Interfacial Microstructure and Cladding Corrosion Resistance of Stainless Steel/Carbon Steel Clad Plates at Different Rolling Reduction Ratios
Abstract
1. Introduction
2. Materials and Methods
3. Results and Discussion
4. Conclusions
- (1)
- With the increase in rolling reduction ratio, the grain size, the width of the interfacial martensite zone, and the element diffusion distance decrease. The small difference in C element concentration leads to no obvious decarburized layer or carburized layer being formed.
- (2)
- The greater stress distribution on the CS side results in a greater local orientation deviation and a larger number of deformed grains. With a sharp increase in the reduction ratio, ferrite grains will be broken into small ones, accompanied by the generation of a large amount of carbides. When the rate of increase in the reduction ratio slows down and reheating is carried out, the carbides will gradually dissolve at high temperature.
- (3)
- The growth direction of martensite in the interface area is towards the inside of the austenite grains and is almost perpendicular to the interface, which is associated with the mechanism whereby strain-induced austenite transforms into martensite, →twinning→-martensite
- (4)
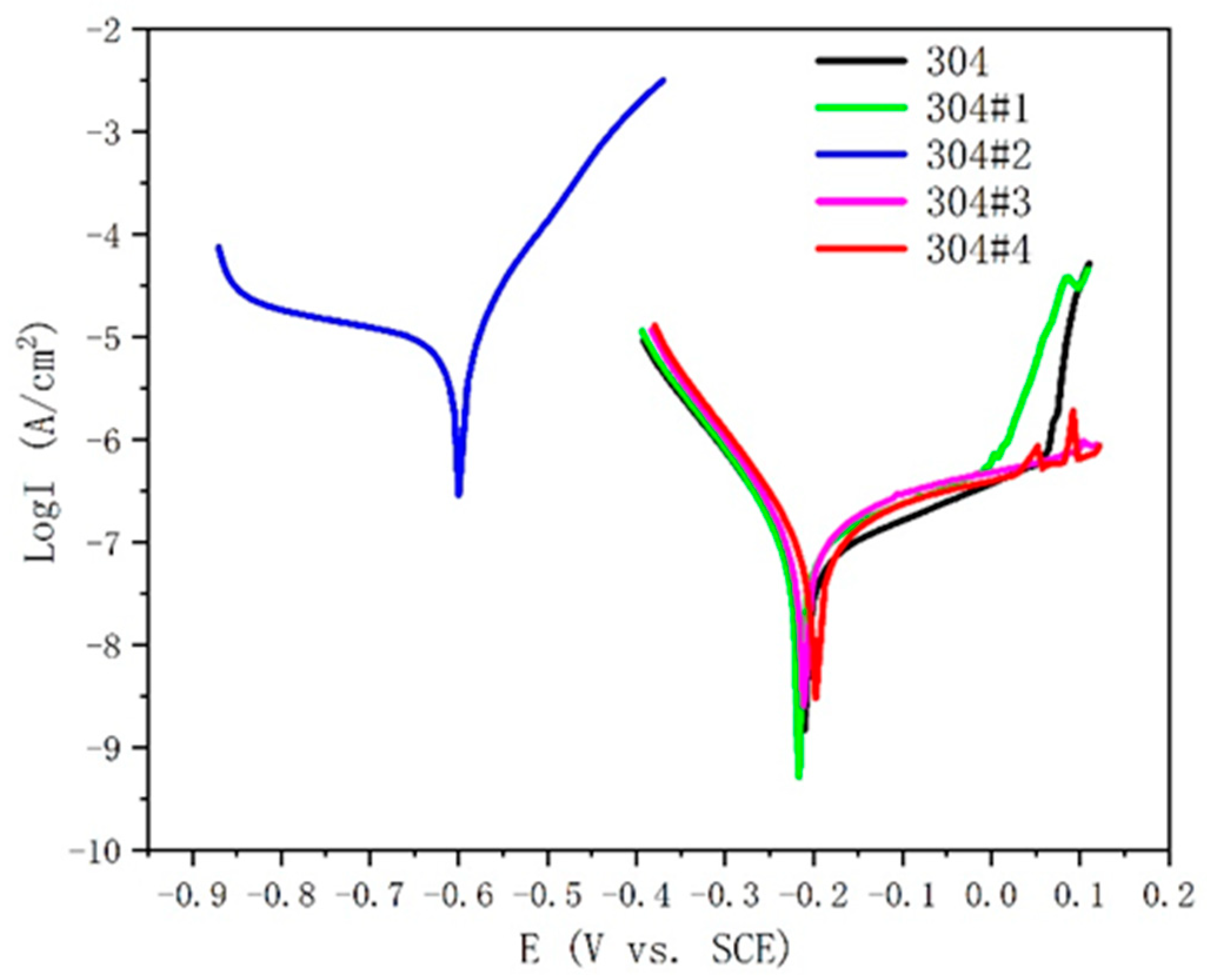
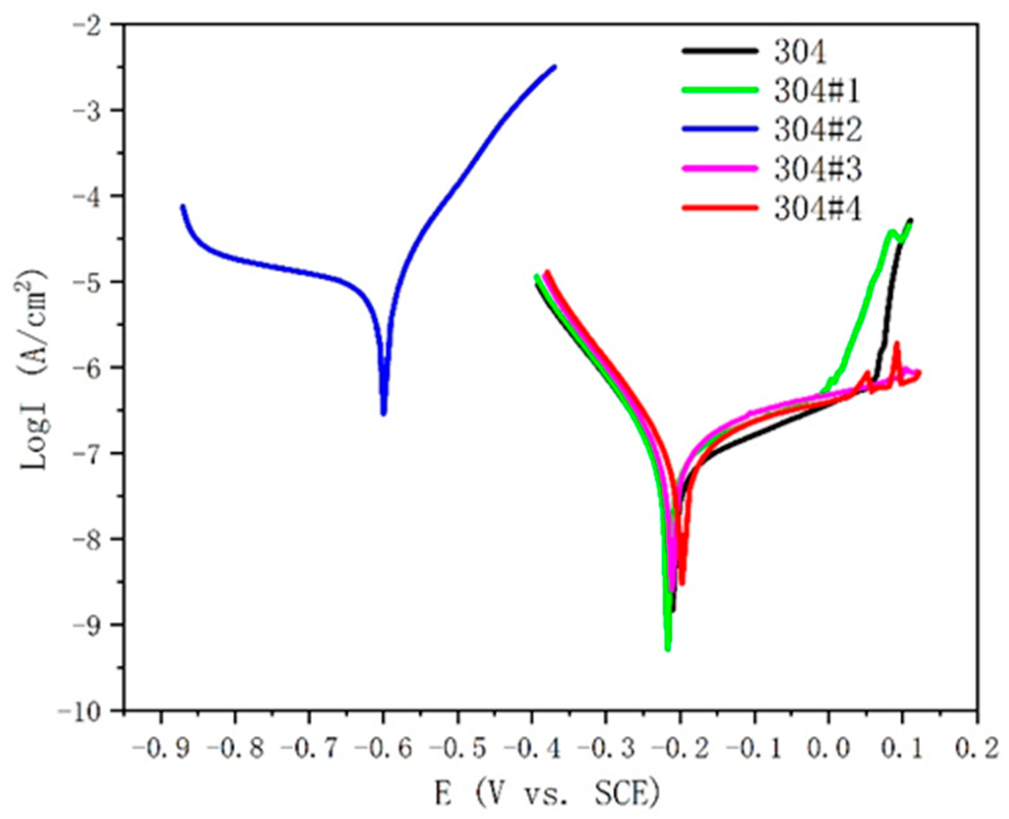
- For the 304#2 clad plate, due to the precipitation of a large amount of intergranular carbides, the corrosion resistance of the cladding has decreased significantly. In addition, the change in the reduction ratio does not have a significant effect on the corrosion resistance of the cladding of other clad plates.
