Effect of Ti and TiNb Microalloying on Microstructures and Mechanical Properties of 2200 MPa Low-Alloy Ultra-High-Strength Steels
Abstract
1. Introduction
2. Materials and Methods
2.1. Experimental Materials
2.2. Experimental Methods
3. Results
3.1. Microstructure
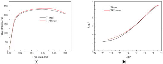
3.2. Mechanical Properties
3.3. Precipitation Analysis
4. Discussion
5. Conclusions
- Both steels showed refined microstructure with the effective grain sizes of lath martensite of 1 μm and 0.86 μm for the Ti-steel and the TiNb-steel, respectively. The finer grains of the TiNb-steel can be attributed to the addition of the Nb element, resulting in a higher concentration of MC-type carbides.
- Both steels exhibited good plasticity and relatively high toughness at the strength level of 2200 MPa. The yield strengths and tensile strengths of the Ti-steel and the TiNb-steel were tested to be 1746 MPa, 2198 MPa, and 1802 MPa, 2232 MPa, respectively. The higher yield strength of the TiNb-steel is attributed to its stronger strengthening effects due to finer grains and more precipitates, while the higher tensile strength is related to its higher coefficient of variable hardening and a higher work-hardening exponent.
- Microalloying of Ti and TiNb on the microstructure refinement and mechanical property enhancement of ultra-high-strength steels has been proved, and the addition of Nb exhibits higher strength without reducing the ductility and toughness, which provides data support for the development of new steels with improved properties.
Author Contributions
Funding
Data Availability Statement
Conflicts of Interest
References
- Luo, H.; Shen, G. Progress and perspective of ultra-high strength steels having high toughness. Acta Metall. Sin. 2020, 56, 494–512. [Google Scholar]
- Li, J.; Zhan, D.; Jiang, Z.; Zhang, H.; Yang, Y.; Zhang, Y. Progress on improving strength-toughness of ultra-high strength martensitic steels for aerospace applications: A review. J. Mater. Res. Technol. 2023, 23, 172–190. [Google Scholar] [CrossRef]
- Li, K.; Yang, T.; Gong, N.; Wu, J.; Wu, X.; Zhang, D.Z.; Murr, L.E. Additive manufacturing of ultra-high strength steels: A review. J. Alloys Compd. 2023, 965, 171390. [Google Scholar] [CrossRef]
- Bilal, M.M.; Yaqoob, K.; Zahid, M.H.; Haq, E.U.; Tanveer, W.H.; Wadood, A.; Ahmed, B. Effect of austempering conditions on the microstructure and mechanical properties of AISI 4340 and AISI 4140 steels. J. Mater. Res. Technol. 2019, 8, 5194–5200. [Google Scholar] [CrossRef]
- Liu, F.; Lin, X.; Song, M.; Yang, H.; Song, K.; Guo, P.; Huang, W. Effect of tempering temperature on microstructure and mechanical properties of laser solid formed 300M steel. J. Alloys Compd. 2016, 689, 225–232. [Google Scholar] [CrossRef]
- Aditya, Y.N.; Dharish Srichandra, T.; Tak, M.; Padmanabham, G. To study the laser cladding of ultrahigh strength AerMet-100 alloy powder on AISI-4340 steel for repair and refurbishment. Mater. Today Proc. 2021, 41, 1146. [Google Scholar] [CrossRef]
- Tian, J.; Jiang, Z. Exploring New Strategies for Ultrahigh Strength Steel via Tailoring the Precipitates. Front. Mater. 2021, 8, 797798. [Google Scholar] [CrossRef]
