Abstract
The experimental solubility of transition metals in liquid alkali metal was compared to the modeled solubility calculated using various equations for solubility. These equations were modeled using the enthalpy calculations of the semi-empirical Miedema model and various entropy calculations. The accuracy of the predicted solubility compared to the experimental data is more dependent on which liquid alkali metal is being examined rather than the transition metal solute examined. For liquid lithium the calculated solubility by the model was generally larger than experimental values, while for liquid cesium the modeling solubility was significantly smaller than the experimental values. For liquid sodium, potassium, and rubidium the experimental solubilities were within the range calculated by this study. Few data approached the predicted temperature dependence of solubility and instead most data exhibited a less pronounced temperature dependence.
1. Introduction
Liquid alkali metals such as liquid sodium have been previously proposed as primary coolant in advanced nuclear reactors, with one of the Generation IV designs being a sodium-cooled fast reactor. Alkali metals are advantageous as coolants for they are liquids in the intermediate temperature range of nuclear reactors and provide excellent heat transfer properties as a coolant. For this reason the majority of the alkali metals have been considered in the past as coolants and thus have been extensively studied [1]. Furthermore, liquid sodium is applied as the liquid that fills the gap between stainless steel cladding and the metallic nuclear fuels such as U-Zr fuels in a sodium-cooled nuclear reactor system.
One of the major concerns of liquid metal-cooled reactors is the material transport in liquid metal, including the corrosion products (such as transition metals) and fission products (such as rare earth metals) [2]. An integral part of this transport is the solubility limit of the transition metals and fission products in the liquid metal. This solubility is thus of interest for coolant radioactivity and material degradation, such as fuel-cladding chemical interaction [3]. Several models have been developed for the prediction of the solubility within the liquid alkali metals. The enthalpy and entropy of various transition metals in liquid alkali metals were modeled and the corresponding solubility of these transition metals was calculated using various solubility equations. These calculations were then compared to experimental data to show the accuracy of these various models.
2. Solubility Equations
The solubility of a metal, A, in a solution of liquid alkali metal, B, can be expressed as:
where R is the ideal gas constant and T is the temperature in Kelvin. The molar excess Gibbs energy () can also be expressed in terms of the molar entropy () and enthalpy ( of mixing for infinitely dilute solution of A in liquid alkali metal B.
The solubility equation of a metal, A, in the solution can be described in an expanded solubility equation of:
Several approximations of Equation (3) have been proposed to model the solubility of metals in liquid alkali metal. The simplest of these formulas was suggested by de Boer et al. [4] shown in Equation (4).
Lyublinski et al. [5] suggested the inclusion of the latent heat term of the solid to liquid phase of the pure metal A,, and the associated molar entropy term, as shown in Equation (5). For this work the latent heat and associated entropy term were derived from the work of Gale and Totemeier [6].
To model these various solubility equations, the entropy and enthalpy terms for the various systems must be calculated.
2.1. Enthalpy Calculation
The enthalpy term of the solubility equations were modeled with the Miedema model [4]. This semi-empirical model, created to predict values of enthalpy for arbitrary combinations of metals, has been suggested previously for use of calculating excess enthalpy in liquid alkali metals [4,5]. This “macroscopic-atom” model derives the enthalpy effect of the interaction at the interface between two various elements. Three major parameters are used for the calculation of enthalpy: VA, ϕ, and nws. The molar volume of the solute, VA, is considered to account for the surface area of the solute in the interaction. The work function, ϕ, is a parameter that is a potential that is felt by the outer electrons of the atom and is similar to electronegativity. The third parameter nws, relates to the Wigner-Seitz cell and the electron density at the boundary of the cell. All three parameters have been previously tabulated for most elements [4].
The excess enthalpy due to the interfacial enthalpy of solids is calculated by [4]:
where Q/P = 9.4 and P is a constant that depends on the valence of both the atoms considered. This excess enthalpy due to the interfacial enthalpy of solids is the partial enthalpy of the solution of solid species A in liquid B.
For the application of the model an additional enthalpy term, R*, is included to account for the interaction of a transition metal and a non-transition metal [4].
2.2. Entropy Calculation
The entropy was modeled in two ways. The initial model of entropy was to neglect the entropy as shown in Equation (4). This modeling of the entropy is described in detail by Bakker [7]. Bakker argues that the entropy is mainly vibrational entropy, which is on the order of magnitude of the ideal gas constant, R. Based on this assumption the entropy term will not significantly affect the order of magnitude of the solubility.
The second approach of the entropy term was in the use of an interaction parameter. The interaction parameter relates the enthalpy and entropy as derived by Lupis [8].
Lupis [8] reported that the value of the interaction parameter, , to be between 1500 and 3000 K and for most systems it is approximately 3000 K. Lyublinski et al. [5] previously used the interaction parameter of 3000 K to calculate the entropy for the solubility of transition metals in liquid lithium.
