of the binder. The 4FA became more effective on viscosity reduction than 2FA when the temperature exceeded 135 °C, which approximates the melting point of fatty acid amide wax. Therefore, there appeared a crossing point in Figure 5a. It is attributed to the poor solubility of fatty acid amide waxes in asphalt binder when the temperature is below wax’s melting point. A similar trend was reported in the previous study [28]. After plasma activation, the viscosity of A-2FA exhibited no significant change, whereas the viscosity of A-4FA decreased noticeably compared to that before surface activation. This can be explained by the plasma activation process enhancing the dispersion of fatty acid amide waxes within the asphalt binder, thus promoting the viscosity-reducing effect of wax additives. Additionally, activation process has limited effect on the viscosity of asphalt binder modified with less amount of fatty acid amide waxes. Figure 5b gives the viscosity results of FT wax modified asphalt. Before wax surface activation, the increased addition of FT waxes brought greater viscosity reduction. It may result from the better solubility of FT waxes in asphalt binder. Additionally, the light density of FT waxes helps to disperse within the asphalt binder. However, the effect of surface activation on FT waxes is not significant according to the test results. The plasma can effectively activate the wax additives’ surface properties, positively enhancing their dispersion and compatibility within asphalt binder. The activation effect depends on the solubility of the additive in the asphalt binder, as well as density and so on.
Figure 5.
Viscosity–temperature curve results: (a) viscosity–temperature curves of fatty acid amide wax; (b) viscosity–temperature curves of FT wax.
3.3. Rutting Factor Results
According to the AASHTO M320, failure temperature was defined as the threshold temperature when the G/sin δ of RTFO residuals is equal to 2.2 kPa in this test. High failure temperature represents great resistance to deformation. Figure 6 presents the failure temperature results of asphalt binders. Before plasma treatment, increasing addition of waxes was expected to enhance the binder’s deformation resistance [39,40]. The failure temperature of 2% F-T-wax-modified asphalt was 71.8 °C, while that of 4% FT wax was 79.3 °C. Increasing the dosage of FT wax lifted the failure temperature. However, the binder modified with 4% fatty acid amide wax unexpectedly obtained lower failure temperature than that with 2% wax. This illustrates the issue of poor compatibility between fatty acid amide wax and asphalt binder, which directly damages the internal structure of wax-modified asphalt and negatively affects binder’s resistance to deformation. After plasma activation, the failure temperatures of all wax-modified asphalts were increased. Wax molecules acquired active surface properties upon plasma activation, which causes waxes to bond intensely within the asphalt binder and ultimately form a stable lattice structure. Furthermore, the wax lattice structure provides greater stiffness and thus improves the deformation resistance of asphalt binder. The enhancement was obvious in the results of A-4FA. The failure temperature of activated wax modified asphalt was 102 °C while that of unactivated wax modified asphalt was 75 °C. As mentioned above, the fatty acid amide wax suffers poor compatibility with asphalt binder. Therefore, plasma activation is a promising method of improving the rutting resistance of asphalt from the perspective of compatibility between wax and asphalt matrix.
Figure 6.
Failure temperature results.
Figure 7 shows the rutting factors results. It can be seen that activated wax additives positively affected rutting performance of asphalt binders, but the trends of rutting factors remained unchanged. As shown in Figure 7a, the decreasing tendency of rutting factor became obvious as the temperature rose to 100 °C. This is because waxes are thermodynamically miscible within asphalt binder, suggesting that the physical properties of the waxes reflect upon the asphalt matrix [41]. The fatty acid amide waxes became significantly softer at 100 °C. The same trend can be observed in Figure 7b. Additionally, the rutting factors of wax-modified asphalt before and after activation had similar trends temperature increased. Thus, it can be assumed that the plasma activation can enhance the phase dispersion of the wax additive within asphalt, which in turn enhances the performance of the asphalt.
Figure 7.
Rutting factor results: (a) rutting factors of fatty acid amide wax; (b) rutting factors of FT wax.
