Mechanical Behaviors of a Buckling-Plate Self-Centering Friction Damper
Abstract
:1. Introduction
2. Configuration and Working Principle of the BPSCFD
3. Elastic Buckling Analysis of the Buckling Plates
3.1. Theoretical Derivation
3.2. Finite Element Simulation
4. Force-Displacement Relationship of BPSCFD
4.1. Theoretical Model
4.2. Finite Element Simulation of BPSCFD
5. Parametric Analysis
5.1. Effect of the Type of Self-Centering Element
5.2. Effects of Key Parameters
6. An Application Case
7. Conclusions
- (1)
- The BPSCFD has concise configuration and low cost. Its theoretical force-displacement relationship is derived and demonstrated by the finite element simulation results, which present typical flag-shaped self-centering characteristics and stable hysteretic loops.
- (2)
- Compared with the variable friction self-centering damper with a linear spring employed as the self-centering element, the BPSCFD has lower post-yielding stiffness and a larger equivalent damping ratio when they have same restoring force demand.
- (3)
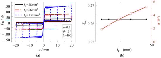
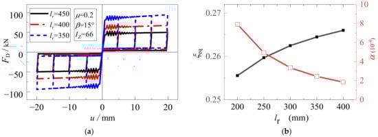
- The length and inertia moment of the cross-section of the buckling-plate have significant effects on the yielding force of the BPSCFD, but insignificant effects on the self-centering and damping characteristics of the damper. Meanwhile, the damping and self-centering characteristics of the damper mainly depend on the friction coefficient and the slope angle of the friction interface.
- (4)
- The elastic-plastic history analysis of the retrofitted bridge and prototype shows that the BPSCFD can effectively reduce the peak and residual displacement of a bridge, without increasing the acceleration and base shear, which could be attributed to the low post-yield stiffness of the damper. Meanwhile, the vibration of a structure can be quickly eliminated due to the smaller yield deformation and relative equivalent damping ratio.
Author Contributions
Funding
Data Availability Statement
Conflicts of Interest
References
- Aghlara, R.; Tahir, M.M. A passive metallic damper with replaceable steel bar components for earthquake protection of structures. Eng. Struct. 2018, 159, 185–197. [Google Scholar] [CrossRef]
- Sahoo, D.R.; Singhal, T.; Taraithia, S.S.; Saini, A. Cyclic behavior of shear-and-flexural yielding metallic dampers. J. Constr. Steel Res. 2015, 114, 247–257. [Google Scholar] [CrossRef]
- Li, H.N.; Li, G. Experimental study of structure with “dual function” metallic dampers. Eng. Struct. 2007, 29, 1917–1928. [Google Scholar] [CrossRef]
- Khansefid, A. Lifetime risk-based seismic performance assessment of buildings equipped with supplemental damping and base isolation systems under probable mainshock-aftershock scenarios. Structures 2021, 34, 3647–3666. [Google Scholar] [CrossRef]
- Khansefid, A.; Ahmadizadeh, M. An investigation of the effects of structural nonlinearity on the seismic performance degradation of active and passive control systems used for supplemental energy dissipation. J. Vib. Control 2016, 22, 3544–3554. [Google Scholar] [CrossRef]
- Hu, S.L.; Wang, W.; Qu, B. Self-centering companion spines with friction spring dampers: Validation test and direct displacement-based design. Eng. Struct. 2021, 238, 112191. [Google Scholar] [CrossRef]
