Numerical Study on Seismic Behavior of Demountable Joints Consisting of Reinforced Concrete Columns and Steel Beams
Abstract
:1. Introduction
2. Experiment Investigation
2.1. Experimental Design
2.1.1. Specimen Specification Preparation
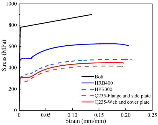
2.1.2. Material Properties
2.2. Test Setup and Loading Condition
3. FEM Simulation
3.1. Model Description
3.2. Model Validation
3.2.1. Failure Pattern
3.2.2. The Hysteresis Curves and Skeleton Curves
3.2.3. Ductility
3.2.4. Energy Dissipation
4. FEM Parameter Analysis
4.1. Steel Strength of Some Connector
4.2. Bolt Strength
4.3. Steel Beam Flange Thickness
5. Shear Capacity Analysis
6. Conclusions
- (1)
- According to the experimental results, the bearing capacity and seismic performance of the three new demountable RCS joints are superior to those of the control group of non-demountable RCS joints. The specimens RCS-1 and RCS-2 have better deformation capabilities than the RCS-0 specimen, with ductility coefficients that are increased by 69% and 109%, respectively, while the difference in the deformation capability between the RCS-3 specimen and the RCS-0 specimen is not significant, with positive and negative loading direction ductility coefficients differing by 14.68% and 10.04%, respectively. The same trend is observed in the energy dissipation capacity of the joints, as the deformability of the joints determines the cumulative energy dissipation of the joints.
- (2)
- The established finite element model can simulate the performance of non-demountable RCS joints (RCS-0) and demountable RCS joints (RCS-1, RCS-2, and RCS-3) under cyclic loading. The finite element model can effectively reproduce the experimental results and meet the accuracy requirements in terms of joint failure mode, hysteresis behavior, ductility, and energy dissipation.
- (3)
- The finite element model validated using the experimental results was further analyzed via parameter studies. The results showed that the hysteretic response of demountable joints RCS-1 and RCS-2 is not sensitive to the strength of the detailed connections, while the bolt strength has no significant influence on the hysteretic response of demountable joints RCS-1 and RCS-3.
- (4)
- The flange thickness of the steel beam has a significant effect on the bearing capacity of the demountable joints. As the flange thickness increases from 10 mm to 24 mm, the ultimate bearing capacity of each joint increases by 9.44%, 10.02%, and 8.24%, respectively. Compared with the skeleton curve, the cross-sectional design of the experimental steel beam is appropriate and can fully exert its flexural bearing capacity.
- (5)
- This study referred to four different calculation methods recommended in the literature to check whether the shear capacity of the nodal core area met the requirements. By comparing the theoretical calculation results with the experimental and FEM predicted values, it is found that the calculation results for specimens RCS-1 and RCS-2 are higher than the experimental and predicted values because the cylindrical steel plates in these specimens have not yielded. On the other hand, the Para method does not consider the contribution of the cylindrical steel plate to the shear strength of the joint core area, so the calculated result obtained from the formula is underestimated. For the RCS-3 specimen, a four-sided plate is added to the outer ring of the steel plate hoop according to the calculation requirements of ANSI/AISC 358-16, and the calculated shear capacity of the joint core area is overestimated.
- (6)
- The new demountable RCS joints are not only far superior to ordinary joints in terms of seismic performance, but the application of demountable structures in building construction can also achieve the reuse of building materials and reduce the waste of dismantling, which greatly improves the efficiency of on-site joint construction.
- (7)
- From the experimental damage pattern, it can be found that all three new demountable RCS joints suffer weld tearing, which fails to provide full play to the flexural load bearing capacity of their connection parts. Therefore, in future work, it would be worthwhile to conduct in-depth research on the analysis of the joint load-carrying mechanism on the basis of ensuring welding quality. The enhancement of the seismic performance of RCS frames using new demountable joints and a nonlinear response under seismic loading will be further investigated in the future.
