Abstract
Individual surveillance methods help identify subtle health risks that may be overlooked in room surveillance. This study aims to investigate campus environmental health issues by tracking university students’ daily exposure processes in their living environment. A field survey was conducted among 58 students at a university in northern China. They were equipped with a “companion data collection device” to record exposure experiences and activity pathways related to light, heat, and air environments. A questionnaire was also administered. Morning exposure to adequate light (Circadian Stimulus ≥ 0.3) increased alertness, but only 57% of undergraduates met this standard, and 67% of those waking up after 8 AM experienced this. People with different preferences chose diverse dining spots, and those favoring “roasted,” “stir-fried,” and “deep-fried” foods encountered higher PM2.5 pollution concentrations during meals. During periods of central heating, there is a trade-off between ventilation and heating efficiency. “Slightly open window” for bedroom ventilation at night resulted in a slight temperature decrease of about 1.2 °C but effectively controlled the increase in CO2 concentrations (about 180 ppm). Companion-type data collection shifts focus from buildings to individuals, providing the means and basis for identifying potential health risks in daily campus life.
1. Introduction
University students, as potential future leaders, politicians, and managers, are increasingly becoming a significant concern in global public health [1]. Many students adopt a new, independent lifestyle away from parental guidance during their university years. The lifestyle choices developed during this phase can become deeply ingrained and challenging to change in the future [1]. Therefore, identifying potential health risks in daily campus life is essential for improving the overall campus experience [2]. These risks originate from various sources, such as environmental pollution and unhealthy behaviors. On the one hand, the high density of university campuses can lead to diverse pollutants emitted by different campus buildings, such as air pollutants, residual chemicals, laboratory emissions, dust, and molds [3,4,5,6,7,8]. On the other hand, students display a range of unhealthy behaviors [9], including unhealthy eating habits, texting while walking, and excessive sitting [10,11,12,13].
With the increasing use of information and communication technology in healthcare [14], numerous individualized digital health monitoring methods have been tested and implemented on campuses across the globe [15]. For example, some devices offer constant individual exposure information, such as air pollution data [16], volatile organic compounds (VOCs), particulate matter (PM) [17,18], and noise levels [19]. Additionally, these devices can be used to examine the links between environmental exposure processes, physiological responses [20], and behavior patterns [21,22]. Digital health monitoring methods have been widely utilized to promote healthy eating and exercise through online programs [23,24], improve thermal comfort in campus environments [25,26], and enhance the psychological well-being of university students [20], among other areas. These technologies utilize individual monitoring methods, identify vulnerable populations, and provide numerous advantages.
A report by the World Health Organization (WHO) emphasizes that universities and student health institutions affiliated with the Organization for Economic Cooperation and Development (OECD) usually develop health policies and strategies for disease prevention and health promotion [27]. However, in campus life, the main challenge in resource-limited environments is proactively detecting potential health risks and implementing timely interventions.
This study was proposed based on a fundamental assumption that identifying health risks associated with environmental exposure should focus primarily on observing daily environmental exposure processes. In the current study, “daily environmental exposure” refers to the environmental conditions accompanying daily life paths. It is worth noting that studies research typically confined the identification of environmental exposure risks to the assessment of different types of room environmental quality and did not adequately consider the comprehensiveness and continuity of daily environmental exposure processes. Moreover, it tends to ignore the potential influence of lifestyle habits on this process.
This study aims to explore potential health problems associated with various phases of campus life, including study, work, eating, and sleep, by comprehensively tracking college students’ daily environmental exposures. A dedicated companion-type data collection system was developed to facilitate data collection. This system allows for the selection of real-time environmental parameters and activity pathways monitored through an Internet of Things (IoT) data collection platform. On this basis, students of different types and ages were recruited as subjects at a university campus in Northern China and followed up in each season. Data collected via questionnaires and field measurements were analyzed to discuss the characteristics of daily environmental exposure and subjective environmental perceptions.
2. Methodology
2.1. Research Design
This study comprehensively investigates university students’ daily environmental exposure process from their daily activity path. Specifically, this work delved into the following aspects: firstly, it explored whether the environmental lighting during learning and working hours was sufficient to sustain an individual’s mental alertness. Secondly, it analyzed the dietary preferences of university students during meal times and evaluated the potential health risks associated with their exposure to the environment. Finally, it investigated the potential impact on health when individuals strike a balance between room temperature and air quality by opening windows and ventilating behaviors during sleep.
A combination of empirical surveys and questionnaires was employed in this research. The research team developed an accompanying data collection system designed to record the daily activity path and environmental exposure conditions (including temperature, humidity, light, CO2, and PM2.5) of school students over a specific period of time and a subjective environmental perception questionnaire was used to provide insights into the students’ subjective perceptions and evaluations of the environment. The descriptions of the specific research methods will be detailed in the subsequent chapters.
2.1.1. The Companion-Type Data Collection System
A companion environmental data collection system was used in this study. The system comprises two portable devices for data collection and an online monitoring platform for remote and real-time data acquisition, as illustrated in Figure 1.
Figure 1.
Schematic diagram of the companion-type wireless automatic data collection system.
In order to accurately capture the effects of habitual environmental exposure, it is crucial to continuously sample multiple environmental parameters in a spatially distributed and time-varying manner. In response to this research need, a portable system was developed to autonomously collect five key environmental quality evaluation indicators, including air temperature, relative humidity, illumination, PM2.5, and CO2 concentrations. The system consists of two modules: Module A (equipped with GPS) is used to collect PM2.5 and CO2 concentrations in the room/space where the carrier is located, and Module B is used to collect indoor environmental parameters, including air temperature, relative humidity, and vertical illuminance, as shown in Figure 2. Vertical illuminance can assess human light-based circadian rhythm stimulation, but sensors need to be worn on the body. To make Module B wearable on the chest, some sensors were transferred to the “satellite module”. Module A was designed to be placed near the personnel activity area and carried in an open backpack position during travel to avoid direct impact from personnel breathing. For data collection accuracy, Table 1 lists the performance parameters of the sensors used in the data collection modules and the requirements according to relevant specifications.
Figure 2.
The IAQ-motion trails module (a) and the light and thermal environment module (b). The placement of sensors and important components is shown.
Table 1.
Performance parameters of sensors.
To ensure the reliability of environmental monitoring data, the collection devices were calibrated before the experiment, and the test results were obtained, as shown in Table 1.
The firmware was embedded in the STM32 microcontroller hardware system and was used to manage the program running in the processor chip. The software development platform used in this system is the ARM RealView MDK platform written in C/C++. With the help of this software, the collected raw data of temperature, humidity, and illuminance were received through the I2C interface, and the collected raw data such as CO2, PM2.5, and GPS positioning information were received through the universal asynchronous receiver/transmitter (UART) interface. In addition, the actual data were obtained by further analysis in the software. In order to reduce the power consumption of the system, the method of multiple measuring and one forwarding was adopted in the software design. In this case, the data collected multiple times were stored in the external EEPROM memory. The communication interface between the 4G communication module and the STM32 was UART, and the STM32 could communicate with the 4G module through the serial port. STM32 sent the collected data to the 4G communication module through the UART interface in JavaScript object notation (JSON) format, and then the 4 G communication module forwarded the data to a cloud platform.