- Hu, S.L.; Qiu, C.X.; Zhu, S.Y. Machine learning-driven performance-based seismic design of hybrid self-centering braced frames with SMA braces and viscous dampers. Smart Mater. Struct. 2022, 31, 105024. [Google Scholar] [CrossRef]
- Qian, H.; Li, H.; Song, G. Experimental investigations of building structure with a superelastic shape memory alloy friction damper subject to seismic loads. Smart Mater. Struct. 2016, 25, 125026. [Google Scholar] [CrossRef]
- Zhang, Z.H.; Zhang, J.S.; Wang, L.; Qian, H.; Wang, Q.; Sheng, P. A novel lever-based-inerter-enhanced self-centering damping system to retrofit double-column bridge bent. Soil Dyn. Earthq. Eng. 2021, 151, 107003. [Google Scholar] [CrossRef]
- Shi, Y.; Zhong, Z.W.; Qin, H.G.; Han, J.; Sun, Z. Toggle buckling-restrained brace systems and a corresponding design method for the seismic retrofit of bridge bents. Eng. Struct. 2020, 221, 110996. [Google Scholar] [CrossRef]
- Yang, Y.M.; Yang, P.; Shen, P.W. Experimental study on a self-centering RCS interior joint endowed with replaceable dampers. J. Constr. Steel Res. 2022, 196, 107390. [Google Scholar] [CrossRef]
- Xu, L.H.; Sun, Y.S.; Fan, X.W.; Li, X.Z. Seismic design and behavior of self-centering energy dissipation braced steel frame. Bull. Earthq. Eng. 2020, 18, 2411–2430. [Google Scholar] [CrossRef]
- Li, Y.; Geng, F.; Ding, Y.; Wang, L. Influence of mild steel damper design parameters on energy dissipation performance of low-damage self-centering precast concrete frame connections. Soil Dyn. Earthq. Eng. 2021, 144, 106696. [Google Scholar] [CrossRef]
- Cao, S.S.; Ozbulut, O.E. Long-stroke shape memory alloy restrainers for seismic protection of bridges. Smart Mater. Struct. 2020, 29, 115005. [Google Scholar] [CrossRef]
- Zhu, R.Z.; Guo, T.; Mwangilwa, F. Development and test of a self-centering fluidic viscous damper. Adv. Struct. Eng. 2020, 23, 2835–2849. [Google Scholar] [CrossRef]
- Zhong, C.Y.; Christopoulos, C. Self-centering seismic-resistant structures: Historical overview and state-of-the-art. Earthq. Spectra 2022, 38, 1321–1356. [Google Scholar] [CrossRef]
- Fang, C.; Wang, W.; Qiu, C.X.; Hu, S.; MacRae, G.A.; Eatherton, M.R. Seismic resilient steel structures: A review of research, practice, challenges and opportunities. J. Constr. Steel Res. 2022, 191, 107172. [Google Scholar] [CrossRef]
- Hashemi, A.; Zarnani, P.; Masoudnia, R.; Quenneville, P. Experimental Testing of Rocking Cross-Laminated Timber Walls with Resilient Slip Friction Joints. J. Struct. Eng. 2018, 144, 04017180. [Google Scholar] [CrossRef]
- Wang, Y.W.; Zeng, B.; Zhou, Z.; Xie, Q. Hysteretic and seismic performance of dual self-centering variable friction damper braces. Soil Dyn. Earthq. Eng. 2021, 147, 106774. [Google Scholar] [CrossRef]
- Wang, Y.W.; Zhou, Z.; Ge, H.; Yao, J.; Xie, Q. Experimental validation and numerical simulation of a dual-self-centering variable friction braced frame under strong ground motions. J. Build. Eng. 2022, 104761, 2352–7102. [Google Scholar] [CrossRef]
- Huang, L.J.; Clayton, M.P.; Zhou, Z. Seismic design and performance of self-centering precast concrete frames with variable friction dampers. Eng. Struct. 2021, 112863, 0141–0296. [Google Scholar] [CrossRef]
