Abstract
As large-span structures, reticulated shells are widely used in large-scale public building and act as emergency shelters in the event of sudden disasters. However, spatial reticulated shells are dynamic-sensitive structures; the effect of the initial structural damage on dynamic stability should be considered. In this study, a new nonlinear dynamic model of cylindrical reticulated shells with initial damage is proposed to investigate the effect of initial damage accurately. Firstly, the damage constitutive relations of the building steels are built based on the irreversible thermodynamic theory; furthermore, its fundamental equations are obtained using simulated shell methods. Then, the nonlinear vibration differential equations with damage are obtained and studied with support. Meanwhile, the nonlinear natural vibration frequency with initial damage is derivatized. After that, a bifurcation problem with initial damage is studied by using Flouquet Index, and the dynamic stability state at the equilibrium point is analyzed in depth. It is found that the local dynamic stability of the system is determined via its initial condition, geometric parameters, and initial damage. Moreover, the initial damage dominates over other influence factors due to its strong randomness and uncertainty for the same structure. The damage accumulation results in the transition of the equilibrium point. In addition, the nonlinear natural vibration frequency decreases to zero with the accumulation of the damage reaching 0.618; the local stability of cylindrical reticulated shells fails and they even lose whole stability. This study provides a theoretical foundation for the future investigation of whole stability with initial damage.
1. Introduction
Because of the graceful structure style and big space of reticulated shell structures, they meet the requirements of people’s lives and have earned more and more attention. With the wide application of reticulated shell structures in engineering, the mechanical properties of the structures attract more and more concern, and many researchers focus on their static stability. There has been ongoing research into static stability for decades [1,2,3,4]. Kangsheng Ye, Tiantian Lu, and Si Lu [5] proposed a direct Newton method for the computation of critical points based on the arc-length method of tracing a structural nonlinear solution. Thomas Bulenda and Jan Knippers [6] found that some parameters influence the failure load of domes and barrel vaults and gave suggestions for the imperfect shape, which has to be assumed using a commercial FE-program.
However, in recent years, many structural accidents have occurred in reticulated shells all over the world. Typical accidents include the collapse of the National Economic Exhibition Hall caused by a snowstorm in Bucharest, Romania, in 1963 and a gymnasium in Hartford, Connecticut, in 1978. Furthermore, Typhoon 9415 in China caused the destruction of the reticulated shell roof of Wenzhou Airport. The Gyeongju Resort Stadium in South Korea collapsed after several days of heavy snow in 2014. These examples make the safety issues of reticulated shells attract increasing attention. In the past decades, the problem of dynamic stability in long-span reticulated shell structures has been investigated by many researchers. Ceshi Sun, Xuekun Zhou, and Shuixing Zhou [7] investigated the nonlinear response frequency of reticulated shell structures. Jihong Ye and Mingfei Lu [8] studied the stability of doubly curved shallow shells under dynamic and dead loads and found interesting phenomena: a subharmonic response, doubling bifurcation, and chaotic behavior. Amabili M., Changjun Cheng, Qiang, and Han et al. [9,10,11,12,13,14] investigated the nonlinear stability and, in these studies, dynamics such as bifurcation, chaos motion, and the structures were assumed to be composed of perfect components. However, the structural components inevitably become defective in the process of manufacturing, transportation, site construction, and applications in an actual project. These defects are inevitable and should be controlled.
