Next Article in Journal
Environmental Assessments in Architectural Competitions in Poland in the Years 2018–2022
Previous Article in Journal
Prototype Tests on Screwed Steel–Aluminium Foam–Steel Sandwich Panels
 
 
Font Type:
Arial Georgia Verdana
Font Size:
Aa Aa Aa
Line Spacing:
Column Width:
Background:
Article

Modeling the Vibratory Compaction Process for Roads

1
Institute of Solid Mechanics, Romanian Academy, 010141 Bucharest, Romania
2
Faculty of Mechanical Engineering and Robotics in Construction, Technical University of Civil Engineering of Bucharest, 020396 Bucharest, Romania
*
Author to whom correspondence should be addressed.
Buildings 2023, 13(11), 2837; https://doi.org/10.3390/buildings13112837
Submission received: 28 September 2023 / Revised: 6 November 2023 / Accepted: 8 November 2023 / Published: 13 November 2023

Abstract

:
This paper presents results obtained for the vibratory compaction process of road structures, in which the natural soil is used for the foundation infrastructure. The experiments and the optimization of the compaction process were carried out on five road lanes in Transilvania, Romania. A self-propelled single-drum roller compactor, BOMAG BW 213 S-5, was used for the compaction, layer by layer, with six successive passes over each layer. For each layer, the initial degree of compaction was measured, and after the fifth pass, it achieved the value prescribed in the road construction project. After each pass over the same layer, its settlement increased due to the plastic deformation and the soil’s rigidity receiving discrete higher values. This is how five different discrete values for rigidity were obtained. Modeling the compaction process is carried out using the Kelvin–Voigt model, with discrete variable experimental values for soil rigidity and assumed constant viscous damping values. Based on the two-degree-of-freedom linear elastic model, graphs were plotted for vibration amplitude variation and for the force transmitted to the soil when the excitation pulsation varies continuously and the soil rigidity varies discretely. There is a relationship between the initial and final degree of compaction values in the ratio that was proven to be dependent on the ratio of amplitude values corresponding to the final and initial roller passes cycle. The result is a useful relationship for the “in-situ” estimation of the compaction process effect. The novelty of this research is that it demonstrates the change in soil rigidity values after each pass of the vibratory roller and, thus, the increase of its settlement (plastic deformation) and the “slipping” for the amplitude resonance peak by discrete increasing values. Calibration of the resonance vibrations regime in accordance with the degree of compaction determined by geotechnical methods for “in-situ” sample prelevation stands as a fast and efficient method for the evaluation of the final degree of compaction value. This is, implicitly, the method for estimating the number of vibratory roller passes in the road construction project. In conclusion, the novelty of the research consists in the fact that, through using the resonance response of the vibratory roller, a correlation was made with the degree of compaction achieved after each pass.