Author Contributions
Funding
Informed Consent Statement
Data Availability Statement
Conflicts of Interest
References
- Figueira, D.; Ashour, A.; Yıldırım, G.; Aldemir, A.; Şahmaran, M. Demountable connections of reinforced concrete structures: Review and future developments. Structures 2021, 34, 3028–3039. [Google Scholar] [CrossRef]
- Yang, Y.; Chen, B.; Su, Y.; Chen, Q.; Li, Z.; Guo, W.; Wang, H. Concrete mix design for completely recycled fine aggregate by modified packing density method. Materials 2020, 13, 3535. [Google Scholar] [CrossRef] [PubMed]
- Yang, Y.; Chen, B.; Zeng, W.; Li, Y.; Chen, Q.; Guo, W.; Wang, H.; Chen, Y. Utilization of completely recycled fine aggregate for preparation of lightweight concrete partition panels. Int. J. Concr. Struct. Mater. 2021, 15, 32. [Google Scholar] [CrossRef]
- Uy, B.; Patel, V.; Li, D.; Aslani, F. Behaviour and design of connections for demountable steel and composite structures. Structures 2017, 9, 1–12. [Google Scholar] [CrossRef]
- Han, D.; Kalantari, M.; Rajabifard, A. Building information modeling (BIM) for construction and demolition waste management in Australia: A research agenda. Sustainability 2021, 13, 12983. [Google Scholar] [CrossRef]
- Van den Berg, M.C. Managing Circular Building Projects. Ph.D. Thesis, University of Twente, Enschede, The Netherlands, 2019. [Google Scholar]
- Fayed, S.; Madenci, E.; Özkiliç, Y.O.; Mansour, W. Improving bond performance of ribbed steel bars embedded in recycled aggregate concrete using steel mesh fabric confinement. Constr. Build. Mater. 2023, 369, 130452. [Google Scholar] [CrossRef]
- Aksoylu, C.; Özkılıç, Y.O.; Bahrami, A.; Yıldızel, S.A.; Hakeem, I.Y.; Özdöner, N.; Başaran, B.; Karalar, M. Application of Waste Ceramic Powder as a Cement Replacement in Reinforced Concrete Beams toward Sustainable Usage in Construction. Case Stud. Constr. Mater. 2023, 19, e02444. [Google Scholar] [CrossRef]
- Rakhshan, K.; Morel, J.C.; Alaka, H.; Charef, R. Components reuse in the building sector—A systematic review. Waste Manag. Res. 2020, 38, 347–370. [Google Scholar] [CrossRef] [PubMed]
- Tingley, D.D.; Davison, B. Design for deconstruction and material reuse. Proc. Inst. Civ. Eng.-Energy 2011, 164, 195–204. [Google Scholar] [CrossRef]
- Özkılıç, Y.O.; Bozkurt, M.B. Numerical validation on novel replaceable reduced beam section connections for moment-resisting frames. Structures 2023, 50, 63–79. [Google Scholar] [CrossRef]
- Özkılıç, Y.O.; Topkaya, C. Extended end-plate connections for replaceable shear links. Eng. Struct. 2021, 240, 112385. [Google Scholar] [CrossRef]
- Özkılıç, Y.O.; Bozkurt, M.B.; Topkaya, C. Mid-spliced end-plated replaceable links for eccentrically braced frames. Eng. Struct. 2021, 237, 112225. [Google Scholar] [CrossRef]
- Wang, J.; Uy, B.; Thai, H.T.; Li, D. Behaviour and design of demountable beam-to-column composite bolted joints with extended end-plates. J. Constr. Steel Res. 2018, 144, 221–235. [Google Scholar] [CrossRef]
- Ataei, A.; Bradford, M.A.; Valipour, H.R. Experimental study of flush end plate beam-to-CFST column composite joints with deconstructable bolted shear connectors. Eng. Struct. 2015, 99, 616–630. [Google Scholar] [CrossRef]
- Ataei, A.; Bradford, M.A.; Valipour, H.R.; Liu, X. Experimental study of sustainable high strength steel flush end plate beam-to-column composite joints with deconstructable bolted shear connectors. Eng. Struct. 2016, 123, 124–140. [Google Scholar] [CrossRef]