Spatial reticulated shells are dynamic-sensitive structures because of their large span and spatial multiformity [15,16,17], and the defects are mainly physical and geometric. These defects affect the mechanical performances of the spatial reticulated shells greatly. Qiang Zeng, Xiaonong Guo, and Xu Yang et al. [18] proposed a simple and efficient method of generating stochastic initial geometric imperfections (IGIs) for single-layer reticulated shells considering topology constraints. By applying nonlinear heuristically perturbed virtual interaction forces to the joints, the joint coordinates can be updated using the iterative forward Euler method, aiming to generate realistic stochastic IGIs. Guohua Nie and Zhiwei Li [19] investigated the nonlinear behavior of single-layer squarely reticulated shallow spherical shells with geometrical imperfections under a central concentrated load via the asymptotic iteration method. Sheng He, Zhengrong Jiang, and Jian Cai [20] developed the new simulation method of initial geometric imperfection distribution to study elastoplastic stability analysis for single-layer reticulated shells via ANSYS. Qiongyao Wu, Huajie Wang, and Hongliang Qian [21] studied the mechanical behavior of a bolt-ball joint with an insufficient screwing depth of bolt via the experiment and numerical simulation method and found it had an effect on the stability of a single-layer reticulated shell. Huijuan Liu, Fukun Li, and Hao Yuan [22] proposed the precise bearing capacity equation for a spiral single-layer reticulated shell structure with imperfection. Jingnan Liang, Yugang Li, He Huang, and Feng Fan [23] built a new seismic damage assessment method for single-layer spherical reticulated shells based on structural residual displacement under sequential earthquakes. According to previous studies, a structure with an initial defect has complex dynamic stability performance. The nonlinear dynamic mechanical behavior of cylindrical reticulated shells is highly sensitive to initial imperfections, which are geometric defects and physical defects. Additionally, the initial defects of cylindrical reticulated shells have strong randomness and uncertainty. It is of theoretical and practical significance to investigate the static and dynamic stability of the structure by coupling the geometric defects and physical defects and analyzing the effects of initial damage on these structures. Defects of the structure include initial deflection, residual stresses, and damage. However, most of these results were only concentrated on the effect of initial deflection and residual stresses on the stability of the structure. The previous studies and engineering applications ignored the effects of initial damage, treating the structures as if they had no damage. However, initial damage does exist, and it has strong randomness and uncertainty. Though several empirical models, such as Johnson–Cook [24], Bao–Wierzbicki [25,26], and Lematire [27,28], have been applied to analyze the damage constitutive relations, they are limited due to bad adaptability. To the best of the authors’ knowledge, no results have been reported about the effect of initial damage on cylindrical reticulated shells.
In this paper, the nonlinear stability of cylindrical reticulated shells with both geometric defects and physical defects is studied. The damage constitutive relations of the building steels are built and large deflection equations are given for a cylindrical reticulated shell with initial damage. Then, the exact solution of the free vibration equation is obtained and the nonlinear natural vibration frequency with initial damage is derivatized. The dynamic stability state at the equilibrium point is analyzed in depth based on the results of the bifurcation problem of cylindrical reticulated shells with initial damage found by using Flouquet Index. In addition, theoretical support is provided for the nonlinear stable theory of cylindrical reticulated shells with damage.
2. Constitutive Relations of the Structural Steels with Damage
The derivation process of constitutive relations of the structural steels with damage is shown in Figure 1. The detailed process will be discussed below.
Figure 1.
Flowchart to establish the constitutive relations.
By introducing the stress–strain elasticity intrinsic law of the damaged material [29,30], one can have
The damage dissipation power during the process of damage is
Y is the strain energy release rate of damage:
, is thermodynamic potential.
Assuming the initial conditions of the material are , , the Helmoltz specific energy per unit volume can be expanded with a Taylor series. is a small strain and can be treated as infinitely small. The degree of damage has finite value, so the truncation of series expansion of at the second-order term of and the Nth-order term is
is the free energy of the matrixial at the initial condition and can be treated as zero. are the tensor value coefficients at the second and fourth orders.
The damage strain energy density, damage stress–strain relationship, and release rate of damage strain energy were obtained through a series of calculations [31]:
where λ is the Lame coefficient.
For metal materials (construction steels), the effect of Poisson’s ratio can be ignored. Based on the Lematire equivalent strain principle and irreversible thermodynamics theory [27,28], the element damage indicator ω is defined as , where εd is the strain of the structural member with damage and ε is the strain of the structural member without damage. When ω = 1, the structural member is completely damaged; when ω = 0, no damage is observed for the structural member.
Then, the damage constitutive relations of the building structural steels are established mathematically, as shown in Equations (8)–(10):
where is the dimensionless non-negative coefficient and εij is the strain.
3. Fundamental Equations of Cylindrical Reticulated Shells with Damage
By using simulated shell method, the element effective stiffness of cylindrical reticulated shells with initial damage is built from the damage constitutive Equations (9)–(11) of the building structural steels established above. The element effective stiffness is shown through Equations (12) and (13) [32]:
where A is the cross-sectional area of the member, is the elastic modulus of steel, I is the inertia moment, and , where l is the length of the member.
Similarly, the nonlinear dynamic differential equation of cylindrical reticulated shells considering damage is built by using the simulated shell method. The physical equations concerning the in-plane stability of cylindrical reticulated shells with damage are shown in Equations (14)–(16) [32]:
Additionally, the moment in-plane stability of cylindrical reticulated shells with damage can be obtained from Equations (14)–(16), as shown in Equations (17)–(19):
where .
The geometric equation of cylindrical reticulated shells with damage is obtained from Equations (14)–(16), as shown in Equation (20):
where u, v, and w correspond to the moving velocity in the x, y, and z direction, respectively. R is the radius of the curvature of the cylindrical reticulated shells in the y direction (Figure 2).
Figure 2.
Single-layer cylindrical reticulated shells.
