Catalytic Activity Evaluation of the Molten Salt-Modified Novel Ni Electrodes for Urea Electrooxidation in Alkaline Solutions
Abstract
1. Introduction
2. Experimental Details
2.1. Sample Preparation
2.2. Molten Salts Treatment
2.3. Instrumental Analysis
2.4. Electrochemical Activity Evaluation
3. Results and Discussion
3.1. Molten Salt Treatment of Ni Electrode
3.2. Instrumental Characterization of Porous Electrodes
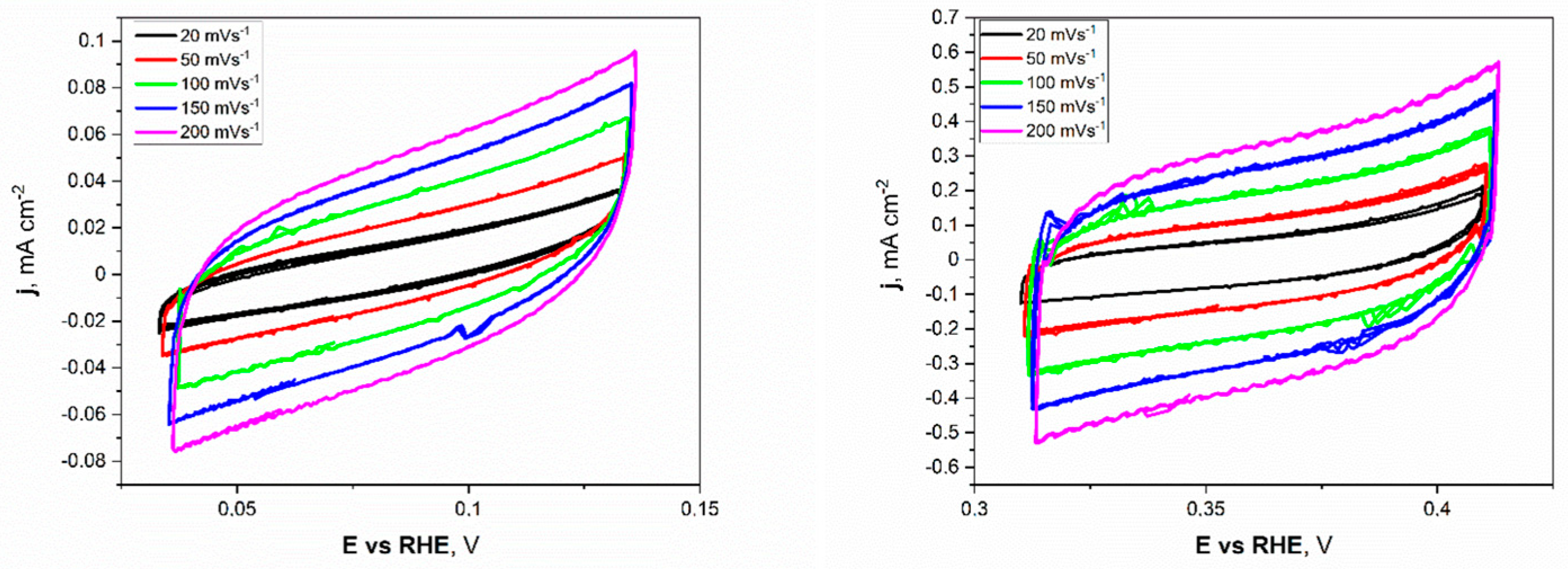
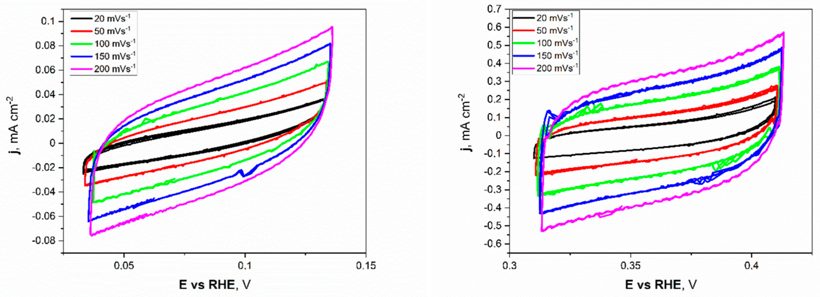
3.3. Evaluation of Catalytic Activity of Molten Salts Modified Ni Electrodes
4. Conclusions
Author Contributions
Funding
Data Availability Statement
Conflicts of Interest
References
- Fan, L.; Tu, Z.; Chan, S.H. Recent Development of Hydrogen and Fuel Cell Technologies: A Review. Energy Rep. 2021, 7, 8421–8446. [Google Scholar] [CrossRef]
- Sayed, E.T.; Eisa, T.; Mohamed, H.O.; Abdelkareem, M.A.; Allagui, A.; Alawadhi, H.; Chae, K.-J. Direct Urea Fuel Cells: Challenges and Opportunities. J. Power Sources 2019, 417, 159–175. [Google Scholar] [CrossRef]
- Protsenko, V.S. Thermodynamic Aspects of Urea Oxidation Reaction in the Context of Hydrogen Production by Electrolysis. Int. J. Hydrogen Energy 2023, 48, 24207–24211. [Google Scholar] [CrossRef]
- Protsenko, V.S.; Bobrova, L.S.; Butyrina, T.E.; Sukhatskyi, O.D. Thermodynamics of Electrochemical Urea Oxidation Reaction Coupled with Cathodic Hydrogen Evolution Reaction in an Alkaline Solution: Effect of Carbonate Formation. Int. J. Hydrogen Energy 2024, 59, 354–358. [Google Scholar] [CrossRef]
- Sun, Y.; Chen, S. New Electrocatalysts and Mechanisms Pave the Way to Urea Oxidation with Superior Activities and Stability. Sci. China Chem. 2022, 65, 199–201. [Google Scholar] [CrossRef]
- Daramola, D.A.; Singh, D.; Botte, G.G. Dissociation Rates of Urea in the Presence of NiOOH Catalyst: A DFT Analysis. J. Phys. Chem. A 2010, 114, 11513–11521. [Google Scholar] [CrossRef] [PubMed]
- Vedharathinam, V.; Botte, G.G. Direct Evidence of the Mechanism for the Electrooxidation of Urea on Ni(OH)2 Catalyst in Alkaline Medium. Electrochim. Acta 2013, 108, 660–665. [Google Scholar] [CrossRef]
