Abstract
The communication tower is a lifeline engineering that ensures the normal operation of wireless communication systems. Extreme wind disasters are inevitable while it is in service. Two dimension-reduction (DR) probabilistic representations based on proper orthogonal decomposition (POD) and wavenumber spectral representation (WSR), say DR-POD and DR-WSR, were thus proposed in this study. In order to determine the least representative sample size that satisfies the engineering accuracy requirements, the simulation error and simulation duration of 10 simulation points distributed along the height direction of the communication tower under different representative sample numbers were compared. Furthermore, for the fluctuating wind field with different numbers of simulation points distributed along the height of the communication tower, the simulation accuracy as well as efficiency of the DR-POD and the DR-WSR were compared. Finally, a high-rise communication tower structure’s wind-induced dynamic response study and wind-resistance reliability analysis were performed utilizing an alliance of the probability density evolution method (PDEM) and two DR probabilistic models, taking 10 load points into account. The structural dynamic analysis illustrates that the reliability of the communication tower structure and the wind-induced dynamic response allying the two DR probabilistic models with the PDEM have outstanding consistency.
1. Introduction
High-rise communication towers, high-rise buildings, and long-span bridges are lifeline engineering that maintains the survival function system of the city and has a significant impact on the national economy and people’s livelihoods. During their servicing period, due to various stochastic disaster effects such as typhoons, earthquakes, etc., the structure will suffer different degrees of damage [1,2]. For example, under the excitation of stochastic wind load, the condition control of the normal service limit state of the communication tower structure is an important content of the Standard design for high-rise structures (GB 50135-2019) [3].
Mean wind and fluctuating wind loads constitute the total wind load on the structure, wherein fluctuating wind loads have the potential to cause the structure to vibrate downwind [4]. Therefore, a primary job of structural wind-resistance analysis is to simulate the fluctuating stochastic wind velocity field. The two approaches that are frequently used to simulate a fluctuating stochastic wind velocity field are the spectral representation method (SRM) [5,6,7] and proper orthogonal decomposition (POD) [8,9,10]. The SRM was first proposed by Shinozuka et al. [7] for the simulation of a multidimensional and multivariable stochastic field. Yang [11] introduced the fast Fourier transform (FFT) algorithm for the first time when using the SRM to simulate a multivariable stochastic process, which significantly increased the simulation efficiency of the SRM. Subsequently, based on Yang et al.’s research [11], Deodatis [12] introduced dual index frequencies into the SRM to ensure the ergodicity of simulation results, making the SRM a classic method for stochastic wind field simulation. Di Paola [9,10], on the other hand, proposed the POD method based on the power spectral density matrix (PSD). Compared with the spectral representation method, POD has a clear physical meaning and can be utilized with the modal truncation technique to simulate the fluctuating wind stochastic field with a few eigenmodes [13]. The two approaches mentioned above are all based on the decomposition of PSD to realize the simulation of a fluctuating wind velocity random field, or random vector process. For large-scale structures such as communication towers, stochastic wind field simulation is often extremely time-consuming. Therefore, Deodatis et al. [14] proposed the wavenumber spectral representation (WSR) of a continuous spatio-temporal stochastic field on the basis of the frequency–wavenumber spectrum. Benowitz et al. [15], combined with the FFT algorithm, applied the WSR to simulate the continuous spatio-temporal stochastic field of fluctuating wind velocity. At the same time, Carassale et al. [16] developed a continuous POD method for spatio-temporal stochastic fields based on the cross-PSD function of the fluctuating wind stochastic field and gave the semi-analytical solution of the eigenvalue problem. Whether SRM, POD, or WRS methods are carried out in the traditional Monte Carlo framework, which requires a large number of random variables to ensure the accuracy of the results, this significantly increases the calculated quantity required for stochastic process simulation. In addition, the simulation results are incapable of reflecting the probability characteristics of a stochastic wind field at the level of the probability density function.
The purpose of this paper is to improve the shortcomings of Monte Carlo in simulating random wind fields and to establish a representative wind speed time history sample with known probability information that can be generated with only a small number of elementary random variables. It is worth noting that the dimension-reduction (DR) methods mainly include two techniques: one is to express orthogonal random variables as deterministic orthogonal functions of elementary random variables to achieve the purpose of reducing the number of random variables, and the other is to combine some effective filling design methods in low-dimensional space, such as the number theory point selection method, the point selection method based on GF deviation, etc., to select the representative point set of elementary random variables [17,18].
In terms of structural reliability analysis, by establishing a probability model of wind loading, Pham et al. [19] analyzed the reliability of Australian communication lattice towers. Meanwhile, the reliability indices for Australian communication towers were compared with those for American transmission line towers. Based on the existing latticed towers built in Brazil, Carril Jr et al. [20] conducted a wind force experiment on them and compared the results with some existing codes and standards. A novel adaptive strategy based on the probabilistic support vector machine for reliability analysis (PSVM-RA) was proposed by Song et al. [21] and applied to the wind-reliability analysis of transmission towers. In short, the basic goal of studying “lifeline engineering” is to achieve disaster resistance design and intelligent control of structures, and the reliability analysis of engineering structures is the foundation of current structural design standards. As early as 1926, German scholar Mayer published a monograph titled “Structural Safety”, and around 1940, with the promotion of Soviet scholars Стрелецкий and Ржаницын, as well as American scholar Freudenthal, the issue of engineering reliability received widespread attention in the academic and engineering communities [22,23]. In recent years, from the perspective of the propagation of randomness in engineering systems, Li and Chen have constructed a new basic theoretical system for the reliability analysis and design of engineering structures, the probability density evolution method (PDEM), which has solved the problem of the dynamic reliability analysis of complex engineering structures [23,24]. It is gratifying that the DR method proposed in this study runs in the same direction as the probability density evolution method, generating hundreds of representative samples that can accurately express random dynamic effects on full probability information. Therefore, the combination of the two methods can provide a theoretical basis for the refined analysis of the wind-resistance reliability of large and complex engineering structures.