3. Results
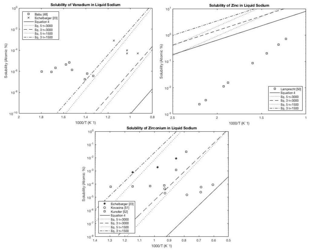
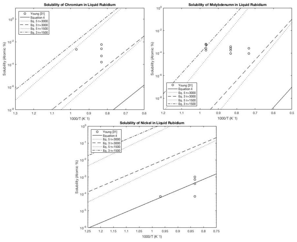
Within this section are several figures that compare the solubility equations to previous experimental data [9,10,11,12,13,14,15,16,17,18,19,20,21,22,23,24,25,26,27,28,29,30,31,32] for transition metals in liquid alkali metals. Additional comparisons are provided in the Appendix for experimental data [33,34,35,36,37,38,39,40,41,42,43,44,45,46,47,48,49,50,51,52,53,54,55] of transition metals in liquid Lithium (Figure A1), liquid Sodium (Figure A2), liquid Potassium (Figure A3), liquid Rubidium (Figure A4) and liquid Cesium (Figure A5).
3.1. Lithium
The calculations of the solubility for metals in liquid lithium when including the entropy were generally larger than actually experimentally measured. The solubility of tantalum in liquid lithium in Figure 1 is a typical result for transition metals in liquid lithium. As can be seen in Figure 1, the equations that calculated the entropy with an interaction term, Equations (3) and (5), overestimate the solubility of the tantalum. The solubility equation that neglects entropy, Equation (4), is approximately the correct order of magnitude but its temperature dependence appears to be too strong for most of the data. Figure 2 of the solubility of titanium in liquid lithium shows the experiment data is closer to the estimated solubility of the equations with an entropy parameter of 3000 K but is still lower than predicted.
Figure 1.
Solubility of tantalum in liquid lithium.
Figure 2.
The solubility of titanium in liquid lithium.
While the Figure 1 and Figure 2 represent the typical results for the liquid lithium systems there are a few cases for which the experimental data more closely resembles the solubility equations with the entropy modeled. Shown in Figure 3 and Figure 4 are the solubility of iron and of chromium in liquid lithium. These systems have considerably more experimental data and the solubility equations that included entropy results more accurately describe the experimental data than in Figure 1 and Figure 2. Additionally the temperature dependence of the estimated solubility for these systems agrees much more favorably with the experimental data than do the other metal solutes’ solubilities in liquid lithium.
Figure 3.
Solubility of iron in liquid lithium.
Figure 4.
Solubility of chromium in liquid lithium.
3.2. Sodium
Figure 5 and Figure 6 show the solubility of iron and chromium in liquid sodium. These figures represent the typical relation between experimental data and the solubility equations for the liquid sodium systems. As seen in these figures, the majority of experimental data is within the solubility calculated with the interaction parameter entropy. One exception is the lower temperature experimental data which has a larger solubility than predicted by the model. The experimental data exhibits a mixture of temperature dependence but the majority of the data shows a temperature dependence that is less than predicted.
Figure 5.
Solubility of iron in liquid sodium.
Figure 6.
Solubility of chromium in liquid sodium.
3.3. Potassium
Figure 7 and Figure 8 show the solubility of tantalum and iron in liquid potassium. Representing the typical results for the solubilities in liquid potassium, the experimental data is within the limits set by the estimations using the solubility equations with entropy determined by an interaction parameter. The estimation using an entropy parameter of 3000 K covers the solubility range of the lower temperatures and the entropy parameter of 1500 K covers the solubility range of the higher temperature. The temperature dependence of the experimental data occasionally approaches the dependence predicted by the model but the data’s dependence is typically less pronounced.
Figure 7.
Solubility of tantalum in liquid potassium.
Figure 8.
Solubility of iron in liquid potassium.
3.4. Rubidium
The experimental data for rubidium is sparse compared to the previous alkali liquids. The available data shows a relationship to the calculated solubility that is similar to that of the liquid sodium and potassium systems. Figure 9 and Figure 10 show the solubility of zirconium and iron in liquid rubidium. The experimental data solubility for metals is between the calculations provided when using an entropy interaction parameter of 1500 and 3000 K.
Figure 9.
Solubility of zirconium in liquid rubidium.
Figure 10.
Solubility of iron in liquid rubidium.
3.5. Cesium
Figure 11 and Figure 12 show of the solubility of iron and vanadium in liquid cesium. Both figures show the experimentally measured solubility being considerably larger than predicted. Also the temperature dependence of the experimental data is negligible compared to that of the model. This negligible temperature dependence is common among the various solubilities in liquid cesium.
Figure 11.
Solubility of iron in liquid cesium.
Figure 12.
Solubility of vanadium in liquid cesium.
