You are currently viewing a new version of our website. To view the old version click .
Metals
  • Article
  • Open Access

5 March 2025

An Innovative Algorithm for Damage Mapping in Multiaxial Fatigue Using the Stress Scale Factor (SSF) Concept

,
and
1
IDMEC, Instituto Superior Técnico, Universidade de Lisboa, 1049-001 Lisboa, Portugal
2
IDMEC, Instituto Superior de Engenharia de Lisboa, Polytechnic University of Lisbon, 1959-007 Lisboa, Portugal
3
Unit for Innovation and Research in Engineering, Polytechnic University of Lisbon, 1959-007 Lisbon, Portugal
*
Authors to whom correspondence should be addressed.
This article belongs to the Special Issue Novel Insights into Fatigue and Fracture Behavior of Metallic Materials

Abstract

Predicting damage to materials under multiaxial fatigue is a complex challenge, especially when normal and shear stresses interact in dynamic and non-linear ways. Traditional methods often oversimplify these interactions, leading to less reliable fatigue predictions and limiting their usefulness in real-world applications. To address this, we present a novel algorithm based on the principles of the Stress Scale Factor (SSF), designed to dynamically evaluate the relative contributions of normal and shear stresses to fatigue damage. By providing a more accurate mapping of multiaxial fatigue damage, this approach enables improved predictions of fatigue life. The methodology combines experimental insights with mathematical modeling to create a flexible and adaptive framework. By making it possible to map multiaxial fatigue damage with greater precision, this SSF-based approach not only enhances the understanding of fatigue behavior but also enables better design decisions. The result is safer, more reliable, and efficient structures across a range of applications. This study bridges the gap between theoretical methods and practical needs, offering engineers and researchers a powerful tool to improve fatigue analysis and optimize structural performance.

1. Introduction

The prediction of fatigue damage in materials under multiaxial loading has long been a challenge in materials science and engineering. In practice, components are rarely subjected to uniaxial loading. Instead, they are subjected to a combination of normal and shear stresses that result in complex multiaxial stress states, making it much more difficult to assess fatigue life and understand how and when failure might occur. Despite decades of research and significant advances, reliably predicting fatigue life under such real-world conditions remains an ongoing challenge that impacts safety and efficiency in numerous industries [,,].
Fatigue is one of the main causes of structural failure and is responsible for more than 90% of component failures subjected to cyclic loading []. The accurate prediction of fatigue life is particularly important in industries where failure is not an option. In aerospace, for example, aircraft components must withstand fluctuating loads over long periods, where a single miscalculation can have catastrophic consequences. The situation is similar in biomedical engineering: implants such as artificial joints are exposed to constant, multi-axial loads in the human body, the reliability of which has a direct impact on quality of life. To ensure the safety and longevity of these components, it is important to understand how normal and shear stresses interact and contribute to the progressive degradation of materials over time [].
Traditional methods of analyzing fatigue, such as the von Mises and Tresca criteria, have provided engineers with tools to simplify multiaxial stress states by converting them into equivalent uniaxial values. Although these methods are computationally efficient, they often do not do justice to the complexity of real loading. They do not fully account for the dynamic interactions between normal and shear stresses, especially for non-proportional loading conditions where both the magnitude and direction of the stresses change continuously. This oversimplification often leads to significant errors in fatigue life predictions, especially for advanced designs where safety margins must be balanced with performance and weight efficiency [].
Recent developments in this area have highlighted the need for more differentiated approaches. The Stress Scale Factor (SSF) has proven to be a promising tool for overcoming the challenges of accounting for fatigue damage caused by stress effects, such as the nature of stress paths and the magnitude of stress amplitudes. In contrast to conventional methods, the SSF introduces a dynamic scaling factor that reflects how differently normal and shear stresses contribute to fatigue damage. This approach can be applied to all materials and loading conditions and provides a more accurate picture of how damage accumulates over time [].
This study aims to refine the framework for understanding how normal and shear stresses contribute to fatigue damage. Specifically, it focuses on improving the original algorithm of the Stress Scale Factor (SSF) model to create a more precise and reliable way to map damage in materials under multiaxial loading. To ensure its effectiveness, the improved methodology will be validated using experimental data from high-strength materials subjected to different loading conditions.
The significance of this work is twofold. On a practical level, the proposed methodology will enable more accurate predictions of fatigue life, leading to safer and more efficient designs across critical industries. By precisely mapping fatigue damage under complex loading conditions, engineers can avoid over-designing components, saving costs and improving performance without compromising reliability. This is crucial in fields such as aerospace, where safety cannot be compromised, and in biomedical engineering, where the failure of devices can have life-altering consequences.
By evaluating the dynamic contributions of normal and shear stresses, this study helps bridge the gap between classical fatigue models and the reality of real loading scenarios. This provides researchers with a valuable tool to study material behavior, which ultimately leads to advances in design, manufacturing, and maintenance.
As engineering challenges become increasingly complex, the ability to predict fatigue damage under multiaxial loading conditions is more important than ever. By addressing the limitations of existing approaches and providing a robust, adaptable solution, this study aims to advance both the theoretical understanding and practical application of fatigue analysis. The methodology presented here makes a valuable contribution to improving design safety and efficiency, supporting enhanced reliability in critical applications across various industries.
The remainder of this article is organized as follows: The next section reviews previous work on multiaxial fatigue and the development of the SSF, highlighting key gaps in the current state of knowledge. The methodology section explains the proposed algorithm in detail, including its mathematical formulation and experimental validation. Results and discussions follow, where the performance of the SSF-based algorithm is compared with traditional methods, using experimental data from both proportional and non-proportional loading conditions. Finally, the conclusion summarizes the key findings and implications of this work while outlining potential directions for future research.