In summary, the following work was carried out in this study: firstly, based on POD and WSR, two dimension-reduction probabilistic models for stochastic wind fields were suggested. Meanwhile, by utilizing FFT technology, the computational efficiency of the two models was further improved (Section 2). In Section 3, a 60 m high communication tower structure was selected as the engineering object to simulate the vertical stochastic fluctuating wind field using the proposed models. The simulation accuracy and calculated duration of the two dimension-reduction probabilistic models were compared under two scenarios: simulating different representative sample numbers at 10 load points and simulating 233 representative sample numbers at different load points. Section 4 combines two dimension-reduction probabilistic models with the PDEM to analyze the structural wind-induced dynamic response and dynamic wind-resistance reliability of the communication tower. Section 5 contains some findings and suggestions.
2. Two Dimension-Reduction Probabilistic Models
In general, there are two schemes for simulating the fluctuating stochastic wind velocity field at a given point in space. One is spectral decomposition based on the power spectral density function matrix, including eigen decomposition and Cholesky decomposition. The other is a spectral representation based on frequency–wavenumber, also known as stochastic waves. In essence, the former applies to a discrete field, whereas the latter is aimed at a continuous field simulation [9,10,25].
2.1. DR Models Based on the Eigen Decomposition
The essence of the two spectral decomposition schemes is that the decomposition methods of the PSD matrix are different. Here, only the eigen decomposition technique is taken as a typical example for analysis. The PSD matrix of a one-dimensional n-variate (1D-nV) stationary multivariable vector stochastic process , where denotes the wind velocity of the simulated point at height , can be decomposed as follows:
where and denote the eigenvector matrix and eigenvalue matrix of , respectively. denotes an n-order unit square matrix. The superscripts ‘*’ and ‘T’ denote the complex conjugate and matrix transposition, respectively.
According to the spectral decomposition theory of stationary multivariate stochastic processes, arbitrary components of with zero mean can be represented by the following finite series form [9,10]:
where denotes the element in the i-th row and r-th column of the eigenvector matrix ; denotes the eigenvalues corresponding to the r-th eigenvector ; the elements in are represented by ; denotes the truncation term number of modals that typically satisfies ; denotes the frequency interval, in which denotes the upper truncation frequency, and M denotes the truncation term number of frequencies; denotes the set of real orthonormal random variables satisfying the following condition:
where ; ; denotes the Kronecker delta.
It is worth mentioning that the traditional random-phase-angles-based method in light of the Monte Carlo sampling method is improved here, and the simulation of stochastic processes or stochastic fields is carried out by defining the random function form as follows [17,18]:
where denotes mutually independent elementary random variables submitting to the uniform distribution over the interval . Between the sets and , there is a deterministic one-to-one mapping relationship that will be thoroughly discussed in Section 2.2.
Therefore, Equation (6) can be substituted into Equation (3) to obtain a novel form:
In order to further improve the efficiency of numerical simulation, the FFT algorithm can be used for the frequency of Equation (7) [11]:
In fact, the DR method can also be utilized in SRM. Considering that POD has a clearer physical meaning and allows for modal truncation to improve the efficiency of simulation calculations, this study only takes the DR-POD model as an example to simulate the stationary fluctuating stochastic wind field in Section 3.
2.2. DR Model Based on the Spectral Representation Theory
The efficiency of the spectral decomposition theory, however, will be negatively impacted in situations where there is a large number of discrete points in wind fields. This problem of reduced efficiency stems from the increase in the number of discrete points, resulting in an increase in the dimension of the PSD matrix, which affects the computational efficiency. The fluctuating wind model without matrix decomposition, which can theoretically execute computations on an endless number of simulation points, is given a fresh perspective by the WSR in this regard.
In the WSR of a two-dimensional one-variate (2D-1V) spatio-temporal stochastic field, can be expressed in the following finite series form [26,27,28]:
where denotes the one-sided wavenumber spectral density (WSD) function of ; denotes the wavenumber interval, in which denotes the upper cut-off wavenumber, and N denotes the number of wavenumber intervals; denotes a set of orthogonal random variables that satisfy the basic condition in Equation (5).
In order to realize the dimension-reduction expression of orthogonal random variables and , the arbitrary orthogonal random variables and are defined as the orthogonal functions of the two-dimensional basic random variable . For this reason, this paper defines the random function form as follows [17,18,25]:
where ; ; finally, the orthogonal random variables and defined in Equation (16) need to be transformed into the target orthogonal random variables and in Equation (13) through a deterministic one-to-one mapping, say , . Specifically, a two-dimensional array is transformed into a one-dimensional array by defining and . Then, the MATLAB toolbox functions and are implemented in order to achieve one-to-one mapping; thus, the one-to-one mapping relationship can be expressed as to determine the mapping relationship . It is important to note that, if the differences between the parameters in the POD and N in the WSR are ignored, the orthogonal random variables in Equation (6) and in Equation (16) are identical. As a result, we can conveniently define .
Substituting Equation (16) into Equation (13), the 2D-1V continuous spatio-temporal stochastic field based on the WSR is ulteriorly expressed as follows:
Similarly, the FFT algorithm can also be applied to Equation (17) in order to enhance the simulation efficiency [11,15]:
where , ; , . denotes taking the remainder.
By comparing the derivation processes of the above two simulation methods, the following comments can be concluded.
Remark 1.