4. Discussion
The relation between experimental data and the fit with the solubility equations exhibits a stronger dependence on the liquid alkali metal studied rather than the solute. This relation is clear when considering the solubility of iron in the various liquid alkali metals. Iron is one of the most common solutes experimentally tested for solubility for all the alkali systems considered in the present study and thus allows the most comprehensive comparison between the model and the liquid alkali. The majority of experimental data for the liquid sodium, potassium, and rubidium systems are within the range predicted with the Miedema model for enthalpy and the interaction parameter for entropy. The exceptions to all three cases are some of the lower temperature experimentally measured solubilities which are larger than predicted. The measured solubility in liquid lithium is smaller than predicted with an entropy term and for cesium the measured data is larger than the prediction. These relations between each liquid alkali metal and the solubility equations hold true for the majority of transition metals.
The solute or alkali metal examined has a negligible effect on the temperature dependence of the solubility. The majority of the experimental solubility data exhibits a temperature dependence that is smaller than predicted. Due to the large scatter of data, there is some experimental data that approaches the temperature dependence of the model while other data shows no variation of solubility with temperature. The calculated temperature dependence should be seen as the maximum limit of the solubility dependence on temperature with the majority of experimental results having a less pronounced affect.
The prediction of solubility based on the enthalpy from the Miedema model has several limitations when compared to experimental data. One of the limitations is the elemental periodicity of the liquid alkali metal which appears to have a significant influence on the enthalpy term and thus the accuracy of the solubility. The intermediate sized liquid alkali metals (sodium, potassium, and rubidium) have accurately predicted solubilities when using the interaction parameter for entropy with the enthalpy calculation. However the models predicted solubility for liquid lithium is significantly larger than the experimental data and for liquid cesium the prediction is significantly smaller than the experimental data.
For several elements with multiple solubility studies performed there is a significant amount of scatter of the experimental data. This complicates the analysis of the model compared to the experimental data. This scatter has been previously attributed to solute interactions with the various container materials used and for solute interactions with other impurities in the liquid sodium [56]. The largest contribution to the scattering has been attributed to the varying oxygen concentrations in the liquid sodium for the different studies. Increased oxygen concentrations in liquid sodium have been shown to result in increased solubility measurements for many of the elements and have a larger effect at lower temperature measurements [56]. This effect is shown in many of the lower temperature ranges of the studies examined, where the measured solubility has the most severe scattering.
Neglecting the contribution of entropy on solubility, Equation (4), severely underestimates the solubility in all the liquid alkali metals except lithium. The use of the interaction parameter provides a simple relationship to calculate the solubility while still enhancing the accuracy. The plausible range of the interaction parameter of 1500 to 3000 K while helping to capture the scatter of experimental data, allows too large of a range for the calculated solubility. Lyublinski et al. [5] suggested the use of only the interaction parameter of 3000 K. This interaction parameter gives an excellent fit to some of the data and allows a narrowing of the predicted solubility. However the scatter of most of the experimental data can cause equal justification in the same system for the use of an interaction parameter of 1500 K. The accuracy in the prediction of solubility in liquid alkali metal would be greatly increased if a more definitive contribution from the entropy were determined.
The use of Equations (3) and (5) provided little difference in the models’ effectiveness to predict solubility in liquid alkali metals. The enthalpy calculated by the Miedema model dominated both equations causing the results to be similar. The major variation between the equations was that Equation (5) resulted in a slightly larger temperature dependence for solubility than Equation (3). The effectiveness of the solubility prediction was not drastically altered with the inclusion of the latent heat term.
5. Conclusions
The model presented using enthalpy prediction by de Boer et al. [4] and an interaction parameter for entropy can be used for an initial estimate of the solubility of transition metals in liquid alkali metals but considerations must be made. For liquid sodium, potassium, and rubidium the use of the enthalpy from the Mideama model with an interaction parameter for entropy correctly predicted a range for the solubility. However the results of the model were much larger than experimental data for liquid lithium systems and much smaller than experimental data for liquid cesium systems. Thus the prediction was influenced more by the Miedema model’s effect of periodicity on the calculation of enthalpy for liquid alkali metal than experimental data suggests.
The model’s predicted temperature dependence of the solubility was larger than the majority of experimental data. While several experimental results approached the temperature dependence predicted, the majority of data suggested a less dramatic impact of temperature on solubility. The predicted temperature dependence could be used as a maximum limit on the temperature dependence on solubility with the majority of practical applications experiencing a less pronounced dependence.
The increase of the model’s solubility prediction can be accomplished in several ways. The parameters for cesium and lithium should be carefully examined in an attempt to reduce the periodicity the model causes for the liquid alkalis. Another consideration is in how the entropy term is represented. The use of an interaction parameter creates a large range of solubility but this range effectively captures experimental data scatter.
Acknowledgments
This research was funded under the U.S. Department of Energy DOE-NEUP program, Project Number: 14-6482.