4. The Governing Equations and Boundary Condition of Cylindrical Reticulated Shells
To obtain the nonlinear dynamic differential equations with damage, the relation of displacement and strain with damage, boundary condition, and initial condition should be introduced. In the following sections, these factors are discussed as shown in Figure 3.
Figure 3.
Flowchart of the derivation nonlinear dynamic differential equations with damage.
In this section, based on geometric equations and physical equations, the bending equations and boundary of the cylindrical reticulated shells are deduced. Under transverse loads, the equilibrium equations are shown as follows in Equations (21)–(25) [33]:
where kx = 0 and ky = 1/R are the curvature in the x and y direction, respectively. q is the uniformly distributed load, c is the damping coefficient, and γ is the mass unit area of the cylindrical reticulated shells.
Then, the stress function is defined as follows:
Based on the physical Equations (17)–(19) and equilibrium Equations (21)–(25), the governing equations of cylindrical reticulated shells can be derived, as shown in Equation (27):
By defining and , Equation (27) is simplified as follows:
The element effective stiffness Formulas (12) and (13) are deduced as follows [32]:
The coordinate deformation equation of cylindrical reticulated shells can be deduced by substituting Equations (29)–(31) into Equations (14)–(16):
From Equations (31) and (32), the different strain can be obtained as follows:
So, the basic equation and coordinate deformation equation of cylindrical reticulated shells is deduced using Equation (33) and compatibility equations as follows:
where and .
The governing equations of cylindrical reticulated shells were used to deduce further equations. Finally, the governing equations and the coordinate deformation equation of cylindrical reticulated shells with initial damage were obtained. In addition, the fixed boundary conditions of the four edges clamped were applied to cylindrical reticulated shells with initial damage in this paper:
where are the mean displacement of the four edges of cylindrical reticulated shells in the x and y direction, respectively, and Px and Py are thrust along the perimetrical side [5].
5. Natural Vibration Frequency of Cylindrical Reticulated Shells with Initial Damage
For a cylindrical reticulated shell with a size of m (length) × n (width), its curvature along the x and y direction is , and the numerical value is constant. The shell is subjected to general dynamic loads of load intensity q.
Following the governing equations, the coordinate deformation equation, and the boundary conditions of cylindrical reticulated shells with initial damage, the displacement equation of cylindrical reticulated shells with damage can be given from the dynamical Equations (28) and (34). The displacement of cylindrical reticulated shells with initial damage is introduced as
where .
By combining the Equation (37) and the coordinate deformation Equation (34),
Additionally, Equation (38) is simplified as
Furthermore, Equation (39) is simplified as
By using the Galerkin method, Equation (40) is rewritten as
Considering from Equations (37) and (41),
The dimensionless variable is defined as follows:
where I = β4.
Natural vibration frequency is defined as t and general dynamic loads are , where Ω is exciting frequency.
From Equations (43) and (44), Equation (42) can be nondimensionalized as follows:
Based on the boundary conditions in (35) and (36), the relative displacement of the edge of cylindrical reticulated shells with damage, i.e., x = 0 and x = m, ex can be calculated as
Equation (20) is substituted for Equation (46):
Variable is related to y. The mean displacement of edge can be obtained from
Combining Equations (47) and (48),
By using a similar method, the mean displacement of edge is
According to the boundary conditions in (35) and (36), Equations (49) and (50) are
Similarly, Equations (51) and (52) are solved:
Introducing the following equation:
Equations (54) and (55) are substituted into Equation (45):
Based on the dimensionless variable Formula (43) and (44), Equation (56) can be simplified as
where
where , , μ is Poisson’s ratio, and is the natural vibration frequency of cylindrical reticulated shells.
Defining , Equation (57) can be simplified:
where , and .
Selecting ,, and t, based on energy variation principle, the basic Equation (34) is
Based on the boundary condition and coordinate deformation of Equation (35), introducing and , the nonlinear natural vibration frequency of cylindrical reticulated shells with initial damage is
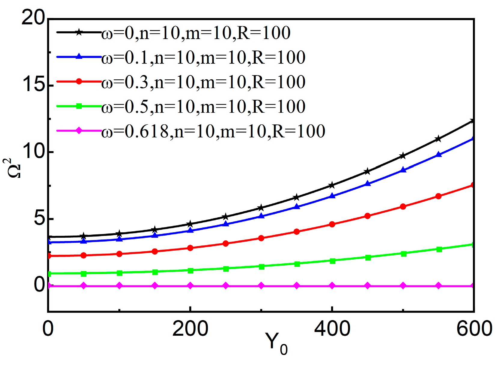
By using the computer simulation, the relation between maximum amplitude Y0 and nonlinear natural vibration frequency Ω2 is shown in Figure 4 and Figure 5. The different ratio of the size of m (length) to n (width) effects on nonlinear natural vibration frequency of cylindrical reticulated shells without initial damage is presented in Figure 4. The damage cumulative value effects on relations between maximum amplitude Y0 and nonlinear natural vibration frequency Ω2 are visible (in Figure 5). Increasing the ratio of the size of m (length) to n (width) results in a corresponding rise in the nonlinear natural vibration frequency. On the other hand, increasing maximum amplitude Y0 results in a corresponding rise in nonlinear natural vibration frequency Ω2. The increasing damage cumulative value (from 0 to 0.618) results in reducing nonlinear natural vibration frequency Ω2 and maximum amplitude Y0. Specifically, the nonlinear natural vibration frequency decreases with the accumulation of the damage, and Ω2 drops to zero when ω = 0.618, meaning the cylindrical reticulated shells collapse.