Both POD and the SRM are essentially discrete methods that require eigen decomposition or Cholesky decomposition of the PSD matrix . For large-scale structures that require a large number of simulation points, spectral decomposition methods may appear inefficient. Therefore, it is necessary to explore a new method—that is, WSR—for large-scale structural wind field simulation. In contrast, the simulation efficiency of WSR is independent of the number of simulation points. Therefore, when describing large-scale structural wind fields, the WSR method with relatively simple algorithms will have significant advantages.
Remark 2.
Whether in Equation (3) or Equation (13), the one-dimensional multivariate random wind field is expressed as a linear combination of a series of orthogonal random variables. The number of orthogonal random variables in POD is , and the number of orthogonal random variables in the SRM is . The application of random orthogonal functions reduces the number of random variables of the two methods to 2, as shown in Equations (7) and (17), which provide conditions for utilizing the number theoretical method (NTM) [29].
Remark 3.
The advantage of utilizing the NTM to obtain representative points of two elementary random variables is that the selected representative point set has good overall uniformity in two-dimensional space, and each representative point has assigned probability information. This provides conditions for the representative samples generated by DR methods to ultimately be used for structural wind-induced dynamic response analysis and reliability calculation in the PDEM.
3. Stochastic Wind Field Simulation of Communication Tower
For large-scale, complicated, flexible structures like communication towers, the wind-induced dynamic response heavily depends on the simulated wind field. Therefore, a comparison of simulation efficiency and accuracy between DR-POD and DR-WSR will be carried out in this part for the fluctuating wind field along the height of the communication tower.
3.1. Simulation Parameters
There is a 60 m tall communication tower structure with a bottom width of 8 m. Along the direction of the tower height, it is separated into 10 tower sections. The communication tower structure’s finite element (FE) model is displayed in a Cartesian coordinate system in Figure 1. Table 1 displays the dimensions, windward area, and shape coefficient of angle steel for every tower section.
Figure 1.
Vertical view of communication steel tower structure.
Table 1.
Material size of angle steel and calculation parameters of communication tower.
The Davenport model was chosen for the purpose of this study’s simulation of the wind field, and its two-sided expression is as follows [30]:
where denotes the ground roughness factor; denotes the mean wind velocity at the height of 10 m.
The spatial coherence function is defined as follows [31]:
where denotes the separation distance along the height between the i-th point and j-th point; m denotes the turbulence integral scale in the z direction.
The WSD function of the spatio-temporal stochastic field of fluctuating wind velocity can be obtained by Fourier integration of the cross-PSD function or the auto-PSD function and the spatial coherence function, namely [32]:
The parameters and the corresponding values for simulating stochastic fluctuating wind fields are listed in Table 2.
Table 2.
Parameters and corresponding values for simulating stochastic fluctuating wind fields.
In order to verify the validity of the DR methods, 10 simulated points are set in the stochastic fluctuating wind velocity field, whose spatial distribution is shown in Figure 1. Meanwhile, the simulated duration and error, which serve as the indexes of efficiency and accuracy, respectively, are calculated based on representative samples of all points.
In order to quantitatively evaluate the fitting error between the representative time-histories generated by the two DR methods and the corresponding target values, the average relative errors (ARE) upon the mean, standard deviation (St. D), and auto-PSD of the fluctuating wind velocity stochastic process are defined as follows, respectively [34]:
where , , and denote the target values of mean, St. D, and auto-PSD, respectively; , , and denote the simulated values of mean, St. D, and auto-PSD, respectively.
3.2. Simulation Results and Comparative Analysis
According to the NTM [29], the AREs upon the mean, St. D, and auto-PSD of the DR-WSR and the DR-POD in the five cases of the number of representative samples are listed in Table 3 and Table 4, respectively. As we can see, the AREs will decrease with an increasing . Furthermore, it is noted that the AREs are all less than 5% in the case of 233, demonstrating the acceptable accuracy of the DR-POD and the DR-WSR with few numbers of representative samples.
Table 3.
Comparisons of the AREs upon the mean, St. D, auto-PSD, and calculated duration in the cases of = 144, 233, 377, 610, 987 based on the DR-POD.
Table 4.
Comparisons of the AREs upon the mean, St. D, auto-PSD, and calculated duration in the cases of = 144, 233, 377, 610, 987 based on the DR-WSR.
Simultaneously, the calculated duration over the five cases based on the DR-POD and the DR-WSR are also presented in Table 3 and Table 4, respectively. The calculated duration obviously demonstrates an upward trend as increases. 233 will be considered in the subsequent stochastic dynamic response analysis and dynamic reliability evaluation of communication steel tower due to the fact that the AREs are all less than 5% and the calculation duration is relatively acceptable in the case of 233.