- Lim, H.S.; Lee, J.M.; Song, Y.B.; Kim, H.-K.; Hwang, B. Effect of Tempering Temperature on the Microstructure and Mechanical Properties of ARMOX 500T Armor Plate. Korean J. Mater. Res. 2017, 27, 357–361. [Google Scholar] [CrossRef]
- Kurji, R.; Coniglio, N. Towards the establishment of weldability test standards for hydrogen-assisted cold cracking. Int. J. Adv. Manuf. Technol. 2015, 77, 1581–1597. [Google Scholar] [CrossRef]
- Zhang, D.; Liu, G.; Zhang, K.; Sun, X.; Liang, X.; Yong, Q. Effect of Nb microalloying on microstructure evolution and mechanical properties in low carbon medium manganese steel. Mater. Sci. Eng. A 2021, 824, 141813. [Google Scholar] [CrossRef]
- Li, D.; Feng, Y.; Song, S.; Liu, Q.; Bai, Q.; Wu, G.; Lv, N.; Ren, F. Influences of Nb-microalloying on microstructure and mechanical properties of Fe–25Mn–3Si–3Al TWIP steel. Mater. Des. 2015, 84, 238–244. [Google Scholar] [CrossRef]
- Wu, H.; Ju, B.; Tang, D.; Hu, R.; Guo, A.; Kang, Q.; Wang, D. Effect of Nb addition on the microstructure and mechanical properties of an 1800MPa ultrahigh strength steel. Mater. Sci. Eng. A 2015, 622, 61–66. [Google Scholar] [CrossRef]
- Zhang, X.; Sun, C.; Li, R.; Sun, Z.; Zhang, Y.; Zhao, Y.; Chen, W.; Wu, Y.; Zhao, N.; Liu, L. Effect of Nb Content on Mechanical Properties and Microstructure of High Strength Low Alloy Steel. In Proceedings of the 12th International Conference on Advanced Materials and Engineering Materials, Bangkok, Thailand, 15–18 December 2023; Zhang, L., Ed.; ICAMEM 2023; Springer Proceedings in Physics. Springer: Singapore, 2024; Volume 307. [Google Scholar]
- Qi, Z.; Li, Y.; Qi, Y.; Fan, J.; Ma, C.; Tian, Z. Effect of Nb content variations on the microstructure and mechanical properties of NiCrMo welded joints. Mater. Charact. 2024, 212, 113974. [Google Scholar] [CrossRef]
- Cao, J.; Zhao, A.; Liu, J.; He, J.-G.; Ding, R. Effect of Nb on Microstructure and Mechanical Properties in Non-magnetic High Manganese Steel. J. Iron Steel Res. Int. 2014, 21, 600–605. [Google Scholar] [CrossRef]
- ISO 6892-1:2019; Metallic Materials—Tensile Testing Part 1: Method of Test at Room Temperature. ISO: Geneva, Switzerland, 2019.
- ISO 148-1:2016; Metallic Materials—Charpy Pendulum Impact Test Part 1: Test Method. ISO: Geneva, Switzerland, 2016.
- HajyAkbary, F.; Sitetsma, J.; Böttger, A.J.; Santofimia, M.J. An Improved X-Ray diffraction analysis Method to Characterize Dislocation Density in Lath Martensitic Structures. Mater. Sci. Eng. A 2015, 639, 208–218. [Google Scholar] [CrossRef]
- Li, S.; Zhu, G.; Kang, Y. Effect of substructure on mechanical properties and fracture behavior of lath martensite in 0.1C–1.1Si–1.7Mn steel. J. Alloys Compd. 2016, 675, 104–115. [Google Scholar] [CrossRef]
- Luo, H.; Wang, X.; Liu, Z.; Yang, Z. Influence of refined hierarchical martensitic microstructures on yield strength and impact toughness of ultra-high strength stainless steel. J. Mater. Sci. Technol. 2020, 51, 130–136. [Google Scholar] [CrossRef]
- Long, S.; Liang, Y.; Jiang, Y.; Liang, Y.; Yang, M.; Yi, Y.-L. Effect of Quenching Temperature on Martensite Multi-Level Microstructures and Properties of Strength and Toughness in 20CrNi2Mo Steel. Mater. Sci. Eng. A 2016, 676, 38–47. [Google Scholar] [CrossRef]