Figure 4.
Y0~Ω2 relation curves without damage.
Figure 5.
Y0~Ω2 relation curves with damage.
6. Equilibrium Bifurcation of Cylindrical Reticulated Shells with Initial Damage
Based on the results above, the equilibrium bifurcation of cylindrical reticulated shells with initial damage is discussed in this section, and the numerical and theoretical results are compared. The technical roadmap of this section is shown in Figure 6.
Figure 6.
Flowchart of analysis of equilibrium bifurcation of cylindrical reticulated shells with initial damage.
Solving the free vibration equation of cylindrical reticulated shells with initial damage and without external excitation, Equation (58) can be rewritten as
The Jacobi matrix of Equation (61) is given as follows:
By solving , the system has three equilibrium points (0, 0), and when .
Then, the stability state of cylindrical reticulated shells with damage at the equilibrium point is discussed.
The Jacobi matrix at the equilibrium point (0, 0) is
Additionally, the characteristic of Equation (63) is
The roots of the characteristic equation can be obtained by solving Equation (64):
Specifically, when , the characteristic roots of Equation (65) are
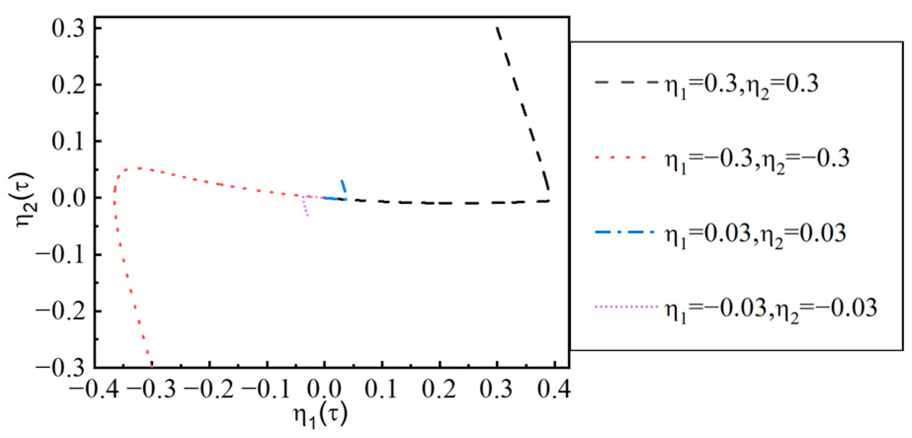
The characteristic roots λ are two unequal complex numbers. At this equilibrium point, the stable bifurcation of the complex plane of cylindrical reticulated shells with damage arises, as shown in Figure 7 and Figure 8. When , and , the phase plane of cylindrical reticulated shells without damage is as presented in Figure 7. At the same time, and have the same values as in Figure 7; their phase plane is shown in Figure 8. The damage value of the system is zero when cylindrical reticulated shells have no damage condition. While the damage value of the system is 0.1, cylindrical reticulated shells are damaged. Obviously, the bifurcation of the system in Figure 8 is more remarkable than that in Figure 7.
Figure 7.
Phase plane .
Figure 8.
Phase plane .
When and , cylindrical reticulated shells are not damaged, the characteristic roots are two equal negative numbers, and the equilibrium point is the critical node. At , the characteristic roots are two unequal negative numbers and the equilibrium point is the stable node. At , the system is at the critical state of instability. At , the system has no physical meaning to collapse; it is as shown in Figure 9 and Figure 10 and will be discussed in a future study.
Figure 9.
Phase plane .
Figure 10.
Phase plane .