2. Literature Review

Understanding and predicting multiaxial fatigue is an important focus in engineering and materials science, as it has a significant impact on the durability and reliability of components in real-world applications [,]. In contrast to the simplified uniaxial loading conditions often used in conventional testing, most structures in service are subjected to complex combinations of normal and shear stresses. These interactions lead to multiaxial stress states that accelerate fatigue damage and make accurate predictions difficult []. As the industry pushes for safer and more efficient designs, researchers have been working to develop methods that can model fatigue damage under these complex loading conditions. However, existing approaches still face significant limitations, particularly in adapting to the dynamic nature of stress interactions [].
In the early days of fatigue research, methods such as the von Mises and Tresca criteria offered a way to simplify multiaxial stress states into equivalent uniaxial values. These models were computationally simple and widely used due to their ease of application. However, because they were based on static assumptions, they were poorly suited to more complex scenarios, particularly in the case of non-proportional loading where the direction and magnitude of stresses change with time. These limitations highlighted the need for more advanced approaches that take into account the evolving nature of multiaxial fatigue [].
Over the years, researchers have developed various families of models to predict fatigue behavior, each with a distinct approach based on stress, strain, energy, or critical planes [,,,].
Stress-based models rely on the external loads applied to a material to predict its fatigue life, assuming that the failure mechanisms are dominated by the stress state. These models are particularly effective for materials that do not experience significant plastic deformation before failure. Examples include the Sines Criterion, which considers a combination of mean hydrostatic and deviatoric stresses, and the Crossland Criterion, which evaluates the maximum shear stress amplitude alongside the maximum hydrostatic stress. The Dang Van Criterion adds further sophistication by examining normal and shear stresses at a microscopic scale, making these methods well-suited for elastic deformation scenarios [,,].
Strain-based models shift the focus to the deformations, both elastic and plastic, experienced by the material. These models are particularly useful for ductile materials where plastic deformation plays a significant role before failure. Among the most prominent are the Brown–Miller Criterion, which combines normal and shear strain components on the critical plane, and the Fatemi–Socie Criterion, which incorporates a mean normal stress factor to account for crack closure effects, which is a type of static stress scale factor. These approaches are widely used in industries such as automotive and aerospace, where high cyclic strains are common [,,,].
Energy-based models take a different perspective, relating fatigue life to the energy dissipated or stored during deformation cycles. This approach offers a unified framework to analyze damage across both elastic and plastic regimes. For instance, Morrow’s model links fatigue life to the plastic strain energy accumulated per cycle, while the Smith–Watson–Topper (SWT) model evaluates the product of maximum stress and strain amplitude to estimate damage. These methods are particularly effective in scenarios where energy dissipation strongly correlates with fatigue damage, such as in low-cycle fatigue applications [,].
Finally, critical plane models focus on identifying the planes within the material where fatigue failure is most likely to occur. These models analyze the stress and strain states on specific planes to provide a detailed understanding of the failure mechanisms. The Findley Criterion combines normal and shear stresses on the critical plane to predict failure, while the McDiarmid Criterion incorporates the updates of these stresses using the material tensile strength [,,,,].
Despite these different approaches to the fatigue problem, they all share a fundamental commonality: they assume a constant relationship between the damage caused by normal and shear stresses or normal and shear strains. This assumption implies that the interaction between these stress or strain components is independent of both the type of loading and its intensity. However, experimental evidence consistently demonstrates that this relationship is not constant. Instead, the proportion of damage caused by normal and shear stresses varies significantly depending on the loading type and its respective intensity. This variability reveals a critical limitation in existing models and highlights the need for further advancements in this field [,].
Addressing this issue is essential for developing more accurate and versatile models capable of reflecting the real behavior of materials under multiaxial fatigue. Understanding and accounting for the dynamic relationship between normal and shear stresses in response to varying loading conditions could lead to significant improvements in fatigue life predictions, ultimately enhancing the reliability and safety of engineering designs.
In recent years, the introduction of the Stress Scale Factor (SSF) has brought a new perspective to the field []. Unlike previous models, which were often based on static assumptions or simplified formulas, the SSF introduces a dynamic scaling factor to adjust the contribution of normal and shear stresses to fatigue damage. Thanks to this adaptability, the SSF more accurately reflects the actual interaction of stresses and is, therefore, a significant advancement over conventional methods. Initial research results on the SSF are very promising. Studies have shown that it can improve the prediction of the fatigue life of materials subjected to proportional and non-proportional load paths. These initial successes underline the potential of the SSF as a revolutionary tool for multiaxial fatigue analysis.
However, the current implementation of the SSF is not without its problems. The system relies heavily on a generic formula to represent the damage, which simplifies the contributions of the stress components. While this approach provides a good basis for research, it does not do justice to the unique behavior of different materials and loading conditions.
To realize the full potential of the SSF, a more robust and adaptive algorithm is needed—one that can dynamically represent damage based on the evolving interactions between stresses. Such an algorithm would not only improve accuracy but also extend the applicability of the SSF to a wider range of engineering scenarios.
To solve this problem, we need to go beyond generalized equations and develop a method that can be adapted to specific materials and loading configurations. By incorporating material-specific parameters and utilizing experimental data, a refined SSF framework can provide accurate fatigue life predictions. Furthermore, the integration of this advanced algorithm into modern computational tools, such as finite element analysis software, is crucial for its application in practice. Without this step, there is a risk that the SSF will remain a theoretical tool with limited impact in practice.
Another challenge is to validate the SSF for a wider range of materials and conditions. While current research focuses on high-strength steels and aluminum alloys, other advanced materials, such as composites, pose new challenges due to their anisotropic properties and different fatigue behavior. Extending the SSF to these materials would significantly increase its versatility and make it a more comprehensive solution to the demands of modern engineering.
Advances in computational methods also offer exciting opportunities to improve the SSF. Machine learning and data-driven techniques could be used to dynamically refine scaling factors, reducing the need for extensive experimental calibration. By analyzing large datasets on material behavior under different conditions, these tools can help create an SSF framework that is both accurate and adaptable. This approach could bridge the gap between the theoretical potential of the SSF and its practical application in industry.
Non-proportional loading remains one of the biggest challenges in multiaxial fatigue analysis, and the SSF is in a unique position to address it. Unlike conventional models, the dynamic nature of the SSF allows it to account for factors such as stress phase shifts and changes in principal stress directions—phenomena that are often critical to fatigue damage but are inadequately addressed by existing approaches. With further refinement, the SSF can become a cornerstone in the analysis and prediction of damage under these complex conditions.
The development of a new, robust algorithm for damage mapping would allow tackling these challenges and allow the SSF to no longer rely on general formulas. The proposed improvements would not only increase the accuracy of the SSF but also open the door for its integration into real-world engineering tools.
If the current gaps in the methodology are addressed, it has the potential to offer unprecedented accuracy and adaptability. With the proposed algorithmic improvements and focus on expanding applicability, the SSF can evolve into a practical and reliable tool for engineers and researchers alike, bridging the gap between theoretical knowledge and real-world requirements.