3.4. MSCR Test Results
The MSCR test effectively assesses the rutting resistance of asphalt binder from the perspective of linear and non-linear behavior. In this test, the non-recoverable creep compliance (Jnr) and percentage recovery (R%) were measured to reveal the elastic response. The lower the Jnr and the higher the R%, the better the rutting resistance of the binder. As shown in Table 4, incorporation of all types of wax additives enhanced the rutting resistance of asphalt binder. Consistent with the results of rutting factor, increased dosage of the wax additives enhanced the high-temperature performance of the asphalt binder. The difference is that FT wax exhibited a greater enhancement than fatty acid amide wax. The Jnr of FT-wax-modified asphalt was lower than that of fatty acid amide wax modified asphalt. It indicates a better elastic response behavior in FT-wax-modified asphalt. Inferior results were also measured for the binder modified with a large fatty acid amide wax dose. This can be the result of poor compatibility between the fatty acid amide waxes and the asphalt binder.
Table 4.
Results of MSCR tests.
Compared to the raw wax additives, the plasma-activated wax additives significantly enhanced the anti-rutting performance of Pen60/70. The Jnr3.2 of A-2FA was 24% lower than that of unactivated 2FA, while activated A-2FT differed little from that of unactivated 2FT. It can be seen that neither FT wax nor fatty acid amide wax had poor compatibility at low dosages. However, the Jnr3.2 of A-4FA was 66% lower than that of 4FA, while the Jnr3.2 of A-4FT was 61% lower than that of the 4FT. It can be clearly concluded that plasma treatment effectively improved the rutting resistance of wax-modified asphalt. The R% results of different binders can also demonstrate the similar patterns. R%3.2 of asphalt binders with large wax dosage generally benefited more significant incensement from the plasma activation compared to the 2% dosage wax additives. It indicates that high dosage of wax additives contributed to the poor compatibility, at which the plasma treatment can alleviate this issue. Plasma activation is a promising method of improving the elastic response behavior of wax-modified asphalt from a compatibility perspective.
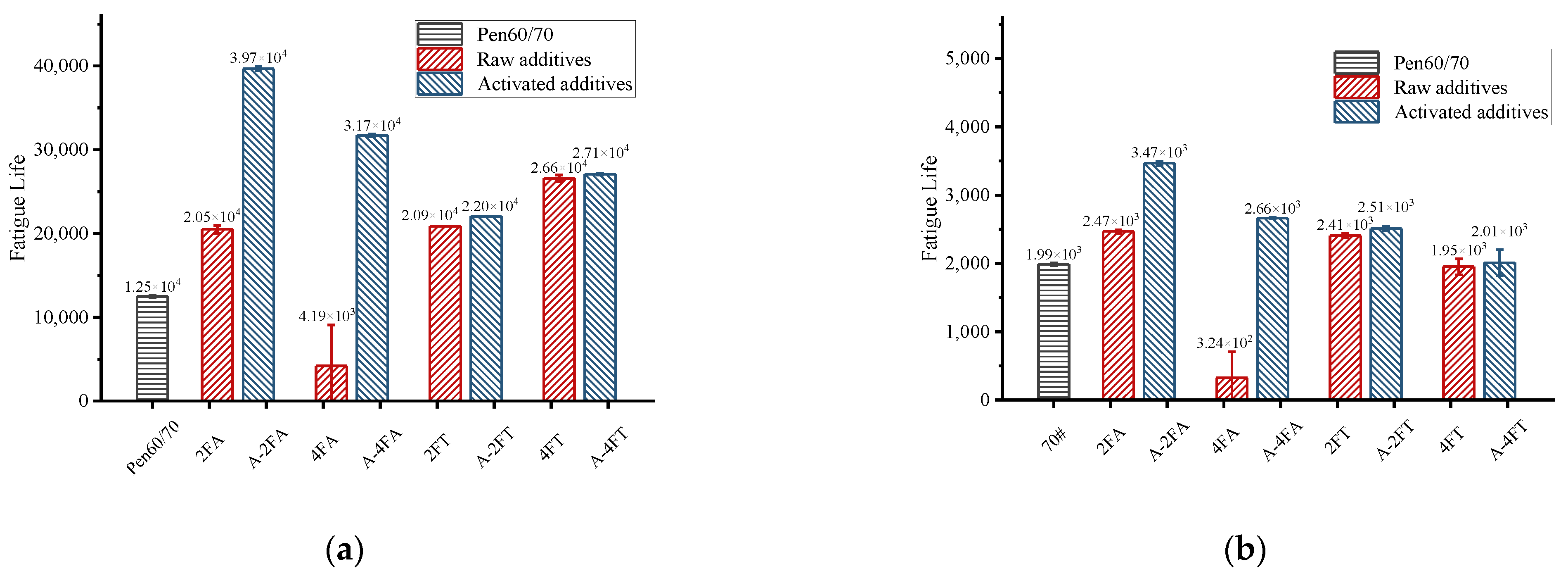
3.5. LAS Test Results