When , the characteristic roots λ of Equation (65) are
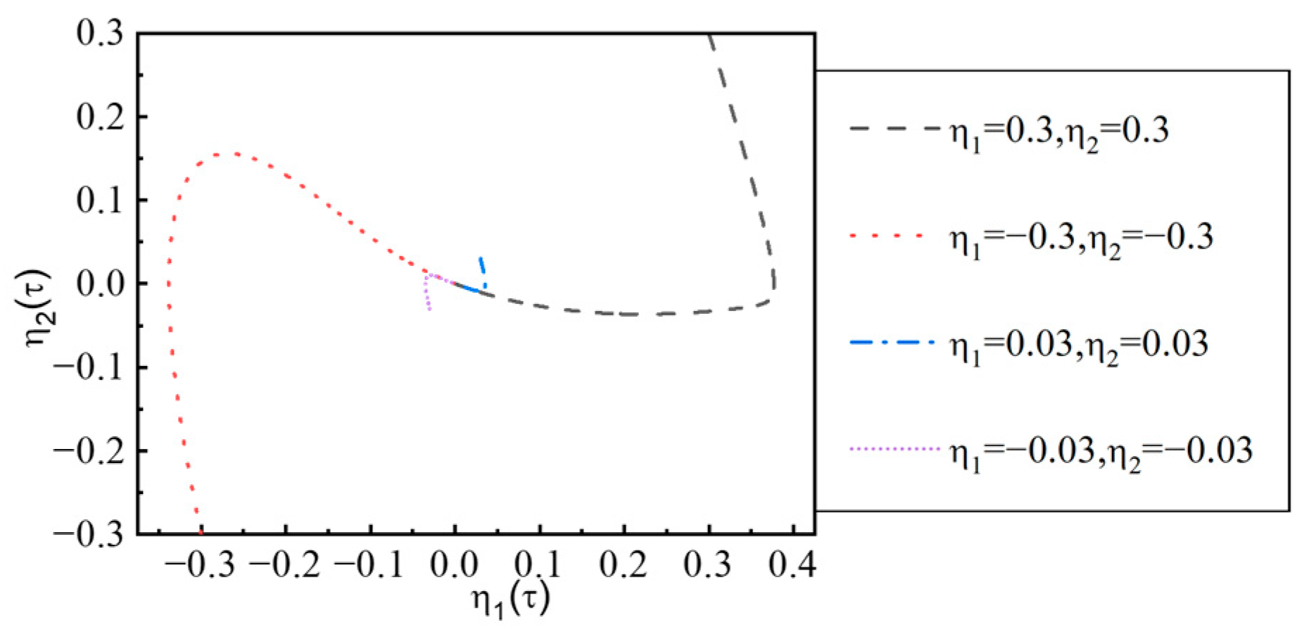
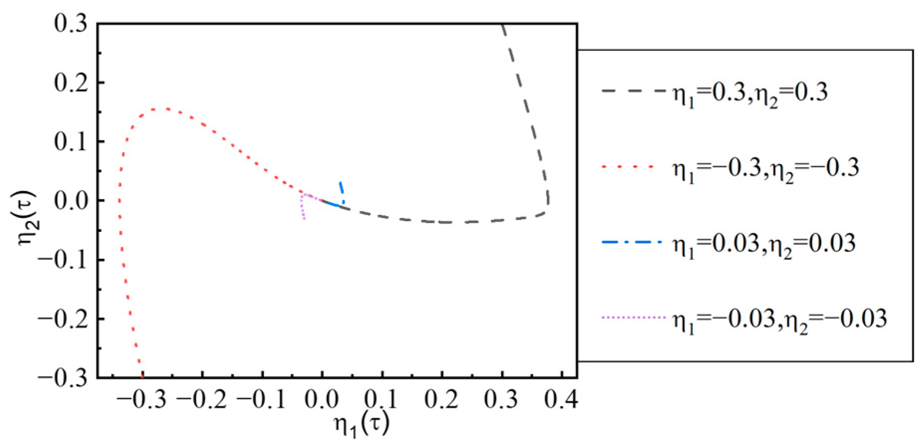
While the characteristic roots λ of cylindrical reticulated shells with initial damage are two unequal complex numbers at equilibrium point, the stable bifurcation of cylindrical reticulated shells with damage arises in the complex plane, and it is as shown in Figure 11 and Figure 12. When , and the damage value of the system is ; the phase plane of cylindrical reticulated shells with initial damage is presented in Figure 11. At the same time, and are the same value as in Figure 11; their phase plane is shown in Figure 12.
Figure 11.
Phase plane .
Figure 12.
Phase plane .