- Lin, X.; Li, H.; He, L.; Zhang, L. Experimental study on seismic behavior of the damage-control steel plate fuses for beam-to-column connection. Eng. Struct. 2022, 270, 114862. [Google Scholar] [CrossRef]
- Özkılıç, Y.O. A new replaceable fuse for moment resisting frames: Replaceable bolted reduced beam section connections. Steel Compos. Struct. 2020, 35, 353–370. [Google Scholar]
- Peng, L.F. Study on Hysteretic Behavior of a New Prefabricated Concrete Filled Square Steel Column-Steel Beam Joint. Ph.D. Dissertation, Huaqiao University, Quan Zhou, China, 2020. [Google Scholar]
- Vasdravellis, G.; Valente, M.; Castiglioni, C.A. Dynamic response of composite frames with different shear connection degree. J. Constr. Steel Res. 2009, 65, 2050–2061. [Google Scholar] [CrossRef]
- Valente, M.; Castiglioni, C.A.; Kanyilmaz, A. Dissipative devices for earthquake resistant composite steel structures: Bolted versus welded solution. Bull. Earthq. Eng. 2016, 14, 3613–3639. [Google Scholar] [CrossRef]
- Xiao, J.; Ding, T.; Zhang, Q. Structural behavior of a new moment-resisting DfD concrete connection. Eng. Struct. 2017, 132, 1–13. [Google Scholar] [CrossRef]
- Ding, T.; Xiao, J.; Chen, E.; Khan, A.U.R. Experimental study of the seismic performance of concrete beam-column frame joints with DfD connections. J. Struct. Eng. 2020, 146, 04020036. [Google Scholar] [CrossRef]
- Huang, W.; Hu, G.; Miao, X.; Fan, Z. Seismic performance analysis of a novel demountable precast concrete beam-column connection with multi-slit devices. J. Build. Eng. 2021, 44, 102663. [Google Scholar] [CrossRef]
- Wang, W.; Zhang, X.D.; Chen, J.; Zhou, X.L.; Zhang, B. Repetitive behavior of an advanced demountable bolted shear connection in push-off tests. Constr. Build. Mater. 2023, 362, 129656. [Google Scholar] [CrossRef]
- Malla, P.; Xiong, F.; Cai, G.; Xu, Y.; Larbi, A.S.; Chen, W. Numerical study on the behaviour of vertical bolted joints for precast concrete wall-based low-rise buildings. J. Build. Eng. 2021, 33, 101529. [Google Scholar] [CrossRef]
- He, J.; Suwaed, A.S.H.; Vasdravellis, G.; Wang, S. Behaviour and design of the ‘lockbolt’ demountable shear connector for sustainable steel-concrete structures. Structures 2022, 44, 988–1010. [Google Scholar] [CrossRef]
- Loqman, N.; Safiee, N.A.; Bakar, N.A.; Nasir, N.A.M. Structural behavior of steel-concrete composite beam using bolted shear connectors: A review. MATEC Web Conf. 2018, 203, 06010. [Google Scholar] [CrossRef]
- Cheng, C.T.; Chen, C.C. Seismic behavior of steel beam and reinforced concrete column connections. J. Constr. Steel Res. 2005, 61, 587–606. [Google Scholar] [CrossRef]
- Dung Le, D.; Nguyen, X.H.; Nguyen, Q.H. Cyclic testing of a composite joint between a reinforced concrete column and a steel beam. Appl. Sci. 2020, 10, 2385. [Google Scholar] [CrossRef]
- Zhang, J.; Hu, X.; Gong, S.; Wu, J.; Zhu, W.; Ren, C. Experimental investigation of steel-concrete composite beam to reinforced-concrete column joints with single plate shear connection. Eng. Struct. 2021, 245, 112906. [Google Scholar] [CrossRef]
- Fargier-Gabaldón, L.B.; Parra-Montesinos, G.J.; Wight, J.K. Seismic Behavior of Exterior Reinforced Concrete Wide-Column-to-Steel Beam Joints. ACI Struct. J. 2020, 117, 117–128. [Google Scholar]
- Men, J.; Xiong, L.; Wang, J.; Fan, G. Effect of different RC slab widths on the behavior of reinforced concrete column and steel beam-slab subassemblies. Eng. Struct. 2021, 229, 111639. [Google Scholar] [CrossRef]
- GB 50011-2010; National Standard of the People’s Republic of China. Code for Seismic Design of Buildings. China Construction Industry Press: Beijing, China, 2010.