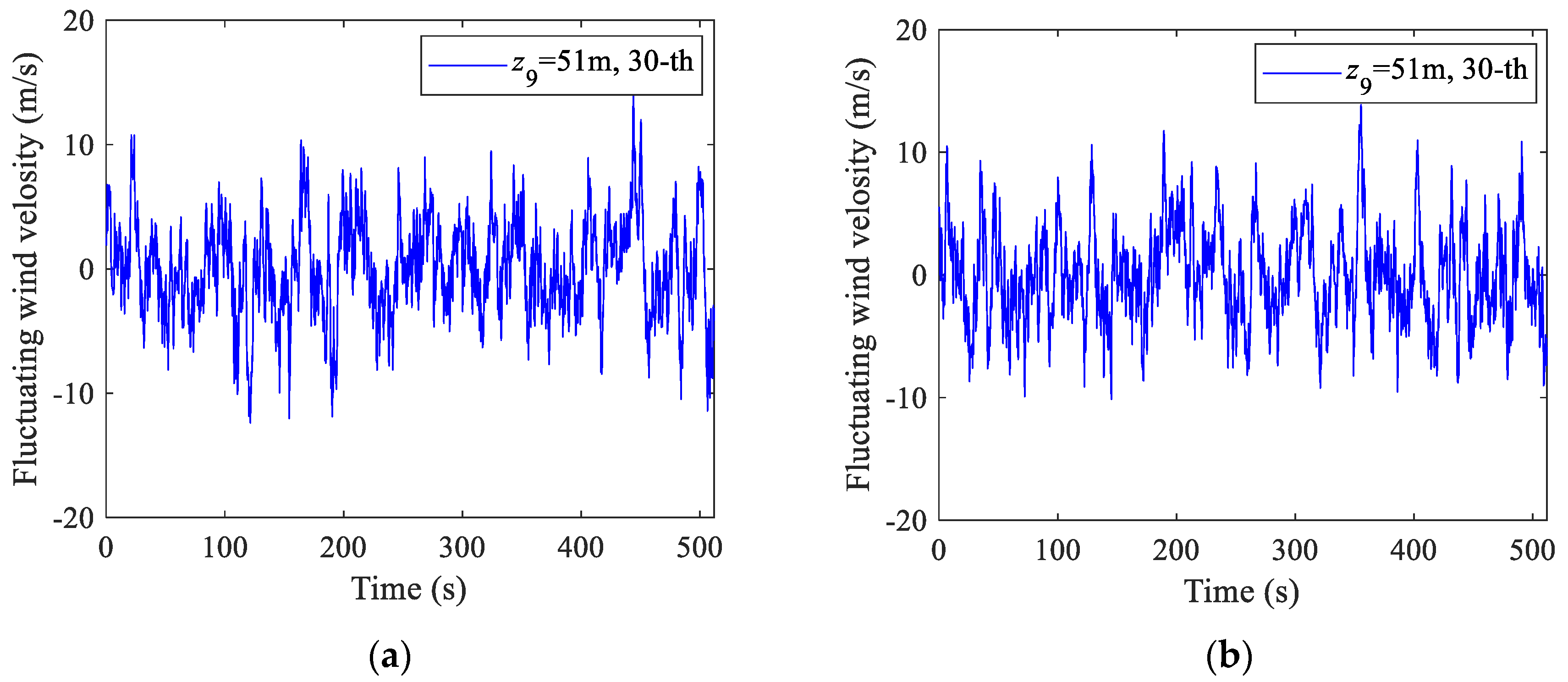
The 30-th representative sample of fluctuating wind velocity at z9 = 51 m in the case of 233 is presented in Figure 2. In this figure, the characteristic of zero-mean processes is greatly exposed by the simulated fluctuating wind velocity curve. It indicates the validity of the DR-POD and the DR-WSR again. In addition, the representative samples of wind velocity time-histories obtained by the two DR simulation methods fully exhibit significant stochastic characteristics.
Figure 2.
The representative sample of fluctuating wind velocity at z9 = 51 m in the case of 233: (a) DR−POD; (b) DR−WSR.
Figure 3 shows the generalized extreme value distribution of representative samples generated by two DR models, where the shape parameters, scale parameters, and location parameters for the DR-POD are −0.0982, 1.1694, and 12.9522, and, for the DR-WSR, are −0.0755, 1.2444, and 12.7218, respectively. Although there are certain differences in the probabilistic distribution of the two DR probabilistic models, their maximum wind velocity is not significantly different. Moreover, the parameters of the generalized extreme value distribution are also very close.
Figure 3.
Probability density of representative samples generated by the two DR models at z9 = 51 m: (a) DR-POD; (b) DR-WSR.
In order to further demonstrate the satisfactory accuracy of DR-POD and DR-WSR, the simulated mean values, St. D, and auto-PSD, as well as the cross-PSD of z9 = 51 m and z10 = 57 m, are compared with their corresponding target values, as shown in Figure 4. The accuracy of DR-POD and DR-WSR is firmly verified by Figure 4a, which shows that the simulated means of both approaches closely match the desired zero mean. Meanwhile, the comparison of St. D, auto-PSD, and cross-PSD with their respective target values demonstrates good consistency, further demonstrating the superior accuracy of the two DR simulation approaches.
Figure 4.
Comparison of the simulated mean, St. D, auto−PSD, and cross-PSD with the respective target values in the case of 233: (a) mean; (b) St. D; (c) auto−PSD (DR−POD); (d) auto-PSD (DR−WSR); (e) cross−PSD (DR−POD); (f) cross−PSD (DR−WSR).
It was shown in Section 2 that, despite the employment of the DR technique, representative samples simulated by the POD method may be adversely affected by a high number of discrete points (i.e., n). WSR, however, has the potential to be utilized in the case of limitless simulation points. The AREs and computational time of the two DR methods were compared when the simulated spatial points were m = 10, 30, 50, 70, and 100 in order to explore the characteristics of DR-POD and DR-WSR when simulating various spatial points.
Figure 5 shows the AREs upon the mean, St. D, and auto-PSD for 233 over five cases of m = 10, 30, 50, 70, and 100 for the DR-POD and the DR-WSR. As the number of simulated points increases, it is evident from Figure 5 that the AREs fluctuate marginally within a limited range. The AREs based on the DR-POD and the DR-WSR are acceptable in engineering practice, where the required accuracy is below 5% as usual. As a result, the simulated accuracies of the two DR methods are both satisfied over the case of a different number of simulated points.
Figure 5.
Comparison of the calculated duration and the AREs upon mean, St. D, and auto-PSD with the corresponding targeted values in the case of : (a) Mean; (b) St. D; (c) Auto-PSD; (d) Calculated duration.