- Xie, L.; Liu, Q.; Luo, Y.; Liu, Z.; Xu, Y.; Asiri, A.M.; Sun, X.; Xie, F. Bimetallic NiCoP Nanosheets Array for High-Performance Urea Electrooxidation and Less Energy-Intensive Electrolytic Hydrogen Production. ChemistrySelect 2017, 2, 10285–10289. [Google Scholar] [CrossRef]
- Xu, W.; Du, D.; Lan, R.; Humphreys, J.; Wu, Z.; Tao, S. Highly Active Ni–Fe Double Hydroxides as Anode Catalysts for Electrooxidation of Urea. New J. Chem. 2017, 41, 4190–4196. [Google Scholar] [CrossRef]
- Yang, D.; Yang, L.; Zhong, L.; Yu, X.; Feng, L. Urea Electrooxidation Efficiently Catalyzed by Nickel-Molybdenum Oxide Nanorods. Electrochim. Acta 2019, 295, 524–531. [Google Scholar] [CrossRef]
- Urbańczyk, E.; Jaroń, A.; Simka, W. Electrocatalytic Oxidation of Urea on a Sintered Ni–Pt Electrode. J. Appl. Electrochem. 2017, 47, 133–138. [Google Scholar] [CrossRef]
- Goda, M.A.; Abd El-Moghny, M.G.; El-Deab, M.S. Enhanced Electrocatalytic Oxidation of Urea at CuOx-NiOx Nanoparticle-Based Binary Catalyst Modified Polyaniline/GC Electrodes. J. Electrochem. Soc. 2020, 167, 064522. [Google Scholar] [CrossRef]
- Wu, M.-S.; Lin, G.-W.; Yang, R.-S. Hydrothermal Growth of Vertically-Aligned Ordered Mesoporous Nickel Oxide Nanosheets on Three-Dimensional Nickel Framework for Electrocatalytic Oxidation of Urea in Alkaline Medium. J. Power Sources 2014, 272, 711–718. [Google Scholar] [CrossRef]
- Chavhan, M.P.; Slovak, V.; Lu, C.-H. Thickness-Controlled Porous Hexagonal NiO Nanodiscs Electrodes for Use in Supercapacitors: How Nanodiscs Thickness Influences Electrochemical Performance. J. Energy Storage 2022, 50, 104329. [Google Scholar] [CrossRef]
- Navarro-Aguilar, A.I.; Ruíz-Gómez, M.A.; Rodríguez-González, V.; Obregón, S.; Vázquez, A. Effect of the Ni(NO3)2 Additive on the Electrophoretic Deposition of NiO Nanoparticles. Ceram. Int. 2020, 46, 28528–28535. [Google Scholar] [CrossRef]
- Tanaka, S.; Hirose, N.; Tanaki, T.; Ogata, Y.H. Effect of Ni-Al Precursor Alloy on the Catalytic Activity for a Raney-Ni Cathode. J. Electrochem. Soc. 2000, 147, 2242. [Google Scholar] [CrossRef]
- Dulle, J.; Nemeth, S.; Skorb, E.V.; Irrgang, T.; Senker, J.; Kempe, R.; Fery, A.; Andreeva, D.V. Sonochemical Activation of Al/Ni Hydrogenation Catalyst. Adv. Funct. Mater. 2012, 22, 3128–3135. [Google Scholar] [CrossRef]