1. Introduction

Based on the two-degree-of-freedom dynamic model with linear viscoelastic joints in the forced vibrations regime, the behavior of the self-propelled compactor, BOMAG BW 213 D-5, used in road construction works for a Romanian highway, was studied [1,2,3]. The experimental research was carried out in a “test field”, and the experiments consisted of determining the degree of compaction values for different work conditions as follows: resonance and post-resonance work regime for each pass over the same layer, driving speed of 3 km/h, degree of compaction determined after each pass of the vibratory roller, and soil rigidity determined after each pass when the settlement is generated by plastic deformation.
For seven experimental lanes, geotechnical measurements and roller vibration measurements were conducted in order to calibrate the dynamic compaction regime for the construction of a highway section in Transilvania, Romania. The road work was coordinated by the Research Institute for Construction Equipment and Technology (ICECON), Bucharest, Romania [4].
It has been observed that after each pass, there is a change in soil rigidity and settlement. The amplitude–frequency characteristic has maximum value during resonance; during post-resonance, it asymptotically tends towards a constant and stable value in the technological vibration field. Usually, after the fifth pass, the degree of compaction (98%) required for the project has been achieved. The same calibration tests have been carried out in the construction of a highway in București–Constanța, Romania. Plotting amplitude–frequency graphs is a complex experimental process that can be validated numerically with experimental data. The calibration graphs family has been obtained. The plotting of these graphs is based on the rigidity parameter, with discrete variation after each settlement of the soil, while the continuous variable is the excitation frequency; excitation frequency values are to be varied according to the hydraulic system that acts upon the equipment vibration module.
The graphs of the force transmitted to the soil in the post-resonance regime evidence its higher bearing capacity after each pass once there is a discrete increase of final rigidity [5,6].
State-of-the-art research refers to the determination of adequate methods for studying the vibratory roller–field (natural or filling soil) interaction under two assumptions:
(a)
Direct and continuous contact of the vibratory roller with the soil;
(b)
No jumps of the vibratory roller with the soil [7,8].
In the case of discontinuous contact, with “jumps” of the vibratory roller, there are evidenced non-linear processes with an anharmonic response in displacement frequency, with several spectral components. This is the case for dynamic processes specific to non-homogeneous materials with 60% crushed stone or mineral aggregates with dimensions over 30 mm [8,9].
For homogeneous materials of non-cohesive or weak cohesive soils made of sand (<30%) and sandy clay (≤60%), the vibratory roller compaction is carried out by permanent and continuous contact. This enables several rheological models to be considered for calculation, models that have been previously used and validated by researchers and technologists, depending on the geological evolution and soil type [10].
The hydraulic variation of excitation frequency, due to a stable command and control system, is the tool for achieving resonance as a distinct state from the post-resonance regime at frequency values above when the roller vibration amplitude is constant. The resonance regime depends on soil rigidity, which discretely increases, and the resonance amplitude is influenced by the viscous damping for the Kelvin–Voigt type rheological model. This is the context in which research is carried out in order to accurately characterize the dynamic behavior of the vibratory roller on soil, as well as to evidence resonance for calibrating the degree of compaction with the level of resonance amplitude [9,10].
The dynamic models most used have three, two or one degree(s) of freedom. It has been mentioned that for the trailed or self-propelled vibratory compactors (Bomag, Hamm, Dynapac), the fit model is that of two degrees of freedom and of the inertia excitation force, F t = m 0 r ω 2 sin ω t , where m0 is the static moment for the dynamic imbalance and ω is the angular frequency [9,10].
Correlations between the post-resonance vibration regime and the number of passes over each soil layer with the degree of compaction for both calibration and work technological regimes are carried out using discrete analysis and display methods. The results are processed and finally evidenced by the degree of compaction value when mentioning the work points and positions of interest [11,12].
In this study, it is pointed out that the method for monitoring the change in soil rigidity along the compaction length is by determining the degree of compaction and resonance amplitude at the beginning and end of the compaction process after a few successive passes over the same layer.
The originality of this paper consists of identifying resonance points by constantly increasing the roller frequency and, consequently, using a customized data acquisition and processing system. The acquisition of the vibrations’ signal is carried out with a piezoelectric accelerometer attached to the vibratory roller shaft. The spectral analysis and its values are obtained and aided by special software for data acquisition and storage of relevant data. The initial/final degree of compaction is determined by geotechnical methods for “in-situ” sampling of soil and further laboratory processing by the Proctor test [12,13].
Tests in the test area were carried out both on the Transilvania Highway in Cluj Napoca and on the “Sun Highway” towards the Black Sea in Constanța (Romania).
In this sense, we mention the fact that at each construction site location mentioned above, test plots were made to optimize the compaction processes.
The dimensions of a polygon are provided by the length of 2500 m and the width of 50 m, and on these surfaces, the categories of earth layers are executed. The soil used was extracted from adjacent working spaces and mixed with sand, mineral aggregates, sandy clay, and water in various proportions, establishing 12 representative mixes for each site.
The vibratory compactor used, the characteristics of which are presented in this article, was equipped with sensors necessary for measuring vibration regimes, with sensors for spectral analysis aimed at identifying resonance peaks, as well as with a hydraulic flow fine-tuning system for the motor driving the vibrator that equips the roller vibrating. The translational speed of the vibratory compactor was continuously adjusted by changing the hydraulic flow that feeds the drive motors of the vibratory compactor wheels, located in its rear part (mixed vibratory roller).
Experiments in the field were carried out for each soil category by moving the vibratory roller lengthwise at a set speed of translation that remained constant throughout the course of the soil layers along the compaction track.
During this time, instrumental signals of vibrations in resonance and post-resonance were recorded so that the amplitudes at resonance had a deviation of no more than 0.5%; this assessment was in direct agreement with the taking of soil samples in order to determine the degree of compaction using the Proctor test in the lab.
Also, the vibrations transmitted to the upper chassis on which the pumping group, the engine and the surveillance cabin were located were measured.
It is also noted that at angular frequencies of ordinal (15–20) (rad/s), the amplitude A2 presents a resonance peak while the vibrating roller has a continuous amplitude variation; its resonance being diminished as a result of the damping viscous provided by the compaction field, which is much larger than that which corresponds to the elastic bonds.