This platform was employed for online monitoring and was developed using IntelliJ IDEA software for Windows. It follows a development model that separates the front-end and back-end and uses the Spring Boot + Vue framework. On the monitoring interface, there are four primary parameter display interfaces (as shown in Figure 1) and other back-end administrative interfaces. Notably, although an innovative data collection system was used in this work, the main attention was not paid to the technical development of this system.
2.1.2. Questionnaire Design
Three surveys were used in this study, as summarized in Table 2. Further details on Questionnaires A and B can be found in Appendix A.
Table 2.
Questionnaires.
The questionnaire was designed with expertise from various fields to ensure the scientific validity and applicability of the questions. Traditional Chinese Medicine Constitution (TCM constitutions) is a method for identifying personal characteristics of Chinese individuals that is proposed by Professor Wang Qi’s team at Beijing University of Chinese Medicine, based on years of clinical evidence and modern medical research methods. Different constitutions correspond to environmental preferences, climatic adaptability, and emotions [28]. Hence, in questionnaire (0), this study used TCM constitutions as the reference indicator to assess environmental adaptability. Classification was based on the questionnaire for the classification of Chinese medicine physique proposed by Wang Qi. [29] (English translation version [30]). The questionnaire comprised 62 items, and reliability and validity tests were conducted by Hui-Ru et al. [31].
Participants used a “health” mobile application to automatically monitor bedtime and wake-up time and then recorded the monitoring results in the questionnaire (A).
In questionnaire (B), the Thermal Sensation Vote (TSV) was assessed using the ASHRAE 7-point scale [32].
2.2. Data Collection
2.2.1. Location and Local Weather
This study was carried out at a university in Dalian, a coastal city in northeast China. The climate in this area is characterized by a combination of monsoon and maritime climate, with hot and humid summers and an average high temperature of 27.3 °C in August and strong winds and cold winters with an average low temperature of −6.8 °C in January. The heating period in this region usually lasts six months, from 5 November to 5 April.
The university covers an area of 218 hectares, with more than 100 buildings distributed in two main areas, including 90 teaching, laboratory, and administrative buildings, two main libraries, 64 student dormitory buildings, and canteens. The distribution map of the university campus is depicted in Figure 3.
Figure 3.
The university campus.
2.2.2. Experimental Procedure
The data were collected in March, August, and October 2021, as well as in December 2022. For essential information regarding this data collection, please refer to Table 3. The survey primarily concentrated on students’ activities on the university premises, including offices, libraries, classrooms, dormitories, and dining establishments. Other occasional visitation sites (e.g., hospitals and administrative buildings) were not extensively investigated. Figure 4 shows some of the spatial environment photos involved in the field survey, and the space size and environmental control conditions are listed in Table 4.
Table 3.
Basic information about the data collections.
Figure 4.
Typical space environments measured in the data collection.
Table 4.
The size and environmental services in the typical spaces on campus.
Participants were instructed to wear data collection devices to monitor their environmental exposure processes for approximately one week. They were required to temporarily remove the devices during activities such as exercise, bathing, or sleeping but to carry them at all other times.
2.2.3. Collection of Environmental Parameters
During the measurement process, participants wore devices that collected data on their daily environmental exposure. The devices were designed to act as companions, as shown in Figure 5. Data were collected at a consistent interval of 1 sample per minute.
Figure 5.
Schematic diagram of the usage of the companion-type wireless automatic data collection system.
2.2.4. Correction for Sensor Placement Effects
- (1)
- Illuminance
In the experiment, illuminance sensors recorded the lighting conditions as perceived by the human eye. However, the sensor was not placed directly in front of the eye for measurement since wearing it would be inconvenient for daily life and work. Photobiological studies commonly use miniature sensors worn on the head or chest [33,34,35]. Therefore, in this study, the illuminance sensor was installed on the surface of the sampling module at the chest level, and preliminary experiments were performed to compare illuminance values between eye level and chest level in different scenarios. The results showed that in open environments such as outdoors and libraries, the relative error of illuminance was within ±4%. However, in confined environments such as offices and dormitories, the relative error increased to within ±7%. Since this error is affected by the particular distribution of light sources in different locations, making a precise correction is impossible. Nevertheless, relevant studies indicate that to observe variations in the effect of illuminance on human circadian rhythms, illuminance values should differ by at least a few hundred lux (e.g., 1000/500/100 lux) [36]. Therefore, it was speculated that the deviation in illuminance recording values caused by wearing the sensor at chest level would not significantly affect the investigation of the impact of light exposure experiences on photobiological rhythms.
- (2)
- Temperature
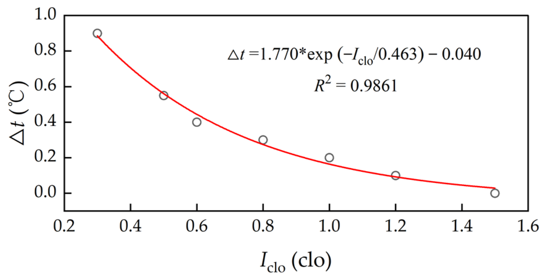
Placing temperature sensors near the human body results in a slightly higher temperature reading compared to the indoor air temperature. As the thickness of clothing increases, the difference between the temperature readings from the sensor and the indoor air temperature gradually decreases. As can be seen in Figure 6, under typical office conditions (seated posture, activity level approximately 1.2 met), the difference Δt between the air temperature measured at the sensor placement location and the air temperature at 2 m from the body as a function of clothing thermal resistance. The indoor air temperature was obtained from the calculations by subtracting the correction value Δt from the instrument reading.
Figure 6.
Temperature correction with clothing insulation.
- (3)
- PM2.5 and CO2
Participants were asked to carry Device A equipped with PM2.5, CO2, and GPS sensors during their trips. They were instructed to place Device A inside a bag and keep it open. However, the conditions inside the bag might affect the measured environmental conditions. Therefore, this study did not include trip monitoring data to address the problem.
2.2.5. Collection of Activity Path
The portable data collection device was equipped with GPS to record the duration and location of participants’ stay inside the building, as shown in Figure 7. The team set up GPS electronic fences around the perimeter of buildings (mainly including office buildings, libraries, teaching buildings, dormitories, and canteens) within the campus in advance. Participants who carried their devices in and out of the electronically fenced areas were considered to have entered or left the respective buildings. Using the location and time information provided by the GPS, the research team was able to calculate which buildings participants had visited and how long they had stayed. It should be noted that GPS signals may be lost inside buildings, so the device alone cannot determine the exact location of participants within the building. Therefore, participants need to describe their specific room (type, window orientation, device operation, etc.) through Questionnaire B. In addition, room size was measured after the survey.
Figure 7.
Location and duration of participants’ stay.
2.2.6. Participant Selection
- (1)
- Selection Criteria
Eligibility criteria required participants to be currently enrolled students residing on campus. To ensure a comprehensive and diverse sample, the research team first invited potential participants and collected basic information detailed in Table 5. Subsequently, the team conducted a rigorous screening process, striving for gender equity and an equal representation of participants with varying characteristics.