The LAS tests were conducted to reveal the fatigue performance of all binders in this study. Fatigue life (Nf) was determined based on VECD theory in this test. Figure 8a,b show the Nf results under strain levels of 2.5% and 5%. Before surface activation, all the wax-modified asphalt showed increased Nf compared to the base asphalt, except for the 4FA, regardless of the strain level. As previously mentioned, poor compatibility can lead to deterioration of modified asphalt performance [13]. The large amount of fatty acid amide wax leads to the inferior dispersion within asphalt matrix. Wax precipitation and suspension was one of the important issues affecting the performance of wax-modified asphalt [9,11]. Nf was unexpectedly small for 2FA and 4FA. It can be inferred that heterogeneous dispersion of fatty acid amide waxes in asphalt resulted in non-uniform distribution of asphalt stiffness, leading to the premature damage during LAS test. Regarding FT wax, the increased dosage increased the fatigue life at the strain level of 2.5%, while the increased dosage decreased the fatigue performance at 5.0% strain level. It was reported that 5.0% strain level approximates realistic pavement service conditions [37]. Therefore, the incorporation of FT wax weakened asphalt’s fatigue resistance.
Figure 8.
LAS test results: (a) 2.5% strain level; (b) 5.0% strain level.
After plasma activation, the fatty-acid-amide-wax-modified asphalt showed significantly enhanced fatigue performance. For 2.5% strain, the Nf of activated A-2FA is about 2 times higher than that of the unactivated one. Additionally, the Nf of A-4FA was significantly promoted after plasma activation. This was because the plasma treatment facilitated the dispersion of wax composition in the asphalt matrix. Similar trends can be found at the 5% strain level. The Nf of activated FT-wax-modified asphalt changed slightly, indicating that plasma activation was less effective in the modification of FT wax. This may be due to the limited effect of raw FT wax on the fatigue performance of asphalt [42,43]. Additionally, the results before and after activation illustrated that the phase dispersion of FT wax is relatively uniform. This may account for the limited improvement in fatigue performance of activated FT-wax-modified asphalt.
3.6. Phase Morphology
The morphology of wax-modified asphalt was investigated using a fluorescence microscope. Figure 9 showed the micrographs of wax-modified asphalts binder before and after plasma activation. The large amounts of additives tended to cause poor compatibility. Hence, the selected dosage of wax additives here was 4%. Waxes in graphics appear light white, and the asphalt matrix appears in dark green. The rheological properties and morphology of the binder are the results of the interaction between the additives and asphalt [44]. Therefore, the compatibility between wax and asphalt is critical to the properties of wax-modified asphalt.
Figure 9.
Fluorescence micrographs of wax modified asphalt: (a) Pen60/70; (b) 4FT; (c) 4FA; (d) A-4FT; (e) A-4FA.
