Structural Response of a Prefabricated Utility Tunnel Subject to a Reverse Fault
Abstract
1. Introduction
2. Numerical Model
3. Response Analysis of the Utility Tunnel
3.1. Influence of Fault Displacement
3.1.1. Analysis of Vertical Displacement
3.1.2. Analysis of the Longitudinal Horizontal Opening Displacement
3.2. Influence of Burial Depth
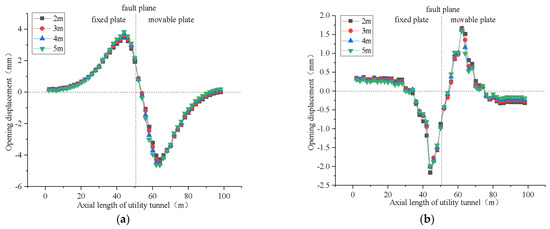
3.2.1. Analysis of the Vertical Displacement
3.2.2. Analysis of Longitudinal Horizontal Opening Displacement
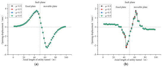
3.3. Influence of Utility Tunnel-Soil Friction Coefficient
3.3.1. Analysis of Vertical Displacement
3.3.2. Analysis of Longitudinal Horizontal Opening Displacement
3.4. Influence of Crossing Angle of Utility Tunnel
3.4.1. Analysis of Vertical Displacement
3.4.2. Analysis of Longitudinal Horizontal Opening Displacement
4. Conclusions
- (1)
- When the fault displacement increases from 0.10 to 0.35 m, the maximum opening displacement of the floor increases from 0.300 to 3.017 mm, and the roof increases from 1.343 to 5.133 mm. The overall deformation of a utility tunnel, and the deformation of the spliced joints increase with increasing fault displacement, which significantly reduces the waterproofing ability of the spliced joints.
- (2)
- Variations in the burial depths and utility tunnel-soil friction coefficients have little effect on the deformation of the prefabricated utility tunnel.
- (3)
- When the crossing angle increases from 45° to 90°, the maximum opening displacement of the floor increases from 1.303 to 2.135 mm, and the roof increases from 2.833 to 4.465 mm. To a certain extent, in the proximity of a fault plane, the overall deformation of the prefabricated utility tunnel and the deformation of the spliced joints increase with an increase in the crossing angles, as opposed to the position away from a fault plane.
Author Contributions
Funding
Institutional Review Board Statement
Informed Consent Statement
Data Availability Statement
Conflicts of Interest
References
- Luo, Y.; Alaghbandrad, A.; Genger, T.K.; Hammad, A. History and recent development of multi-purpose utility tunnels. Tunn. Undergr. Space Technol. 2020, 103, 103511. [Google Scholar] [CrossRef]
- Ghavami, S.; Saeedi Azizkandi, A.; Baziar, M.H.; Rajabi, M. Interaction of Underground Tunnel and Existing Shallow Foundations Affected by Normal Faults. J. Seismol. Earthq. Eng. 2019, 21, 57–62. [Google Scholar]
- Lin, Z.Z.; Guo, C.C.; Ni, P.P.; Cao, D.F.; Huang, L.; Guo, Z.F.; Dong, P. Experimental and numerical investigations into leakage behaviour of a novel prefabricated utility tunnel. Tunn. Undergr. Space Technol. 2020, 104, 103529. [Google Scholar] [CrossRef]
- Wu, X.G.; Chen, X.K.; Yu, S.Y.; Hong, S.; Kang, T.H.K. Experimental Study on Waterproofing Properties of Putty-Based Composite Rubber Strip for Underground Post-Tensioned Precast Concrete Structures. Int. J. Concr. Struct. Mater. 2019, 13, 8. [Google Scholar] [CrossRef]
- Iakovleva, E.; Belova, M.; Soares, A. Allocation of potentially environmentally hazardous sections on pipelines. Geosciences 2021, 11, 3. [Google Scholar] [CrossRef]
- Wu, X.G.; Nie, C.H.; Qiu, F.Q.; Zhang, X.S.; Li, H.; Lee, J.S.; Kang, T.H.K. Analysis of underground post-tensioned precast concrete box utility tunnel under normal fault displacement. Comput. Concr. 2022, 29, 69–79. [Google Scholar]