When , the characteristic roots λ of Equation (65) are
When the characteristic roots λ of cylindrical reticulated shells with initial damage are the purely imaginary number at this equilibrium point, the Hopf bifurcation of cylindrical reticulated shells with initial damage arises in the complex plane, as shown in Figure 13 and Figure 14. When , and the damage value of the system is , the phase plane of cylindrical reticulated shells with damage is presented in Figure 13. At the same time, and are the same value as in Figure 13; their phase plane is shown in Figure 14.
Figure 13.
Phase plane .
Figure 14.
Phase plane .
The phase plane (Figure 7, Figure 8, Figure 9, Figure 10, Figure 11, Figure 12, Figure 13 and Figure 14) of the system with damage or without damage are drawn through numerical solution. The influence of damage and damper on bifurcation of the system at equilibrium point are seen in Figure 7, Figure 8, Figure 9, Figure 10, Figure 11, Figure 12, Figure 13 and Figure 14.
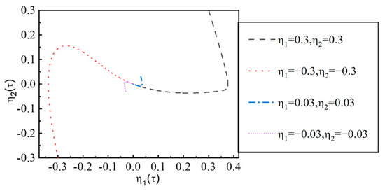
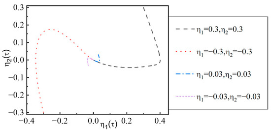
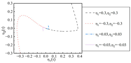
Then, the damage accumulation effects on the stability of the equilibrium point is studied in this study via numerical solution, and its simulation results are shown in Figure 15 and Figure 16. The relative position of the equilibrium point is shown in Figure 15, and the relative position of the equilibrium point is shown in Figure 16. From Figure 15 and Figure 16, when the damage values gradually increase, the equilibrium point of the system is far away from the original equilibrium position. It is found that damage accumulation results in the transition of the equilibrium point.
Figure 15.
Relative position of equilibrium point .
Figure 16.
Relative position of equilibrium point .
7. Conclusions
In this paper, the dynamic stability theory of cylindrical reticulated shells with initial damage is proposed. The damage constitutive relations of the building steels are built. Based on the damage constitutive equation, the nonlinear vibration differential equations of cylindrical reticulated shells with initial damage are established. Then, the nonlinear natural vibration frequency of cylindrical reticulated shells with initial damage is obtained via the energy variation principle. Further, the bifurcation problem of cylindrical reticulated shells with initial damage at the equilibrium point is discussed by using the Flouquet Index, and the stability state of cylindrical reticulated shells with initial damage at the equilibrium point is analyzed numerically in depth.
It is found that the local dynamic stability of the system is determined by its initial condition, geometric parameters, and initial damage via the example of cylindrical reticulated shells. Moreover, the initial damage dominates over other influence factors due to its strong randomness and uncertainty for the same structure. A smaller nonlinear natural vibration frequency Ω2 of cylindrical reticulated shells is obtained under larger damage accumulation. The damage accumulation results in the transition of its equilibrium point, changing the dynamic stability condition at the equilibrium point. In addition, the nonlinear natural vibration frequency decreases to zero with accumulation of the damage reaching 0.618; the local stability of cylindrical reticulated shells fails and they even lose whole stability. The present study’s results provide some theoretical basis for practical engineering.
For the recommendation of future study, the nonlinear dynamic stability of the whole system can be studied systemically via experimental and numerical simulation based on the findings of this paper. The nonlinear vibration differential equations of cylindrical reticulated shells with initial damage can be solved and the dynamic mechanical mechanism of the system should be revealed, as well as the dynamical instability failure assessment of cylindrical reticulated shells with initial damage.
Author Contributions
L.L.: Investigation, Data curation, Software, Writing—original draft. N.U.: Supervision, Writing—review and editing. G.L.: Supervision, Writing—review and editing. L.T.: Supervision, Writing—review and editing. C.B.: Data curation, Writing—review and editing. Z.Z.: Data curation, Writing—review and editing. C.S.: Writing—original draft, Writing—review and editing. All authors have read and agreed to the published version of the manuscript.
Funding
Science Foundation in the Henan province (Grant No: 192102210030, 182102210439 and 232103810099), Key Science Foundation in the Henan province (Grant No: 231111221200) and the National Science Foundation in China (NSFC) (Grant No: U1404524).
Data Availability Statement
Data will be made available on request. The data are not publicly available due to privacy.
Conflicts of Interest
Author Chen Shen was employed by the company China Construction Seventh Engineering Division. The remaining authors declare that the research was conducted in the absence of any commercial or financial relationships that could be construed as a potential conflict of interest.