The microstructure of wax-modified asphalt differs from the type of wax. As shown in Figure 9c, waxes cluster and flocculate in 4FA, resulting in black crystal objects in the graph. This implies poor compatibility between asphalt binder and fatty acid amide waxes, which can be reason for the poor rheological properties of 4FA. As shown in Figure 9b, the dispersion of FT waxes was relatively uniform in asphalt matrix, but aggregation and flocculation can also be seen. Hence, the 4FT exhibited excellent rutting and fatigue resistance. After plasma activation, the fatty acid amide wax phase dispersed into a large dark area in Figure 9e. This can be attributed to the enhancement of the surface activity of amide waxes after plasma treatment, which strengthens the bonding between waxes and the asphalt matrix. Thereby, the amide waxes in the asphalt matrix dispersed uniformly and built a solid network structure. This may account for the improved rutting and fatigue resistance of A-4FA. While the uniform dispersion of FT waxes can also be observed in A-4FT, indicating little effect of plasma activation on the FT waxes. The small specific surface area of FT wax additives with large particle size somewhat hindered the plasma treatment. Therefore, the activation effect of plasma surface treatment is influenced by the particle effect of wax additives.
4. Conclusions
In this study, the wax additives were activated using a plasma machine. The cigar tube test was employed to characterize the compatibility of asphalt binder and plasma-treated wax additives. To investigate the effect of plasma activation on asphalt binder, viscosity and rheological properties were characterized. The findings can be summarized as follows:
- Plasma treatment is an effective method capable of enhancing the surface activity of wax additives, which in turn strengthens the bonding between waxes and asphalt matrix. Plasma treatment can facilitate the uniform dispersion of waxes in asphalt binder, therefore increasing the compatibility of wax-based modified asphalt.
- Plasma treatment can enhance the effect of wax additives on asphalt’s high-temperature performance, especially for the fatty acid amide waxes. Regarding fatigue performance, plasma treatment helps to improve the fatigue resistance from a compatibility perspective. In parallel, this method is promising for enhancing the viscosity-reducing effect of wax additives.
- The activation effect of plasma surface treatment is influenced by the particle effect of wax additives. Plasma treatment is more beneficial for the wax-based additives with small particle size and large specific surface area. Based on the attempts in this study, it would be of significance to enhance the compatibility of waxes and asphalt binder utilizing the plasma treatment.
This study investigated the effect of plasma treatment on wax additives in terms of compatibility and rheological properties of asphalt. The plasma-treated-wax-modified asphalt exhibits enhanced compatibility and rheological characteristics. While the plasma activation process is not optimal, the particle size of the wax additive is a factor that affects the activation effect. Hence, treatment time, treatment power, and treatment atmosphere can be further optimized during the plasma treatment for wax additives. In parallel, it is an important issue to further explore the application of activated wax-based warm mix additives in SBS modified asphalt, rubberized asphalt, and other modified asphalt to obtain better viscosity reduction and rheological properties.
Author Contributions
Conceptualization, Q.C. and Z.L.; methodology, Y.L. and Q.C.; validation, Y.L. and Q.C.; investigation, H.Y. and Z.L.; writing—original draft preparation, Q.C. and Z.L.; supervision, Y.L. and H.Y.; funding acquisition, H.Y. All authors have read and agreed to the published version of the manuscript.
Funding
This research was funded by Guangdong Basic and Applied Basic Research Foundation (grant numbers 2022A1515011537, 2022A1515011607, and 2020A1515110900). This study was also supported by the Fundamental Research Funds for the Central Universities (2022ZYGXZR056).
Institutional Review Board Statement
Not applicable.
Informed Consent Statement
Not applicable.
Data Availability Statement
The data presented in this study are available on request from the corresponding author.
Acknowledgments
The authors would like to thank the technicians in the Road laboratories of South China University of Technology for technical support and assistance in experimental activities.
Conflicts of Interest
The authors declare that they have no known competing financial interests or personal relationships that could have appeared to influence the work reported in this paper.
