Full Density Powder Metallurgical Cold Work Tool Steel through Nitrogen Sintering and Capsule-Free Hot Isostatic Pressing
Abstract
1. Introduction
2. Materials and Methods
2.1. Materials
2.2. Freeze Granulation (FG)
2.3. Cold Isostatic Pressing (CIP)
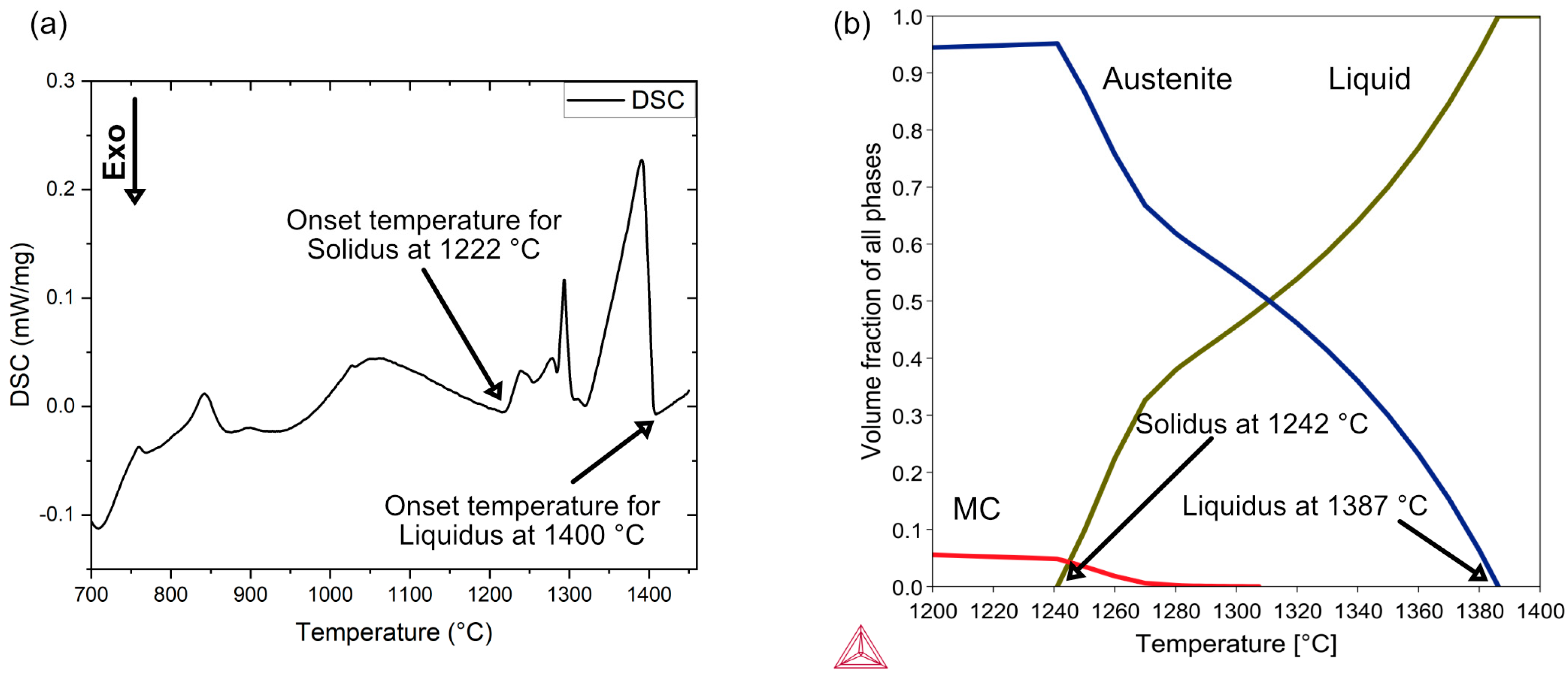
2.4. Debinding, Sintering, Capsule-Free HIP, and Followed by Thermal Treatments
3. Results
3.1. Green Density of Isostatically Pressed Granule Samples
3.2. Influence of Sintering Temperature on Densification
3.3. Influence of Post-Sintering Thermal Treatments
3.4. Microstructures and Properties
4. Discussion
5. Conclusions
- Density values of 7.80 ± 0.01 g/cm3 were obtained for sample sintered at 1150 °C, and followed by capsule-free HIP, hardening, and tempering. Similarly, density values of 7.81 ± 0.01 g/cm3 were achieved already after sintering at 1200 °C prior to thermal treatments.