Author Contributions
Jeremy Isler and Jinsuo Zhang conceived and designed the experiments; Jeremy Isler performed the calculations and analyzed the data; Jinsuo Zhang contributed analysis tools; Jeremy Isler wrote the paper.
Conflicts of Interest
The authors declare no conflict of interest.
Appendix A
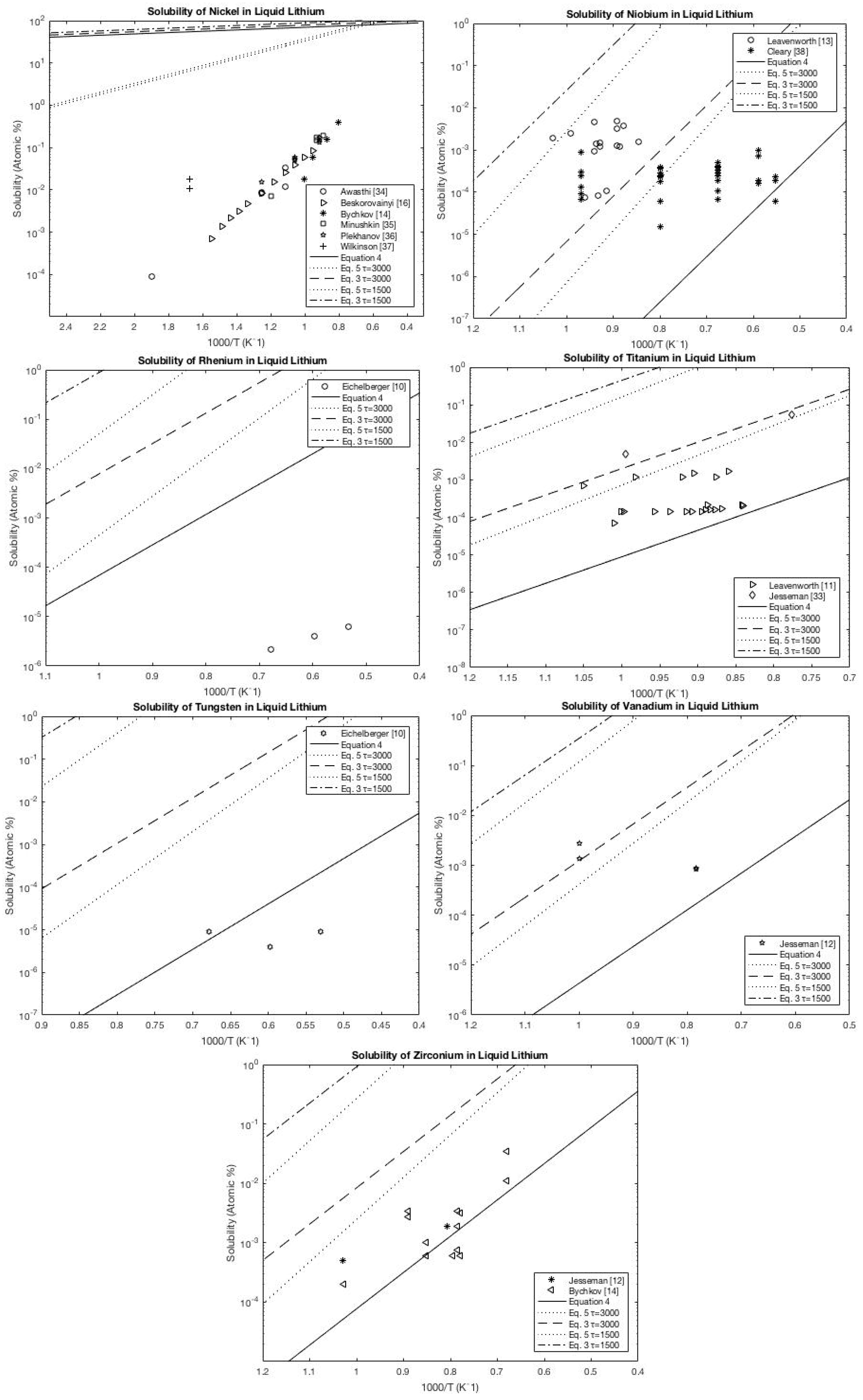
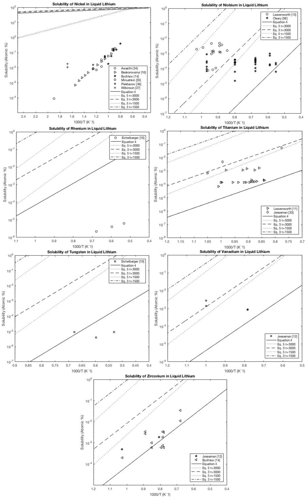
A.1. Lithium

Figure A1.
Solubility of additional transition metals in liquid lithium compared to the model.
Figure A1.