Nomenclature
| R | radius of cylindrical reticulated shells |
| F | rise of arch of cylindrical reticulated shells |
| Q | uniformly distributed load |
| chord length of cylindrical reticulated shells | |
| A | chord sectional area of cylindrical reticulated shells |
| mass unit area of cylindrical reticulated shells | |
| Kx,ky | the curvature at x, y direction |
| damping coefficient of cylindrical reticulated shells | |
| natural vibration frequency of cylindrical reticulated shells | |
| σij, εij | Cauchy stress, strain tensor |
| Ψ | Helmholtz free energy |
| Ω | damage value of materials |
| Y | strain energy release rate of damage |
| thermodynamic potential | |
| Helmholtz free energy at original state | |
| elastic tensor of a material | |
| Lamé coefficient, Poisson’s ratio | |
| dimensionless nonnegative coefficient | |
| μ(ω), λ(ω) | Lamé coefficient with damage |
| E | elastic modulus of steel |
| u, v, w | corresponds to the displacement in the x, y, z direction |
| strain with damage | |
| strain without damage | |
| Y0 | maximum amplitude of cylindrical reticulated shells |
| Ω2 | nonlinear natural vibration frequency of cylindrical reticulated shells |
| characteristic roots | |
| I, l | inertia moment of chord, length of chord |
| mean displacement of four edges of cylindrical reticulated shells in x and y direction | |
| px, py | mean tension of two side edge of cylindrical reticulated shells |
| damping coefficient of dimensionless |
References
- Sharei, E.; Scholzen, A.; Hegger, J.; Chudoba, R. Structural behavior of a lightweight, textile-reinforced concrete barrel vault shell. Compos. Struct. 2017, 171, 505–514. [Google Scholar] [CrossRef]
- Lu, M.; Ye, J. Stability optimization design for single-layer cylindrical domes based on joint well-formedness. J. Vib. Shock 2018, 37, 6. [Google Scholar]
- Zhang, S.; Xu, Z.; Li, X. Static Behavior Analysis of Hinged Six-Bar Tetrahedral Spherical Lattice Shell. Steel Constr. 2023, 38, 5. [Google Scholar] [CrossRef]
- Yu, P.; Yun, W.; Bordas, S.; He, S.; Zhou, Y. Static Stability Analysis of Single-Layer Reticulated Spherical Shell with Kiewitt-Sunflower Type. Int. J. Steel Struct. 2021, 21, 1859–1877. [Google Scholar] [CrossRef]
- Ye, K.; Lu, T.; Yuan, S. A direct method for the computation of critical points in structural geometric nonlinear analysis. Eng. Mech. 2010, 27, 7. [Google Scholar]
- Bulenda, T.; Knippers, J. Stability of grid shells. Comput. Struct. 2001, 79, 1161–1174. [Google Scholar] [CrossRef]
- Sun, C.; Zhou, X.; Zhou, S. Nonlinear responses of suspended cable under phase-differed multiple support excitations. Nonlinear Dyn. 2021, 104, 1097–1116. [Google Scholar] [CrossRef]
- Ye, J.; Lu, M. Design optimization of domes against instability considering joint stiffness. J. Constr. Steel Res. 2020, 169, 105757. [Google Scholar] [CrossRef]
- Amabili, M. Non-linear vibrations of doubly curved shallow shells. Int. J. Non-Linear Mech. 2005, 40, 683–710. [Google Scholar] [CrossRef]
- Chen, L.; Cheng, C.; Zhang, N. Chaotic motion of viscoelastic beams with geometric and physical nonlinearities. Eng. Mech. 2001, 18, 1–6. [Google Scholar]
- Han, Q.; Zhang, N.; Yang, G. Chaotic motion of a nonlinear thermoelastic elliptic plate. Appl. Math. Mech. 1999, 20, 960–966. [Google Scholar] [CrossRef]
- Zhi, X.; Fan, F.; Shen, S. Failure mechanism of latticed shells subjected to harmonic actions. Earthq. Eng. Eng. Vib. 2005, 25, 76–84. [Google Scholar]
- Wang, X.; Liang, C.; Han, M.; Yeh, K.; Wang, G. Nonlinear dynamical behavior of shallow cylindrical reticulated shells. Appl. Math. Mech. 2007, 28, 151–156. [Google Scholar] [CrossRef]
- Wang, X.; Wang, G.; Zhao, Y.; Yeh, K. Nonlinear dynamical stability analysis of the circular three-dimensional frame. Appl. Math. Mech. 2004, 25, 367–372. [Google Scholar] [CrossRef]
- Wang, Y.; Dai, S. Chaotic motion of a heated bimetallic thin circular plate with initial deflection. J. Tsinghua Univ. 2004, 44, 1134–1137. [Google Scholar]