3. Materials and Methods

Recent studies have shown that fatigue damage scales perform differently to normal and shear stresses. Analyzing uniaxial stress-life (S-N) curves for both stress components reveals a consistent trend: the S-N curve for normal stress always lies above that for shear stress. This indicates that a higher magnitude of normal stress is required to achieve the same fatigue life as shear stress.
Experimental findings have repeatedly confirmed this pattern, reinforcing the idea that normal stress exhibits greater fatigue resistance than shear stress. In practical terms, under cyclic loading of equal magnitudes, shear stress leads to fewer fatigue cycles compared to normal stress. This distinction is crucial for fatigue design and analysis, especially in multiaxial loading scenarios where combined stresses influence material behavior. Understanding these differences is essential to develop accurate fatigue life prediction models and optimize material selection for cyclic loading conditions.
Building on this, Anes et al. demonstrated that under multiaxial loading, the damage contribution of normal and shear stresses varies significantly, depending on the type and magnitude of the applied load. Fatigue life estimation models for multiaxial loading typically incorporate a scaling factor to align the shear stress damage contribution with that of normal stress.
For instance, the von Mises equivalent stress criterion applies a factor of √3 to convert shear stress into an equivalent normal stress damage scale. Similarly, other commonly used damage parameters in multiaxial fatigue analysis include constants derived from fatigue limit stresses obtained through uniaxial shear and normal loading tests.
However, experimental evidence suggests that this scaling factor is not constant. Instead, it varies depending on the intensity of normal and shear stresses, as well as the loading path. This variability was confirmed through tests on high-strength 42CrMo4 steel subjected to five distinct loading trajectories:
  • Uniaxial normal stress loading;
  • Uniaxial shear stress loading;
  • Proportional loading with stress amplitude ratios corresponding to orientations of 30°, 45°, and 60° in von Mises stress space.
The Stress–Amplitude Ratio (SAR), defined as the ratio between the amplitude of shear stress and normal stress, was used to differentiate between proportional loading conditions. This ratio effectively describes the loading trajectory orientation in stress space, with a 45° condition (usually serving as the proportional loading reference). A 30° trajectory corresponds to a dominant normal stress component, while a 60° trajectory features a dominant shear stress component.
These proportional loading paths enabled a detailed investigation into how different SAR values influence fatigue behavior. Results revealed that the scaling factor between shear and normal stress is highly sensitive to both the loading trajectory and the relative magnitudes of stress components. This variability underscores the limitations of using a fixed scaling factor in multiaxial fatigue analysis and highlights the need for more adaptive fatigue life prediction models. These considerations are particularly relevant for high-performance materials like 42CrMo4 steel, where precise fatigue life estimations are critical for ensuring structural integrity under complex loading conditions.
To address this issue, Anes et al. [] proposed replacing the fixed scaling factor with a damage map derived from experimental tests under the five identified loading conditions already described. Traditional multiaxial fatigue models rely on the ratio of fatigue limit stresses for normal and shear stress, obtained from the first two loading cases. However, Anes et al. suggested integrating the three additional proportional loading conditions into the framework to refine fatigue damage assessment.
Furthermore, instead of relying solely on the fatigue limit, their approach utilizes the S-N curves obtained from each of the five loading conditions. This methodology allows for a more comprehensive update to the damage scale across the entire fatigue life spectrum. Specifically, it refines the scaling parameter to account for damage under finite life conditions, enabling more accurate predictions of fatigue behavior across a broader range of loading scenarios. This novel approach provides a more precise and experimentally validated representation of the relationship between normal and shear stress contributions to fatigue damage, enhancing the predictive accuracy of multiaxial fatigue life models.
In Equation (1), the equivalent stress τeqv is presented, which incorporates the previously discussed damage map. In this formulation, τa represents the amplitude of the shear stress, σa represents the amplitude of the normal stress, and λ denotes the ratio between the amplitude of the shear stress and the amplitude of the normal stress. This equivalent shear stress can be used to estimate the fatigue life through the uniaxial S-N curve for shear stress using Equation (2). The formulation of τeqv allows for a more accurate representation of the fatigue damage under multiaxial loading by considering the experimental insights provided by the damage map, enabling reliable fatigue life predictions based on shear stress behavior.
τ e q v = τ a + s s f σ a , λ σ a
N f = τ e q v A 1 b
where A and b represent the material constants of the uniaxial shear S-N curve.
The damage map, represented by the SSF function in Equation (1), is derived from the SSF parameter, which is determined based on S-N curves for both the shear stress and normal stress components of proportional loading. Instead of using a single S-N curve to describe multiaxial loading, this approach considers two separate S-N curves—one for the shear component and another for the normal component.