Solubility of additional transition metals in liquid lithium compared to the model.


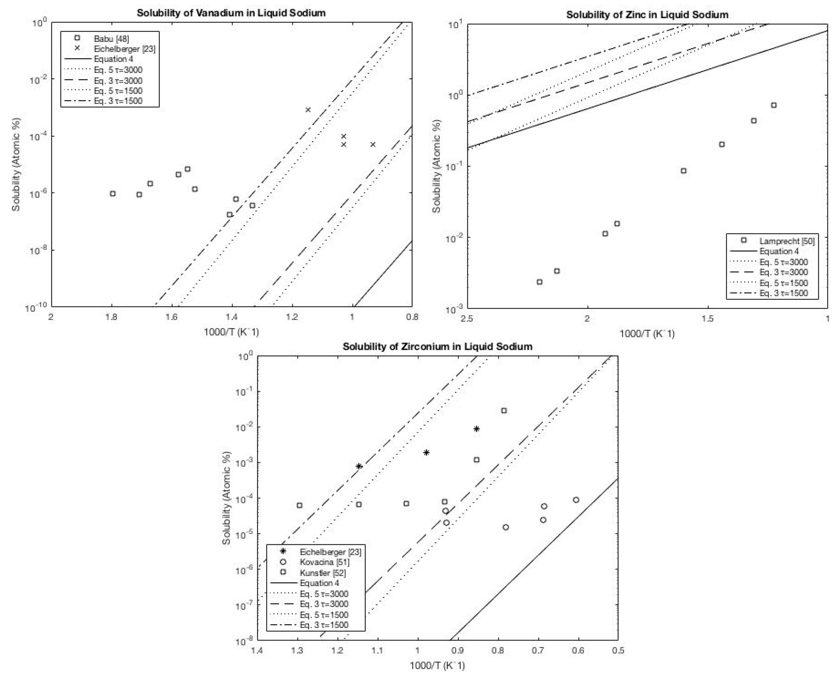
A.2. Sodium

Figure A2.
Solubility of additional transition metals in liquid sodium compared to the model.
Figure A2.
Solubility of additional transition metals in liquid sodium compared to the model.


A.3. Potassium

Figure A3.
Solubility of additional transition metals in liquid potassium compared to the model.
Figure A3.
Solubility of additional transition metals in liquid potassium compared to the model.


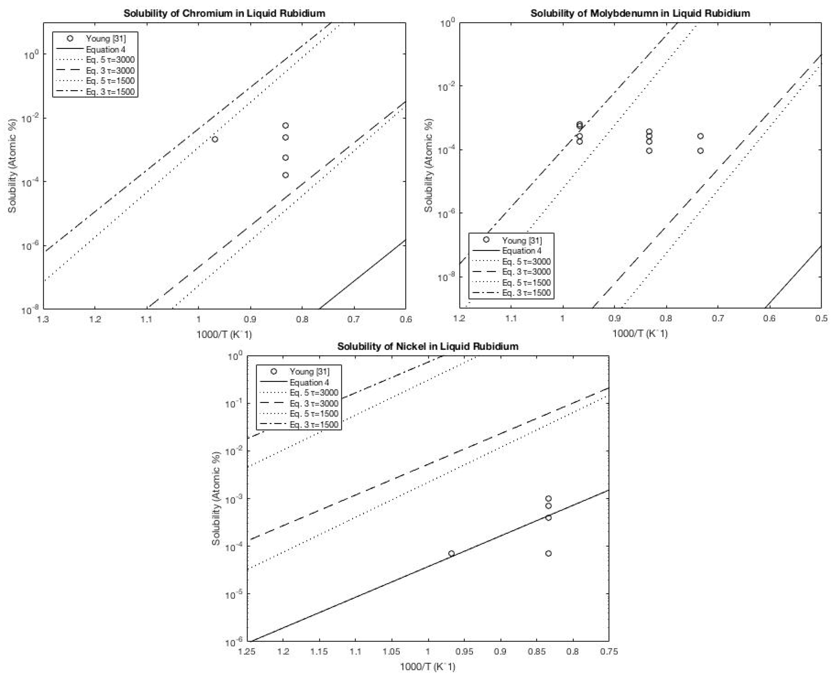
A.4. Rubidium
Figure A4.
Solubility of additional transition metals in liquid rubidium compared to the model.
Figure A4.
Solubility of additional transition metals in liquid rubidium compared to the model.

A.5. Cesium

Figure A5.
Solubility of additional transitional metals in liquid cesium compared to the model.
Figure A5.
Solubility of additional transitional metals in liquid cesium compared to the model.