2. Dynamic Model of the Vibratory Roller–Soil System

The dynamic model is shown in Figure 1, where m1 is the mass of the vibratory roller; m2 is the mass of the compactor chassis; k 1 is the soil rigidity discrete variable after each successive pass over the same soil layer; k 2 is the rigidity of the elastic joint for the vibratory roller to the chassis; c 1 is the coefficient of soil viscous damping with constant value; and c 2 is the coefficient for viscous damping of the joint, with a constant value.
The instant displacement of vibrations for masses m 1 and m 2 along the uni-directional vertical axis are x 1 ( t ) and x 2 ( t ) . The excitation force is F t = m 0 r ω 2 sin ω t and is generated by the hydraulically operated vibratory roller, with angular frequency ω and m 0 r is the static moment of the masses for dynamical imbalance. The amplitude of excitation force F(t) is F 0 = m 0 r ω 2 and is directly dependent on the excitation angular frequency square [13]. The dynamic modeling and equations of motion have been verified on several categories of vibrating machines.
The motion differential equations for the model shown in Figure 1 are
{ m 1 x ¨ 1 + ( k 1 + k 2 ) x 1 k 2 x 2 + c 1 x ˙ 1 + c 2 ( x ˙ 1 x ˙ 2 ) = F 0 s i n ω t m 2 x ¨ 2 k 2 x 1 + k 2 x 2 c 2 ( x ˙ 1 x ˙ 2 ) = 0
where m 1 is the mass of the vibratory roller;
k 1 —the discrete increasing rigidity of the soil after each pass over the same layer, so that k 1 = k 1 ( j ) , where j = 1, 2, …, n, and n represents the final pass number;
c 1 —coefficient of viscous damping of soil;
m 2 —the mass of superior chassis frame;
k 2 —the rigidity of the system for dynamic isolation of vibratory rollers and superior chassis frame;
c 2 —viscosity coefficient of the system for dynamic isolation.
For the differential linear system (1), assuming that there is permanent continuous contact of the vibratory roller with the soil, the harmonic solutions x 1 = x 1 ( t ) and x 2 = x 2 ( t ) represent the instant displacements generated by vibrations, and their expressions are
{ x 1 = A 1 sin ( ω t φ 1 ) x 2 = A 2 sin ( ω t φ 2 )
where A1 = A1(ω) is the amplitude of roller vibrations function of the angular frequency ω;
φ 1 = φ 1 ( ω ) is the angular phase shift between vibration displacement x 1 ( t ) and excitation force F t = m 0 r ω 2 sin ω t ;
A2 = A2(ω) vibration amplitude of the superior chassis frame as a function of angular frequency ω;
φ 2 = φ 2 ( ω ) angular phase shift between transmitted vibration displacement x 2 ( t ) and excitation force F(t).
From relations (1) and (2), the results of the mathematical expressions for the amplitudes A1, A2 and phase shifts tg φ 1 , tg φ 2 are as follows:
A 1 = A 1 ( ω ) = U 1 2 + K 1 2 L 2 + M 2
A 2 = A 2 ( ω ) = U 2 2 + K 2 2 L 2 + M 2
t g φ 1 ( ω ) = K 2 L U 1 M K 1 M + U 1 L
t g φ 2 ( ω ) = K 2 L U 2 M K 2 M + U 2 M
The notations used in relations (3)–(6) are
U 1 = m 0 r ω 2 ( k 2     m 2 ω 2 )
U 2 = m 0 r ω 2 k 2
  K 1 = K 2 = m 0 r ω 2 c 2
L = m 1 m 2 ω 4 [ m 1 k 2 + ( k 1 + k 2 ) m 2 + c 1 c 2 ] ω 2 + k 1 k 2
M = [ m 2 ( c 1 + c 2 ) + m 1 c 2 ] ω 3 + ( k 2 c 1 + k 1 c 2 ) ω
where the functions U1 = U1(ω), U2 = U2(ω) and L = L(ω) and elastics k1, k2. Also, the functions K1 = K1(ω), K2 = K2(ω) and M = M(ω) signify the influence of mass components m 0 , m 1 , m 2 and damping components c 1 and c 2 .