- Darani, F.M.; Zarnani, P.; Veismoradi, S.; Yousef-Beik, S.M.M.; Hashemi, A.; Quenneville, P. Resilient slip friction joint performance: Component analysis, spring model and anti-locking mechanism. Structures 2021, 33, 3897–3911. [Google Scholar]
- Westenenk, B.; Edwards, J.J.; De la Llera, J.C.; Jünemann, R. Self-Centering Frictional Damper (SCFD). Eng. Struct. 2019, 109425, 0141–0296. [Google Scholar] [CrossRef]
- Fang, C.; Wang, W.; Zhang, A.; Sause, R.; Ricles, J.; Chen, Y. Behavior and Design of Self-Centering Energy Dissipative Devices Equipped with Superelastic SMA Ring Springs. J. Struct. Eng. 2019, 145, 04019109. [Google Scholar] [CrossRef]
- Chen, J.B.; Fang, C.; Wang, W.; Zhang, A.; Ricles, J.; Chen, Y. Variable-friction self-centering energy-dissipation braces (VF-SCEDBs) with NiTi SMA cables for seismic resilience. J. Constr. Steel Res. 2020, 175, 106318. [Google Scholar] [CrossRef]
- Zhang, S.Y.; Hou, H.T.; Qu, B.; Zhu, Y.; Li, K.; Fu, X. Tests of a novel re-centering damper with SMA rods and friction wedges. Eng. Struct. 2021, 23, 112125. [Google Scholar] [CrossRef]
- Qiu, C.X.; Liu, J.W.; Du, X.L. Cyclic behavior of SMA slip friction damper. Eng. Struct. 2022, 250, 113407. [Google Scholar] [CrossRef]
- Xue, D.; Bi, K.M.; Dong, H.H.; Qin, H.; Han, Q.; Du, X. Development of a novel self-centering slip friction brace for enhancing the cyclic behaviors of RC double-column bridge bents. Eng. Struct. 2021, 232, 111838. [Google Scholar] [CrossRef]
- Dong, H.H.; Du, X.L.; Han, Q.; Hao, H.; Bi, K.; Wang, X. Performance of an innovative self-centering buckling restrained brace for mitigating seismic responses of bridge structures with double column piers. Eng. Struct. 2017, 148, 47–62. [Google Scholar] [CrossRef]
- Dong, H.H. Du, X.L. Han, Q.; Bi, Q. Numerical studies on the seismic performances of RC two-column bent bridges with self-centering energy dissipation brace. Eng. Struct. 2020, 146, 04020038. [Google Scholar] [CrossRef]
- Komarizadehasl, S.; Huguenet, P.; Lozano, F.; Lozano-Galant, J.A.; Turmo, J. Operational and analytical modal analysis of a bridge using low-cost wireless arduino-based accelerometers. Sensors 2022, 22, 9808. [Google Scholar] [CrossRef]
- Xiang, N.L.; Alam, M.S. Displacement-based seismic design of bridge bents retrofitted with various bracing devices and their seismic fragility assessment under near-fault and far-field ground motions. Soil Dyn. Earthq. Eng. 2019, 119, 75–90. [Google Scholar] [CrossRef]
- Yousef-Beik, S.; Veismoradi, S.; Zarnani, P.; Quenneville, P. A new self-centering brace with zero secondary stiffness using elastic buckling. J. Constr. Steel Res. 2020, 169, 106035. [Google Scholar] [CrossRef]
- Asfaw, A.M.; Ozbulut, O.E. Characterization of shape memory alloy energy dissipators for earthquake-resilient structures. Struct Control Health Monit 2021, 28, e2697. [Google Scholar] [CrossRef]
- Komarizadehasl, S.; Komary, M.; Alahmad, A.; Lozano-Galant, J.A.; Ramos, G.; Turmo, J. A Novel Wireless Low-Cost Inclinometer Made from Combining the Measurements of Multiple MEMS Gyroscopes and Accelerometers. Sensors 2022, 22, 5605. [Google Scholar] [CrossRef]