References
- Borgstedt, H.U.; Guminski, C. Solubility Data Series: Metals in Liquid Alkali Metals Part 1: Be to Os; Oxford University Press: Oxford, UK, 1996. [Google Scholar]
- IAEA. Alkali Metal Coolants: Proceedings of the Symposium Held by the International Atomic Energy Agency in Vienna, 28 November–2 December 1966; International Atomic Energy Agency: Wien, Austria, 1967. [Google Scholar]
- Mariani, R.D.; Porter, D.L.; O’Holleran, T.P.; Hayes, S.L.; Kennedy, J.R. Lanthanides in metallic nuclear fuels: Their behavior and methods for their control. J. Nucl. Mater. 2011, 419, 263–271. [Google Scholar] [CrossRef]
- De Boer, F.R.; Boom, R.; Mattens, W.C.; Miedema, A.R.; Niessen, A.K. Cohesion in Metals: Transition Metal Alloys; Elsevier: Amsterdam, The Netherlands, 1988. [Google Scholar]
- Lyublinski, I.E.; Evtikhin, V.A.; Pankratov, V.Y.; Krasin, V.P. Numerical and experimental determination of metallic solubilities in liquid lithium, lithium-containing nonmetallic impurities, lead and lead-lithium eutectic. J. Nucl. Mater. 1995, 224, 288–292. [Google Scholar] [CrossRef]
- Gale, W.F.; Totemeier, T.C. Smithells Metals Reference Book (Eighth Edition); Elsevier: Amsterdam, The Netherlands, 2004. [Google Scholar]
- Bakker, H. Enthalpies in Alloys: Miedema’s Semi-Empirical Model; Enfield Publishing & Distribution Company: Enfield, NH, USA, 1998. [Google Scholar]
- Lupis, C.H.P. Chemical Thermodynamic of Materials; Elsevier Science Ltd.: Amsterdam, The Netherlands, 1983. [Google Scholar]
- Stecura, S. Corrosion of oxygen-doped tantalum by lithium. Corros. Sci. 1976, 16, 233–241. [Google Scholar] [CrossRef]
- Eichelberger, R.L.; McKisson, R.L.; Johnson, B.G. Solubility of Refractory Metals and Alloys in Potassium and in Lithium; National Aeronautics and Space Administration: Washington, DC, USA, 1969. [Google Scholar]
- Leavenworth, H.W.; Cleary, R.E. The solubility of Ni, Cr, Fe, Ti and Mo in liquid lithium. Acta Metall. 1961, 9, 519–520. [Google Scholar] [CrossRef]
- Jesseman, D.S.; Roben, G.D.; Grunewald, A.L.; Fleshman, W.S.; Anderson, K.; Calkins, V.P. Preliminary Investigation of Metallic Elements in Molten Lithium; Technical Report NEPA-1465; Fairchild Engine and Airplane Corp.: Oak Ridge, TN, USA, 1950. [Google Scholar]
- Leavenworth, H.; Cleary, R.E.; Bratton, W.D. Solubility of Structural Metals in Lithium; Technical Report PWAC-356; Pratt and Whitney Aircraft: Middletown, CT, USA, 1961. [Google Scholar]
- Bychkov, Y.F.; Rozanov, A.N.; Yakovleva, V.B. The solubility of metals in liquid lithium. At. Energ. 1959, 7, 531–536. (In Russian) [Google Scholar]
- Beskorovainyi, N.M.; Yakovlev, E.I. Metallurgy & Metallography of Pure Metals; Gordon & Breach: New York, NY, USA, 1962; pp. 189–206. [Google Scholar]
- Beskorovainyi, N.M.; Vasilev, V.K.; Lyublinskii, I.E. Determination of the solubility of Fe, Ni, and Cr in Li by absorption X-ray spectral analysis. Metall. Metalloved. Chist. Met. 1980, 14, 135–148. (In Russian) [Google Scholar]
- Bogard, A.D. The Solubility of Iron in Sodium Metal, Sodium-Sodium Oxide, and Sodium-Sodium Oxide-Sodium Hydroxide; Technical Report NRL-4131; Naval Research Lab.: Washington, DC, USA, 1953. [Google Scholar]
- Eichelberger, R.L.; McKisson, R.L. Studies of the Solubility of Iron in Sodium; Technical Report Al-AEC-12834; Atomics International: Canoga Park, CA, USA, 1969. [Google Scholar]
- Epstein, L.F. Studies on the solubility of iron in liquid sodium. Science 1950, 112, 426. [Google Scholar]
- Fleitman, A.H.; Isaacs, H.S. The solubility and corrosion of pure iron in liquid sodium containing dissolved oxygen. In Proceedings of the 1970 Metals Conference, Cleveland, OH, USA; 1970. [Google Scholar]
- Periaswami, G.; Ganesan, V.; Babu, S.R.; Mathews, C.K. Solubility of manganese and iron in sodium. In Material Behavior and Physical Chemistry in Liquid Metal Systems; Borgstedt, H.U., Ed.; Plenum Press: New York, NY, USA, 1982; pp. 411–420. [Google Scholar]