- Microstructures revealed by means of SEM showed the distribution of coarse vanadium-rich nitrides/carbonitrides decorating the grains and the finer ones inside the grains, together with molybdenum-rich carbides at the grain boundaries after sintering.
- The EDS mapping of sintered samples showed that the precipitates with vanadium and molybdenum increased in size with increasing sintering temperature.
- The EBSD mapping revealed that austenite phase is prevalent in all the samples (representatively shown on the sample sintered at 1200 °C) after sintering as well as after subsequent capsule-free HIP, hardening, and tempering. The XRD patterns for as-tempered conditions depicted austenite, vanadium-rich nitrides/carbonitrides, and tempered martensite.
- The austenite phase is stabilized as a result of the higher carbon content in the matrix after sintering, owing to the transformation of MC to MX with associated expel of carbon. This means that the martensite start temperature is pushed to low temperatures. For austenitization at 1100 °C, simulations predict it to be 23 °C. Consequently, a high amount of stabilized austenite is observed after tempering, together with the presence of tempered martensite, the latter being formed during the subsequent tempering runs.
- Apparent hardness values were higher for final fully densified as-tempered samples with initial sintering at 1150 °C compared to initial sintering at 1200 °C. The values measured were 519 ± 14 HV10 and 457 ± 11 HV10, respectively. The higher apparent hardness value in the former case is attributed to finer distribution of secondary phase precipitates.
Author Contributions
Funding
Data Availability Statement
Acknowledgments
Conflicts of Interest
References
- Muhammed, M.; Javidani, M.; Heidari, M.; Jahazi, M. Enhancing the Tribological Performance of Tool Steels for Wood-Processing Applications: A Comprehensive Review. Metals 2023, 13, 1460. [Google Scholar] [CrossRef]
- Podgornik, B.; Sedlaček, M.; Žužek, B.; Guštin, A. Properties of tool steels and their importance when used in a coated system. Coatings 2020, 10, 265. [Google Scholar] [CrossRef]
- Elghazaly, S.A. Innovations in Cold Work Tool Steels-Research and Development. Int. J. Mater. Technol. Innov. 2023, 3, 64–73. [Google Scholar] [CrossRef]
- Rosso, M.; Ugues, D.; Grande, M.A. The challenge of PM tool steels for the innovation. J. Achiev. Mater. Manuf. Eng. 2006, 18, 175–178. [Google Scholar]
- Klobčar, D.; Tušek, J.; Taljat, B. Thermal fatigue of materials for die-casting tooling. Mater. Sci. Eng. A 2008, 472, 198–207. [Google Scholar] [CrossRef]
- Chang, S.-H.; Tang, T.-P.; Huang, K.-T.; Tai, F.-C. Effects of sintering process and heat treatments on microstructures and mechanical properties of VANADIS 4 tool steel added with TiC powders. Powder Metall. 2011, 54, 507–512. [Google Scholar] [CrossRef]
- Huang, K.-T.; Chang, S.-H.; Yeh, P.-T. Microstructures and mechanical properties of TaC added to vanadis 4 tool steel through vacuum sintering and heat treatments. ISIJ Int. 2017, 57, 1252–1260. [Google Scholar] [CrossRef]
- Samtaş, G.; Korucu, S. The effect and optimization of cutting parameters of Vanadis 4E powder metallurgical tool steel on tool wear: Surface roughness in face milling. Sadhana-Acad. Proc. Eng. Sci. 2022, 47, 135. [Google Scholar] [CrossRef]
- Korucu, S. The effects of sharpened tools on tool flank wear–surface roughness and optimization of cutting parameters in milling Vanadis 4E powder metallurgic tool steel. Sadhana-Acad. Proc. Eng. Sci. 2020, 45, 137. [Google Scholar] [CrossRef]
- Nagaram, A.B.; Sundaram, M.V.; Gårdstam, J.; Andersson, M.; Chen, Z.; Hryha, E.; Nyborg, L. Consolidation of water-atomized chromium–nickel-alloyed powder metallurgy steel through novel processing routes. Powder Metall. 2024, 67, 6–17. [Google Scholar] [CrossRef]