Figure 5d shows the calculated duration for 233 when m = 10, 30, 50, 70, and 100. Regardless of the number of simulated points, the calculated duration of the DR-WSR is approximately 400 s in this curve. On the other hand, the calculated duration of the DR-POD exhibits a clear upward trend as the number of simulated points increases. The reason for this is that the efficiency of the DR-WSR is only affected by the number of frequency intervals M and wavenumber intervals N, whereas the matrix-decomposed efficiency of the DR-POD depends on the number of discrete points and frequency intervals N.
In summary, the two DR probabilistic models begin to show a convergence trend (greater than 95%) that meets the engineering accuracy requirements in the case of 233 small sample sizes. Meanwhile, in the case of m ≈ 30, the calculation duration of the DR-POD is consistent with the corresponding duration of the DR-WSR, and then exceeds the DR-WSR in the cases of m = 50, 70, 100. The simulated stability as well as efficiency of the DR-WSR in the later three scenarios suggest that this method is appropriate for stochastic wind fields involving multiple simulation points. On the other hand, the DR-POD is more appropriate for stochastic wind field simulations with m ≈ 30 or fewer simulation points.
4. Wind-Induced Response Analysis of Communication Steel-Tower
In Section 3, the simulation characteristics of DR-POD and DR-WSR in simulating vertical random wind fields were discussed under two scenarios: simulating different representative samples at 10 simulation points and simulating 233 representative samples at different simulation points. In addition, Section 4 will execute a refined analysis of the wind-induced dynamic response and structural dynamic reliability of communication towers to explore the differences between the two DR methods.
4.1. FE Model of the Communication Tower
Based on the engineering data, the three-dimensional model of the communication tower is established by the FE software (ANSYS 19.2). The communication tower is composed of 1167 elements and 456 points, modeled by B188 beam elements. The elastic modulus, Poisson’s ration, and density of the steel are 206 GPa, 0.30, and 7850 , respectively. Away from the base of the tower, at intervals of 30, 48, and 54 m, are maintenance work platforms that weigh 1600 kg, 1200 kg, and 1200 kg, respectively. All other rod materials are made of Q235 structural steel, which has a yield strength of 235 N/mm2, and Q345 structural steel, which is used for the main pole. The material’s density is , and its elastic modulus is . The foundation of the tower is assumed to be fixed, and the interaction between the foundation and the tower is ignored. The FE model of the tower structure is illustrated in Figure 6a.
Figure 6.
Modal information of FE model for communication steel tower structure: (a) 3D FE model; (b) the first-order mode; (c) the second-order mode; (d) the third-order mode.
The tower includes the tower body and its appurtenances, and its mass is added to the tower body as a simplified mass point. The total weight of the tower is 18.2 tons. Due to the symmetry of the tower structure, only the first three frequencies and periods in the x-direction are given in Table 5. Figure 6 only shows the first three modes of the communication tower structure, where Figure 6a is a three-dimensional finite element model, Figure 6b is the first-order mode swinging around the y-axis, Figure 6c is the second-order mode swinging around the x-axis, and Figure 6d is the third-order mode twisting around the z-axis. By comparing the PSD function of the stochastic wind model in Figure 4, it was found that the high-frequency components of the stochastic wind model have a significant impact on the studied communication tower.
Table 5.
Natural frequency and natural vibration period of communication steel tower structure.
As previously mentioned, the probability density evolution theory has effectively solved the problem of disaster response analysis in the design of large and complex engineering structures, thus providing protection for engineering structures through scientific structural disaster resistance reliability design measures. Considering that the samples generated by the two DR probabilistic models proposed in the present study have assigned probabilities and can naturally combine with the PDEM, in Section 4.2, the wind-induced dynamic response and reliability of the communication tower structure will be analyzed, and the consistency of the two DR probabilistic models will be checked.
4.2. Dynamic Response Analysis of Communication Tower
The motion equation of a communication tower structure under stochastic wind load excitation, with zero as the initial condition, can be expressed as [4]:
where M, C, and K denote the mass, damping, and stiffness matrix, respectively. , , and denote the acceleration, velocity, and displacement response matrix of the communication steel tower, respectively. denotes the position matrix of wind load action. denotes the stochastic wind load excitation vectors. denotes the elementary random variable given in Equations (7)–(9), (17) and (18) to uniquely determine the randomness of wind load excitation. It should be noted that the damping matrix in Equation (28) adopts the Rayleigh damping calculation method. [35]
According to the mean wind velocity vector and fluctuating wind velocity vector , the stochastic wind loading vector on the communication tower can be calculated by [36]
where m denotes the number of load points; denotes the air density, which is recommended to be 1.235 kg/m3; denotes the wind load shape coefficient; denotes the impact area of wind load; denotes the fluctuating wind velocity vector generated by the DR-POD or the DR-WSR; denotes the mean wind velocity vector, which can be calculated by [4]
where denotes the height of the load points. denotes the ground roughness index.
Moreover, the horizontal displacement (HD) at the top of the tower section is regarded as the dynamic response index in this section, which can be calculated by the Newmark- method.
By converting representative samples of wind velocity into wind loads, the dynamic response of communication tower structures can be analyzed based on Equation (28). Figure 7 shows the wind load–time-history curve at z9 = 51 m in the time domain [0, 512 s]. The wind load–time-history curve, which is perfectly compatible with the amplitude of the same representative wind velocity sample in Figure 2, fully illustrates the randomness of typhoons.
Figure 7.
HD at z9 = 51 m in the time domain [0, 512 s] in the case of m = 10 and 233: (a) DR-POD; (b) DR-WSR.