References
- Belc, A.L.; Coleri, E.; Belc, F.; Costescu, C. Influence of Different Warm Mix Additives on Characteristics of Warm Mix Asphalt. Materials 2021, 14, 3534. [Google Scholar] [CrossRef] [PubMed]
- Cheraghian, G.; Falchetto, A.C.; You, Z.; Chen, S.; Kim, Y.S.; Westerhoff, J.; Moon, K.H.; Wistuba, M.P. Warm mix asphalt technology: An up to date review. J. Clean. Prod. 2020, 268, 122128. [Google Scholar] [CrossRef]
- Ji, J.; Yao, H.; Yuan, Z.; Suo, Z.; Xu, Y.; Li, P.; You, Z. Moisture Susceptibility of Warm Mix Asphalt (WMA) with an Organic Wax Additive Based on X-Ray Computed Tomography (CT) Technology. Adv. Civ. Eng. 2019, 2019, 7101982. [Google Scholar] [CrossRef]
- Carmen Rubio, M.; Martinez, G.; Baena, L.; Moreno, F. Warm mix asphalt: An overview. J. Clean. Prod. 2012, 24, 76–84. [Google Scholar] [CrossRef]
- Jamshidi, A.; Hamzah, M.O.; You, Z. Performance of Warm Mix Asphalt containing Sasobit (R): State-of-the-art. Constr. Build. Mater. 2013, 38, 530–553. [Google Scholar] [CrossRef]
- Tan, Y.-q.; Zhang, L.; Gong, W.-q.; Guo, M. Investigation of the effects of wax additive on the properties of asphalt binder. Constr. Build. Mater. 2012, 36, 578–584. [Google Scholar] [CrossRef]
- Zhang, H.; Zhang, H.; Ding, H.; Dai, J. Determining the Sustainable Component of Wax-Based Warm Mix Additives for Improving the Cracking Resistance of Asphalt Binders. ACS Sustain. Chem. Eng. 2021, 9, 15016–15026. [Google Scholar] [CrossRef]
- Luo, H.; Leng, H.; Ding, H.; Xu, J.; Lin, H.; Ai, C.; Qiu, Y. Low-temperature cracking resistance, fatigue performance and emission reduction of a novel silica gel warm mix asphalt binder. Constr. Build. Mater. 2020, 231, 117118. [Google Scholar] [CrossRef]
- Zhang, H.; Zhang, H.; Ding, H.; Rahman, A.; Qiu, Y. Chemical Modification of Waxes to Improve the Compatibility with Asphalt Binders. ACS Sustain. Chem. Eng. 2022, 10, 10908–10921. [Google Scholar] [CrossRef]
- Yu, H.; Leng, Z.; Zhou, Z.; Shih, K.; Xiao, F.; Gao, Z. Optimization of preparation procedure of liquid warm mix additive modified asphalt rubber. J. Clean. Prod. 2017, 141, 336–345. [Google Scholar] [CrossRef]
- Qiu, Y.; Ding, H.; Su, T. Non-isothermal low-temperature reversible aging of commercial wax-based warm mix asphalts. Int. J. Pavement Eng. 2022, 23, 514–522. [Google Scholar] [CrossRef]
- Yu, H.; Zhu, Z.; Leng, Z.; Wu, C.; Zhang, Z.; Wang, D.; Oeser, M. Effect of mixing sequence on asphalt mixtures containing waste tire rubber and warm mix surfactants. J. Clean. Prod. 2020, 246, 119008. [Google Scholar] [CrossRef]
- Zheng, W.; Wang, H.; Chen, Y.; Ji, J.; You, Z.; Zhang, Y. A review on compatibility between crumb rubber and asphalt binder. Constr. Build. Mater. 2021, 297, 123820. [Google Scholar] [CrossRef]
- Li, J.; Chen, Z.; Xiao, F.; Amirkhanian, S.N. Surface activation of scrap tire crumb rubber to improve compatibility of rubberized asphalt. Resour. Conserv. Recycl. 2021, 169, 105518. [Google Scholar] [CrossRef]
- Karahancer, S.S.; Kiristi, M.; Terzi, S.; Saltan, M.; Oksuz, A.U.; Oksuz, L. Performance evaluation of nano-modified asphalt concrete. Constr. Build. Mater. 2014, 71, 283–288. [Google Scholar] [CrossRef]
- Yu, H.; Lin, Y.; Yu, J.; Dong, N.; Jin, J.; Guo, F. Recycling potential of used crumb rubber for second-round asphalt modification. J. Clean. Prod. 2022, 365, 132797. [Google Scholar] [CrossRef]