- Haynes, R. Development of sintered low alloy steels. Powder Metall. 1989, 32, 140–146. [Google Scholar] [CrossRef]
- Tojal, C.; Gómez-Acebo, T.; Castro, F. Development of PM Stainless Steels with Improved Properties through Liquid Phase Sintering. Mater. Sci. Forum 2007, 534–536, 661–664. [Google Scholar] [CrossRef]
- Hanejko, F.; Rawlings, A.; King, P.; Poszmik, G. Surface Densification Coupled with Higher Density Processes Targeting High-Performance Gearing. Mater. Sci. Forum 2007, 534–536, 317–320. [Google Scholar] [CrossRef]
- Sundaram, M.V. Novel Approaches for Acheiving Full Density Powder Metallurgy Steels. Ph.D. Thesis, Chalmers University of Technology, Gothenburg, Sweden, 2019. [Google Scholar]
- Giménez, S.; Iturriza, I. Study of the Sintering Behaviour of Pm Hss Under Nitrogen Atmospheres: Application To Alloy Design. In Proceedings of the EuropPM 2003 High Alloy Steels, Valencia, Spain, 20–22 October 2003. [Google Scholar]
- Konoplev, A.M.; Titenskaya, G.É. Reduction annealing of a water-atomized high-speed steel powder. Poroshkovaya Metall. 1988, 10, 11–14. [Google Scholar] [CrossRef]
- Wu, M.W.; Hwang, K.S. Improved homogenization of Ni in sintered steels through the use of Cr-containing prealloyed powders. Metall. Mater. Trans. A Phys. Metall. Mater. Sci. 2006, 37, 3577–3585. [Google Scholar] [CrossRef]
- Kim, K.; Cho, J. A densification model for mixed metal powder under cold compaction. Int. J. Mech. Sci. 2001, 43, 2929–2946. [Google Scholar] [CrossRef]
- Pavlíčková, M.; Vojtěch, D.; Novák, P.; Gemperlová, J.; Gemperle, A.; Zárubová, N.; Lejček, P.; Jurči, P.; Stolař, P. Thermal treatment of PM-tool steel alloyed with niobium. Mater. Sci. Eng. A 2003, 356, 200–207. [Google Scholar] [CrossRef]
- Wright, C.; Wronski, A.; Iturriza, I. Overview: Development of robust processing routes for powder metallurgy high speed steels. Mater. Sci. Technol. 2000, 16, 945–957. [Google Scholar] [CrossRef]
- Borgström, H.; Nyborg, L. Liquid Phase Sintering of Ferrous Powder Metallurgical Materials. J. Iron Steel Res. Int. 2007, 14, 70–76. [Google Scholar] [CrossRef]
- Hatami, S.; Nafari, A.; Nyborg, L.; Jelvestam, U. Galling related surface properties of powder metallurgical tool steels alloyed with and without nitrogen. Wear 2010, 269, 229–240. [Google Scholar] [CrossRef]
- Sun, H.; Yang, F.; Qin, Q.; Zhang, B.; Volinsky, A.A.; Guo, Z. In-situ VN reinforced powder metallurgy M30 steels prepared from water atomized powers via pressureless sintering. Powder Metall. 2020, 63, 43–53. [Google Scholar] [CrossRef]
- Wang, H.-J.; Feng, H.; Li, H.-B.; Zhou, G.; Zhu, H.-C.; Zhang, S.-C.; Jiang, Z.-H. Nitrogen-Substituting Carbon Significantly Improves Softening Resistance of H13 Hot-Work Die Steel. Metall. Mater. Trans. A 2024, 55, 1916–1931. [Google Scholar] [CrossRef]
- Gromov, V.E.; Ivanov, Y.F.; Potekaev, A.I.; Guseva, T.P.; Yuriev, A.B.; Chapaikin, A.S. Effect of Tempering on Structure and Properties of Plasma Surfacing of R2M9U High-Speed Tool Steel. Russ. Phys. J. 2024, 67, 259–266. [Google Scholar] [CrossRef]
- Nagaram, A.B. Net-Shape Consolidation of Water-Atomised and Gas-Atomised Steel Powder towards Full Density. Licentiate Thesis, Chalmers University of Technology, Gothenburg, Sweden, 2022. [Google Scholar]
- Andersson, J.-O.; Helander, T.; Höglund, L.; Shi, P.; Sundman, B. Thermo-Calc & DICTRA, computational tools for materials science. CALPHAD 2002, 26, 273–312. [Google Scholar] [CrossRef]
- ASTM B238-96; Standard Test Method for Density, Oil Content, and Interconnected Porosity of Meal Structural Parts and Oil-Impregnated Bearings. ASTM International: West Conshohocken, PA, USA, 2003; pp. 1–4.