To calculate the SSF parameter for a given load, the shear component of the loading is compared with the shear component of the S-N curve from uniaxial shear loading, considering the same fatigue life (Nf). Typically, the amplitude of the shear stress in the given loading is lower than the reference value defined by the uniaxial S-N shear curve. The missing portion of the shear stress, needed to match the S-N curve amplitude, is compensated for by the contribution of the normal stress component. Since the normal stress component is usually much larger than the missing shear stress portion, it needs to be scaled down by a factor smaller than one—this is where the SSF factor comes in. By applying this factor, we can properly account for the contribution of normal stress in the overall fatigue damage caused by the simultaneous presence of both shear and normal stresses.
This approach provides a more accurate representation of how combined stresses influence fatigue damage, ensuring a better estimation of the material’s lifespan under multiaxial loading conditions.
The following steps outline the process for determining the SSF factor, which accounts for the combined effects of shear and normal stresses in fatigue loading:
  • Determining the shear stress amplitude—Extract the shear stress component from the analyzed loading;
  • Comparison with the uniaxial S-N shear curve—For the same fatigue life (Nf), compare the shear stress amplitude of the given loading with the shear stress amplitude from the uniaxial S-N shear curve;
  • Calculating the missing shear stress portion—If the shear stress in the given loading is lower than that of the uniaxial S-N shear curve, determine the amount of missing shear stress needed to reach the reference value from the S-N curve;
  • Contribution of normal stress—The missing shear stress is compensated by the normal stress component of the loading. Since the normal stress is typically much higher than the required shear stress portion, an adjustment factor SSF is applied;
  • Calculating the SSF—The SSF factor is determined as a coefficient that scales the normal stress contribution, ensuring that the combined effect of shear and normal stresses matches the reference uniaxial S-N shear curve. Equation (3) shows how to calculate the SSF factor for a given Nf.
s s f = τ u n i a x i a l τ a σ a N f
Table 1 presents the SSF calculations for proportional loading, where the ratio between the shear stress amplitude and the normal stress amplitude corresponds to an angle of 30°.
Table 1. SSF calculations for proportional loading with a 30° SAR.
Table 1 presents the calculation process for the SSF parameter. The first column shows the Stress–Amplitude Ratio (SAR) of the loading, obtained by dividing the values in column 4 by those in column 5. Since this ratio remains constant throughout, only the first result is displayed. The second column lists the fatigue life values (Nf), starting at one thousand cycles and extending up to ten million cycles.
In the third column, the uniaxial shear stress amplitudes for each fatigue life value are presented. These values were obtained from the experimental S-N curve, using a trend line fitted to the experimental results for uniaxial shear loading. The fourth and fifth columns contain the shear and normal stress amplitudes of the applied loading. These values were also obtained from the experimental S-N curve, using a trend line fitted to the experimental results.
Finally, the last column presents the SSF parameter, calculated using Equation (3). This was determined by subtracting the shear stress amplitude in column 4 from the corresponding value in column 3 and then dividing the result by the normal stress amplitude in column 5. The resulting SSF values are shown in the sixth column, reflecting the contribution of normal stress to the overall fatigue damage under multiaxial loading. The same procedure is applied to the other loading conditions, resulting in a set of SSF values for each of the four remaining load cases. The corresponding values are presented in Table 2, Table 3, Table 4 and Table 5.
Table 2. SSF Calculations for uniaxial normal stress loading—0° SAR.
Table 3. SSF Calculations for proportional loading with a 45° SAR.
Table 4. SSF Calculations for proportional loading with a 60° SAR.
Table 5. Summary of first-degree polynomial constants and corresponding SAR values.
Based on these results, Anes et al. mapped the SSF values from Table 1, Table 2, Table 3 and Table 4 to derive the function SSF(σ, λ). The purpose of this function was to enable the estimation of the SSF for Stress–Amplitude Ratios (SARs) beyond those used in the experimental loadings. However, Anes et al. did not propose a systematic methodology for deriving this function in a structured way. The SSF function was obtained through an extensive search within a large database of various function types. The selection process was based on minimizing error while ensuring the function’s graphical representation aligned with the expected fatigue damage evolution under multiaxial loading. This approach can be considered a brute-force method, meaning the resulting damage map expression is likely only valid for the specific material tested. Therefore, it becomes clear that a systematic approach for determining the SSF parameters is necessary to optimize and generalize the process of obtaining SSF values, improving both efficiency and applicability in fatigue analysis.
The following section presents the proposed methodology for determining the SSF function, which enables the evaluation of the SSF factor based on the proportional loading trajectory that is, according to the Stress–Amplitude Ratio (SAR) of the loading and the magnitude of the normal stress amplitude.