3. Evaluation of Vibration Amplitudes for the Dynamic Regime with Variable Frequency

The calibration tests were performed “in situ” based on the Kelvin–Voigt model.
Based on the dynamic model shown in Figure 1 and on the experiments carried on with the single vibratory roller Bomag BW 213 D-5, the vibration amplitudes were evaluated both numerically and experimentally.
The technical characteristics for BW 213-D5 compactor are as follows: vibratory roller diameter, Dr = 1500 mm; roller width, B = 2190 mm; the maximum static load on soil, P = 75.5 kN; centrifugal force for the two steps of the static moment, F 0 = 285 / 196 kN , corresponding to the value m 0 r = 8.1 / 5.4 kgm at 30 Hz frequency; and speed of the compactor motion along the lane for compaction process is continuously variable (0 ÷ 11) km/h [14].
Numerical evaluation of the amplitudes has been carried out considering the next values: m 1 = 5400   kg ;   m 2 = 2500   kg ;   k 2 = 5 × 10 5   N / m ; c 1 = 15 × 10 4 Ns / m ;   c 2 = 14 × 10 3 Ns / m ;   m 0 r = 8.1   kgm . The variable rigidity for each pass over the same soil layer has discrete values (determined by experiments) of k 1 = ( 50 ; 60 ; 70 ; 80 ; 90 ) × 10 6   N / m for weak, cohesive, homogeneous soil made of sand (11%), gravel (18%), dusty clay (58%), and water (13%). The angular frequency ω is continuously variable from 0 to 400 rad/s. It is mentioned that after each pass, the Kelvin–Voigt rheological behavior was verified in the field by the resonance method with electrodynamic exciter with frequency variation and the elevation of the amplitude–frequency characteristics [15,16,17,18].
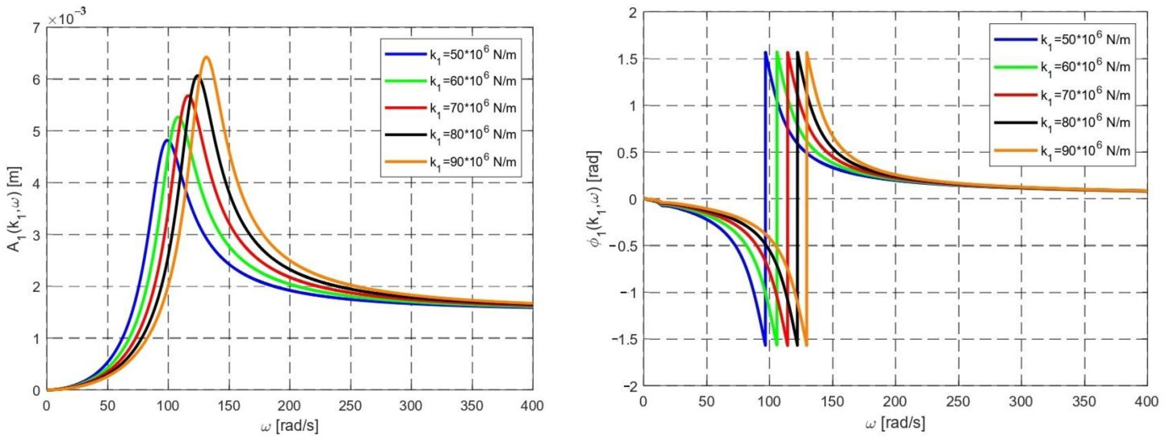
Figure 2 and Figure 3 show the graphs for amplitudes A1 and A2 for continuous variation of angular frequency and for discrete variation of the compacted soil’s rigidity.
From Figure 2, it follows that when the soil stiffness changes discretely as a result of the compaction process, it moves to the right, and the resonance amplitudes (peaks) increase. The geometric locus of the amplitude peaks at resonance is a straight line. In Figure 3, it can be seen that the upper mass m2 has slightly lower amplitudes and the ratio A 2 / A 1 0.05 , which signifies a reduced transmissibility of vibrations and good dynamic isolation.
For the post-resonance compaction regime at f = 32 Hz and ω = 200 rad/s, the amplitude values change from A1(1) = 1.95 mm after the first pass to A1(5) = 2.5 mm after the (last) fifth pass. At the resonance regime, when the effects of damping and rigidity are dominant, the obtained numerical values are A ˜ 1 ( 1 ) = 4.74   m m for the resonance amplitude at the first pass and A ˜ 1 ( 5 ) = 6.40   m m for the (last) fifth pass. It can be noted that the first-order resonance for angular frequency ω n I = 15   rad / s is not significant for the A1 amplitude, while for the amplitude A2, the resonance frequency ω n I remains constant for any values of k1. The amplitude A2 for ω n I varies between 0.5 mm and 0.9 mm, a function of the discrete variation of rigidity k1. The second-order resonance angular frequency ω n I I changes from 100 rad/s to 145 rad/s when the rigidity k1 increases discretely from 10 × 106 N/m up to 90 × 106 N/m [19,20,21].

4. “In-Situ” Evaluation of the Degree of Compaction Based on Amplitude Values A ˜ 1 j at Resonance States

There are defined two parameters:
-
The ratio of successive resonance amplitudes Aj, for each of pass j = 1 … 6, as
r j = A ˜ 1 , j + 1 A ˜ 1 j
-
The ratio of degrees of compaction D j , as
d j = D j + 1 D j
The correlation of these two ratios, rj and dj is defined by relation
α 1 , j r j = d j
Calibration for the soil type to be compacted in road works is carried out on an experimental polygon with a 200 m length and 25 m width, with at least four compaction lanes made of the studied soil. The evaluation of the results is carried out at successive passes of the roller over the same layer, with compactor speeds between the interval of 3 and 6 km/h. For the experiments conducted in Romania, a sample of the degree of compaction variation graph, D, is shown in Figure 4 [20,21]. The soil granulometric composition is mentioned above.
This graph is only required for calibration to determine the correlation coefficient α 1 , j . The vibratory roller passed over the soil layer with a speed of 3 km/h and was set to achieve the regime parameters mentioned above. After each pass, at the end of the experimental lane, the resonance A ˜ 1 , j , the soil rigidity k 1 , j and the degree of compaction Dj by geotechnical methods for “in-situ” sample prelevation and laboratory testing. So, the graph of Figure 4 has been plotted, and the experimental results for resonance amplitude and rigidity have been processed. For the A ˜ 1 , j amplitudes and k 1 , j rigidity, we considered medium values as calculation parameters, which were compared to the values resulting from the numerical analysis of the dynamic model adopted, resulting from Figure 2 and Figure 3 [20,21].
The experiment’s results are shown in Table 1, where both experimental and calculation values for parameters k 1 , j and A ˜ 1 , j can be seen. The degree of compaction is experimentally determined by geotechnical methods.
The correlation coefficient α 1 , j , where j = 1, 2, 3, 4, 5 successive passes results from relation (12), is as follows:
α 1 , j = d j r j
where r j = A ˜ 1 , j + 1 A ˜ 1 , j
d j = D j + 1 D j
Based on the fact that for resonance at j pass, the amplitude is A ˜ j = m 0 r c k 1 , j m 1 , it results that the ratio r j = r ¯ j could be calculated when knowing the calculation values for rigidity k 1 , j (Table 1).
This is the case when there is the possibility of checking the concordance of the two coefficients r j and r ¯ j , according to the results shown in the table. This results in r ¯ j being able to be calculated by relation (14).
r ¯ j = k 1 , j + 1 k 1 , j
The correlation of A 1 , j with r 1 , j is provided in Table 2.
The correlation coefficient for calibration α 1 , j is calculated using the determined values for r j and d j from relation (13).
Table 3 presents the values for the correlation coefficient α 1 , j after each pass j = 1, 5. Finally, the medium value α ¯ 1 , j of the correlation coefficient for all the n passes is determined as follows:
α ¯ 1 , j = 1 n j = 1 n α 1 , j
Determining the degree of compaction Dn in the technological process after certain passes, j = n, could be carried out just using the calibration data (Table 3) and the ratio r n = A ˜ 1 , n A ˜ 1 , 1 , determined by measuring the resonance amplitudes values after the first (j = 1) and the last (j + 1 = n) pass. The result is that
D n = α ¯ 1 , n A ˜ 1 , n A ˜ 1 , 1 D 1
For the experiments on the Transilvania highway in Romania [20], after n = 5 passes, the degree of compaction would be calculated based on relation (16) as follows:
D 5 = α ¯ 1 , 5 A ˜ 1 , 5 A ˜ 1 , 1 D 1
Or
D 5 = 0.968 6.40 4.74 82.5 = 107.8 %
It results in an error of +10% relative to the reference value of 97.80% (Table 1), which must be correlated with the data in Table 2 and Table 3.

