Development of a Modular Fretting Wear and Fretting Fatigue Tribometer for Thin Steel Wires: Design Concept and Preliminary Analysis of the Effect of Crossing Angle on Tangential Force
Abstract
:1. Introduction
2. Designed Tribotester
2.1. Displacement Module
2.2. Contact Module
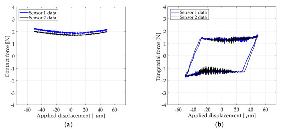
2.3. Data Acquisition System
2.4. Surface Metrology: Wear Profile Measurement
3. Description of Experimental Tests
4. Results and Discussion
5. Conclusions
- A modular tribotester that could perform both fretting wear and fretting fatigue test with thin steel wires was designed and developed.
- Non-Coulomb frictional behavior has so far been associated with certain kinds of materials (ductile materials). This work demonstrates that the behavior could also be induced due to a change in the contact geometry.
- As the crossing angle increases, a more distorted loop is induced (due to the increased wear scar geometry) as the number of cycles increases, showing a non-Coulomb frictional behavior. As the crossing angle increases, the width of the wear scar decreases, while the maximum wear depth increases. It can be observed that this behavior is more pronounced for the 90° test, which occurs more rapidly than in the case of the 45° test.
- Results were compared to reported data, and the same trends in terms of coefficient of friction were drawn, thus confirming the robustness of the tribometer.
Author Contributions
Funding
Conflicts of Interest
References
- Waterhouse, R.B. Fretting wear. Wear 1984, 100, 107–118. [Google Scholar] [CrossRef]
- Klaffke, D. Fretting wear of ceramic-steel: The importance of wear ranking criteria. Wear 1985, 104, 337–343. [Google Scholar] [CrossRef]
- Ramesh, R.; Gnanamoorthy, R. Development of a fretting wear test rig and preliminary studies for understanding the fretting wear properties of steels. Mater. Des. 2006, 27, 141–146. [Google Scholar] [CrossRef]
- Cruzado, A.; Hartelt, M.; Wäsche, R.; Urchegui, M.A.; Gómez, X. Fretting wear of thin steel wires. Part 1: Influence of contact pressure. Wear 2010, 268, 1409–1416. [Google Scholar] [CrossRef]
- Pearson, S.R. The Effect of Nitriding on the Fretting Wear of a High Strength Steel at Ambient and Elevated Temperatures. Available online: http://eprints.nottingham.ac.uk/29004/ (accessed on 18 January 2019).
- Bramhall, R. Studies in Fretting Fatigue. Ph.D. Thesis, University of Oxford, Oxford, UK, 1973. [Google Scholar]
- Wittkowsky, B.U.; Birch, P.R.; Dominguez, J.; Suresh, S. An apparatus for quantitative fretting testing. Fatigue Fract. Eng. Mater. Struct. 1999, 22, 307–320. [Google Scholar] [CrossRef]
- Magaziner, R.; Jin, O.; Mall, S. Slip regime explanation of observed size effects in fretting. Wear 2004, 257, 190–197. [Google Scholar] [CrossRef]
- Wang, D.; Zhang, D.; Ge, S. Effect of displacement amplitude on fretting fatigue behavior of hoisting rope wires in low cycle fatigue. Tribol. Int. 2012, 52, 178–189. [Google Scholar] [CrossRef]
- Zhang, D.; Geng, H.; Zhang, Z.; Wang, D.; Wang, S.; Ge, S. Investigation on the fretting fatigue behaviors of steel wires under different strain ratios. Wear 2013, 303, 334–342. [Google Scholar] [CrossRef]
- Wang, D.; Li, X.; Wang, X.; Zhang, D.; Wang, D. Dynamic wear evolution and crack propagation behaviors of steel wires during fretting-fatigue. Tribol. Int. 2016, 101, 348–355. [Google Scholar] [CrossRef]
- Wang, X.; Wang, D.; Zhang, D.; Ge, S.; Alexander Araújo, J. Effect of torsion angle on tension-torsion multiaxial fretting fatigue behaviors of steel wires. Int. J. Fatigue 2018, 106, 159–164. [Google Scholar] [CrossRef]
- Zhang, D.; Yang, X.; Chen, K.; Zhang, Z. Fretting fatigue behavior of steel wires contact interface under different crossing angles. Wear 2018, 400, 52–61. [Google Scholar] [CrossRef]