A Systematic Methodology for Deriving the SSF Function

The following outlines the steps that make up the proposed methodology for obtaining the SSF damage map, i.e., the SSF function.
  • The shear and normal S-N curves must be experimentally obtained for the following loading paths: uniaxial normal stress loading, uniaxial shear stress loading, and proportional loading with Stress–Amplitude Ratios (SARs) corresponding to orientations of 30°, 45°, and 60° in von Mises stress space;
  • The experimental SSF values must be determined following the procedure described in the previous section, using Equation (3) and the methodology outlined for Table 1;
  • A regression analysis of the SSF vs. normal stress amplitude should be performed using polynomial fitting, with the degree of the polynomial determined based on the fitting accuracy and the expected physical evolution of the function. The process begins with a first-degree polynomial for each loading path, except for the uniaxial shear case. If the first-degree polynomial does not adequately capture the expected physical trend, higher-degree polynomials should be tested to ensure a more accurate representation of the function’s behavior while maintaining consistency with the underlying physical principles. Once the polynomial degree that provides the best fitting results is identified, the same degree must be applied to all loading paths to ensure methodological consistency;
  • The coefficients of each third-degree polynomial must be extracted for each SAR;
  • These coefficients should be regressed against the SAR values of each loading path using a polynomial function, with the polynomial degree determined based on fitting accuracy and the expected physical evolution of the function. Unlike in point 3, where the same polynomial degree must be applied across all loading paths, here, the degree can vary for each constant. The choice of polynomial degree should reflect the expected physical behavior observed in the regression while ensuring a high-quality fit, as indicated by the R2 value;
  • The two expressions obtained in points 3 and 5 should be combined to derive the SSF function, providing a comprehensive and systematic representation of the SSF as a function of both SAR and normal stress amplitude.
To clarify the implementation methodology, we used the data from Table 1, Table 2, Table 3 and Table 4 to illustrate the application of the proposed approach. In this context, Steps 1 and 2 of the methodology were already addressed, as the required results were provided in these tables.
Applying the instructions from Step 3 to Table 1, Table 2, Table 3 and Table 4, we obtained the results presented in Figure 1. The x-axis represents the normal stress amplitude for each loading case with different SAR values. The results clearly showed that the SSF for each loading condition varied significantly with the magnitude of the normal stress amplitude and also depended on the SAR value. The figure also includes linear regressions for each loading condition, using a first-degree polynomial. This simple polynomial model provided an excellent fit, with an R2 value very close to 1, confirming a strong correlation between the SSF and normal stress amplitude for each SAR.
Figure 1. Correlation between normal stress amplitude and loading path: (a) pure tensile loading, (b) proportional loading with SAR = 30°, (c) proportional loading with SAR = 45°, and (d) proportional loading with SAR = 60°.
Proceeding to Step 4, Table 5 presents a summary of the constants from the first-degree polynomials s s f = A σ a + B , along with their corresponding SAR values. These data served as the basis for the next step, where a regression analysis will be performed to establish a relationship between these polynomial constants and the SAR of each loading condition.
Moving on to Step 5, a regression analysis was performed on the values from Table 5 for both constant a and constant b. This resulted in two separate expressions—one for A and another for B—as functions of the SAR, which is also expressed as σ/τ, i.e., the ratio of normal to shear stress amplitudes.
Based on these regressions, for this specific material, knowing the stress ratio of a given loading condition (which may differ from the SAR values used in the experimental loadings) allowed for the estimation of the a and b constants. These constants define the polynomial functions that correlate normal stress amplitude with the SSF factor, providing a more flexible and predictive framework for SSF estimation.
Figure 2 presents the regression analyses performed on the values from Table 5. Subfigure (a) shows the regression for parameter A, while subfigure (b) displays the regression for parameter B.
Figure 2. Regression analysis of the polynomial constants from Table 5: (a) third-degree polynomial regression for parameter a, (b) third-degree polynomial regression for parameter b.
These regressions were performed using a third-degree polynomial to achieve an R2 value as close to 1 as possible. It is suggested that an iterative inspection/search process be conducted to identify the lowest possible polynomial degree that still ensures a high R2 value, maximizing the balance between accuracy and model simplicity. In this case, the third-degree polynomial provided the best fit.
Moving on to the sixth and final step, and recalling from Step 3 that the SSF parameter can be calculated using the Equation (4), where x in the regression equations from Figure 2 corresponds to the ratio between shear stress and normal stress of the loading, we obtained the following expression:
s s f = A σ a + B
A = 0.0104 x 3 + 0.0049 x 2 0.0005 x + 0.0003
B = 4.7095 x 3 1.7191 x 2 0.9704 x + 0.6868
Now, substituting x with τ/σ = λ in the expressions for A and B, we obtain:
s s f σ a , λ = 0.0104 λ 3 + 0.0049 λ 2 0.0005 λ + 0.0003 σ a + 4.7095 λ 3 1.7191 λ 2 0.9704 λ + 0.6868
Through this approach, the SSF damage map was expressed as a function of normal stress amplitude and SAR. The proposed methodology can be applied to any material, provided that the five key loading conditions are tested, allowing for the determination of the corresponding S-N curves. While the SSF function is derived using the same methodology, the specific polynomial expressions and coefficients will be material-dependent and must be determined experimentally. These variations arise due to differences in fatigue behavior, microstructural characteristics, and the material’s sensitivity to normal and shear stress interactions. Consequently, when this methodology is applied to a different material, the resulting polynomial relationships and coefficients will be unique to that material, ensuring that the SSF function accurately captures the fatigue damage evolution under multiaxial loading.

4. Results and Discussion

Table 6 presents a summary of the performance of the calculation methodology for the SSF function. This table compares the SSF values obtained experimentally with the SSF values calculated using the SSF function expression based on the proposed methodology, as represented by Equation (7). These values appear in columns 4 and 5 of Table 6.
Table 6. Comparison of experimental and estimated SSF values, equivalent SSF stress, and relative error.
Additionally, column 6 presents the equivalent SSF stress, calculated using Equation (1), where the estimated SSF values (from column 5) were used. Finally, the last column displays the relative error between the equivalent SSF stress and the uniaxial shear stress, which is represented in column 3.
Based on the obtained results, the estimated SSF values closely matched the experimental data, with negligible errors for the first three loading conditions, ranging between 0% and 2%. These errors were calculated in relation to the uniaxial shear stress presented in column 3 of Table 6. An error of 0% indicates that the equivalent SSF stress has the same amplitude as the uniaxial shear stress, thus predicting the same fatigue life (Nf) as represented in column 2 of Table 6.
For the last loading condition (SAR = 60°), the relative error ranged from 0% to −11%, which may be attributed to the lower R2 value in the regression between the SSF parameter and normal stress amplitude, as observed in Figure 1d. Since these errors were negative, it implies that the equivalent SSF stress was lower than the reference uniaxial shear stress for the same fatigue life, leading to non-conservative fatigue life estimates. In other words, the predicted fatigue life (Nf) would be longer than expected based on the reference S-N curve for shear loading. Additionally, in this loading condition, the estimate for 1000 cycles results in a negative SSF, which should not be considered as it does not correctly account for the contribution of normal stresses to the combined damage of shear and normal stress. This leads to a negative corrected normal stress, which, when summed with the shear stress, results in a lower equivalent shear stress than the applied loading, making the fatigue life estimate non-conservative.
In the SAR = 60° loading condition, where shear stress damage predominated over normal stress damage, the first-degree polynomial regression yielded an R2 of 0.94, which was slightly lower than the 0.99 obtained in other cases but still within an acceptable range. While a third-degree polynomial might achieve R2 = 1 for this case (Figure 1d), maintaining methodological consistency across all loading conditions would require applying a third-degree polynomial to all cases, which would increase complexity without significantly improving the SSF function accuracy. Alternative regression approaches, such as power law or exponential functions, resulted in poorer fits, further reinforcing the polynomial model as the most reliable and consistent approach.
The methodology does not restrict the use of higher-order polynomials, but their application must balance accuracy and complexity, with the condition that the same polynomial degree is used across regressions. In this study, a first-degree polynomial was selected due to its simplicity and low fitting errors, which ranged from 0% to 2% for PT, PP30, and PP45. For PP60, errors remained mostly within this range, except for two points where errors reached −6% and −11%, which were still considered acceptable.
The SSF-normal stress relationship is generally linear, but in cases where shear damage predominates (e.g., SAR = 60°), nonlinear behavior emerges at the extremes, particularly in the infinite life regime and the high plasticity regime (LCF). Despite this, the first-degree polynomial was retained to maintain simplicity and avoid unnecessary complexity, as the observed errors remained within acceptable limits.