5. Force Transmitted to Soil

The dynamic instant force P(t) transmitted to the soil is provided by the following relation [22,23,24,25]:
f T ( t ) = k 1 x 1 + c 1 x ˙ 1
By extending the relation (17) to complex variables with imaginary units i = 1 , the result is
F ¯ T e i ω t = k 1 A ¯ 1 e i ω t + i c 1 ω A ¯ 1 e i ω t
where F ¯ T = F T e i φ 0 and A ¯ 1 = A 1 e i φ 1 , so that it turns into
F T e i φ 0 = ( k 1 + i c 1 ω ) A 1 e i φ 1
From relation (19), the expression for maximum force transmitted to soil (amplitude of transmitted force) FT can be obtained as follows:
F T = A 1 k 1 2 + c 1 2 ω 2
The angular phase shift φ 0 for the transmitted force φ T ( t ) relative to vibration x 1 ( t ) is determined by the following relation:
t g φ 0 = k 1 t g φ 1 + c 1 ω k 1 c 1 ω t g φ 1
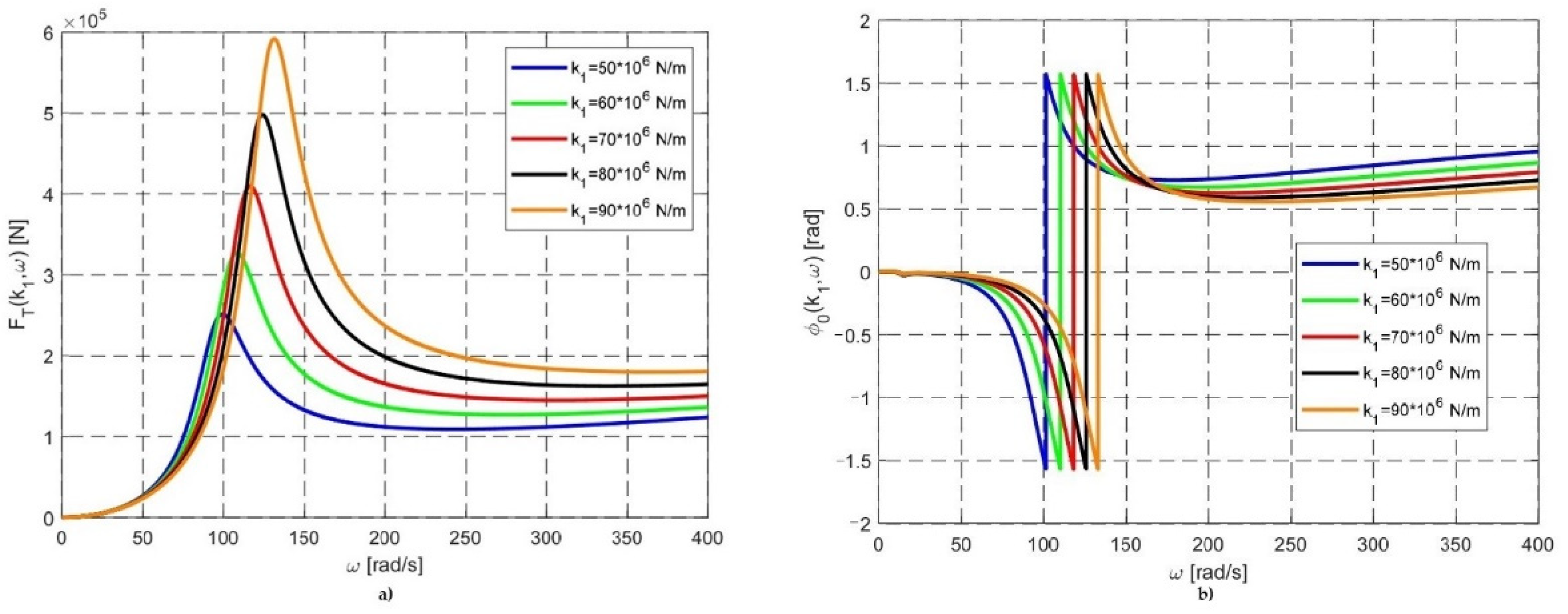
In Figure 5a, the variation of maximum force transmitted to soil F T ( k 1 , ω ) depending on the discrete variation of k1 after each pass j = 1 ÷ 5 can be seen, and in Figure 5b, the graph of angular phase shift φ 0 ( k 1 , ω ) corresponding to the variation of maximum force transmitted to soil can be seen.
The family of curves presented in Figure 5 highlights the possibility of using the machine, depending on the nature of the technology both in resonance and in post-resonance and depending on the rate of increase of the force transmitted to the ground.
The variation of the force transmitted in relation to the angular frequency ω, at each pass of the vibratory machine for each value of the land stiffness k1, highlights the displacement to the right of the resonance points so that the geometric place of the peaks of the resonance points is a straight line.
It is found that between the last pass for k1 = 90 N/m and the first pass over the loose layer where k1 = 50 N/m, the force transmitted to the ground increases from the value of 2.5 N to the value of 5.8 N, which represents an increase of 32%.