Table 5.
Basic information about the participants (Questionnaire 0).
Participant recruitment strategy included various channels, such as classroom notices, the school’s innovation project training program, and facilitation for students who were already participating in inviting their peers to join the study.
- (2)
- Selection Results
In this work, 58 students were chosen as the participants, including undergraduate and graduate students. There were 30 females and 28 males, ranging in age from 20 to 28 years. These students came from 12 different provinces in China, with 52% from the northern region and 48% from the southern region. Their stay in Dalian varied from six months to seven and a half years. In spring, summer, autumn, and winter, 20, 10, 20, and 8 students participated in the experiment, respectively. Table 6 shows the specific breakdown of participants.
Table 6.
Characteristics of participants.
2.2.7. Distribution and Return of Questionnaire
The participants completed the questionnaires on mobile applications. Table 2 lists the completion times. They were instructed to wait 30 min before completing Questionnaire B to adapt to the environment.
Participants were trained to accurately understand the content of the questionnaire and to complete it according to the requirements before the experiment. The researchers remotely monitored participants’ entry times and questionnaire submissions during the experiment through the data platform. Any data that failed to meet the waiting conditions were marked invalid or excluded, and the relevant participants were contacted to resubmit the surveys. These measures were taken to preserve the integrity of the experimental data.
The experiment ultimately collected 272 responses for Questionnaire A, once per person per day, with a retrieval rate of 100%. Moreover, 1019 responses were collected for Questionnaire B, four times per person per day, for a retrieval rate of 94%.
2.2.8. Ethical Considerations
The university ethics committee reviewed and approved the project based on an ethical assessment report (approval number: DUTIE22051903). Before joining the experiment, each participant and the research team signed a consent form in which the research team promised not to publish any personal information of the participants in any publication and to ensure that all research data would be safely stored.
2.3. Data Analysis Methods
2.3.1. Eye Light Experience and Arousal State in the Morning
Human circadian rhythm system is light-sensitive, and continuous and sufficient light during the day suppresses melatonin secretion, thereby keeping individuals awake [37]. In 2005, Rea et al. [38] established an empirical model to estimate the relationship between the amount of light the human eye receives and its impact on melatonin suppression. They introduced the term “Circadian Stimulus (CS)” as an evaluation metric. This metric takes into account a pupil diameter of 2.3 mm exposed to light for one hour and is influenced by factors such as spectrum, light intensity, exposure duration, and time of exposure. Figueiro et al. [36] investigated the relationship between CS and the alertness of office workers, suggesting that individuals should be exposed to at least one hour of sufficient light (CS ≥ 0.3) in the morning. However, CS values were calculated based on exposure to constant light for one hour, whereas real-world lighting conditions are dynamic. In this study, the average illuminance at a given moment during the previous hour was used to calculate CS values.
In this study, participants’ light exposure experiences (i.e., intensity, exposure time, and duration) were obtained according to a companion-type data collection method. The spectrum used for calculations followed the standards provided by the International Commission on Illumination (CIE), specifically CIE D65 (average daylight) and CIE F3 (white fluorescent light). The CS value calculation process was implemented using a computation program developed by the Lighting Research Center at Rensselaer Polytechnic Institute [39].
Based on these calculations, additional statistical analyses were performed to determine the percentage of individuals who met the criteria of experiencing at least one hour of CS ≥ 0.3 in the morning across a range of demographic and seasonal conditions.
2.3.2. Dietary Preferences and Environmental Exposure during Meal Times
“Mealtime” is an important, yet variable, aspect of daily environmental exposure. Individuals with different dietary preferences may frequent different dining locations, including campus cafeterias and on-campus eateries offering different culinary options.
This experiment focused on the correlation between participants’ dietary choices and the air quality at their dining locations. During the experiment, 272 sets of mealtime data were collected through questionnaire A, which included questions such as, “Did you have breakfast, lunch, and dinner today? The reasons for not eating?” and “What are your dietary choices?”. At the same time, data on participants’ exposure to PM2.5 and CO2 concentrations at mealtimes were collected using a peer-based data collection system. Dietary choices were categorized into five types based on different cooking methods: grilled, stir-fried, deep-fried, vegetarian, and stewed. Participants’ meals often included various cooked foods, and each meal was summarized based on the primary cooking method.
Further statistical analysis was then conducted to evaluate the levels of exposure to PM2.5 and CO2 at mealtimes for participants with different dietary preferences.
2.3.3. Ventilation Behavior and Air Quality during Sleep
The “nighttime sleep environment” is the last link in daily environmental exposure. Dormitories are densely populated and have a long residence time, and Dalian is centrally heated from November to April. During this period, windows are closed for long periods of time to ensure the heating effect. This situation can cause a meager ventilation rate between the indoor and outdoor environments, representing northern China. It has been reported that the CO2 concentration can not only reflect air quality (air age) but also lead to problems such as decreased sleep quality and increased tiredness the next day when exposed to high CO2 concentration (more than 1000 ppm) at night [40]. In this study, dormitories were single-windowed rooms measuring 18–24 m2, equipped with heating but without air conditioning or mechanical ventilation. Students spontaneously intermittently opened windows to renew the indoor air. The different window opening and ventilation behaviors made by the participants when faced with the trade-off between lowering carbon dioxide concentrations and ensuring room temperature.
2.3.4. Statistical Analysis
Multiple statistical tests were performed on different data types to ensure the validity of the measured and questionnaire data. The corresponding statistical tests were selected based on whether the data exhibited discrete and paired features [41], as shown in Figure 8. The analysis was conducted with a set standard level of statistical significance with a p-value of 0.05.
Figure 8.
Selection of statistical analysis.
3. Results
3.1. Daily Rhythms
The average time spent by participants in different spots and their daily activity patterns is depicted in Figure 9. Since most of the participants were post-graduate students, they spent most of their time in their dormitories and offices, as shown in Figure 9a. As shown in Figure 9b, the average waking time in different seasons showed a slight deviation, which may be related to the fact that students must attend classes at 8:00 a.m. In contrast, there was a significant difference in bedtime. During the heating season (winter/spring), the average bedtime of the participants was 22:50 ± 45 min, while in the non-heating season (summer/autumn), the average bedtime was 23:35 ± 38 min. There was a significant difference between the two (t = −3.693, p = 0.003), which also corresponds to the lifestyle of Chinese people who tend to sleep earlier in winter than in other seasons.
Figure 9.
Average time participants spent in different spots during survey. (a) The proportion of time spent in different spots; (b) daily schedule.
3.2. Daily Cumulative Environmental Exposure Characteristics
From the perspective of maintaining health, the amount of light in the working and learning environment affects one’s energy levels, the dietary preferences and exposure to the environment during meal times may pose health risks, and the environmental conditions during sleep may affect the quality of sleep. These are all issues of concern during the companion-type data collection process.
3.2.1. Daylighting and Alertness
This study examines two critical factors impacting light exposure: variations in student population characteristics and seasonal influences. It defines fulfilling the light exposure threshold (CS ≥ 0.3) for at least one hour in the morning (before 12:00 p.m.) as sufficient. Specifically, meeting the requirement of adequate light exposure before 9:00 a.m. suggests that individuals are alert at the start of their study or work. Figure 10 shows the proportion of individuals who meet the requirement of at least 1 h of CS ≥ 0.3 in the morning, depending on population and seasonal conditions.