4.1. Discussion on Overfitting Analysis

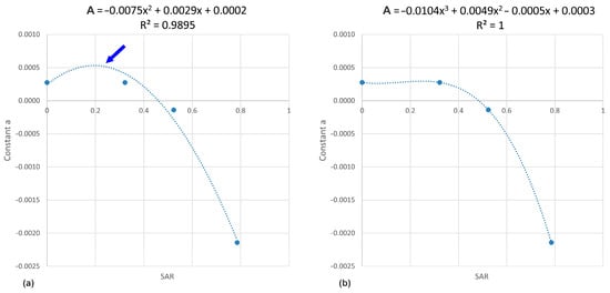
Figure 3 presents two polynomial regressions for the evolution of constant A as a function of SAR. In Figure 3a (left), a second-degree polynomial was used, achieving an R2 of 0.9895, while in Figure 3b (right), a third-degree polynomial was applied, resulting in an R2 of 1, indicating a perfect fit to the data points.
Figure 3. Regression analysis of the polynomial constant a: (a) two-degree polynomial regression, (b) third-degree polynomial regression.
Although the third-degree polynomial technically suggests overfitting, this did not present an issue in this specific case. The regression curve followed a smooth and physically consistent trend without introducing artificial oscillations or unrealistic variations. Unlike typical cases of overfitting, the polynomial did not generate overly complex artifacts or erratic behavior but rather aligned well with the expected evolution of constant a with SAR. Additionally, the difference between the second- and third-degree fit was marginal, as the second-degree model had already achieved a high R2 (0.9895), indicating that the third-degree polynomial primarily refines the trend rather than forcing an artificial adjustment.
A key observation is that in Figure 3a, the behavior of the curve in the region indicated by the blue arrow exhibited an unexpected deviation in the evolution of parameter A, which did not align with the expected trend. This suggested that the second-degree polynomial does not fully capture the correct physical behavior in this region. In contrast, in Figure 3b, the third-degree polynomial presented a more acceptable and coherent trend in the same region, aligning with the expected progression of parameter A as SAR increases. This reinforced that the evolution of parameter a with SAR is better modeled using a third-degree polynomial, as it provides a more accurate and physically meaningful representation of the data.
Figure 4 presents two polynomial regressions for the evolution of constant B as a function of SAR. In Figure 4a, a second-degree polynomial was used, achieving an R2 of 0.9788, while in Figure 4b, a third-degree polynomial was applied, resulting in an R2 of 1, indicating a perfect fit to the data points.
Figure 4. Regression analysis of the polynomial constant b: (a) two-degree polynomial regression, (b) third-degree polynomial regression.
As seen in Figure 3, the behavior of constant A followed a similar pattern, where the third-degree polynomial provided a better representation of the experimental data compared to the second-degree polynomial. The same trend is observed in Figure 4, where the third-degree polynomial led to a more consistent and realistic evolution of constant B. This confirmed that the additional flexibility of the third-degree polynomial allows for better adaptation to the data without introducing unrealistic oscillations, ensuring that both constants A and B are correctly modeled throughout the SAR range.
A key observation was that in Figure 4a, the behavior of the curve in the region indicated by the blue arrow exhibited an unexpected deviation in the evolution of parameter B, which did not align with the expected trend. This suggested that the second-degree polynomial does not fully capture the correct physical behavior in this region. In contrast, in Figure 4b, the third-degree polynomial presented a more acceptable and coherent trend in the same region, aligning with the expected progression of parameter B as SAR increases. This reinforced that the evolution of parameter B with SAR is better modeled using a third-degree polynomial, as it provides a more accurate and physically meaningful representation of the data.
Thus, while the third-degree polynomial technically results in overfitting, it does not compromise the integrity of the model. Instead, it enhances accuracy while preserving a coherent and justifiable representation of the data, making it a valid and well-supported choice.

4.2. Applicability and Limitations of SSF Estimation in Infinite Life Regions

The Stress–Amplitude Ratio (SAR) for each loading path in this methodology is determined based on trend lines of shear and normal stress amplitudes versus Nf, obtained from experimental data. These trend lines enable the estimation of the Stress Scale Factor (SSF) in both finite life and infinite life regions, assuming that the relationship between shear and normal stresses observed in the finite life regime can be extrapolated to the infinite life region.
However, recent advancements in Very High Cycle Fatigue (VHCF) research have demonstrated that the concept of an infinite life plateau is a simplification. Studies have confirmed that the S-N curve continues to exhibit a slope beyond 106–107 cycles, meaning that fatigue failure can still occur even in this regime. To address this in our approach, the finite life threshold was extended to 107 cycles for damage mapping, despite the differences in S-N curve slope between the finite life and VHCF regimes.
Despite this distinction, the SSF estimation can be applicable to any fatigue regime, as it is dependent only on the SAR (loading trajectory) and the normal stress amplitude. However, while significant progress has been made in understanding gigacycle fatigue behavior, the impact of multiaxial loading trajectories on fatigue strength in VHCF remains a challenge. No experimental data are currently available to validate the extrapolation of finite life results to the infinite life region, making direct verification difficult.
Given these limitations, it is recommended that the SSF function be primarily used within the finite life region, where it has been experimentally validated. Although it can be applied in the infinite life region, this extrapolation lacks experimental support and should be approached with caution.