6. Conclusions

The resonance method used in this article represents a new, innovative approach that has been applied in a practical way for compaction work on highways in Romania. This offers the possibility to evaluate, in real time, the degree of compaction based on the calibration carried out in a test field with the same materials.
(a)
The research results presented were obtained from road works in Romania for the construction of highways in Transilvania and the Black Sea. These results are based on dynamic modeling of the vibratory roller–soil interaction as a two-degrees-of-freedom system and on the fact that the compacted soil has significant settlement after each roller’s pass. Therefore, vibration and compaction experiments can be carried out in direct correlation. This is how a method for fast evaluation of the degree of compaction after each pass, for a certain number of passes, has been developed. This method is based on both numerical evaluation and graphs of vibrations evolution in resonance and/or post-resonance stable technological regime, as well as on “in-situ” prelevated soil samples [20,21];
(b)
For evaluation of the degree of compaction in the technological process, the calibration procedure has been considered in an experimental polygon. Based on the resonance vibration and degree of compaction measurements, a correlation coefficient has been determined as a medium value for calibration. This is the case when the degree of compaction, for any position and functional situation of the vibratory roller, can be calculated based on the evidenced relations [20];
(c)
The maximum force transmitted to the soil at the value of 200 rad/s excitation technological frequency shows increased transmitted force of soil from 1100 kN to 2300 kN, meaning an increase of 109% due to an increase of 8% of the soil rigidity in compaction. The values provided for the transmitted force, as well as the correlation with the stiffness increase, implicitly result from the research that results in the families of curves that are shown in Figure 5.
In the post-resonance mode, where the vibratory compactor is used for compaction processing of materials at the angular frequency of 200 (rad/s), it is found that the force increases from the value of 1.1 ×   10 5 N to 2.3 ×   10 5 N, which means an increase of 9%.
The force transmitted to the ground is a significant indicator of the necessary correlations between the degree of compaction, the stiffness of the ground, and the CBR indicator.
It is mentioned that the compaction efficiency is significant by increasing from 82.5% to 100.8%, i.e., by 18.3% compared to the 8% stiffness increase.
In addition to all the above mentioned, it is to be evidenced that the numerical analysis and experimental procedure have been developed and validated in a computer-aided automatic system with results obtained in situ. The purpose is to evaluate the efficiency and progress of compaction technology [20,21,24,25].
The resonance method is effective and sufficiently accurate only based on field calibration.

Author Contributions

Conceptualization, P.B.; methodology and validation, P.B. and O.T.; formal analysis, M.C.N. and P.B.; investigation, O.T.; writing—original draft preparation, P.B. and M.C.N.; writing—review and editing, M.C.N. and O.T.; visualization P.B. All authors have read and agreed to the published version of the manuscript.

Funding

This research received no external funding.

Data Availability Statement

The data presented in this study are available upon request from the corresponding author. The data are not publicly available due to confidentiality.

Acknowledgments

We thank the Romanian Academy for its support of this research.

Conflicts of Interest

The authors declare no conflict of interest.