Figure 10.
Proportion of individuals with CS greater than or equal to 0.3 for at least one hour in the morning. (a) different groups; (b) different seasons.
Figure 10 indicates that less than one-third of undergraduates and less than half of post-graduate students could fulfill their light exposure requirements by 9:00 a.m. However, a majority of undergraduate and nearly all post-graduate students managed to achieve their requirements by 12:00 p.m. This indicates that satisfying the light exposure requirements (CS ≥ 0.3) for one hour in the morning (by 12:00 p.m.) is comparatively more challenging for undergraduate students than for post-graduate students. High-intensity light exposure during the morning road trip had a significant impact on meeting the light requirements by 9:00 a.m. The real-world measurements revealed that undergraduate students tended to arrive at the classroom earlier (around 7:50 a.m.) than post-graduate students who arrived at the faculty room around 8:30 a.m., which resulted in less time being available for the road trip. People who rose early (before 8:00 a.m.) had a better chance of fulfilling their light exposure requirements by 9:00 a.m. than those who got up later (after 8:00 a.m.), with a success rate of 57% compared to 25%, respectively. Seasonal effects influenced the ability to reach light exposure targets by 9:00 a.m., with winter (13%) being the most challenging season and summer (54%) being the easiest, which is consistent with the sunrise time pattern in different seasons. By 12:00 p.m., the highest percentage of people who had fulfilled their light requirements were observed in winter (96%), which was attributed to the low solar altitude angle during this season, allowing sunlight to enter the room more easily.
According to the survey results, 90% of the participants were exposed to sufficient light for an hour in the morning, which proved challenging to achieve in most instances. The study recommends the inclusion of circadian stimulation in the assessment process to ensure human health and improve work performance, as the current measurement of lighting conditions based on work surface illuminance ignores the actual light received by the human eye.
3.2.2. Mealtime: The Correlation between Dietary Choices and Air Quality in Dining Areas
During the survey, the average PM2.5 concentrations in different spots, ranked from high to low, were as follows: canteen (34.3 μg/m3), office (31.9 μg/m3), classroom (29.2 μg/m3), dormitory (25.3 μg/m3), and library (25.0 μg/m3). The average CO2 concentrations, also ranked from high to low, were dormitory (1308 ppm), canteen (1019 ppm), classroom (912 ppm), office (905 ppm), and library (797 ppm). For the purpose of this article, we specifically focus on analyzing the potential health effects of PM2.5 during meals and CO2 concentrations during bedtime on the participants.
Figure 11 shows the PM2.5 and CO2 exposure levels of participants in the dining area during the survey period based on different dietary choices. Stir-fried food was the most popular choice among participants (31%), followed by stewed (24%) and vegetarian (23%). Participants with different dietary characteristics selected dining areas with varying levels of PM2.5 exposure. The highest average value was for the “roasted” category, which was 41 ± 24 (SD) μg/m3, followed by the most commonly chosen “stir-fried” category, which was 36 ± 22 μg/m3. “Vegetarian” and “stewed” had relatively lower levels, at 24 ± 19 μg/m3 and 23 ± 16 μg/m3, respectively. It is worth noting that the PM2.5 exposure levels in the dining areas chosen by participants with the dietary characteristics of “roasted,” “stir-fried,” and “deep-fried” exceeded 25 μg/m3 (the recommended value of the 2021 WHO Global Air Quality Guidelines, 99th percentile, i.e., 3–4 exceedance days per year) on average during the measurements. Additionally, there were no significant differences in CO2 exposure levels among participants with different dietary choices.
Figure 11.
PM2.5 and CO2 exposure levels of participants with different dietary choices during meal times (dining area), with the proportion of dietary choices and number of reports in parentheses.
3.2.3. Nighttime Sleep Period: Air Environment and Bedtime Window Opening Behavior
During the experiment, 272 reports of the nighttime window opening and sleep duration were collected through questionnaires. Considering the impact of differences in the number of people in the dormitories, 22 unrepresentative reports from single-person dormitories (according to the actual number of residents during the survey period) were excluded, and 144 reports (quadruple room) and 106 reports (triple room) were included in the final evaluation. At the same time, the corresponding environmental exposure data were obtained through the companion-type data collection module. According to the participants’ different window opening and ventilation behaviors, the group that closed the windows and slept (considering the actual living scenario, the closed window behavior in the experiment was defined as including “completely closed” and “Slightly open”) was referred to as Group A, and the group that opened the windows and slept (excluding “Slightly open”) was referred to as Group B.
Figure 12 shows the concentration of CO2 in the bedroom before and after sleep. At the same time, Table 7 further distinguishes the effects of the degree of window opening and regulation methods on CO2 concentration and room temperature before and after sleep. In winter, Group A accounted for 87%. Completely closing the windows during sleep (67%) led to an average increase of 80% (about 930 ppm) in CO2 concentration and a decrease of 1% (about 0.2℃) in average room temperature before and after sleep. Choosing “Slightly open” (20%) effectively controlled CO2 concentration, which only increased by 10% (about 180 ppm), but at the cost of a 6% decrease (about 1.2 °C) in average room temperature. Regarding the window opening and closing method, 60% of the participants chose “intermittent on” (meaning records of both open and closed windows during sleep). In summer, 100% of the participants decided to sleep with the windows open, resulting in an average decrease of 31% (about 330 ppm) in CO2 concentration and a decrease of 3% (about 0.8 °C) in average room temperature before and after sleep. Although the nighttime outdoor temperature is similar in spring and autumn, the window-opening behavior is quite different. In spring, most people chose to close the windows while sleeping (Group A, 73%); in autumn, nearly half of the people decided to sleep with the windows open (Group B, 51%). Further statistical analysis showed no reports of window openings from north-facing rooms (facing the prevailing wind direction) during winter, indicating that the participants avoided opening the windows facing the dominant winter wind direction. Although the quadruple room requires more ventilation to reduce CO2 concentration than the triple room, in the transition season (spring/autumn), the proportion of window opening while sleeping (Group B) in the triple room was about 30% higher than that in the quadruple room, while the proportion of “intermittent on” in the triple room was about 20% higher than that in the quadruple room. In this test, more people in the bedroom did not encourage window-opening behavior, possibly due to considerations for others rather than purely for environmental needs. Further research is needed to guide the role of window openings and ventilation in obtaining a good sleep environment.
Figure 12.
During the investigation, participants were exposed to CO2 before and after sleeping at night.
Table 7.
Changes in indoor environmental parameters before and after sleep using different window ventilation methods.
3.3. Adaptability to Environment (TCM Constitutions) and Clothing, Environmental Acceptability
During the experiment, participants of different constitutions were given a thermal sensation vote (TSV) from Questionnaire (B) four times a day, totaling 1019 votes. The environmental exposure process during the participants’ testing period was considered as a whole, and the overall environmental acceptability was evaluated using an average TSV value.