5. Conclusions

This study evaluated the performance of the proposed SSF function estimation methodology by comparing experimentally obtained SSF values with those estimated using Equation (7). The results indicated that the model provides accurate estimations for most loading conditions, with relative errors ranging from 0% to 2% for the first three loading cases. These errors were calculated in relation to the uniaxial shear stress and demonstrate the method’s ability to effectively predict fatigue life under moderate shear and normal stress conditions.
However, for higher SAR values (shear-dominated loading conditions), the model presents some limitations. In particular, for SAR = 0.785 (60° shear loading), Nf = 1 × 103, a negative SSF value (−0.01) was obtained, which lacks physical meaning. Negative SSF values should not be considered as they fail to account for the combined damage contribution of shear and normal stresses, leading to non-conservative fatigue life predictions. Additionally, in the last loading case, the relative error ranged from 0% to −11%, suggesting that the estimation model may underestimate the SSF in high shear scenarios due to a lower R2 value in the regression between SSF and normal stress amplitude.
To improve the accuracy of the methodology in high shear conditions, ensuring that the SSF vs. normal stress amplitude regression has an R2 value as close to 1 as possible is recommended. Further refinements to the empirical model, such as nonlinear regression techniques, adjustment coefficients, or an expanded experimental dataset, could enhance the prediction reliability. Despite these limitations, the methodology provides a robust and reliable framework for estimating SSF in most practical applications, particularly in low to moderate SAR values.
Future work should focus on refining the SSF estimation model to account for complex loading effects and improving its applicability in high shear stress conditions, ensuring conservative and accurate fatigue life predictions across a broader range of loading scenarios.

Author Contributions

Conceptualization, F.B., L.R. and V.A.; methodology, F.B. and L.R.; software, F.B.; validation, V.A. and L.R.; formal analysis, V.A. and L.R.; investigation, F.B., L.R. and V.A.; resources, L.R.; data curation, L.R.; writing—original draft preparation, F.B.; writing—review and editing, V.A. and L.R.; visualization, F.B.; supervision, L.R. and V.A.; project administration, L.R. All authors have read and agreed to the published version of the manuscript.

Funding

This research received no external funding.

Data Availability Statement

The original contributions presented in this study are included in the article.

Acknowledgments

The authors gratefully acknowledge the support from FCT–Fundação para a Ciência e Tecnologia (Portuguese Foundation for Science and Technology), through IDMEC, under LAETA, project doi: 10.54499/UIDB/50022/2020, accessed on 25 January 2025.

Conflicts of Interest

The authors declare no conflicts of interest.