- Rodgers, S.J.; Mausteller, J.W.; Batutis, E.F. Iron and Nickel Concentrations in Sodium; Technical Report NP-5241; Mine Safety Appliances Co.: Cranberry Township, PA, USA, 1954. [Google Scholar]
- Eichelberger, R.L.; McKisson, R.L. Solubility Studies of Cr, Co, Mn, Mo, Ni, Nb, Ti, V, and Zr in Liquid Sodium; Technical Report AL-AEC-12955; Atomics International: Canoga Park, CA, USA, 1970. [Google Scholar]
- Pellett, C.R.; Thompson, R. Measurement of transition metal solubilities in liquid sodium; cobalt, nickel, and chromium. In Liquid Metal Engineering and Technology: Proceedings of the Third International Conference Held in Oxford on 9–13 April 1984; British Nuclear Energy Society: London, UK, 1984; Volume 3, pp. 43–48. [Google Scholar]
- McKisson, R.L.; Eichelberger, R.L.; Dahleen, R.C.; Scarborough, J.M.; Argue, G.R. Solubility Studies of Ultra Pure Alkali Metals; Technical Report NASA-CR-610; North American Aviation, Inc.: Canoga Park, CA, USA, 1966. [Google Scholar]
- Ginell, G.S.; Teitel, R.J. Determination of solubility of several transition metals in molten potassium. Trans. Am. Nucl. Soc. 1965, 8, 393–394. [Google Scholar]
- Stecura, S. Apparent Solubilities of Commercially Pure and Oxygen-Doped Tantalum and Niobium in Liquid Potassium; Technical Report NASA-TN-D-5875; National Aeronautics and Space Administration: Cleveland, OH, USA, 1970. [Google Scholar]
- Swisher, J.H. Solubility of Iron, Nickel, and Cobalt in Liquid Potassium and Effect of Oxygen Gettering Agents on Iron Solubility; Technical Report NASA-TN-D-2734; NASA Lewis Research Center: Cleveland, OH, USA, 1965. [Google Scholar]
- McKisson, R.L.; Eichelberger, R.L.; Dahleen, R.C.; Scarborough, J.M.; Argue, G.R. The Solubility of Cu, Mo, Nb, Fe, Ni, and Cr in High Purity Sodium; Technical Report CONF-650411; United States Atomic Energy Commission: Washington, DC, USA, 1965. [Google Scholar]
- Ordynskii, A.M.; Popov, R.G.; Raikova, G.P.; Samsonov, N.V.; Tarbov, A.A. Solubility of components of stainless steel in liquid potassium. Teplofiz. Vys. Temp. 1981, 19, 1192–1197. (In Russian) [Google Scholar]
- Young, P.F.; Arabian, R.W. Determination of Temperature Coefficient of Solubility of Various Metals in Rubidium and the Corrosive Effects of Rubidium on Various Alloys at Temperatures from 1000 to 2000 °F; Technical Report AGN-8063; Aerojet-General Nucleonics: San Ramon, CA, USA, 1963. [Google Scholar]
- Godneva, M.M.; Sedelnikova, N.D.; Geizler, E.S. Solubilities and Change of Weight of Some Metals in Caesium. Zh. Prikl. Khim. 1974, 47, 2177–2180. (In Russian) [Google Scholar]
- Kirillov, V.B.; Krasin, V.P.; Lyublinskij, I.E.; Kuzin, A.N. Effect of nitrogen and oxygen impurities on dissolution and metal mass transfer in lithium and sodium melts. Zh. Fiz. Khim. 1988, 62, 3191–3195. [Google Scholar]
- Awasthi, S.P.; Borgstedt, H.U.; Frees, G. Solubility of metals in sodium and lithium. In Liquid Metal Engineering and Technology: Proceedings of the Third International Conference Held in Oxford on 9–13 April 1984; British Nuclear Energy Society: London, UK, 1984; Volume 1, pp. 265–269. [Google Scholar]
- Minushkin, B. Solution Rates and Equilibrium Solubility of Nickel and Iron in Liquid Lithium; Technical Report NDA-2141-1; United Nuclear Corp.: White Plains, NY, USA, 1961. [Google Scholar]
- Plekhanov, G.A.; Fedortsov-Lutikov, G.P.; Glushko, Y.V. The effect of non-metallic impurities on the solubility of steel components in liquid lithium. At. Energ. 1978, 45, 143–145. [Google Scholar] [CrossRef]
- Wilkinson, W.D.; Yaggee, F.L. Attack on Metals by Lithium; Technical Report ANL-4990; Argonne National Lab.: Lemont, IL, USA, 1950. [Google Scholar]
- Cleary, R.E.; Blecherman, S.S.; Corliss, J.E. Solubility of Refractory Metals in Lithium and Potassium; Technical Report TIM-850; Pratt and Whitney Aircraft: Middletown, CT, USA, 1965. [Google Scholar]