- Zhou, Z.R.; Goudreau, S.; Fiset, M.; Cardou, A. Single wire fretting fatigue tests for electrical conductor bending fatigue evaluation. Wear 1995, 181, 537–543. [Google Scholar] [CrossRef]
- Cruzado, A.; Hartelt, M.; Wäsche, R.; Urchegui, M.A.; Gómez, X. Fretting wear of thin steel wires. Part 2: Influence of crossing angle. Wear 2011, 273, 60–69. [Google Scholar] [CrossRef]
- Fouvry, S.; Kapsa, Ph.; Vincent, L. An elastic–plastic shakedown analysis of fretting wear. Wear 2001, 247, 41–54. [Google Scholar] [CrossRef]
- Marui, E.; Endo, H.; Hasegawa, N.; Mizuno, H. Prototype fretting-wear testing machine and some experimental results. Wear 1998, 214, 221–230. [Google Scholar] [CrossRef]
- Mohrbacher, H.; Celis, J.-P.; Roos, J.R. Laboratory testing of displacement and load induced fretting. Tribol. Int. 1995, 28, 269–278. [Google Scholar] [CrossRef]
- Vingsbo, O.; Söderberg, S. On fretting maps. Wear 1988, 126, 131–147. [Google Scholar] [CrossRef]
- Mulvihill, D.M.; Kartal, M.E.; Olver, A.V.; Nowell, D.; Hills, D.A. Investigation of non-Coulomb friction behaviour in reciprocating sliding. Wear 2011, 271, 802–816. [Google Scholar] [CrossRef]
- Hintikka, J.; Lehtovaara, A.; Mäntylä, A. Normal displacements in non-Coulomb friction conditions during fretting. Tribol. Int. 2016, 94, 633–639. [Google Scholar] [CrossRef]
- Jin, X.; Sun, W.; Shipway, P.H. Derivation of a wear scar geometry-independent coefficient of friction from fretting loops exhibiting non-Coulomb frictional behaviour. Tribol. Int. 2016, 102, 561–568. [Google Scholar] [CrossRef]












| Test Number | Test Configuration | Contact Force [N] | Applied Displacement [μm] | Crossing Angle [°] | Mean Stress [MPa] | Stress Amplitude [MPa] |
|---|---|---|---|---|---|---|
| 1–3 | FF | 2 | 100 | 0 | 597 | 283 |
| 4–6 | FF | 2 | 100 | 45 | 597 | 283 |
| 7–9 | FF | 2 | 100 | 90 | 597 | 283 |
| Properties | Symbol | Unit | Value |
|---|---|---|---|
| Fatigued wire length | l | mm | 155 |
| Wire diameter | d | mm | 0.45 |
| Tensile strength | σu | MPa | >3200 |
| Yield strength | σy | MPa | >2650 |
| Elastic modulus | E | GPa | 200 |
| Vickers hardness | HV0.05 | - | 659 ± 81 |
| Average roughness drawn direction (DD) | Ra | μm | 0.35 |
| Average roughness perpendicular to the DD | Ra | μm | 0.7 |
© 2019 by the authors. Licensee MDPI, Basel, Switzerland. This article is an open access article distributed under the terms and conditions of the Creative Commons Attribution (CC BY) license (http://creativecommons.org/licenses/by/4.0/).
Share and Cite
Llavori, I.; Zabala, A.; Otaño, N.; Tato, W.; Gómez, X. Development of a Modular Fretting Wear and Fretting Fatigue Tribometer for Thin Steel Wires: Design Concept and Preliminary Analysis of the Effect of Crossing Angle on Tangential Force. Metals 2019, 9, 674. https://doi.org/10.3390/met9060674
Llavori I, Zabala A, Otaño N, Tato W, Gómez X. Development of a Modular Fretting Wear and Fretting Fatigue Tribometer for Thin Steel Wires: Design Concept and Preliminary Analysis of the Effect of Crossing Angle on Tangential Force. Metals. 2019; 9(6):674. https://doi.org/10.3390/met9060674
Chicago/Turabian StyleLlavori, Iñigo, Alaitz Zabala, Nerea Otaño, Wilson Tato, and Xabier Gómez. 2019. "Development of a Modular Fretting Wear and Fretting Fatigue Tribometer for Thin Steel Wires: Design Concept and Preliminary Analysis of the Effect of Crossing Angle on Tangential Force" Metals 9, no. 6: 674. https://doi.org/10.3390/met9060674
APA StyleLlavori, I., Zabala, A., Otaño, N., Tato, W., & Gómez, X. (2019). Development of a Modular Fretting Wear and Fretting Fatigue Tribometer for Thin Steel Wires: Design Concept and Preliminary Analysis of the Effect of Crossing Angle on Tangential Force. Metals, 9(6), 674. https://doi.org/10.3390/met9060674