References

  1. Li, Z.; Yue, H.; Zhang, C.; Dai, W.; Guo, C.; Li, Q.; Zhang, J. Fatigue Life Prediction of 2024-T3 Al Alloy by Integrating Particle Swarm Optimization—Extreme Gradient Boosting and Physical Model. Materials 2024, 17, 5332. [Google Scholar] [CrossRef] [PubMed]
  2. Alkunte, S.; Fidan, I. Machine Learning-Based Fatigue Life Prediction of Functionally Graded Materials Using Material Extrusion Technology. J. Compos. Sci. 2023, 7, 420. [Google Scholar] [CrossRef]
  3. Karolczuk, A.; Skibicki, D.; Pejkowski, Ł. Gaussian Process for Machine Learning-Based Fatigue Life Prediction Model under Multiaxial Stress–Strain Conditions. Materials 2022, 15, 7797. [Google Scholar] [CrossRef] [PubMed]
  4. Hosford, W.F. Solid Mechanics, 1st ed.; Cambridge University Press: Cambridge, MA, USA, 2010; ISBN 978-0-521-19229-3. [Google Scholar]
  5. Correia, J.A.F.O.; De Jesus, A.M.P.; Fernandes, A.A.; Calçada, R. (Eds.) Mechanical Fatigue of Metals: Experimental and Simulation Perspectives; Structural Integrity; Springer International Publishing: Cham, Switzerland, 2019; Volume 7, ISBN 978-3-030-13979-7. [Google Scholar]
  6. Anes, V.; Reis, L.; Li, B.; De Freitas, M. New Approach to Evaluate Non-proportionality in Multiaxial Loading Conditions. Fatigue Fract. Eng. Mat. Struct. 2014, 37, 1338–1354. [Google Scholar] [CrossRef]
  7. Anes, V.; Reis, L.; Li, B.; Fonte, M.; De Freitas, M. New Approach for Analysis of Complex Multiaxial Loading Paths. Int. J. Fatigue 2014, 62, 21–33. [Google Scholar] [CrossRef]
  8. Pałczyński, K.; Skibicki, D.; Pejkowski, Ł.; Andrysiak, T. Application of Machine Learning Methods in Multiaxial Fatigue Life Prediction. Fatigue Fract. Eng. Mat. Struct. 2023, 46, 416–432. [Google Scholar] [CrossRef]
  9. Chen, S.; Bai, Y.; Zhou, X.; Yang, A. A Deep Learning Dataset for Metal Multiaxial Fatigue Life Prediction. Sci. Data 2024, 11, 1027. [Google Scholar] [CrossRef]
  10. Gates, N.R.; Fatemi, A. Interaction of Shear and Normal Stresses in Multiaxial Fatigue Damage Analysis. Frat. Integrità Strutt. 2016, 10, 160–165. [Google Scholar] [CrossRef]
  11. Prakash, G. Probabilistic Model for Remaining Fatigue Life Estimation of Bridge Components. J. Struct. Eng. 2021, 147, 04021147. [Google Scholar] [CrossRef]
  12. Kalayci, C.B.; Karagoz, S.; Karakas, Ö. Soft Computing Methods for Fatigue Life Estimation: A Review of the Current State and Future Trends. Fatigue Fract. Eng. Mat. Struct. 2020, 43, 2763–2785. [Google Scholar] [CrossRef]
  13. Coluccia, A.; De Pasquale, G. Strain-Based Method for Fatigue Failure Prediction of Additively Manufactured Lattice Structures. Sci. Rep. 2023, 13, 22775. [Google Scholar] [CrossRef] [PubMed]
  14. Sharan, A.; Srivastava, A.; Mitra, M. Strain Energy Based Fatigue Life Prediction of Metallic Materials. In Proceedings of the AIAA SCITECH 2025 Forum, Orlando, FL, USA, 6–10 January 2025; American Institute of Aeronautics and Astronautics: Orlando, FL, USA, 2025. [Google Scholar]
  15. Zhou, J.; Tan, Z.; Cao, L.; Wang, Y. An Improved Critical Plane-Energy Multiaxial Fatigue Life Prediction Model Considering Shear Mean Stress. J. Mech. Sci. Technol. 2023, 37, 2333–2341. [Google Scholar] [CrossRef]
  16. Ghazavizadeh, A.; Meraghni, F.; Peltier, L.; Bourgeois, N. A General Damage Accumulation Model for Multiaxial, Proportional High Cycle Fatigue Loadings With Sines, Crossland and Dang Van Criteria. J. Appl. Mech. 2019, 86, 121005. [Google Scholar] [CrossRef]
  17. Papuga, J.; Halama, R. Mean Stress Effect in Multiaxial Fatigue Limit Criteria. Arch. Appl. Mech. 2019, 89, 823–834. [Google Scholar] [CrossRef]
  18. Lemaître, J. (Ed.) Handbook of Materials Behavior Models; Academic Press: San Diego, CA, USA, 2001; ISBN 978-0-12-443341-0. [Google Scholar]
  19. Foko Foko, F.; Rüth, L.; Koch, O.; Sauer, B. Study of the Plastic Behavior of Rough Bearing Surfaces Using a Half-Space Contact Model and the Fatigue Life Estimation According to the Fatemi–Socie Model. Lubricants 2023, 11, 133. [Google Scholar] [CrossRef]
  20. Brown, M.W.; Miller, K.J. A Theory for Fatigue Failure under Multiaxial Stress-Strain Conditions. Proc. Inst. Mech. Eng. 1973, 187, 745–755. [Google Scholar] [CrossRef]
  21. Fatemi, A.; Socie, D.F. A critical plane approach to multiaxial fatigue damage including out-of-phase loading. Fatigue Fract. Eng. Mat. Struct. 1988, 11, 149–165. [Google Scholar] [CrossRef]
  22. Socie, D.; Marquis, G. Multiaxial Fatigue; Society of Automotive Engineers: Warrendale, PA, USA, 2000; ISBN 978-0-7680-0453-3. [Google Scholar]
  23. Liu, X.; Xiong, Z.; Zhang, H. Nonlinear Strain Energy Based (NSEB) Criterion for Quasi-Brittle Materials under Multiaxial Stress States. Constr. Build. Mater. 2023, 375, 131001. [Google Scholar] [CrossRef]
  24. Xiang, D.; Shen, Y.; Sun, X. An Energy-based Approach for Uniaxial Fatigue Life Estimation under Asymmetric Cyclic Loading. Fatigue Fract. Eng. Mat. Struct. 2023, 46, 2411–2423. [Google Scholar] [CrossRef]
  25. Almamoori, M.; Alizadeh, Y. A Novel Approach to Multiaxial Fatigue Life Prediction Using the Critical Plane and Phase Difference Angle. Eng. Fail. Anal. 2023, 154, 107654. [Google Scholar] [CrossRef]
  26. Poczklán, L.; Polák, J.; Kruml, T. Comparison of Critical Plane Models Based on Multiaxial Low-Cycle Fatigue Tests of 316L Steel. Int. J. Fatigue 2023, 171, 107569. [Google Scholar] [CrossRef]
  27. Yakovchuk, P.V.; Savchuk, E.V.; Shukayev, S.M. Critical Plane Approach-Based Fatigue Life Prediction for Multiaxial Loading: A New Model and Its Verification. Strength. Mater. 2024, 56, 281–291. [Google Scholar] [CrossRef]
  28. Gao, J.; Wang, J.; Xu, Z.; Wang, C.; Yan, S. Multiaxial Fatigue Prediction and Uncertainty Quantification Based on Back Propagation Neural Network and Gaussian Process Regression. Int. J. Fatigue 2023, 168, 107361. [Google Scholar] [CrossRef]
  29. Ngeru, T.; Kurtulan, D.; Hanke, S. Mechanical Behavior and Life Prediction of a Low Nickel/High Nitrogen Austenitic Steel under Pure Torsion, Uniaxial Tension-Compression, and Multiaxial Fatigue. Mater. Perform. Charact. 2024, 13, 121–134. [Google Scholar] [CrossRef]
  30. Anes, V.; De Freitas, M.; Reis, L. The Damage Scale Concept and the Critical Plane Approach. Fatigue Fract. Eng. Mat. Struct. 2017, 40, 1240–1250. [Google Scholar] [CrossRef]
  31. Anes, V.; Caxias, J.; Freitas, M.; Reis, L. Fatigue Damage Assessment under Random and Variable Amplitude Multiaxial Loading Conditions in Structural Steels. Int. J. Fatigue 2017, 100, 591–601. [Google Scholar] [CrossRef]
Disclaimer/Publisher’s Note: The statements, opinions and data contained in all publications are solely those of the individual author(s) and contributor(s) and not of MDPI and/or the editor(s). MDPI and/or the editor(s) disclaim responsibility for any injury to people or property resulting from any ideas, methods, instructions or products referred to in the content.

Article Metrics

Citations

Article Access Statistics

Multiple requests from the same IP address are counted as one view.