Figure 8 shows the maximum HD at the top of the communication tower in the cases of m = 10 and 233. It is obvious that the maximum HD of the structure caused by stochastic excitation simulated by DR-POD and DR-WSR maintains a largely consistent trend, proving the effectiveness and consistency of the two DR methods in engineering applications. In addition, Figure 8 also demonstrates the successful transformation of stochastic dynamic properties from elementary random variables to wind-induced dynamic responses of structures, revealing the enormous applicability of the DR method in structural dynamic calculations. Figure 8 and Figure 9 both demonstrate that the DR method has good robustness and can be widely applied in structural wind-induced dynamic response analysis.
Figure 8.
The maximum HD at the top of the communication tower in the case of m = 10 and 233: (a) DR-POD; (b) DR-WSR.
Figure 9.
Mean and St. D of structural response: (a) DR-POD; (b) DR-WSR.
Although the dynamic response of the communication tower structure has been analyzed above, the maximum HD of a single sample is insufficient for providing a reference for the disaster-resistant reliability design of the structure. Therefore, the PDEM will be further introduced to calculate the wind-resistance reliability of the communication tower structure from the perspective of probability density, while checking the consistency of the two DR methods.
4.3. Wind-Resistant Reliability Analysis of Communication Tower
In the dynamic reliability analysis of an engineering structure, the randomness of the dynamic system comprises both the randomness of the external load and the randomness of the structure itself. Here, only the randomness of wind load is taken into account, and the structure is regarded as deterministic. Therefore, in the dynamic system shown in Equation (28), any interested physical quantity of the system response can be expressed as:
where denotes the increment of response in unit time.
The generalized PDEM for dynamic systems derived by Li and Chen [24,37] can be written as follows:
where denotes the deterministic representative point set of groups of the basic random variable .
In addition, the corresponding initial conditions of the Equation (32) are as follows:
where denotes the deterministic initial value at time ; denotes the Dirac function.
Finally, the probability density function (PDF) of can be obtained by the finite difference method:
where denotes the distribution domain of elementary random variable .
The maximum HD angle at the top of the tower section is chosen as the reliability index according to reference [3], and it is defined as follows:
where j denotes the section of the communication steel tower. denotes the HD at the top of the j-th section. denotes the height of the j-th section.
This study only considers the probability of the first exceedance failure of the structure. If the failure threshold of the structure is defined as , the wind-resistance reliability of the j-th section of the structure can be defined as [24,37]
where denotes the equivalent extreme value of the HD angle at the top of the j-th tower section in the time domain [0, T]. denotes the PDF of the .
Finally, the global wind-resistance dynamic reliability of the communication steel tower can be calculated by [38]
where ; denotes the PDF of the .
It should be noted that the PDF can be obtained by defining a virtual stochastic process, and its specific implementation is detailed in [37]. Furthermore, according to Equations (36) and (37), the wind-resistance dynamic reliability and in the time domain [0, 512 s] can be calculated.
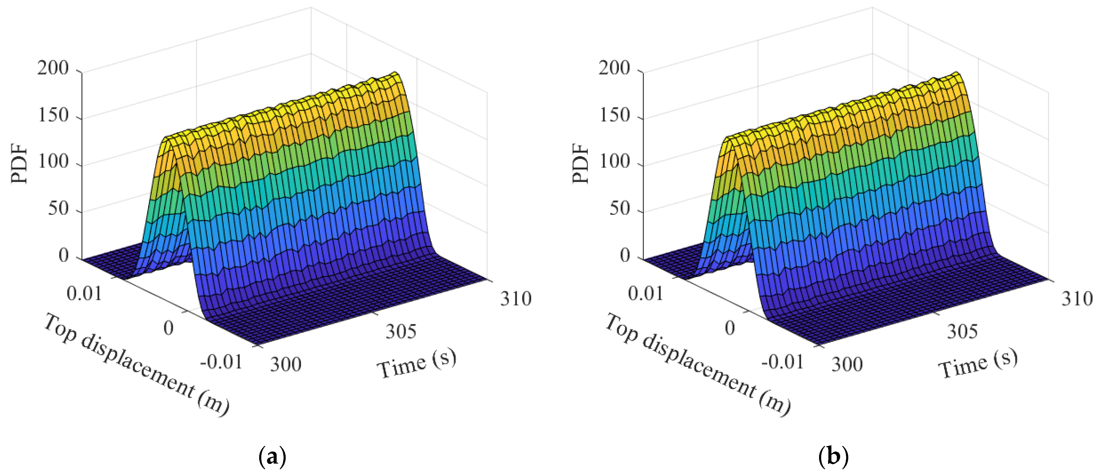
According to the current national standard of the People’s Republic of China Design Standard for [3], only the horizontal displacement angle of the tower top 1/75 is taken as the threshold in this study. If the horizontal displacement angle is converted into the horizontal displacement of the tower top, the corresponding threshold is 0.8 m. Figure 9 shows the wind-resistance reliability of the communication tower structure calculated by two DR models under a threshold of 0.8 m.
Obviously, the PDF and cumulative distribution function (CDF) curves obtained by combining the two DR probabilistic models shown in Figure 10 and Figure 11 with the PDEM have remarkably similar consistency, demonstrating conclusively that the introduction of the DR method by POD and WSR did not have a negative effect on the dynamic reliability analysis of the communication tower structure. The structure in this study performs safely in the evaluation of wind-resistance reliability when there are 233 samples and 10 load points.
Figure 10.
Probability density evolution surfaces of two DR probabilistic models: (a) DR−POD; (b) DR−WSR.
Figure 11.
PDF and CDF curves of two DR probabilistic models in the cases 233, m = 10, and threshold of 0.8 m: (a) PDF; (b) CDF.