- Baziar, M.H.; Nabizadeh, A.; Lee, C.J.; Huang, W.Y. Centrifuge modeling of interaction between reverse faulting and tunnel. Soil Dyn. Earthq. Eng. 2014, 65, 151–164. [Google Scholar] [CrossRef]
- Kiani, M.; Akhlaghi, T.; Ghalandarzadeh, A. Experimental modeling of segmental shallow tunnels in alluvial affected by normal faults. Tunn. Undergr. Space Technol. 2016, 51, 108–119. [Google Scholar] [CrossRef]
- Sabagh, M.; Ghalandarzadeh, A. Numerical modelings of continuous shallow tunnels subject to reverse faulting and its verification through a centrifuge. Comput. Geotech. 2020, 128, 103813. [Google Scholar] [CrossRef]
- Sabagh, M.; Ghalandarzadeh, A. Centrifugal modeling of continuous shallow tunnels at active normal faults intersection. Transp. Geotech. 2020, 22, 100325. [Google Scholar] [CrossRef]
- Yao, C.F.; He, C.; Takemura, J.; Feng, K.; Guo, D.P.; Huang, X. Active length of a continuous pipe or tunnel subjected to reverse faulting. Soil Dyn. Earthq. Eng. 2021, 148, 106825. [Google Scholar] [CrossRef]
- Yan, C.F.; Takemura, J.; Ma, G.Y.; Dai, C.; An, Z.L. Effect of boundary friction on revere fault rupture propagation in centrifuge tests. Soil Dyn. Earthq. Eng. 2021, 147, 106811. [Google Scholar]
- Zhou, G.; Sheng, Q.; Cui, Z.; Wang, T.; Ma, Y. Investigating the Deformation and Failure Mechanism of a Submarine Tunnel with Flexible Joints Subjected to Strike-Slip Faults. J. Mar. Sci. Eng. 2021, 9, 1412. [Google Scholar] [CrossRef]
- Demirci, H.E.; Karaman, M.; Bhattacharya, S. Behaviour of buried continuous pipelines crossing strike-slip faults: Experimental and numerical study. J. Nat. Gas Sci. Eng. 2021, 92, 103980. [Google Scholar] [CrossRef]
- Wei, X.L.; Jiao, W.S.; Zeng, X.; Zhang, D.F.; Du, G.F. Mechanical Behavior of Buried Pipelines Subjected to Faults. Adv. Civ. Eng. 2021, 3, 9984519. [Google Scholar] [CrossRef]
- Roudsari, M.T.; Hosseini, M.; Ashrafy, M.; Azin, M.; Nasimi, M.; Torkaman, M.; Khorsandi, A. New Method to Evaluate the Buried Pipeline-Sandy Soil Interaction Subjected to Strike Slip Faulting. J. Earthq. Eng. 2022, 26, 89–112. [Google Scholar] [CrossRef]
- Baziar, M.H.; Nabizadeh, A.; Mehrabi, R.; Lee, C.J.; Hung, W.Y. Evaluation of underground tunnel response to reverse fault rupture using numerical approach. Soil Dyn. Earthq. Eng. 2016, 83, 1–17. [Google Scholar] [CrossRef]
- Azizkandi, A.S.; Ghavami, S.; Baziar, M.H.; Hasanaklou, S.H. Assessment of damages in fault rupture-shallow foundation interaction due to the existence of underground structures. Tunn. Undergr. Space Technol. 2019, 89, 222–237. [Google Scholar] [CrossRef]
- Triantafyllaki, A.; Papanastasiou, P.; Loukidis, D. Numerical analysis of the structural response of unburied offshore pipelines crossing active normal and reverse faults. Soil Dyn. Earthq. Eng. 2020, 137, 106296. [Google Scholar] [CrossRef]
- Dey, S.; Chakraborty, S.; Tesfamariam, S. Structural performance of buried pipeline undergoing strike-slip fault rupture in 3D using a non-linear sand model. Soil Dyn. Earthq. Eng. 2020, 135, 106180. [Google Scholar] [CrossRef]
- Li, F.T.; Wang, Q.Y.; Hu, Z.P.; Zhang, Y.H.; Ren, X.; An, X.X. The Effect of Intersection Angle on the Failure Mechanism of Utility Tunnel. Adv. Civ. Eng. 2020, 2020, 8864676. [Google Scholar]
- Zhang, D.; Hu, Z.P.; Lu, G.G.; Wang, R.; Ren, X. Experimental Study on Deformation Mechanism of a Utility Tunnel in a Ground Fissure Area. Adv. Mater. Sci. Eng. 2020, 2020, 6758978. [Google Scholar] [CrossRef]