Author Contributions
Funding
Data Availability Statement
Acknowledgments
Conflicts of Interest
References
- Tang, M.; Li, J.; Yu, X.; Nie, S. Tensile behavior of stainless steel clad plates with different cladding ratios. J. Constr. Steel Res. 2021, 182, 106641. [Google Scholar] [CrossRef]
- Mei, Y.; Ban, H. High strain rate behaviour of stainless-clad bimetallic steel. Eng. Struct. 2020, 207, 110219. [Google Scholar] [CrossRef]
- Zhao, P.; Ban, H.; Hu, Y.-F.; Chung, K.-F.; Shi, Y. Residual stress within stainless-clad bimetallic steel welded box sections. Thin-Walled Struct. 2022, 177, 109395. [Google Scholar] [CrossRef]
- Chen, Z.Y.; Li, J.X.; Lin, Z.G.; Qi, J.J.; Sun, L.; Wang, G.D. Process Analysis and Trial Tests for Hot-Rolled Stainless Steel/Carbon Steel Clad Plates. Strength Mater. 2019, 51, 26–31. [Google Scholar] [CrossRef]
- Ban, H.; Yang, X.; Hai, L.; Shi, Y. Low-cycle fatigue behaviour and fracture feature of stainless-clad bimetallic steel. J. Constr. Steel Res. 2022, 196, 107437. [Google Scholar] [CrossRef]
- Liao, X.; Wei, H.; Feng, L.; Ban, H. Low-cycle fatigue behavior for stainless-clad 304 + Q235B bimetallic steel. Int. J. Fatigue 2022, 159, 106831. [Google Scholar] [CrossRef]
- Liu, B.X.; Wang, S.; Fang, W.; Ma, J.L.; Yin, F.X.; He, J.N.; Feng, J.H.; Chen, C.X. Microstructure and mechanical properties of hot rolled stainless steel clad plate by heat treatment. Mater. Chem. Phys. 2018, 216, 460–467. [Google Scholar] [CrossRef]
- Ban, H.; Bai, R.; Yang, L.; Bai, Y. Mechanical properties of stainless-clad bimetallic steel at elevated temperatures. J. Constr. Steel Res. 2019, 162, 105704. [Google Scholar] [CrossRef]
- Ban, H.; Zhu, J.; Shi, G.; Zhang, Y. Tests and modelling on cyclic behaviour of stainless-clad bimetallic steel. J. Constr. Steel Res. 2020, 166, 105944. [Google Scholar] [CrossRef]
- Dhib, Z.; Guermazi, N.; Ktari, A.; Gasperini, M.; Haddar, N. Mechanical bonding properties and interfacial morphologies of austenitic stainless steel clad plates. Mater. Sci. Eng. A 2017, 696, 374–386. [Google Scholar] [CrossRef]
- Wang, S.; Liu, B.X.; Chen, C.X.; Feng, J.H.; Yin, F.X. Microstructure, mechanical properties and interface bonding mechanism of hot-rolled stainless steel clad plates at different rolling reduction ratios. J. Alloys Compd. 2018, 766, 517–526. [Google Scholar] [CrossRef]
- Liu, B.X.; Yin, F.X.; Dai, X.L.; He, J.N.; Fang, W.; Chen, C.X.; Dong, Y.C. The tensile behaviors and fracture characteristics of stainless steel clad plates with different interfacial status. Mater. Sci. Eng. A 2017, 679, 172–182. [Google Scholar] [CrossRef]
- Zhu, Z.; He, Y.; Zhang, X.; Liu, H.; Li, X. Effect of interface oxides on shear properties of hot-rolled stainless steel clad plate. Mater. Sci. Eng. A 2016, 669, 344–349. [Google Scholar] [CrossRef]
- Wang, W.; Zhao, W.; Mu, W.; Li, Z.; Weng, Z.; Zhang, W.; Wang, N.; Bai, P. Effect of hot-rolling process on the microstructure, mechanical and corrosion behaviors of dual-phase Co-based entropic alloys. Mater. Sci. Eng. A 2024, 918, 147433. [Google Scholar] [CrossRef]
- Wu, B.; Guo, K.; Yang, X.; Gao, Y.; Jin, Y.; Gao, Y.; Wang, Q.; Zhang, F. Effect of carbon content of substrate on the microstructure changes and tensile behavior of clad layer of stainless steel composites. Mater. Sci. Eng. A 2022, 831, 142201. [Google Scholar] [CrossRef]