- Shenton, M.J.; Stevens, G.C. Surface modification of polymer surfaces: Atmospheric plasma versus vacuum plasma treatments. J. Phys. D-Appl. Phys. 2001, 34, 2761–2768. [Google Scholar] [CrossRef]
- Li, F.; Zhang, X.; Wang, L.; Zhai, R. The preparation process, service performances and interaction mechanisms of crumb rubber modified asphalt (CRMA) by wet process: A comprehensive review. Constr. Build. Mater. 2022, 354, 129168. [Google Scholar] [CrossRef]
- Yu, H.; Deng, G.; Zhang, Z.; Zhu, M.; Gong, M.; Oeser, M. Workability of rubberized asphalt from a perspective of particle effect. Transp. Res. Part D-Transp. Environ. 2021, 91, 102712. [Google Scholar] [CrossRef]
- Haiber, S.; Ai, X.T.; Bubert, H.; Heintze, M.; Bruser, V.; Brandl, W.; Marginean, G. Analysis of functional groups on the surface of plasma-treated carbon nanofibers. Anal. Bioanal. Chem. 2003, 375, 875–883. [Google Scholar] [CrossRef]
- Mandolfino, C.; Lertora, E.; Gambaro, C.; Bruno, M. Improving adhesion performance of polyethylene surfaces by cold plasma treatment. Meccanica 2014, 49, 2299–2306. [Google Scholar] [CrossRef]
- Li, J.; Xiao, F.; Amirkhanian, S.N. High temperature rheological characteristics of plasma-treated crumb rubber modified binders. Constr. Build. Mater. 2020, 236, 117614. [Google Scholar] [CrossRef]
- Li, J.; Yao, S.; Xiao, F.; Amirkhanian, S.N. Surface modification of ground tire rubber particles by cold plasma to improve compatibility in rubberised asphalt. Int. J. Pavement Eng. 2022, 23, 651–662. [Google Scholar] [CrossRef]
- Li, J.; Xiao, F.; Amirkhanian, S.N. Storage, fatigue and low temperature characteristics of plasma treated rubberized binders. Constr. Build. Mater. 2019, 209, 454–462. [Google Scholar] [CrossRef]
- Li, J.; Xiao, F.; Amirkhanian, S.N. Rheological and chemical characterization of plasma-treated rubberized asphalt using customized extraction method. Fuel 2020, 264, 116819. [Google Scholar] [CrossRef]
- d’Angelo, J.; Harm, E.; Bartoszek, J.; Baumgardner, G.; Corrigan, M.; Cowsert, J.; Harman, T.; Jamshidi, M.; Jones, W.; Newcomb, D. Warm-Mix Asphalt: European Practice; Office of International Programs, Federal Highway Administration: Philadelphia, PA, USA, 2008. [Google Scholar]
- Merusi, F.; Giuliani, F. Rheological characterization of wax-modified asphalt binders at high service temperatures. Mater. Struct. 2011, 44, 1809–1820. [Google Scholar] [CrossRef]
- Rodriguez-Alloza, A.M.; Gallego, J.; Perez, I. Study of the effect of four warm mix asphalt additives on bitumen modified with 15% crumb rubber. Constr. Build. Mater. 2013, 43, 300–308. [Google Scholar] [CrossRef]
- Yu, H.-y.; Deng, G.-s.; Wang, D.-y.; Zhang, Z.-y.; Oeser, M. Warm asphalt rubber: A sustainable way for waste tire rubber recycling. J. Cent. South Univ. 2020, 27, 3477–3498. [Google Scholar] [CrossRef]
- Nakhaei, M.; Naderi, K.; Nasrekani, A.A.; Timm, D.H. Moisture resistance study on PE-wax and EBS-wax modified warm mix asphalt using chemical and mechanical procedures. Constr. Build. Mater. 2018, 189, 882–889. [Google Scholar] [CrossRef]
- Simnofske, D.; Mollenhauer, K. Effect of wax crystallization on complex modulus of modified bitumen after varied temperature conditioning rates. In Proceedings of the International Conference on Building Up Efficient and Sustainable Transport Infrastructure (BESTInfra), Prague, Czech Republic, 21–22 September 2017. [Google Scholar]