- Yan, Y.F.; Qiu, J.L.; Huang, Q.B.; Wang, Z.C.; Xie, Y.L.; Liu, T. Ground fissures geology in Xi’an and failure mitigation measures for utility tunnel system due to geohazard. Arab. J. Geosci. 2021, 14, 1207. [Google Scholar] [CrossRef]
- Yan, Y.F.; Huang, Q.B.; Xie, Y.L.; Liu, T.; Xu, Q.; Fan, F.F.; Wang, Y.L. Failure analysis of urban open-cut utility tunnel under ground fissures environment in Xi’an, China. Eng. Fail. Anal. 2021, 127, 105529. [Google Scholar] [CrossRef]
- Deng, B.T.; Li, X.; Li, P.; Tian, J.T.; Li, J.H. Rationality determination method and mechanical behavior of underground utility tunnels in a ground fissure environment. Bull. Eng. Geol. Environ. 2022, 81, 50. [Google Scholar] [CrossRef]
- Tang, L.J.; Wang, Z.G.; An, S.; Shi, C.; Shi, M.; Dong, R.L.; Cao, Q.K. Experimental study on the mechanical behavior of utility tunnel with flexible joints passing through active thrust fault. Arab. J. Geosci. 2021, 14, 2579. [Google Scholar]
- Zhang, J.; Liang, Z.; Han, C.J. Numerical modeling of mechanical behavior for buried steel pipelines crossing subsidence strata. PLoS ONE 2015, 6, 1–16. [Google Scholar] [CrossRef][Green Version]
- Zhang, J.; Xie, R. Numerical analysis of mechanical behavior of buried pipes in subsidence area caused by underground mining. J. Press. Vessel. Technol. 2019, 141, 021703. [Google Scholar] [CrossRef]



















| Density (kg/m3) | Elastic Modulus (MPa) | Poisson’s Ratio | Internal Friction Angle (°) | Cohesion (kPa) |
|---|---|---|---|---|
| 1900 | 8 | 0.3 | 20 | 20 |
| Name | Category | Density (kg/m3) | Elastic Modulus (MPa) | Poisson’s Ratio |
|---|---|---|---|---|
| Utility Tunnel | C50 concrete | 2500 | 34,500 | 0.2 |
| Cushion | C20 concrete | 2400 | 25,500 | 0.2 |
| Working Condition | Dip Angle (°) | Fault Displacement (m) | Burial Depth (m) | Utility Tunnel-Soil Friction Coefficient | Crossing Angle (°) |
|---|---|---|---|---|---|
| 1 | 90 | 0.1/0.2/0.3/0.35 | 3 | 0.7 | 90 |
| 2 | 90 | 0.3 | 2/3/4/5 | 0.7 | 90 |
| 3 | 90 | 0.3 | 3 | 0.3/0.5/0.7/0.9 | 90 |
| 4 | 90 | 0.3 | 3 | 0.7 | 45/60/75/90 |
Publisher’s Note: MDPI stays neutral with regard to jurisdictional claims in published maps and institutional affiliations. |
© 2022 by the authors. Licensee MDPI, Basel, Switzerland. This article is an open access article distributed under the terms and conditions of the Creative Commons Attribution (CC BY) license (https://creativecommons.org/licenses/by/4.0/).
Share and Cite
Wu, X.; Nie, C.; Li, D.; Qiu, F.; Tang, Y. Structural Response of a Prefabricated Utility Tunnel Subject to a Reverse Fault. Buildings 2022, 12, 1086. https://doi.org/10.3390/buildings12081086
Wu X, Nie C, Li D, Qiu F, Tang Y. Structural Response of a Prefabricated Utility Tunnel Subject to a Reverse Fault. Buildings. 2022; 12(8):1086. https://doi.org/10.3390/buildings12081086
Chicago/Turabian StyleWu, Xiangguo, Chenhang Nie, Dan Li, Faqiang Qiu, and Yunchao Tang. 2022. "Structural Response of a Prefabricated Utility Tunnel Subject to a Reverse Fault" Buildings 12, no. 8: 1086. https://doi.org/10.3390/buildings12081086
APA StyleWu, X., Nie, C., Li, D., Qiu, F., & Tang, Y. (2022). Structural Response of a Prefabricated Utility Tunnel Subject to a Reverse Fault. Buildings, 12(8), 1086. https://doi.org/10.3390/buildings12081086