- Shen, Y.F.; Li, X.X.; Sun, X.; Wang, Y.D.; Zuo, L. Twinning and martensite in a 304 austenitic stainless steel. Mater. Sci. Eng. A 2012, 552, 514–522. [Google Scholar] [CrossRef]
- Xia, P.; Rodríguez, F.J.C.; Sabirov, I. Microstructure evolution and adiabatic heating during dynamic biaxial deformation of a 304 stainless steel. Mater. Sci. Eng. A 2020, 793, 139829. [Google Scholar] [CrossRef]
- Gao, B.; Wang, L.; Liu, Y.; Liu, J.; Sui, Y.; Sun, W.; Chen, X.; Xiao, L.; Zhou, H. In-situ TEM investigation on deformation mechanisms of a fine-grained 316L stainless steel. Scr. Mater. 2023, 234, 115538. [Google Scholar] [CrossRef]
- Yang, Y.; Jiang, Z.; Li, S.; Liu, X.; Sun, J.; Wang, W. Hot deformation behavior and microstructure evolution of stainless steel/carbon steel laminated composites. Mater. Sci. Eng. A 2022, 842, 142994. [Google Scholar] [CrossRef]
- Yang, Y.; Li, H.; Jiang, Z.; Sun, J.; Liu, X.; Wang, X.; Luo, J. Simultaneously enhanced strength-ductility synergy and corrosion resistance in liquid-solid bonded stainless steel cladding carbon steel plate by hot rolling and annealing treatment. Mater. Sci. Eng. A 2023, 871, 144928. [Google Scholar] [CrossRef]
- Yang, Y.; Jiang, Z.; Chen, Y.; Liu, X.; Sun, J.; Wang, W. Interfacial microstructure and strengthening mechanism of stainless steel/carbon steel laminated composite fabricated by liquid-solid bonding and hot rolling. Mater. Charact. 2022, 191, 112122. [Google Scholar] [CrossRef]
- Momeni, A.; Dehghani, K.; Keshmiri, H.; Ebrahimi, G.R. Hot deformation behavior and microstructural evolution of a superaustenitic stainless steel. Mater. Sci. Eng. A 2010, 527, 1605–1611. [Google Scholar] [CrossRef]
- Yang, Y.; Jiang, Z.; Liu, X.; Sun, J.; Wang, W. Enhanced interfacial strength and ductility of stainless steel/carbon steel laminated composite by heterogenous lamella structure. J. Mater. Res. Technol. 2022, 18, 4846–4858. [Google Scholar] [CrossRef]
- Shen, W.; Feng, L.; Feng, H.; Cao, Y.; Liu, L.; Cao, M.; Ge, Y. Preparation and characterization of 304 stainless steel/Q235 carbon steel composite material. Results Phys. 2017, 7, 529–534. [Google Scholar] [CrossRef]
- Liu, Y.; Zheng, Z.; Long, J.; Xu, Z.; Jiao, S.; Qiao, Y.; Zheng, K.; Yin, F. Corrosion behaviour of hot-rolled 316L stainless steel-A6 carbon steel composite steel plate for marine environment. J. Mater. Res. Technol. 2023, 26, 556–570. [Google Scholar] [CrossRef]
- Bai, G.; Lu, S.; Li, D.; Li, Y. Intergranular corrosion behavior associated with delta-ferrite transformation of Ti-modified Super304H austenitic stainless steel. Corros. Sci. 2015, 90, 347–358. [Google Scholar] [CrossRef]
- Jin, J.-C.; Cho, S.; Kim, K.; Sim, H.; Park, B.G.; Lee, Y.-K. Microstructures and intergranular corrosion resistances of hot-rolled austenitic stainless steel clad plates. J. Mater. Res. Technol. 2023, 26, 1–13. [Google Scholar] [CrossRef]
- Zhang, J.; He, J.; Peng, B.; Li, H.; Li, B.; Yan, B.; Zhang, J.-H. An experimental investigation for corrosion resistance of stainless clad steel plate. J. Constr. Steel Res. 2024, 217, 108655. [Google Scholar] [CrossRef]
- Feng, H.; Dai, J.; Li, H.-B.; Jiang, Z.-H.; Qu, J.-D.; Zhao, Y.; Zhang, S.-C.; Zhang, T. Sn microalloying enhances corrosion resistance of stainless steel by accelerating heterogeneous nucleation of passive film. Corros. Sci. 2022, 201, 110279. [Google Scholar] [CrossRef]