- Ungar, T.; Borbely, A. The effect of dislocation contrast on x-ray line broadening: A new approach to line profile analysis. Appl. Phys. Lett. 1996, 69, 3173–3175. [Google Scholar] [CrossRef]
- Wang, C.; Qiu, H.; Kimura, Y.; Inoue, T. Morphology, crystallography, and crack paths of tempered lath martensite in a medium-carbon low-alloy steel. Mater. Sci. Eng. A 2016, 669, 48–57. [Google Scholar] [CrossRef]
- Maropoulos, S.; Paul, H.D.J.; Ridley, N. Microstructure–property relationships in tempered low alloy Cr–Mo–3·5Ni–V steel. Mater. Sci. Technol. 2013, 9, 1014–1020. [Google Scholar] [CrossRef]
- Collings, E.W. Physics of Solid Solution Strengthening; Springer: New York, NY, USA, 1975. [Google Scholar]
- Chang, L.; Bhadeshia HK, D.H. Carbon content of austenite in isothermally transformed 300M steel. Mater. Sci. Eng. A 1994, 184, L17. [Google Scholar] [CrossRef]
- Geng, H.; Sun, X.; Guo, X.; Zhao, Y.; Yin, X.; Du, Z. Achieving 1.7 GPa Considerable Ductility High-Strength Low-Alloy Steel Using Hot-Rolling and Tempering Processes. Materials 2024, 17, 4495. [Google Scholar] [CrossRef] [PubMed]
- Wang, Y.; Sun, J.; Jiang, T.; Sun, Y.; Guo, S.; Liu, Y. A low-alloy high-carbon martensite steel with 2.6 GPa tensile strength and good ductility. Acta Mater. 2018, 158, 247–256. [Google Scholar] [CrossRef]
- Li, Q. Modeling the microstructure–mechanical property relationship for a 12Cr–2W–V–Mo–Ni power plant steel. Mater. Sci. Eng. A 2003, 361, 385–391. [Google Scholar] [CrossRef]
- Liu, T.; Cao, Z.; Wang, H.; Wu, G.; Jin, J.; Cao, W. A new 2.4 GPa extra-high strength steel with good ductility and high toughness designed by synergistic strengthening of nano-particles and high-density dislocations. Scr. Mater. 2020, 178, 285–289. [Google Scholar] [CrossRef]
- Gladman, T. The Physical Metallurgy of Microalloyed Steels; Maney Publishing: London, UK, 1997. [Google Scholar]
- Zhang, K.; Li, Z.; Wang, Z.; Sun, X.; Yong, Q. Precipitation behavior and mechanical properties of hot-rolled high strength Ti-Mo-bearing ferritic sheet steel: The great potential of nanometer-sized (Ti,Mo)C carbide. J. Mater. Res. 2016, 31, 1254–1263. [Google Scholar] [CrossRef]
- Zhang, K.; Li, Z.; Sun, X.; Yong, Q.L.; Yang, J.W.; Li, Y.M.; Zhao, P.L. Development of Ti–V–Mo Complex Microalloyed Hot-Rolled 900-MPa-Grade High-Strength Steel. Acta Metall. Sin. Eng. Lett. 2015, 28, 641–648. [Google Scholar] [CrossRef]
- Yan, W.; Zhu, L.; Sha, W.; Shan, Y.-Y.; Yang, K. Change of tensile behavior of a high-strength low-alloy steel with tempering temperature. Mater. Sci. Eng. 2009, 517, 369–374. [Google Scholar] [CrossRef]
- Sudo, M.; Tsukatani, I. The effect of aluminum addition on the mechanical properties in boron-bearing galvannealed sheet steels. In Proceedings of the TMS-AIME Fall Meeting, Detroit, MI, USA, 16–20 September 1984. TMS (The Metallurgical Society) Paper Selection. [Google Scholar]
- Antoine, P.; Vandeputte, S.; Vogt, J. Effect of microstructure on strain-hardening behaviour of a Ti-IF Steel Grade. ISIJ Int. 2005, 45, 399–404. [Google Scholar] [CrossRef]









| Steel | C | Si | Mn | P | S | Mo | Ti | Nb |
|---|---|---|---|---|---|---|---|---|
| Ti-steel | 0.48 | 0.40 | 1.21 | 0.011 | 0.003 | 0.30 | 0.065 | - |