- Ozkilic, Y.O. The effects of stiffener configuration on stiffened T-stubs. Steel Compos. Struct. 2022, 44, 475–488. [Google Scholar]
- Özkılıç, Y.O. Cyclic and monotonic performance of unstiffened extended end-plate connections having thin end-plates and large-bolts. Eng. Struct. 2023, 281, 115794. [Google Scholar] [CrossRef]
- Özkılıç, Y.O. Cyclic and monotonic performance of stiffened extended end-plate connections with large-sized bolts and thin end-plates. Bull. Earthq. Eng. 2022, 20, 7441–7475. [Google Scholar] [CrossRef]
- GB/T 228.1-2010; National Standard of the People’s Republic of China. Tensile Testing of Metallic Materials Part I: Room Temperature Test Methods. China Construction Industry Press: Beijing, China, 2010.
- JGJ/T 101-2015; National Standard of the People’s Republic of China. Specification for Seismic Testing of Buildings. China Construction Industry Press: Beijing, China, 2015.
- GB 50010-2010; National Standard of the People’s Republic of China. Design Code for Concrete Structures. China Construction Industry Press: Beijing, China, 2010.
- Tao, Y.; Xiao, Z.; Zhao, W. Comparative study on calculation methods of shear capacity of RCS hybrid joints. J. Harbin Inst. Technol. 2022, 1–16. [Google Scholar]
- Cordova, P. Validation of the Seismic Performance of Composite RCS Frames: Full-Scale Testing Analysis and Seismic Design. Ph.D. Dissertation, Stanford University, Stanford, CA, USA, 2005. [Google Scholar]
- Ma, H.W. Study on the Joints of Composite Beam and Continuous Compound Spiral Hoop Reinforced Concrete Column. Ph.D. Dissertation, Xi’an University of Architecture and Technology, Xi’an, China, 2003. (In Chinese). [Google Scholar]
- Parra-Montesinos, G.; Wight, J.K. Modeling shear behavior of hybrid RCS beam-column connections. J. Struct. Eng. 2001, 127, 3–11. [Google Scholar] [CrossRef]
- Nishiyama, I.; Kuramoto, H.; Noguchi, H. Guidelines: Seismic design of composite reinforced concrete and steel buildings. J. Struct. Eng. 2004, 130, 336–342. [Google Scholar] [CrossRef]
- CECS 347-2013; National Standard of the People’s Republic of China. Technical Specification for Constrained Concrete Column Combined Beam Frame Structures. China Construction Industry Press: Beijing, China, 2013.
- ANSI/AISC 358-16; Prequalified Connections for Special and Intermediate Steel Moment Frames for Seismic Applications. AISC: Chicago, IL, USA, 2016.


