- Lv, W.; Pan, C.; Su, W.; Wang, Z.; Liu, S.; Wang, C. A Study on Atmospheric Corrosion of 304 Stainless Steel in a Simulated Marine Atmosphere. J. Mater. Eng. Perform. 2015, 24, 2597–2604. [Google Scholar] [CrossRef]
- Zhang, T.; Liu, W.; Yin, Z.; Dong, B.; Zhao, Y.; Fan, Y.; Wu, J.; Zhang, Z.; Li, X. Effects of the Addition of Cu and Ni on the Corrosion Behavior of Weathering Steels in Corrosive Industrial Environments. J. Mater. Eng. Perform. 2020, 29, 2531–2541. [Google Scholar] [CrossRef]










| 0.810 | C | Si | S | P | Mn | Cr | Ni | Fe |
|---|---|---|---|---|---|---|---|---|
| 304 SS | 0.070 | 0.750 | 0.026 | 0.036 | 2.000 | 19.000 | 10.000 | Bal. |
| CS | 0.071 | 0.237 | 0.071 | 0.038 | 0.810 | - | - | Bal. |
| Samples | Ecorr (mV) | Icorr (A/cm2) |
|---|---|---|
| 304 | −210.3 | 6.51 × 10−8 |
| 304#1 | −216.9 | 9.67 × 10−8 |
| 304#2 | −600 | 8.94 × 10−6 |
| 304#3 | −197.8 | 1.26 × 10−7 |
| 304#4 | −211.4 | 1.94 × 10−7 |
| Samples | Rs (Ωcm2) | Qf (Ω−1sncm−2) | nf | Rf (Ωcm−2) | Qdl (Ω−1sncm−2) | ndl | Rct (Ωcm−2) |
|---|---|---|---|---|---|---|---|
| 304 | 7.186 | 3.633 × 10-5 | 0.8888 | 1.419 × 105 | 1.134 × 10-5 | 0.1226 | 380.9 |
| 304#1 | 11.34 | 3.831 × 10-5 | 0.9211 | 1.714 × 105 | 0.00126 | 0.1011 | 1.092 × 105 |
| 304#2 | 7.637 | 0.0005262 | 0.7542 | 1306 | 9.989 × 10-6 | 0.464 | 1126 |
| 304#3 | 8.462 | 4.093 × 10-5 | 0.8691 | 1.819 × 105 | 0.0001234 | 0.1368 | 4371 |
| 304#4 | 8.269 | 4.959 × 10-5 | 0.9241 | 3.373 × 105 | 5.751 × 10-6 | 0.1393 | 13.37 |
Disclaimer/Publisher’s Note: The statements, opinions and data contained in all publications are solely those of the individual author(s) and contributor(s) and not of MDPI and/or the editor(s). MDPI and/or the editor(s) disclaim responsibility for any injury to people or property resulting from any ideas, methods, instructions or products referred to in the content. |
© 2024 by the authors. Licensee MDPI, Basel, Switzerland. This article is an open access article distributed under the terms and conditions of the Creative Commons Attribution (CC BY) license (https://creativecommons.org/licenses/by/4.0/).
Share and Cite
Chen, J.; Zhu, Y.; Chen, X.; Ma, X.; Chen, B. Interfacial Microstructure and Cladding Corrosion Resistance of Stainless Steel/Carbon Steel Clad Plates at Different Rolling Reduction Ratios. Metals 2025, 15, 16. https://doi.org/10.3390/met15010016
Chen J, Zhu Y, Chen X, Ma X, Chen B. Interfacial Microstructure and Cladding Corrosion Resistance of Stainless Steel/Carbon Steel Clad Plates at Different Rolling Reduction Ratios. Metals. 2025; 15(1):16. https://doi.org/10.3390/met15010016
Chicago/Turabian StyleChen, Jie, Yixin Zhu, Xia Chen, Xiaoli Ma, and Bin Chen. 2025. "Interfacial Microstructure and Cladding Corrosion Resistance of Stainless Steel/Carbon Steel Clad Plates at Different Rolling Reduction Ratios" Metals 15, no. 1: 16. https://doi.org/10.3390/met15010016
APA StyleChen, J., Zhu, Y., Chen, X., Ma, X., & Chen, B. (2025). Interfacial Microstructure and Cladding Corrosion Resistance of Stainless Steel/Carbon Steel Clad Plates at Different Rolling Reduction Ratios. Metals, 15(1), 16. https://doi.org/10.3390/met15010016