5. Conclusions and Remarks
By introducing the DR methods into POD and WSR, two improved large-scale structural stochastic wind field dimension-reduction probabilistic models were developed in this study. The simulation accuracy and efficiency were evaluated when the proposed model from the present study was used to simulate stochastic wind fields under the two scenarios of taking different representative samples at 10 load sites and 233 samples at various load points. In order to evaluate the wind-resistance reliability of a communication tower structure, the PDEM was integrated with the two DR models, respectively. Some findings and suggestions are as follows:
- (1)
- In order to provide the simulated samples with known probability information, dimension-reduction techniques that reduce the number of random variables can be integrated with the NTM. Meanwhile, with fewer representative samples, the improved DR-POD and DR-WSR can effectively simulate the stochastic wind field of large-scale spatial structures.
- (2)
- When there are more than 30 load points in a random wind field, DR-WSR is obviously a better option than DR-POD. However, DR-POD is unquestionably superior in terms of simulation accuracy and efficiency when only a small number of simulation points in a stochastic wind field are required.
- (3)
- In the structural dynamic analysis, the dimension-reduction based on the POD and the WSR is extremely valid. Additionally, it can achieve a quantitative evaluation at the level of probability of wind-resistant dynamic reliability in conjunction with the PDEM, which might provide a solid foundation for an optimization design that is relatively accurate for large-scale complex structures like communication towers.
- (4)
- For some towers equipped with directional antennas, some serviceability conditions may be dysfunctional without the occurrence of tower damage. However, according to the Standard design for high-rise structures (GB 50135-2019), this paper only selects tower top displacement as the evaluation index for structural reliability. In addition, it should be noted that the method is suited to structures that respond linearly, while this is not the case with tall guyed masts.
Author Contributions
Conceptualization, L.Y.; methodology, L.Y. and B.X.; software, B.X.; validation, L.Y. and B.X.; formal analysis, L.Y.; resources, Z.L.; data curation, B.X.; writing—original draft preparation, L.Y. and B.X.; writing—review and editing, Z.L. and B.X.; visualization, L.Y.; supervision, Z.L.; project administration, Z.L.; funding acquisition, Z.L. All authors have read and agreed to the published version of the manuscript.
Funding
This work was supported by the National Natural Science Foundation of China (Grant No. 51978543), State Key Laboratory of Precision Blasting and Hubei Key Laboratory of Blasting Engineering, Jianghan University (No. PBSKL2022C07), and the Plan of Outstanding Young and Middle-aged Scientific and Technological Innovation Team in Universities of Hubei Province [Project No. T2020010]. The above foundations are highly appreciated.
Data Availability Statement
The data presented in this study are available on request from the corresponding author.
Conflicts of Interest
The authors declare no conflict of interest.
References
- Zhou, M.Y.; Meng, X.R.; Tian, L.; Jin, Q.T.; Liu, J.C. Shape memory alloy-spring pendulum for vibration suppression of wind-induced transmission tower-line systems. Int. J. Struct. Stab. Dyn. 2023, 23, 2350168. [Google Scholar] [CrossRef]
- Liu, Z.H.; Fang, G.S.; Zhao, L.; Ge, Y.J. Uncertainty propagation of turbulence parameters for typhoon and Non-typhoon winds in buffeting analysis of Long-span bridges. Eng. Struct. 2023, 291, 116491. [Google Scholar] [CrossRef]
- GB 50135-2019; Standard for Design of High-Rising Structures. China Planning Press: Beijing, China, 2019. (In Chinese)
- Simiu, E.; Scanlan, R.H. Wind Effects on Structures, 3rd ed.; John Wiley & Sons: New York, NY, USA, 1996. [Google Scholar]
- Shinozuka, M. Monte Carlo solution of structural dynamics. Comput. Struct. 1972, 2, 855–874. [Google Scholar] [CrossRef]
- Shinozuka, M. Stochastic fields and their digital simulation. In Stochastic Methods in Structural Dynamics; Schuëller, G.I., Shinozuka, M., Eds.; Springer: Dordrecht, The Netherlands, 1972; pp. 93–133. [Google Scholar]
- Shinozuka, M.; Jan, C.M. Digital simulation of random processes and its applications. J. Sound Vib. 1972, 25, 111–128. [Google Scholar] [CrossRef]
- Deodatis, G. Non-stationary stochastic vector processes: Seismic ground motion applications. Probabilist. Eng. Mech. 1996, 11, 149–167. [Google Scholar] [CrossRef]
- Di Paola, M.; Gullo, I. Digital generation of multivariate wind field processes. Probabilist. Eng. Mech. 2001, 16, 1–10. [Google Scholar] [CrossRef]
- Di Paola, M. Digital simulation of wind field velocity. J. Wind Eng. Ind. Aerodyn. 1998, 74, 91–109. [Google Scholar] [CrossRef]
- Yang, J.N. Simulation of random envelope processes. J. Sound Vib. 1972, 21, 73–85. [Google Scholar] [CrossRef]
- Deodatis, G. Simulation of ergodic multivariate stochastic processes. J. Eng. Mech. 1996, 122, 778–787. [Google Scholar] [CrossRef]
- Chen, L.; Letchford, C.W. Simulation of multivariate stationary Gaussian stochastic processes: Hybrid spectral representation and proper orthogonal decomposition approach. J. Eng. Mech. 2005, 131, 801–808. [Google Scholar] [CrossRef]