- Schindelin, J.; Arganda-Carreras, I.; Frise, E.; Kaynig, V.; Longair, M.; Pietzsch, T.; Preibisch, S.; Rueden, C.; Saalfeld, S.; Schmid, B.; et al. Fiji: An open-source platform for biological-image analysis. Nat. Methods 2012, 9, 676–682. [Google Scholar] [CrossRef] [PubMed]
- ASTM E-384-17; Standard Test Method for Microintdentation Hardness of Matrials. ASTM International: West Conshohocken, PA, USA, 2017; pp. 4–6.
- German, R.M. Particle Packing Characteristics; Metal Powder Industries Federation: Princeton, NJ, USA, 1989. [Google Scholar]
- James, P.J. Particle deformation during cold isostatic pressing of metal powders. Powder Metall. 1977, 20, 199–204. [Google Scholar] [CrossRef]
- Roumanie, M.; Flassayer, C.; Resch, A.; Cortella, L.; Laucournet, R. Influence of debinding and sintering conditions on the composition and thermal conductivity of copper parts printed from highly loaded photocurable formulations. SN Appl. Sci. 2021, 3, 55. [Google Scholar] [CrossRef]
- Sundaram, M.V.; Surreddi, K.B.; Hryha, E.; Veiga, A.; Berg, S.; Castro, F.; Nyborg, L. Enhanced Densification of PM Steels by Liquid Phase Sintering with Boron-Containing Master Alloy. Metall. Mater. Trans. A 2018, 49, 255–263. [Google Scholar] [CrossRef]
- Farayibi, P.; Blüm, M.; Weber, S. Densification of a high chromium cold work tool steel powder in different atmospheres by SLPS: Microstructure, heat treatment and micromechanical properties. Mater. Sci. Eng. A 2019, 777, 139053. [Google Scholar] [CrossRef]
- German, R.M. Supersolidus liquid-phase sintering of prealloyed powders. Metall. Mater. Trans. A 1997, 28, 1553–1567. [Google Scholar] [CrossRef]
- Liu, Y.; Tandon, R.; German, R.M. Modeling of supersolidus liquid phase sintering: II. Densification. Metall. Mater. Trans. A 1995, 26, 2423–2430. [Google Scholar] [CrossRef]
- Nandwana, P.; Kannan, R.; Siddel, D. Microstructure evolution during binder jet additive manufacturing of H13 tool steel. Addit. Manuf. 2020, 36, 101534. [Google Scholar] [CrossRef]
- Myers, N.S.; Heaney, D.F. Metal Injection Molding (MIM) of High-Speed Tool Steels, 2nd ed.; No. MIM; Elsevier Ltd.: Amsterdam, The Netherlands, 2019. [Google Scholar] [CrossRef]
- Bolton, J.D.; Gant, A.J.; Hague, R.J.M. Liquid-phase sintering of high-speed steels. J. Mater. Sci. 1991, 26, 5203–5211. [Google Scholar] [CrossRef]
- Wright, C.S.; Ogel, B. Supersolidus sintering of high speed steels: Part 1: Sintering of molybdenum based alloys. Powder Metall. 1993, 36, 213–219. [Google Scholar] [CrossRef]
- Arslan, F.; Altinsoy, I.; Hatman, A.; Ipek, M.; Zeytin, S.; Bindal, C. Characterization of cryogenic heat treated Vanadis 4 PM cold work tool steel. Vacuum 2011, 86, 370–373. [Google Scholar] [CrossRef]
- Kim, H.; Kang, J.-Y.; Son, D.; Lee, T.-H.; Cho, K.-M. Evolution of carbides in cold-work tool steels. Mater. Charact. 2015, 107, 376–385. [Google Scholar] [CrossRef]
- Uddeholms, A.B. Heat Treatment of Tool Steel; Uddeholms AB: Hagfors, Sweden, 2012; Volume 8, pp. 1–20. [Google Scholar]