The thermal sensation voting of participants with different constitutions is shown in Table 8. As shown in Table 8, the overall average level of sensation voting for different seasons was −0.16 ± 1.00 (winter), −0.08 ± 0.73 (spring), 0.47 ± 0.79 (summer), and −0.34 ± 0.99 (autumn). Among all types of constitution participants, the thermal sensation evaluation of BC participants was closer to neutral in each season, and they wore less clothing indoors in winter. Although QDC participants wore the warmest clothing indoors during winter (1.32 clo) and the coolest clothing during summer (0.38 clo), their thermal sensation evaluation was further from neutral to the overall level, demonstrating poor tolerance to both cold and heat. The general voting reflected that the thermal sensation in spring and autumn was colder, but participants with a YIDC felt the environment was warmer (0.38 ± 0.19 in spring and 0.40 ± 0.27 in autumn).
Table 8.
Thermal sensation votes of participants with different TCM constitutions.
3.4. Lunchtime Nap: The Impact of Lunchtime Nap on Environmental Acceptability
During the investigation, it was found that some participants took lunchtime naps. These participants usually chose to take a nap for 0.5 to 1.5 h after lunch. Figure 13 shows the thermal sensation votes of participants who took a lunchtime nap and those who did not during the afternoon working period. The figure includes 157 evaluations with a lunchtime nap and 102 evaluations without a lunchtime nap. As shown in Figure 13, participants who took a lunchtime nap during all survey months had thermal sensation votes that were closer to neutrality than those who did not take a lunchtime nap. The mean thermal sensation votes for participants who took a lunchtime nap were as follows: spring (−0.22 ± 0.79), summer (0.00 ± 1.00), autumn (−0.16 ± 0.75), and winter (−0.11 ± 0.96). The mean thermal sensation votes for participants who did not take a lunchtime nap were as follows: spring (−0.64 ± 0.78), summer (0.54 ± 1.00), autumn (−0.29 ± 1.14), and winter (−0.40 ± 0.70). In particular, there was a significant difference in the impact of a lunchtime nap on the thermal sensation vote in the spring, with Z = −2.391, p = 0.017.
Figure 13.
During the survey, lunchtime nap and non-lunchtime nap participants voted on their thermal sensation in the afternoon. * Means p < 0.05.
4. Discussion
In this study, a database reflecting the real environmental exposure of students during the survey period was obtained by using a simultaneous survey method, a questionnaire, and a matching type of environmental parameter collection equipment. From the perspective of the daily exposure process, some typical problems of campus life in different activities (study and work, dining, and sleep) were analyzed.
4.1. Applicability and Limitations of the Companion-Type Data Collection Method
This study adopts an innovative perspective that emphasizes the importance of observing the process of daily environmental exposure when assessing health risks. In order to achieve this goal, environmental monitoring equipment has shifted from traditional sentinel spatial monitoring to companion-type monitoring methods. This reorientation of data collection methods has reshaped the traditional view of problem analysis.
Regarding the light environment, traditional approaches mainly focus on visibility, safety, and glare reduction to optimize indoor lighting. In contrast, companion-type monitoring is better suited to analyzing the impact of light exposure on individual physiological rhythms and alertness, among other factors, to enhance the overall health experience.
With respect to the thermal environment, companion-type monitoring primarily records an individual’s history of heat exposure. However, it is worth noting that radiant temperature is typically used for room-level assessments and may not be suitable for individual sensors. Therefore, the lack of radiant temperature information may pose challenges in calculating the most current comfort assessment indices. Further research is needed to explore how to incorporate radiant temperature into the framework of individual monitoring methods.
In terms of air quality, traditional approaches usually require pre-selecting monitoring locations before starting the study. However, companion-type data collection methods may introduce issues related to the correlation between location selection and air quality. Location choices may closely relate to individual characteristics, lifestyles, or preferences. This presents interesting opportunities for future research.
Most importantly, companion-type data collection methods introduce a new dimension: “pathways.” Pathway data consider the environment and an individual’s behavior and activity patterns in specific environments. This allows researchers to gain a deeper insight into the differences between individuals, such as why some people may be exposed to higher environmental risks while others are not. Nevertheless, there are limitations to this approach as each study participant has unique characteristics in terms of environmental exposure, which may not be amenable to statistical analysis.
4.2. Discoveries of Daily Environmental Exposure Characteristics
Here, a companion-type environmental data collection system employed was to track the environmental exposure experiences of university students throughout the day over a certain period. This study aimed to identify potential environmental health issues and assess individual differences in environmental perception.
Firstly, the study investigated whether light exposure in the morning was sufficient for vigilance. Morning exposure to sufficient light for at least 1 h (CS ≥ 0.3) met the lighting requirement for vigilance. It was found that graduate students were more likely to meet this requirement compared to undergraduate students, with achievement rates of 92% and 57%, respectively. Early risers (≤8:00 a.m.) were also more likely to meet the morning light exposure requirement before 9:00 a.m. compared to late risers (>8:00 a.m.), with achievement rates of 57% and 25%, respectively. Of all the seasons, the most challenging was meeting the morning light exposure requirement by 9:00 a.m. in the winter (achievement rate of only 13%). The results indicate that over half of the university students did not receive enough morning light before 9:00 a.m., which negatively impacted their morning alertness. Additionally, less than 90% of students meet the required lighting conditions before 12:00 p.m. A study by Ignacio Acosta et al. [42] in educational buildings suggests that rooms with low reflectance on interior surfaces or work surfaces tend not to provide appropriate CS values (CS ≥ 0.3), regardless of window size, orientation, or location. Thus, it is recommended to prioritize high reflectance on interior surfaces, especially when selecting colors for work surfaces in classroom design. Furthermore, a study by Irena Iskra-Golec et al. [43] indicates that exposure to intermittent bright light (IBL) during the day has a significant impact on improving task performance compared to ordinary room lighting (ORL) conditions. This finding further supports the notion that early risers are more likely to fulfill lighting requirements because they have more opportunities to experience outdoor light exposure during their commute.
Secondly, the study explores whether there are health risks associated with dietary preferences and environmental exposure during meal times. Participants with different dietary preferences were likely to eat frequently at different dining locations. In this survey, “stir-fried” food was the most common choice among participants, accounting for 31%. The study observed that participants who selected heavy-flavored cuisines such as “roasted,” “stir-fried,” and “deep-fried” tended to have higher PM2.5 exposure levels in their chosen dining locations. In contrast, those who chose lighter foods such as “vegetarian” and “stew” had lower exposure levels. This trend suggests that individuals who prefer Chinese-style “heavy-oil, heavy-flavor” dishes are more likely to be affected by higher PM2.5 concentrations in their dining environments. Given the specificity and complexity of Chinese cooking, air pollution caused by Chinese cooking may be more severe than that caused by Western cooking. [44,45]. Some traditional Chinese cooking methods (e.g., stir-frying, pan-frying, and deep-frying) were found to produce high levels of fine particulate matter (PM2.5) at temperatures exceeding 170 °C. Research by Tom Deliens et al. [46] suggests that the university years are considered to be a critical period of change in students’ dietary behavior. Meanwhile, in addition to individual dietary preferences, factors such as price and convenience are also considered to be important factors in eating behavior. These research findings should be considered as the first step in implementing a healthy dietary program for students to improve their dietary behavior.