| TiNb-steel | 0.47 | 0.41 | 1.19 | 0.010 | 0.003 | 0.31 | 0.068 | 0.035 |
| Steel | Tensile Strength, Rm/MPa | Yield Strength, Rp0.2/MPa | Elongation, A/% | Reduction of Area, Z/% | Impact Toughness, KV2 (−40 °C)/(J/cm2) |
|---|---|---|---|---|---|
| Ti-steel | 2198 ± 4 | 1746 ± 3 | 10.5 ± 0.5 | 40.5 ± 0.5 | 20.0 ± 1.0 |
| TiNb-steel | 2232 ± 3 | 1802 ± 4 | 10.0 ± 0.5 | 41.5 ± 0.5 | 18.8 ± 0.5 |
| Steel | The Mass Fraction of Each Element in ε-Carbides, wt.% | ||
|---|---|---|---|
| Fe | C | Σ | |
| Ti-steel | 0.609 | 0.044 | 0.653 |
| TiNb-steel | 0.640 | 0.046 | 0.686 |
| Steel | The Mass Fraction of Each Element in MC Carbides, wt.% | ||||
|---|---|---|---|---|---|
| Ti | Nb | Mo | Σ | ||
| Ti-steel | 0.060 | 0.102 | 0.028 | 0.190 | |
| TiNb-steel | 0.066 | 0.033 | 0.104 | 0.034 | 0.237 |
| Steel | ε-Carbide Dimensions | Precipitation Strengthening | |||||||
|---|---|---|---|---|---|---|---|---|---|
| According to Length (MPa) | According to Width (MPa) | ||||||||
| S | Standard | W | |||||||
| Ti-steel | 0.072 | 0.052 | 0.073 | 0.013 | 0.007 | 0.012 | 0.158 | 239 | 164 |
| TiNb-steel | 0.088 | 0.046 | 0.081 | 0.011 | 0.005 | 0.01 | 0.163 | 237 | 150 |
| Steel | σ0 (MPa) | (MPa) | (MPa) | (MPa) | (MPa) | Calculated Values (MPa) | Measured Values (MPa) |
|---|---|---|---|---|---|---|---|
| Ti-steel | 39 | 866 | 751 | 204 | 414 | 1786 | 1746 |
| TiNb-steel | 39 | 832 | 788 | 220 | 472 | 1816 | 1802 |
| Steel | Strain Hardening Coefficient K (MPa) | Strain Hardening Index n |
|---|---|---|
| Ti-steel | 3878 | 0.162 |
| TiNb-steel | 4105 | 0.183 |
Disclaimer/Publisher’s Note: The statements, opinions and data contained in all publications are solely those of the individual author(s) and contributor(s) and not of MDPI and/or the editor(s). MDPI and/or the editor(s) disclaim responsibility for any injury to people or property resulting from any ideas, methods, instructions or products referred to in the content. |
© 2025 by the authors. Licensee MDPI, Basel, Switzerland. This article is an open access article distributed under the terms and conditions of the Creative Commons Attribution (CC BY) license (https://creativecommons.org/licenses/by/4.0/).
Share and Cite
Yu, W.; Jin, R.; Han, L.; Xie, D.; Sun, T.; Wang, M.; Shi, J. Effect of Ti and TiNb Microalloying on Microstructures and Mechanical Properties of 2200 MPa Low-Alloy Ultra-High-Strength Steels. Metals 2025, 15, 235. https://doi.org/10.3390/met15030235
Yu W, Jin R, Han L, Xie D, Sun T, Wang M, Shi J. Effect of Ti and TiNb Microalloying on Microstructures and Mechanical Properties of 2200 MPa Low-Alloy Ultra-High-Strength Steels. Metals. 2025; 15(3):235. https://doi.org/10.3390/met15030235
Chicago/Turabian StyleYu, Wenchao, Ruizhe Jin, Lei Han, Dirong Xie, Ting Sun, Maoqiu Wang, and Jie Shi. 2025. "Effect of Ti and TiNb Microalloying on Microstructures and Mechanical Properties of 2200 MPa Low-Alloy Ultra-High-Strength Steels" Metals 15, no. 3: 235. https://doi.org/10.3390/met15030235
APA StyleYu, W., Jin, R., Han, L., Xie, D., Sun, T., Wang, M., & Shi, J. (2025). Effect of Ti and TiNb Microalloying on Microstructures and Mechanical Properties of 2200 MPa Low-Alloy Ultra-High-Strength Steels. Metals, 15(3), 235. https://doi.org/10.3390/met15030235