- Li, L.; Hao, J. Nonlinear dynamic characteristic of the shallow cylindrical reticulated shells with initial damage. Xi'an Jianzhu Keji Daxue Xuebao/J. Xi'an Univ. Archit. Technol. 2017, 49, 76–80. [Google Scholar] [CrossRef]
- Huang, Y.; Li, L. Chaos motion of shallow reticulated spherical shells considering initial imperfection. Spat. Struct. 2010, 16, 13–16. [Google Scholar]
- Zeng, Q.; Guo, X.; Yang, X.; Zhu, S.; Li, Z. Constrained Stochastic Imperfection Modal Method for Nonlinear Buckling Analysis of Single-Layer Reticulated Shells. J. Struct. Eng. 2023, 149, 04022265. [Google Scholar] [CrossRef]
- Nie, G.; Li, Z. Nonlinear analysis of imperfect squarely-reticulated shallow spherical shells. Sci. China Ser. G Phys. Mech. Astron. 2007, 50, 109–117. [Google Scholar] [CrossRef]
- He, S.; Jiang, Z.; Cai, J. Investigation on Simulation Methods of Initial Geometric Imperfection Distribution in Elasto-plastic Stability Analysis of Single-layer Reticulated Shells. KSCE J. Civ. Eng. 2018, 22, 1193–1202. [Google Scholar] [CrossRef]
- Wu, Q.; Wang, H.; Qian, H.; Han, K.; Fan, F. Effect of insufficient screwing depth of bolt on mechanical behavior of bolt-ball joint and stability of single-layer reticulated shell. Eng. Struct. 2020, 213, 110590. [Google Scholar] [CrossRef]
- Liu, H.; Li, F.; Yuan, H.; Ai, D.; Xu, C. A Spiral Single-Layer Reticulated Shell Structure: Imperfection and Damage Tolerance Analysis and Stability Capacity Formulation for Conceptual Design. Buildings 2021, 11, 280. [Google Scholar] [CrossRef]
- Liang, J.; Li, Y.; Huang, H.; Fan, F. A new seismic damage assessment method for single-layer spherical reticulated shells based on structural residual displacement under sequential earthquakes. Structures 2023, 54, 1391–1401. [Google Scholar] [CrossRef]
- Sirigiri, V.K.R.; Gudiga, V.Y.; Gattu, U.S.; Suneesh, G.; Buddaraju, K.M. A review on Johnson Cook material model. Mater. Today Proc. 2022, 62, 3450–3456. [Google Scholar] [CrossRef]
- Wierzbicki, T.; Bao, Y.; Lee, Y.-W.; Bai, Y. Calibration and evaluation of seven fracture models. Int. J. Mech. Sci. 2005, 47, 719–743. [Google Scholar] [CrossRef]
- Bai, Y.; Wierzbicki, T. A comparative study of three groups of ductile fracture loci in the 3D space. Eng. Fract. Mech. 2015, 135, 147–167. [Google Scholar] [CrossRef]
- Lemaître, J. A Course on Damage Mechanics; Springer Science & Business Media: Berlin/Heidelberg, Germany, 1992. [Google Scholar]
- Lemaitre, J. A Continuous Damage Mechanics Model for Ductile Fracture. J. Eng. Mater. Technol. 1985, 107, 83–89. [Google Scholar] [CrossRef]
- Rice, J.R. Inelastic constitutive relations for solids: An internal-variable theory and its application to metal plasticity. J. Mech. Phys. Solids 1971, 19, 433–455. [Google Scholar] [CrossRef]
- Krajcinovic, D. Damage mechanics: Accomplishments, trends and needs. Int. J. Solids Struct. 2000, 37, 267–277. [Google Scholar] [CrossRef]
- Tang, X.; Jiang, C.; Zheng, J. A General Theory for Elastic Damage. J. Beijing Univ. Aeronaut. Astronaut. 2001, 27, 4. [Google Scholar]
- Shilin, D. Continuum Analogy Method for Analyzing Latticed Spherical Shells. J. Build. Struct. 1988, 9, 1–14. [Google Scholar] [CrossRef]
- Tang, X.; Jiang, C.; Zheng, J. General Expressions of Constitutive Equations for Isotropic Elastic Damaged Materials. Appl. Math. Mech. 2001, 22, 7. [Google Scholar]
Disclaimer/Publisher’s Note: The statements, opinions and data contained in all publications are solely those of the individual author(s) and contributor(s) and not of MDPI and/or the editor(s). MDPI and/or the editor(s) disclaim responsibility for any injury to people or property resulting from any ideas, methods, instructions or products referred to in the content. |
© 2023 by the authors. Licensee MDPI, Basel, Switzerland. This article is an open access article distributed under the terms and conditions of the Creative Commons Attribution (CC BY) license (https://creativecommons.org/licenses/by/4.0/).