- Hryha, E.; Nyborg, L. Effectiveness of reducing agents during sintering of Cr-prealloyed PM steels. Powder Metall. 2014, 57, 245–250. [Google Scholar] [CrossRef]
- Hryha, E.; Nyborg, L. Thermogravimetry study of the effectiveness of different reducing agents during sintering of Cr-prealloyed PM steels. J. Therm. Anal. Calorim. 2014, 118, 825–834. [Google Scholar] [CrossRef]















| Powder | C | Si | Mn | Cr | Mo | V | O | Fe |
|---|---|---|---|---|---|---|---|---|
| V4E | 1.4 | 0.4 | 0.4 | 4.7 | 3.5 | 3.7 | 0.02 | Bal. |
| Archimedes Method | ImageJ Analysis (%) | ||
|---|---|---|---|
| Temperature | (g/cm3) | Relative Density (%) | Relative Density (%) |
| 1150 °C | 7.18 ± 0.17 | 91.4 ± 2.2 | 95.9 ± 0.5 |
| 1200 °C | 7.80 ± 0.01 | 99.9 ± 0.0 | 99.9 ± 0.03 |
| Archimedes Density (g/cm3) | ||
|---|---|---|
| Sample | Sintering | Sintering + Capsule-Free HIP + Tempering |
| 1150 °C | 7.18 ± 0.17 | 7.80 ± 0.01 |
| 1200 °C | 7.80 ± 0.01 | 7.81 ± 0.01 |
| Sample | Apparent Hardness Measurement (HV10) | |
|---|---|---|
| After Sintering (g/cm3) | After Capsule-Free HIP + Tempering (g/cm3) | |
| 1150 °C | 335 ± 7 | 519 ± 14 |
| 1200 °C | 444 ± 14 | 457 ± 11 |
| Sintering Temperature | Sintering | Sintering + Capsule-Free HIP + Hardening + Tempering | ||||
|---|---|---|---|---|---|---|
| °C | C | O | N | C | O | N |
| 1150 | 1.42 | 0.007 | 0.76 | 1.46 | 0.001 | 0.74 |
| 1200 | 1.44 | 0.005 | 0.70 | 1.47 | 0.001 | 0.67 |
Disclaimer/Publisher’s Note: The statements, opinions and data contained in all publications are solely those of the individual author(s) and contributor(s) and not of MDPI and/or the editor(s). MDPI and/or the editor(s) disclaim responsibility for any injury to people or property resulting from any ideas, methods, instructions or products referred to in the content. |
© 2024 by the authors. Licensee MDPI, Basel, Switzerland. This article is an open access article distributed under the terms and conditions of the Creative Commons Attribution (CC BY) license (https://creativecommons.org/licenses/by/4.0/).
Share and Cite
Nagaram, A.B.; Maistro, G.; Adolfsson, E.; Cao, Y.; Hryha, E.; Nyborg, L. Full Density Powder Metallurgical Cold Work Tool Steel through Nitrogen Sintering and Capsule-Free Hot Isostatic Pressing. Metals 2024, 14, 914. https://doi.org/10.3390/met14080914
Nagaram AB, Maistro G, Adolfsson E, Cao Y, Hryha E, Nyborg L. Full Density Powder Metallurgical Cold Work Tool Steel through Nitrogen Sintering and Capsule-Free Hot Isostatic Pressing. Metals. 2024; 14(8):914. https://doi.org/10.3390/met14080914
Chicago/Turabian StyleNagaram, Anok Babu, Giulio Maistro, Erik Adolfsson, Yu Cao, Eduard Hryha, and Lars Nyborg. 2024. "Full Density Powder Metallurgical Cold Work Tool Steel through Nitrogen Sintering and Capsule-Free Hot Isostatic Pressing" Metals 14, no. 8: 914. https://doi.org/10.3390/met14080914
APA StyleNagaram, A. B., Maistro, G., Adolfsson, E., Cao, Y., Hryha, E., & Nyborg, L. (2024). Full Density Powder Metallurgical Cold Work Tool Steel through Nitrogen Sintering and Capsule-Free Hot Isostatic Pressing. Metals, 14(8), 914. https://doi.org/10.3390/met14080914