- Deodatis, G.; Shinozuka, M. Simulation of seismic ground motion using stochastic waves. J. Eng. Mech. 1989, 115, 2723–2737. [Google Scholar] [CrossRef]
- Benowitz, B.A.; Deodatis, G. Simulation of wind velocities on long span structures: A novel stochastic wave based model. J. Wind Eng. Ind. Aerodyn. 2015, 147, 154–163. [Google Scholar] [CrossRef]
- Carassale, L.; Solari, G. Wind modes for structural dynamics: A continuous approach. Probabilist. Eng. Mech. 2002, 17, 157–166. [Google Scholar] [CrossRef]
- Liu, Z.J.; Liu, W.; Peng, Y.B. Random function based spectral representation of stationary and non-stationary stochastic processes. Probabilist. Eng. Mech. 2016, 45, 115–126. [Google Scholar] [CrossRef]
- Liu, Z.J.; Liu, Z.X.; Peng, Y.B. Dimension reduction of Karhunen-Loeve expansion for simulation of stochastic processes. J. Sound Vib. 2017, 408, 168–189. [Google Scholar] [CrossRef]
- Pham, L.; Holmes, J.D.; Yang, J. Reliability analysis of Australian communication lattice towers. J. Constr. Steel Res. 1992, 23, 255–272. [Google Scholar] [CrossRef]
- Carril, C.F., Jr.; Isyumov, N.; Brasil, R.M. Experimental study of the wind forces on rectangular latticed communication towers with antennas. J. Wind Eng. Ind. Aerodyn. 2003, 91, 1007–1022. [Google Scholar] [CrossRef]
- Song, C.L.; Shafieezadeh, A.; Xiao, R.C. High-dimensional reliability analysis with error-guided active-learning probabilistic support vector machine: Application to wind-reliability analysis of transmission towers. J. Struct. Eng. 2022, 148, 1–13. [Google Scholar] [CrossRef]
- Freudenthal, A.M. The safety of structures. ASCE Trans. 1947, 112, 125–159. [Google Scholar] [CrossRef]
- Li, J. Fundamental of Structural Reliability Analysis; Science Press: Beijing, China, 2021. [Google Scholar]
- Li, J.; Chen, J.B. The probability density evolution method for dynamic response analysis of non-linear stochastic structures. Int. J. Numer. Meth. Eng. 2006, 65, 882–903. [Google Scholar] [CrossRef]
- Liu, Z.J.; Yan, L.; Liu, Y.; Ruan, X.X. Two dimension-reduction probabilistic models for simulating nonstationary turbulent wind fields. Probabilist. Eng. Mech. 2023, 72, 103435. [Google Scholar] [CrossRef]
- Shinozuka, M.; Deodatis, G. Simulation of multi-dimensional Gaussian stochastic fields by spectral representation. Appl. Mech. Rev. 1996, 49, 29–53. [Google Scholar] [CrossRef]
- Chen, X.; Kareem, A. Proper orthogonal decomposition-based modeling, analysis, and simulation of dynamic wind load effects on structures. J. Eng. Mech. 2005, 131, 325–339. [Google Scholar] [CrossRef]
- Liu, Z.J.; He, C.G.; Liu, Z.X.; Lu, H.L. Dimension reduction model for two-spatial dimensional stochastic wind field: Hybrid approach of spectral decomposition and wavenumber spectral representation. Probabilist. Eng. Mech. 2020, 60, 103052. [Google Scholar] [CrossRef]
- Li, J.; Chen, J.B. The number theoretical method in response analysis of nonlinear stochastic structures. Comput. Mech. 2007, 39, 693–708. [Google Scholar] [CrossRef]
- Davenport, A.G. The spectrum of horizontal gustiness near the ground in high winds. Q. J. R. Meteorol. Soc. 1961, 87, 194–211. [Google Scholar] [CrossRef]
- Shiotani, M.; Iwatani, Y. Correlations of wind velocities in relation to the gust loadings. In Proceedings of the 3rd International Conference on Wind Effects on Buildings and Structures, Tokyo, Japan, 18–19 October 1971; pp. 57–67. [Google Scholar]
- Zerva, A. Seismic ground motion simulations from a class of spatial variability models. Earthq. Eng. Struct. Dyn. 1992, 21, 351–361. [Google Scholar] [CrossRef]
- GB 50009-2012; Load Code for the Design of Building Structures. China Building Industry Press: Beijing, China, 2012. (In Chinese)
- Liu, Z.J.; Liu, Z.X.; Chen, D.H. Probability density evolution of a nonlinear concrete gravity dam subjected to non-stationary seismic ground motion. J. Eng. Mech. 2018, 144, 04017157. [Google Scholar] [CrossRef]
- Liu, M.; Gorman, D.G. Formulation of Rayleigh damping and its extensions. Comput. Struct. 1995, 57, 277–285. [Google Scholar] [CrossRef]
- Liu, Z.J.; Liu, Z.H. Random function representation of stationary stochastic vector processes for probability density evolution analysis of wind-induced structures. Mech. Syst. Signal Process. 2018, 106, 511–525. [Google Scholar] [CrossRef]
- Li, J.; Chen, J.B. Stochastic Dynamics of Structures; John Wiley & Sons: Clementi, Singapore, 2009. [Google Scholar]
- Liu, Z.H.; Liu, Z.J.; He, C.G.; Lu, H.L. Dimension-reduced probabilistic approach of 3-D wind field for wind-induced response analysis of transmission tower. J. Wind Eng. Ind. Aerodyn. 2019, 190, 309–321. [Google Scholar] [CrossRef]
Disclaimer/Publisher’s Note: The statements, opinions and data contained in all publications are solely those of the individual author(s) and contributor(s) and not of MDPI and/or the editor(s). MDPI and/or the editor(s) disclaim responsibility for any injury to people or property resulting from any ideas, methods, instructions or products referred to in the content. |
© 2023 by the authors. Licensee MDPI, Basel, Switzerland. This article is an open access article distributed under the terms and conditions of the Creative Commons Attribution (CC BY) license (https://creativecommons.org/licenses/by/4.0/).