- Grand, J.A.; Baus, R.A.; Bogard, A.D.; Williams, D.D.; Lockhart, L.B.; Miller, R.R. The solubility of tantalum and cobalt in sodium by activation analysis. J. Phys. Chem. 1959, 63, 1192–1194. [Google Scholar]
- Sivasubramanian, K.; Mitragotri, D.S.; Bhat, N.P. Measurement of Solubility of Cobalt in Liquid Sodium; Bhabha Atomic Research Centre: Bombay, India, 1995; pp. 262–263. [Google Scholar]
- Eichelberger, R.L.; McKisson, R.L. Solubility of Copper in Sodium; Technical Report Al-AEC-12671; Atomics International: Canoga Park, CA, USA, 1968. [Google Scholar]
- Humphreys, J.R. Interdivision Document K-3-774; Los Alamos Scientific Laboratory: Los Alamos, NM, USA, 1958. [Google Scholar]
- Koenig, R.F. Corrosion of Zirconium and Its Alloys in Liquid Metals; Technical Report KAPL-982; Knolls Atomic Power Lab.: Niskayuna, NY, USA, 1953. [Google Scholar]
- Singer, R.M.; Weeks, J.R. On the Solubilities of Cu, Ni, and Fe in Liquid Sodium; Technical Report BNL-1307; Brookhaven National Lab.: Upton, NY, USA, 1969. [Google Scholar]
- Walker, R.A.; Pratt, J.N. The solubility of copper in liquid sodium. J. Nucl. Mater. 1969, 32, 340–345. [Google Scholar] [CrossRef]
- Stanaway, W.P.; Thompson, R. Solubility of Metals, Iron and Manganese in Sodium. In Proceedings of the Second International Conference on Liquid Metal Technology in Energy Production, Richland, WA, USA, 20–24 April 1980; Dahlke, J.M., Ed.; American Nuclear Society: Washington, DC, USA, 1980. [Google Scholar]
- Stanaway, W.P.; Thompson, R. The solubility of transition metals, Mn and Co in liquid sodium. In Material Behavior and Physical Chemistry in Liquid Metal Systems; Borgstedt, H.U., Ed.; Plenum Press: New York, NY, USA, 1982; pp. 421–427. [Google Scholar]
- Babu, S.R.; Periaswami, C.; Geetha, R.; Mahalingam, T.R. Solubility of molybdenum and vanadium in liquid sodium. In Liquid Metal Engineering and Technology: Proceedings of the Third International Conference Held in Oxford on 9–13 April 1984; British Nuclear Energy Society: London, UK, 1984; Volume 1, pp. 271–275. [Google Scholar]
- Kunstler, K.; Baum, H. Deposition of Niobium in the System Sodium-Steel; Technical Report ZFK-340; German Democratic Republic: Dresden, Germany, 1977; pp. 47–48. (In German) [Google Scholar]
- Lamprecht, G.J.; Crowther, P. Solubility of metals in liquid sodium: The systems sodium-silver, sodium-zinc, and sodium-cerium. Trans. AIME 1968, 242, 2169–2171. [Google Scholar]
- Kovacina, T.A.; Miller, R.R. The Solubility of Columbian-1% Zirconium in Sodium by Activation Analysis; Technical Report NRL-6051; Naval Research Lab.: Washington, DC, USA, 1964. [Google Scholar]
- Kunstler, K.; Heyne, H. Solubility of zirconium in liquid sodium. In Material Behavior and Physical Chemistry in Liquid Metal Systems; Borgstedt, H.U., Ed.; Plenum Press: New York, NY, USA, 1995; pp. 311–319. [Google Scholar]
- Stecura, S. Solubilities of Molybdenum and Tungsten in Liquid Potassium; Technical Report NASA-TN-D-5504; NASA Lewis Research Center: Cleveland, OH, USA, 1969. [Google Scholar]
- Litman, A.P. The Effect of Oxygen on the Corrosion of Niobium by Liquid Potassium; Technical Report ORNL-3751; Oak Ridge National Lab.: Oak Ridge, TN, USA, 1965. [Google Scholar]
- Stecura, S. Solubilities of molybdenum, tungsten, vanadium, titanium, and zirconium in liquid potassium. In Corrosion by Liquid Metals; Draley, J.E., Ed.; Springer: New York, NY, USA, 1970; pp. 601–611. [Google Scholar]
- Awasthi, S.P.; Borgstedt, H.U. An Assessment of solubility of some transition metals (Fe, Ni, Mn, and Cr) in liquid sodium. J. Nucl. Mater. 1983, 116, 103–111. [Google Scholar] [CrossRef]
© 2016 by the authors; licensee MDPI, Basel, Switzerland. This article is an open access article distributed under the terms and conditions of the Creative Commons Attribution (CC-BY) license (http://creativecommons.org/licenses/by/4.0/).