- Dong, G.W.; Li, Z.Y.; Zhao, Y.J.; Wang, Z.Y.; Yang, L.; Zhang, Q.H.; Jian-Xia, D.U.; Zhao, D.K. The Maximum Deflection Determination of Instability for Slender Columns. Mech. Res. Appl. 2014, 27, 15–18. (In Chinese) [Google Scholar]
- Spring Steel: GB/T 1222-2016; China National Standardization Administration Commission. Standards Press of China: Beijing, China, 2016. (In Chinese)
- Komarizadehasl, S.; Khanmohammadi, M. Novel plastic hinge modification factors for damaged RC shear walls with bending performance. Adv. Concr. Constr. 2021, 12, 355–365. [Google Scholar]
- Dong, C.L.; Yuan, C.Q.; Bai, X.Q.; Qin, H.; Yan, X. Investigating relationship between deformation behaviours and stick-slip phenomena of polymer material. Wear 2017, 376–377, 1333–1338. [Google Scholar] [CrossRef]
- Ramanathan, K.; DesRoches, R.; Padgett, J.E. A comparison of pre-and post-seismic design considerations in moderate seismic zones through the fragility assessment of multispan bridge classes. Eng. Struct. 2012, 45, 559–573. [Google Scholar] [CrossRef]
- GB 50011-2010; Code for Seismic Design of Buildings. Ministry of Housing and Urban-Rural Development of the People’s Republic of China: Beijing, China, 2010. (In Chinese)



















| Group | Length (mm) | Width (mm) | Thickness (mm) |
|---|---|---|---|
| 01 | 350, 400, 450 | 100 | 2 |
| 02 | 400 | 100 | 1.5, 2, 2.5 |
| Material | Elastic Modulus | Poisson’s Ratio | Yield Stress | |
|---|---|---|---|---|
| buckling-plate | 200 GPa | 0.3 | 1760 GPa | |
| frames | --- | 200 GPa | 0.3 | 345 GPa |
| No. | Earthquake | Year | Station | Magnitude | Epicentral Distance (km) | Vs30 (m/s) |
|---|---|---|---|---|---|---|
| 1 | Imperial Valley-06 | 1983 | Delta | 6.53 | 7.69 | 242.05 |
| 2 | Coalinga-01 | 1999 | Pleasant Valley P.P.-bldg | 6.36 | 16.04 | 257.38 |
| 3 | Chi-Chi_Taiwan | 2010 | CHY036 | 7.62 | 11.86 | 233.14 |
Disclaimer/Publisher’s Note: The statements, opinions and data contained in all publications are solely those of the individual author(s) and contributor(s) and not of MDPI and/or the editor(s). MDPI and/or the editor(s) disclaim responsibility for any injury to people or property resulting from any ideas, methods, instructions or products referred to in the content. |
© 2023 by the authors. Licensee MDPI, Basel, Switzerland. This article is an open access article distributed under the terms and conditions of the Creative Commons Attribution (CC BY) license (https://creativecommons.org/licenses/by/4.0/).
Share and Cite
Wang, Q.; Shen, H.; Zhang, Z.; Qian, H. Mechanical Behaviors of a Buckling-Plate Self-Centering Friction Damper. Buildings 2023, 13, 440. https://doi.org/10.3390/buildings13020440
Wang Q, Shen H, Zhang Z, Qian H. Mechanical Behaviors of a Buckling-Plate Self-Centering Friction Damper. Buildings. 2023; 13(2):440. https://doi.org/10.3390/buildings13020440
Chicago/Turabian StyleWang, Qinting, Hu Shen, Zhenhua Zhang, and Hui Qian. 2023. "Mechanical Behaviors of a Buckling-Plate Self-Centering Friction Damper" Buildings 13, no. 2: 440. https://doi.org/10.3390/buildings13020440
APA StyleWang, Q., Shen, H., Zhang, Z., & Qian, H. (2023). Mechanical Behaviors of a Buckling-Plate Self-Centering Friction Damper. Buildings, 13(2), 440. https://doi.org/10.3390/buildings13020440