References

  1. Adam, D.; Kopf, F. Theoretical analysis of dynamically loaded soils. In European Workshop: Compaction of Soils and Granular Materials; ETC11 of ISSMGE: Paris, France, 2000. [Google Scholar]
  2. Adam, D.; Kopf, F. Operational Devices for Compaction Optimization and Quality Control (Continuous Compaction Control & Light Falling Weight Device). In Proceedings of the International Seminar on Geotechnics and Railway Design and Construction, Athens, Greece, 16–17 December 2004; IOS Press: Amsterdam, The Netherlands, 2004; pp. 97–106. [Google Scholar]
  3. Bratu, P. Dynamic analysis in case of compaction vibrating rollers intended for road works. In Proceedings of the 17th International Congress on Sound & Vibration, ICSV, Cairo, Egypt, 18–22 July 2010. [Google Scholar]
  4. Bratu, P.; Debeleac, C. The analysis of vibratory roller motion. In Proceedings of the VII International Triennial Conference Heavy Machinery—HM 2011, Session Earth-Moving and Transportation Machinery, Vrnjačka Banja, Serbia, 29 June–2 July 2011; pp. 23–26, ISBN 978-86-82631-58-3. [Google Scholar]
  5. Leopa, A.; Debeleac, C.; Năstac, S. Simulation of Vibration Effects on Ground Produced by Technological Equipments. In Proceedings of the 12th International Multidisciplinary Scientific GeoConference SGEM2012, Conference Proceedings, Albena, Bulgaria, 17–23 June 2012; Volume 5, pp. 743–750, ISSN 1314-2704. [Google Scholar]
  6. Leopa, A.; Năstac, S.; Debeleac, C.; Căpăţână, G.F.; Potirniche, A. Identification of parameters characterizing the nonlinear behavior of viscouselastic systems on dynamic loadings. In Proceedings of the 8th International DAAAM Baltic Conference “Industrial Engineering”, Tallinn, Estonia, 19–21 April 2012. [Google Scholar]
  7. Li, Y.; She, C.X. Discrete Simulation of Vibratory Roller Compaction of Field Rockfills. Shock Vib. 2021, 2021, 9246947. [Google Scholar] [CrossRef]
  8. Bejan, S.; Pérez-Acebo, H. Modeling the Dynamic Interaction between a Vibratory-Compactor and Ground. Rom. J. Acoust. Vib. 2016, 12, 94–97. [Google Scholar]
  9. Li, S.; Hu, C. Study on Dynamic Model of Vibratory Roller—Soil System. In Proceedings of the IOP Conference Series: Earth and Environmental Science, Harbin, China, 8–10 December 2017; Volume 113. [Google Scholar]
  10. Mooney, M.A.; Rinehart, R.V. Field Monitoring of Roller Vibration During Compaction of Subgrade Soil. J. Geotech. Geoenvironmental. Eng. 2007, 133, 257–265. [Google Scholar] [CrossRef]
  11. Mooney, M.A.; Rinehart, R.V. In-Situ Soil Response to Vibratory Loading and Its Relationship to Roller-Measured Soil Stiffness. J. Geotech. Geoenvironmental Eng. 2009, 135, 1022–1031. [Google Scholar] [CrossRef]
  12. Breskich, V. Experimental studies on soil compaction using BOMAG BW 226 BVC-5 vibratory roller. In E3S Web of Conferences; EDP Sciences: Les Ulis, France, 2023; Volume 376. [Google Scholar] [CrossRef]
  13. Ivan, T.; Arseniy, K.; Shorokhov, D. Experimental studies on compaction of soil with HAMM 3411 vibrating roller. Russ. Automob. Highw. Ind. J. 2023, 19, 828–840. [Google Scholar]
  14. Morariu Gligor, R.M. Study of the influence of plate compactor weight on its functioning. Acta Tech. Napoc.-Ser. Appl. Math. Mech. Eng. 2014, 57, 125–130. [Google Scholar]
  15. Morariu Gligor, R.M. Factors influencing the degree of soil compaction. Acta Tech. Napoc.-Ser. Appl. Math. Mech. Eng. 2017, 60, 125–130. [Google Scholar]
  16. Ivan, T.; Artem, M.; Denis, F. On the justification of the value of the apparent mass of soil in rheological modeling of the process of soil compaction by a vibrating roller. J. Phys. Conf. Ser. 2019, 1260, 112033. [Google Scholar]
  17. Dobrescu, C.F. Analysis of the dynamic regime of forced vibrations in the dynamic compacting process with vibrating roller. Acta Tech. Napoc. Appl. Math. Mech. Eng. 2019, 62, 71–76. [Google Scholar] [CrossRef]
  18. Cornelia, D. The Dynamic Response of the Vibrating Compactor Roller, Depending on the Viscoelastic Properties of the Soil. Appl. Syst. Innov. 2020, 3, 25. [Google Scholar] [CrossRef]
  19. Dobrescu, C.F. Highlighting the Change of the Dynamic Response to Discrete Variation of Soil Stiffness in the Process of Dynamic Compaction with Roller Compactors Based on Linear Rheological Modeling. In Applied Mechanics and Materials; Acoustics & Vibration of Mechanical Structures II; Herisanu, N., Marinca, V., Eds.; Scientific Net: Zurich, Switzerland, 2015; Volume 801, pp. 242–248. ISBN 978-3-03835-628-8. [Google Scholar] [CrossRef]
  20. Transylvania Highway, Bechtel Romania; Test Report for Laboratory and “In Situ” Tests; ICECON: Bucharest, Romania, 2008.