Next, this study reveals that the average TSV of participants who napped was close to “neutral” in all seasons compared to those who did not nap. This phenomenon suggests that taking a brief nap after lunch seems to positively impact participants’ comfort levels during the afternoon work period. Medically relevant studies have found that an hour-long nap can have a positive impact on health, performance, and stress reduction [47,48]. Therefore, ensuring a midday nap in students’ daily lives is vital for both comfort and health.
Finally, air quality during the sleep period was examined. During the central heating season, the habit of keeping windows closed while sleeping leads to a rapid increase in CO2 concentration in the dormitory during sleep. In winter, when faced with the trade-off between ventilation and ensuring heating effectiveness, the “Slightly open” method slightly lowers the average room temperature by approximately 1.2 °C. However, it effectively controls CO2 concentration (increasing by about 180 ppm). These findings suggest that appropriate window opening width can slightly lower indoor temperatures but significantly reduce CO2 concentrations. Research by Zhangping Lei et al. [49] supported this view and calculated that once the number of students per dormitory exceeds eight, window ventilation alone may not be able to meet indoor air quality requirements.
Investigations of individual differences in participants have shown variations in the tolerance of cold and hot environments among individuals with different traditional Chinese medicine (TCM) constitutions. BC and QDC are two extreme examples. Even though participants with lower adaptability constitutions (QDC) dress the warmest indoors during winter (1.32 clo) and the coolest during summer (0.38 clo), they still perceived the indoor environment to be colder in winter and hotter in summer compared to the overall average. Medical-related studies have found differences in metabolism rates and heat tolerance between BC and QDC constitution individuals [50], which could be physiological reasons for the differences observed. Regarding heat preference, a summer study by JIAN Yiwen et al. [51] also verified that individuals with BC constitutions are heat-tolerant, while those with QDC constitutions are heat-sensitive. This study provides an exploratory analysis of the differences in thermal sensation assessment among students with different TCM constitutions, providing a basis for the correlation between TCM constitutions as a method of individual differentiation and thermal comfort.
This study has limitations, including a small participant pool and uneven seasonal distribution. If the study was intended to draw generalizable conclusions, it would be necessary to conduct studies in multiple schools and not attempt to cover so many research questions. Despite the limited number of participants, this study was groundbreaking in that it used an innovative data collection method that allowed for the proactive detection of potential health hazards in the school environment. With the current sample size, this study successfully pinpointed some key issues and demonstrated the effectiveness of the devices.
5. Conclusions
Using the bespoke monitoring system, this study tracked and investigated the continuous companion-type environmental parameters and subjective environmental feelings of students on campus. Although this is a preliminary exploration, the following significant conclusions were addressed:
- (1)
- The companion-type environmental data collection and monitoring system based on IoT technology provides an effective data collection method to identify potential health risks of students in universities during the pandemic lockdown.
- (2)
- Only 57% of undergraduate students fulfilled their light exposure requirements (CS ≥ 0.3) due to inadequate exposure to morning light. Moreover, the rate was 67% among students who woke up after 8:00 a.m.
- (3)
- The presented measurements indicate that the PM2.5 concentration levels in dining areas selected by participants who prefer roasted, stir-fried, or deep-fried food were generally higher than those selected by those who prefer vegetables or stewed food.
- (4)
- In accordance with the questionnaire surveys, participants who took naps at lunchtime showed better heat acclimatization and tended to rate their heat sensation as neutral throughout the survey month.
- (5)
- Participants with BC constitution demonstrate greater adaptability to seasonal temperature changes.
6. Patents
Chen B.; Deng J., et al. Smart Monitoring System of Spatiotemporal Environment Parameters through Following Person Move. Liaoning Province: CN214096172U,2021-08-31
Author Contributions
Conceptualization, B.C.; methodology, B.C. and J.D. (Jie Deng); Funding acquisition, B.C.; Formal analysis, J.D. (Jie Deng); software, J.D. (Jie Deng); investigation, J.D. (Jie Deng) and B.C.; data curation, J.D. (Jie Deng); writing—original draft preparation, B.C., J.D. (Jie Deng), C.F., J.D. (Jia Du); writing—review and editing, B.C., J.D. (Jie Deng), C.F. and J.D. (Jia Du). All authors have read and agreed to the published version of the manuscript.
Funding
This research was funded by the National Natural Science Foundation of China (Grant No. 51978121).
Data Availability Statement
The data presented in this study are available on request from the corresponding author.
Acknowledgments
The authors thank the survey participants for carrying out this research.
Conflicts of Interest
The authors declare no conflict of interest.
Appendix A
Part Ⅰ: Questionnaire A (Once per Day)
- Indoor attire during the day: Please fill in:
- Outdoor attire during the day: Please fill in:
- Nap situation at noon:Please select: □1 No nap □2 Lie down and sleep □3 Sleep on a chair □4 Sleep on a desk
- Record today’s diet: Please fill in:
- Record your sleep period (check with the mobile app): Please fill in:
Part Ⅱ: Questionnaire B (Four Times per Day)
- Type of room you are currently in:Please select: □1 Classroom □2 Office □3 Library □4 Dormitory □5 Other:
- Indoor ventilation situation:Please select: □1 Completely closed □2 Slightly open □3 Quarter-open □4 Half-open □5 Fully open
- Room lighting situation:Please select: □1 Fully on □2 Partially on □3 Off
- Type of indoor light source (multiple choice):Please select: □1 Daylight □2 Incandescent lamp □3 Fluorescent lamp □4 LED □5 Other:
- Your current thermal sensation (TSV):Please select: □1 Hot □2 Warm □3 Slightly warm □4 neutral □5 Slightly cool □6 Cool □7 Cold
- How do you expect the surrounding environment to change?Please select: □1 A little cooler □2 No change □3 A little warmer
- Your current perception of humidity:Please select: □1 Very dry □2 Dry □3 Slightly dry □4 Moderate □5 Slightly humid □6 Humid □7 Very humid
- Control strategy of the building you are currently in:Please select: □1 Air conditioning □2 Heating □3 Natural ventilation □4 Mixed mode: ()