| Grade | Sampling Position | /GPa | ||||
|---|---|---|---|---|---|---|
| Q235 | Web and cover plate | 198 | 308.3 | 0.00206 | 450.5 | 0.1598 |
| Flange and side plate | 205 | 254.5 | 0.00217 | 423.2 | 0.1612 | |
| HRB400 | Longitudinal bar | 196 | 479.3 | 0.00213 | 631.2 | 0.1532 |
| HPB300 | Stirrup | 201 | 342.7 | 0.00221 | 487.6 | 0.1956 |
| 8.8 | Bolts | 200 | 780 | 0.00202 | 900 | 0.1360 |
| Specimen ID | RCS-0 | RCS-1 | RCS-2 | RCS-3 |
|---|---|---|---|---|
| Average compressive strength (MPa) | 38.50 | 42.52 | 30.95 | 39.24 |
| Specimen ID | Load Direction | Yield Load | Yield Displacement | Peak Load | Peak Displacement | Ductility Coefficient | |
|---|---|---|---|---|---|---|---|
| Test | RCS-0 | Negative | −94.20 | −16.28 | −125.6 | −30.00 | 1.84 |
| Positive | 52.31 | 13.68 | 69.75 | 30.00 | 2.19 | ||
| RCS-1 | Negative | −74.00 | −12.15 | −98.66 | −70.00 | 5.76 | |
| Positive | 83.93 | 11.67 | 111.9 | 43.29 | 3.71 | ||
| RCS-2 | Negative | −65.64 | −13.44 | −87.52 | −50.00 | 3.72 | |
| Positive | 65.76 | 10.92 | 87.68 | 50.00 | 4.58 | ||
| RCS-3 | Negative | −159.00 | −28.37 | −212 | −60.00 | 2.11 | |
| Positive | 139.36 | 30.46 | 185.81 | 60.00 | 1.97 | ||
| FEM | RCS-0 | Negative | −94.23 | −7.71 | −125.64 | −30.00 | 3.89 |
| Positive | 88.58 | 10.29 | 118.10 | 30.00 | 2.92 | ||
| RCS-1 | Negative | −87.04 | −13.98 | −116.06 | −70.00 | 5.01 | |
| Positive | 87.23 | 14.86 | 116.31 | 70.00 | 4.71 | ||
| RCS-2 | Negative | −71.64 | −7.84 | −95.52 | −50.00 | 6.38 | |
| Positive | 73.64 | 7.95 | 95.19 | 50.00 | 6.29 | ||
| RCS-3 | Negative | −149.30 | −25.22 | −199.06 | −60.00 | 2.38 | |
| Positive | 149.51 | 25.31 | 199.34 | 60.00 | 2.37 |
| Joint Types | RCS-1 | RCS-2 | RCS-3 |
|---|---|---|---|
| Test values | 555.48 | 596.21 | 1128.32 |
| FEM | 583.25 | 667.76 | 1094.47 |
| ASCE | 788.78 | 804.88 | - |
| 1.42 | 1.30 | ||
| 1.35 | 1.21 | ||
| Para | 511.04 | 518.70 | |
| 0.92 | 0.87 | ||
| 0.88 | 0.78 | ||
| 733.23 | 769.11 | ||
| 1.32 | 1.29 | ||
| 1.26 | 1.15 | ||
| CSCE 347:2013 | 1433.29 | 1254.84 | |
| 2.58 | 2.10 | ||
| 2.46 | 1.88 | ||
| AISC | - | 1967.88 | |
| 1.74 | |||
| 1.80 |
Disclaimer/Publisher’s Note: The statements, opinions and data contained in all publications are solely those of the individual author(s) and contributor(s) and not of MDPI and/or the editor(s). MDPI and/or the editor(s) disclaim responsibility for any injury to people or property resulting from any ideas, methods, instructions or products referred to in the content. |
© 2023 by the authors. Licensee MDPI, Basel, Switzerland. This article is an open access article distributed under the terms and conditions of the Creative Commons Attribution (CC BY) license (https://creativecommons.org/licenses/by/4.0/).
Share and Cite
Cai, J.; Deng, Z.; Li, W. Numerical Study on Seismic Behavior of Demountable Joints Consisting of Reinforced Concrete Columns and Steel Beams. Buildings 2023, 13, 2558. https://doi.org/10.3390/buildings13102558
Cai J, Deng Z, Li W. Numerical Study on Seismic Behavior of Demountable Joints Consisting of Reinforced Concrete Columns and Steel Beams. Buildings. 2023; 13(10):2558. https://doi.org/10.3390/buildings13102558
Chicago/Turabian StyleCai, Jianguo, Zhong Deng, and Wei Li. 2023. "Numerical Study on Seismic Behavior of Demountable Joints Consisting of Reinforced Concrete Columns and Steel Beams" Buildings 13, no. 10: 2558. https://doi.org/10.3390/buildings13102558
APA StyleCai, J., Deng, Z., & Li, W. (2023). Numerical Study on Seismic Behavior of Demountable Joints Consisting of Reinforced Concrete Columns and Steel Beams. Buildings, 13(10), 2558. https://doi.org/10.3390/buildings13102558