  21. Performed on the Road Layers of the Bucharest-Constant, a Highway; Test Report for Laboratory and “In Situ” Tests; ICECON: Bucharest, Romania, 2004.
  22. Wersäll, C.; Larsson, S.; Bodare, A. Dynamic Response of Vertically Oscillating Foundation at Large Strain. In Proceedings of the 14th International Conference of the International Association for Computer Methods and Advances in Geomechanics, Kyoto, Japan, 22–25 September 2014; pp. 643–647. [Google Scholar]
  23. Wersäll, C.; Larsson, S.; Ryden, N.; Nordfeld, I. Frequency Variable Surface Compaction of Sand Using Rotating Mass Oscillators. Geotec. Test. J. 2015, 38, 198–207. [Google Scholar] [CrossRef]
  24. Wersäll, C.; Nordfeld, I.; Larsson, S. Soil Compaction by Vibratory Roller with Variable Frequency. Geotechnique 2017, 67, 272–278. [Google Scholar] [CrossRef]
  25. Yoo, T.-S.; Selig, E.T. Dynamics of Vibratory Roller Compaction. J. Geotech. Eng. Div. 1979, 105, 1211–1231. [Google Scholar] [CrossRef]
Figure 1. Dynamic model of the vibratory roller–soil system.
Figure 1. Dynamic model of the vibratory roller–soil system.
Buildings 13 02837 g001
Figure 2. Variation of the amplitude A1 and shift angle φ 1 depending on ω and k1.
Figure 2. Variation of the amplitude A1 and shift angle φ 1 depending on ω and k1.
Buildings 13 02837 g002
Figure 3. Variation of the amplitude A2 and shift angle φ 2 depending on ω and k1.
Figure 3. Variation of the amplitude A2 and shift angle φ 2 depending on ω and k1.
Buildings 13 02837 g003
Figure 4. Calibration curve at test compaction on the test track.
Figure 4. Calibration curve at test compaction on the test track.
Buildings 13 02837 g004
Figure 5. Variation of maximum force transmitted to soil and of angular phase shift depending on ω and k1. (a) the variation of the maximum transmitted force Ft as a function of the angular frequency ω and the stiffness of the ground k1; (b) the variation of the phase shift Φ 0 as a function of the angular frequency omega and the ground stiffness k1.
Figure 5. Variation of maximum force transmitted to soil and of angular phase shift depending on ω and k1. (a) the variation of the maximum transmitted force Ft as a function of the angular frequency ω and the stiffness of the ground k1; (b) the variation of the phase shift Φ 0 as a function of the angular frequency omega and the ground stiffness k1.
Buildings 13 02837 g005
Table 1. Compaction process parameters [20,21].
Table 1. Compaction process parameters [20,21].
Pass, j Rigidity   k 1 , j , [MN/m] Resonance   Amplitude   A ˜ 1 , j , [mm]Degree of Compaction D, [%]
“In Situ” ExperimentsNumeric“In Situ” ExperimentsNumeric
148.50 ÷ 51.20504.65 ÷ 4.834.7482.50
258.80 ÷ 61.20605.10 ÷ 5.305.2087.80
367.90 ÷ 73.50705.48 ÷ 5.815.6591.90
476.0 ÷ 84.00805.91 ÷ 6.166.03995.30
588.20 ÷ 92.70906.20 ÷ 6.596.4097.80
698 ÷ 1061026.66 ÷ 6.936.80100.80
Table 2. Values for coefficients r j s and r ¯ j [20,21].
Table 2. Values for coefficients r j s and r ¯ j [20,21].
Pass jCalculation ValuesResults
Amplitu   A ˜ 1 , j , [mm] Rigidi   k 1 , j , [MN/m] r j = A ˜ 1 , j + 1 A ˜ 1 , j r ¯ j = [ k 1 , j + 1 k 1 , j ] 1 2
14.74501.0971.095
25.20601.0861.080
35.65701.0681.069
46.039801.0591.060
56.40901.0621.064
66.80102--
Table 3. Correlation coefficients α 1 , j and α ¯ 1 , 5 [20,21].
Table 3. Correlation coefficients α 1 , j and α ¯ 1 , 5 [20,21].
Pass j r j d j α 1 , j
11.0971.0640.970
21.0861.0440.963
31.0681.0360.970
41.0591.0260.969
51.0621.0300.969
α ¯ 1 , 5 = 1 5 j = 1 5 α 1 , j 0.968
Disclaimer/Publisher’s Note: The statements, opinions and data contained in all publications are solely those of the individual author(s) and contributor(s) and not of MDPI and/or the editor(s). MDPI and/or the editor(s) disclaim responsibility for any injury to people or property resulting from any ideas, methods, instructions or products referred to in the content.

Share and Cite

MDPI and ACS Style

Bratu, P.; Tonciu, O.; Nițu, M.C. Modeling the Vibratory Compaction Process for Roads. Buildings 2023, 13, 2837. https://doi.org/10.3390/buildings13112837

AMA Style

Bratu P, Tonciu O, Nițu MC. Modeling the Vibratory Compaction Process for Roads. Buildings. 2023; 13(11):2837. https://doi.org/10.3390/buildings13112837

Chicago/Turabian Style

Bratu, Polidor, Oana Tonciu, and Marilena Cristina Nițu. 2023. "Modeling the Vibratory Compaction Process for Roads" Buildings 13, no. 11: 2837. https://doi.org/10.3390/buildings13112837

APA Style

Bratu, P., Tonciu, O., & Nițu, M. C. (2023). Modeling the Vibratory Compaction Process for Roads. Buildings, 13(11), 2837. https://doi.org/10.3390/buildings13112837

Note that from the first issue of 2016, this journal uses article numbers instead of page numbers. See further details here.

Article Metrics

Back to TopTop