- Which of the following activity statuses did you most closely resemble in the past 15 minutes?Please select: □ Lying (0.8 met) □ Sitting (relaxed) (1.0 met) □ Sitting (working, studying) (1.2 met) □ Slow walking (2 km/h) (1.9 met) □ Fast walking (4 km/h) (2.8 met) □ Light activity (shopping, laboratory work) (1.6 met) □ Moderate activity (household chores, manual labor) (2.0 met) □ Other:
References
- Stewart-Brown, S.; Evans, J.; Patterson, J.; Petersen, S.; Doll, H.; Balding, J.; Regis, D. The health of students in institutes of higher education: An important and neglected public health problem? J. Public Health Med. 2000, 22, 492–499. [Google Scholar] [CrossRef] [PubMed]
- Victorino, G.; Bandeira, R.; Painho, M.; Henriques, R.; Coelho, P.S. Rethinking the Campus Experience in a Post-COVID World: A Multi-Stakeholder Design Thinking Experiment. Sustainability 2022, 14, 7655. [Google Scholar] [CrossRef]
- Liu, S.; Zhang, X.; Zhan, C.; Zhang, J.; Xu, J.; Wang, A.; Zhang, H.; Xu, J.; Guo, J.; Liu, X. Evaluating heavy metals contamination in campus dust in Wuhan, the university cluster in Central China: Distribution and potential human health risk analysis. Environ. Earth Sci. 2022, 81, 1–13. [Google Scholar] [CrossRef]
- Jin, S.; Zhong, L.; Zhang, X.; Li, X.; Li, B.; Fang, X. Indoor Volatile Organic Compounds: Concentration Characteristics and Health Risk Analysis on a University Campus. Int. J. Environ. Res. Public Health 2023, 20, 5829. [Google Scholar] [CrossRef]
- Liu, H.; Zhang, Z.; Wen, N.; Wang, C. Determination and risk assessment of airborne endotoxin concentrations in a university campus. J. Aerosol. Sci. 2018, 115, 146–157. [Google Scholar] [CrossRef]
- Cichowicz, R.; Dobrzanski, M. Spatial Analysis (Measurements at Heights of 10 m and 20 m above Ground Level) of the Concentrations of Particulate Matter (PM10, PM2.5, and PM1.0) and Gaseous Pollutants (H2S) on the University Campus: A Case Study. Atmosphere 2021, 12, 62. [Google Scholar] [CrossRef]
- Gao, P.; Lei, T.; Jia, L.; Song, Y.; Lin, N.; Du, Y.; Feng, Y.; Zhang, Z.; Cui, F. Exposure and health risk assessment of PM2.5-bound trace metals during winter in university campus in Northeast China. Sci. Total Environ. 2017, 576, 628–636. [Google Scholar] [CrossRef]
- Mundackal, A.; Ngole-Jeme, V.M. Evaluation of indoor and outdoor air quality in university academic buildings and associated health risk. Int. J. Environ. Health Res. 2022, 32, 1076–1094. [Google Scholar] [CrossRef]
- Sumalla-Cano, S.; Forbes-Hernández, T.; Aparicio-Obregón, S.; Crespo, J.; Eléxpuru-Zabaleta, M.; Gracia-Villar, M.; Giampieri, F.; Elío, I. Changes in the Lifestyle of the Spanish University Population during Confinement for COVID-19. Int. J. Environ. Res. Public Health 2022, 19, 2210. [Google Scholar] [CrossRef]
- Walsh, A.; Taylor, C.; Brennick, D. Factors That Influence Campus Dwelling University Students’ Facility to Practice Healthy Living Guidelines. Can. J. Nurs. Res. 2018, 50, 57–63. [Google Scholar] [CrossRef]
- Ozden, G.; Parlar Kilic, S. The Effect of Social Isolation during COVID-19 Pandemic on Nutrition and Exercise Behaviors of Nursing Students. Ecol. Food Nutr. 2021, 60, 663–681. [Google Scholar] [CrossRef] [PubMed]
- Mnich, C.; Bachert, P.; Kunkel, J.; Waesche, H.; Neumann, R.; Nigg, C.R. Stand Up, Students! Decisional Cues Reduce Sedentary Behavior in University Students. Front. Public Health 2019, 7, 230. [Google Scholar] [CrossRef] [PubMed]
- Lu, J.X.; Zhao, C.; Li, Z.Z.; Shao, Z.R.; Pi, K.Y. The Researches on Food Traceability System of University takeout. In Proceedings of the 2018 4th International Conference on Energy Materials and Environment Engineering (ICEMEE 2018), Kuala Lumpur, Malaysia, 13–15 April 2018. [Google Scholar]
- Lefevre, A.; Agarwal, S.; Zeller, K.; Vasudevan, L.; Labrique, A. Monitoring and Evaluating Digital Health Interventions: A Practical Guide to Conducting Research and Assessment; World Health Organization: Geneva, Switzerland, 2016.
- Montagni, I.; Cariou, T.; Feuillet, T.; Langlois, E.; Tzourio, C. Exploring Digital Health Use and Opinions of University Students: Field Survey Study. JMIR mHealth uHealth 2018, 6, e65. [Google Scholar] [CrossRef]
- Gilliland, J.; Maltby, M.; Xu, X.; Luginaah, I.; Loebach, J.; Shah, T. Is active travel a breath of fresh air? Examining children’s exposure to air pollution during the school commute. Spat. Spatio-Temporal Epidemiol. 2019, 29, 51–57. [Google Scholar] [CrossRef] [PubMed]
- Chen, L.A.; Olawepo, J.O.; Bonanno, F.; Gebreselassie, A.; Zhang, M. Schoolchildren’s exposure to PM 2.5: A student club–based air quality monitoring campaign using low-cost sensors. Air Qual. Atmos. Health 2020, 13, 543–551. [Google Scholar] [CrossRef]
- Kane, F.; Abbate, J.; Landahl, E.C.; Potosnak, M.J. Monitoring particulate matter with wearable sensors and the influence on student environmental attitudes. Sensors 2022, 22, 1295. [Google Scholar] [CrossRef]
- DaSilva, A.W.; Huckins, J.F.; Wang, R.; Wang, W.; Wagner, D.D.; Campbell, A.T. Correlates of stress in the college environment uncovered by the application of penalized generalized estimating equations to mobile sensing data. JMIR mHealth uHealth 2019, 7, e12084. [Google Scholar] [CrossRef]
- Cislo, C.; Clingan, C.; Gilley, K.; Rozwadowski, M.; Gainsburg, I.; Bradley, C.; Barabas, J.; Sandford, E.; Olesnavich, M.; Tyler, J.; et al. Monitoring beliefs and physiological measures using wearable sensors and smartphone technology among students at risk of COVID-19: Protocol for a mHealth study. JMIR Res. Protoc. 2021, 10, e29561. [Google Scholar] [CrossRef]
- Ferrier, B.; Lee, J.; Mbuli, A.; James, D.A. Translational Applications of Wearable Sensors in Education: Implementation and Efficacy. Sensors 2022, 22, 1675. [Google Scholar] [CrossRef]
- Huckins, J.F.; DaSilva, A.W.; Wang, W.; Hedlund, E.; Rogers, C.; Nepal, S.K.; Wu, J.; Obuchi, M.; Murphy, E.I.; Meyer, M.L. Mental health and behavior of college students during the early phases of the COVID-19 pandemic: Longitudinal smartphone and ecological momentary assessment study. J. Med. Internet Res. 2020, 22, e20185. [Google Scholar] [CrossRef]
- Greene, G.W.; White, A.A.; Hoerr, S.L.; Lohse, B.; Phillips, B.W. Impact of an Online Healthful Eating and Physical Activity Program for College Students. Am. J. Health Promot. AJHP 2012, 27, e47–e58. [Google Scholar] [CrossRef]
- Asberg, K.; Lundgren, O.; Henriksson, H.; Henriksson, P.; Bendtsen, P.; Lof, M.; Bendtsen, M. Multiple lifestyle behaviour mHealth intervention targeting Swedish college and university students: Protocol for the Buddy randomised factorial trial. BMJ Open 2021, 11, e051044. [Google Scholar] [CrossRef]
- Lee, J.; Ham, Y. Physiological sensing-driven personal thermal comfort modelling in consideration of human activity variations. Build. Res. Inf. 2020, 49, 512–524. [Google Scholar] [CrossRef]
- Gao, N.; Marschall, M.; Burry, J.; Watkins, S.; Salim, F.D. Understanding occupants’ behaviour, engagement, emotion, and comfort indoors with heterogeneous sensors and wearables. Sci. Data 2022, 9, 261. [Google Scholar] [CrossRef]
- Tsouros, A.D.; Dowding, G.; Thompson, J.; Dooris, M. Health Promoting Universities: Concept, Experience and Framework for Action; World Health Organization Regional Office for Europe: Copenhagen, Denmark, 1998; pp. 5–31.