- Wang, Y.; Polaczyk, P.; He, J.; Lu, H.; Xiao, R.; Huang, B. Dispersion, compatibility, and rheological properties of graphene-modified asphalt binders. Constr. Build. Mater. 2022, 350, 128886. [Google Scholar] [CrossRef]
- Liu, S.; Jin, J.; Yu, H.; Gao, Y.; Du, Y.; Sun, X.; Qian, G. Performance enhancement of modified asphalt via coal gangue with microstructure control. Constr. Build. Mater. 2023, 367, 130287. [Google Scholar] [CrossRef]
- Romero-Sanchez, M.D.; Martin-Martinez, J.M. Surface modifications of vulcanized SBR rubber by treatment with atmospheric pressure plasma torch. Int. J. Adhes. Adhes. 2006, 26, 345–354. [Google Scholar] [CrossRef]
- Kusano, Y. Atmospheric Pressure Plasma Processing for Polymer Adhesion: A Review. J. Adhes. 2014, 90, 755–777. [Google Scholar] [CrossRef]
- Yu, H.; Zhu, Z.; Wang, D. Evaluation and Validation of Fatigue Testing Methods for Rubberized Bituminous Specimens. Transp. Res. Rec. 2019, 2673, 603–610. [Google Scholar] [CrossRef]
- Huang, W.; Guo, Y.; Zheng, Y.; Ding, Q.; Sun, C.; Yu, J.; Zhu, M.; Yu, H. Chemical and rheological characteristics of rejuvenated bitumen with typical rejuvenators. Constr. Build. Mater. 2021, 273, 121525. [Google Scholar] [CrossRef]
- Mo, L.; Li, X.; Fang, X.; Huurman, M.; Wu, S. Laboratory investigation of compaction characteristics and performance of warm mix asphalt containing chemical additives. Constr. Build. Mater. 2012, 37, 239–247. [Google Scholar] [CrossRef]
- Rodriguez-Alloza, A.M.; Gallego, J.; Giuliani, F. Complex shear modulus and phase angle of crumb rubber modified binders containing organic warm mix asphalt additives. Mater. Struct. 2017, 50, 77. [Google Scholar] [CrossRef]
- Laukkanen, O.-V.; Soenen, H. Rheological characterization of wax modified bituminous binders: Effect of specimen preparation and thermal history. Constr. Build. Mater. 2015, 95, 269–278. [Google Scholar] [CrossRef]
- Pauli, A.T.; Grimes, R.W.; Beemer, A.G.; Turner, T.F.; Branthaver, J.F. Morphology of asphalts, asphalt fractions and model wax-doped asphalts studied by atomic force microscopy. Int. J. Pavement Eng. 2011, 12, 291–309. [Google Scholar] [CrossRef]
- Ziari, H.; Babagoli, R. Evaluation of Fatigue and Rutting Behavior of Asphalt Binder Containing Warm Additive. Pet. Sci. Technol. 2015, 33, 1627–1632. [Google Scholar] [CrossRef]
- Kataware, A.V.; Singh, D. Effects of Wax-Based, Chemical-Based, and Water-Based Warm-Mix Additives on Mechanical Performance of Asphalt Binders. J. Mater. Civ. Eng. 2018, 30, 04018237. [Google Scholar] [CrossRef]
- Fu, H.; Xie, L.; Dou, D.; Li, L.; Yu, M.; Yao, S. Storage stability and compatibility of asphalt binder modified by SBS graft copolymer. Constr. Build. Mater. 2007, 21, 1528–1533. [Google Scholar] [CrossRef]
Disclaimer/Publisher’s Note: The statements, opinions and data contained in all publications are solely those of the individual author(s) and contributor(s) and not of MDPI and/or the editor(s). MDPI and/or the editor(s) disclaim responsibility for any injury to people or property resulting from any ideas, methods, instructions or products referred to in the content. |
© 2023 by the authors. Licensee MDPI, Basel, Switzerland. This article is an open access article distributed under the terms and conditions of the Creative Commons Attribution (CC BY) license (https://creativecommons.org/licenses/by/4.0/).