- Ji Wang, Y.L.C.N. Cognition research and constitutional classification in Chinese medicine. Am. J. Chin. Med. 2011, 39, 1100909. [Google Scholar] [CrossRef] [PubMed]
- Qi, W. Classification and diagnosis basis of nine basic constitutions in Chinese medicine. J. Beijing Univ. Tradit. Chin. Med. 2005, 28, 1–8. [Google Scholar]
- Ru, J.; Ji, W.; Qi, W. Preliminary Compiling of English Version of Constitution in Chinese Medicine Questionnaire. J. Anhui Univ. Chin. Med. 2015, 34, 21–25. [Google Scholar]
- Hui-Ru, J.; Ji, W.; Qi, W. Study on the Performance Evaluation of the English Version of Tcm Constitution Scale. Chin. J. Basic. Med. Tradit. Chin. Med. 2018, 5, 16–28. [Google Scholar]
- ANSI/ASHRAE Standard 55; Thermal Environmental Conditions for Human Occupancy. ASHRAE: New York, NY, USA, 2020.
- Bierman, A.; Klein, T.R.; Rea, M.S.; Rea, M.S. The Daysimeter: A device for measuring optical radiation as a stimulus for the human circadian system. Meas. Sci. Technol. 2006, 16, 2292–2299. [Google Scholar] [CrossRef]
- The Dimesimeter: A User-friendly Circadian Light and Activity Sensor. Available online: https://www.lrc.rpi.edu/resources/newsroom/pdf/2011/DimesimeterPoster8511.pdf (accessed on 1 October 2022).
- Figueiro, M.G.; Bierman, A.; Higgins, P.; Hornick, T.; Rea, M. The Dime-Simeter: A User-friendly Circadian Light Mete. Available online: https://www.lrc.rpi.edu/programs/lightHealth/pdf/mHealth_DimesimeterPoster.pdf (accessed on 1 October 2022).
- Figueiro, M.G.; Kalsher, M.; Steverson, B.C.; Heerwagen, J.; Kampschroer, K.; Rea, M.S. Circadian-effective light and its impact on alertness in office workers. Light. Res. Technol. 2019, 51, 171–183. [Google Scholar] [CrossRef]
- Lewy, A.J.; Wehr, T.A.; Goodwin, F.K.; Newsome, D.A.; Markey, S.P. Light suppresses melatonin secretion in humans. Science 1980, 210, 1267–1269. [Google Scholar] [CrossRef]
- Rea, M.S.; Figueiro, M.G.; Bullough, J.D.; Bierman, A. A model of phototransduction by the human circadian system. Brain Res. Rev. 2005, 50, 213–228. [Google Scholar] [CrossRef]
- CS Calculator. Available online: https://www.lrc.rpi.edu/cscalculator/ (accessed on 1 October 2022).
- Canha, N.; Teixeira, C.; Figueira, M.; Correia, C. How is indoor air quality during sleep? A review of field studies. Atmosphere 2021, 12, 110. [Google Scholar] [CrossRef]
- Pandey, R. Selection of appropriate statistical methods for data analysis. Ann. Card. Anaesth. 2019, 22, 297–301. [Google Scholar]
- Acosta, I.; Laborda, M.Á.C.; Leslie, R.; Radetski, L. Daylighting design for healthy environments: Analysis of educational spaces for optimal circadian stimulus. Sol. Energy 2019, 193, 584–596. [Google Scholar] [CrossRef]
- Iskra-Golec, I.; Smith, L. Daytime Intermittent Bright Light Effects on Processing of Laterally Exposed Stimuli, Mood, and Light Perception. Chronobiol. Int. 2008, 25, 471. [Google Scholar] [CrossRef]
- Zheng, S.; Shen, H.; Shen, G.; Chen, Y.; Ma, J.; Cheng, H.; Tao, S. Vertically-resolved indoor measurements of air pollution during Chinese cooking. Environ. Sci. Ecotech. 2022, 12, 100200. [Google Scholar] [CrossRef] [PubMed]
- Wang, L.; Xiang, Z.; Stevanovic, S.; Ristovski, Z.; Salimi, F.; Gao, J.; Wang, H.; Li, L. Role of Chinese cooking emissions on ambient air quality and human health. Sci. Total. Environ. 2017, 589, 173–181. [Google Scholar] [CrossRef]
- Deliens, T.; Clarys, P.; De Bourdeaudhuij, I.; Deforche, B. Determinants of eating behaviour in university students: A qualitative study using focus group discussions. BMC Public Health 2014, 14, 53. [Google Scholar] [CrossRef]
- Hakro, S.; Jameel, A.; Hussain, A.; Aslam, M.S.; Nisar, A. A Lunch Break Time and Its Impact on Employees Health, Performance and Stress on Work. J. Pharm. Res. Int. 2021, 33, 84–97. [Google Scholar] [CrossRef]
- Ru, T.; Chen, Q.; You, J.; Zhou, G. Effects of a short midday nap on habitual nappers’ alertness, mood and mental performance across cognitive domains. J. Sleep. Res. 2019, 28, e12638. [Google Scholar] [CrossRef] [PubMed]
- Lei, Z.; Liu, C.; Wang, L.; Li, N. Effect of natural ventilation on indoor air quality and thermal comfort in dormitory during winter. Build. Environ. 2017, 125, 240–247. [Google Scholar] [CrossRef]
- Yubei, L. Research on the Field Evidence of Environmental Adaptability Based on CTCM. Master’s Thesis, Dalian University of Technology, Dalian, China, 2021. [Google Scholar]
- Jian, Y.; Hou, Y.; Liu, J.; Guo, R.; Sun, R. Thermal Preference Classification Based on TCM Constitution and Its Influence on the Behavior of Turning on Air Conditioning in Summer. Build. Sci. 2021, 37, 79–85. [Google Scholar]
Disclaimer/Publisher’s Note: The statements, opinions and data contained in all publications are solely those of the individual author(s) and contributor(s) and not of MDPI and/or the editor(s). MDPI and/or the editor(s) disclaim responsibility for any injury to people or property resulting from any ideas, methods, instructions or products referred to in the content. |
© 2023 by the authors. Licensee MDPI, Basel, Switzerland. This article is an open access article distributed under the terms and conditions of the Creative Commons Attribution (CC BY) license (https://creativecommons.org/licenses/by/4.0/).