- Bernäcker, C.I.; Rauscher, T.; Büttner, T.; Kieback, B.; Röntzsch, L. A Powder Metallurgy Route to Produce Raney-Nickel Electrodes for Alkaline Water Electrolysis. J. Electrochem. Soc. 2019, 166, F357–F363. [Google Scholar] [CrossRef]
- Adabi, M.; Amadeh, A.A. Formation Mechanisms of Ni–Al Intermetallics during Heat Treatment of Ni Coating on 6061 Al Substrate. Trans. Nonferrous Met. Soc. China 2015, 25, 3959–3966. [Google Scholar] [CrossRef]
- Nakajima, K.; Fukumoto, M. Porous Ni–Co Surface Formation and Analysis of Hydrogen Generation by Gas Sensor. Int. J. Hydrogen Energy 2021, 46, 26263–26271. [Google Scholar] [CrossRef]
- Fukumoto, M.; Takahashi, H.; Kutyła, D.; Wojnicki, M.; Żabiński, P. Morphological Investigation and Electrochemical Performance Evaluation of Novel Porous Ni–Pt Produced by Al-Deposition/Dissolution in Molten Salts for Hydrogen and Oxygen Evolution Reaction. Int. J. Hydrogen Energy 2024, 49, 754–765. [Google Scholar] [CrossRef]
- Kutyła, D.; Nakajima, K.; Fukumoto, M.; Wojnicki, M.; Kołczyk-Siedlecka, K. Electrocatalytic Performance of Ethanol Oxidation on Ni and Ni/Pd Surface-Decorated Porous Structures Obtained by Molten Salts Deposition/Dissolution of Al-Ni Alloys. Int. J. Mol. Sci. 2023, 24, 3836. [Google Scholar] [CrossRef] [PubMed]
- Fukumoto, M.; Sugiuchi, K.; Nakajima, K. Formation of Porous Ni Surface by Electrodeposition and Dissolution in Molten Salt. Int. J. Hydrogen Energy 2020, 45, 28252–28259. [Google Scholar] [CrossRef]
- Fukumoto, M.; Suzuki, T.; Hara, M.; Narita, T. Effect of the Electrodeposition Temperature on the Cyclic-Oxidation Resistance of Ni Aluminide Containing Zr Formed by Molten-Salt Electrodeposition. Mater. Trans. 2009, 50, 335–340. [Google Scholar] [CrossRef]
- Losertová, M.; Čech Barabaszová, K.; Drápala, J.; Kursa, M. Study of Kirkendall Effect in Ni/Ni3Al Welded Joint after the High Temperature Annealing. Defect. Diffus. Forum 2007, 263, 213–218. [Google Scholar] [CrossRef]
- Watzele, S.; Hauenstein, P.; Liang, Y.; Xue, S.; Fichtner, J.; Garlyyev, B.; Scieszka, D.; Claudel, F.; Maillard, F.; Bandarenka, A.S. Determination of Electroactive Surface Area of Ni-, Co-, Fe-, and Ir-Based Oxide Electrocatalysts. ACS Catal. 2019, 9, 9222–9230. [Google Scholar] [CrossRef]
- Connor, P.; Schuch, J.; Kaiser, B.; Jaegermann, W. The Determination of Electrochemical Active Surface Area and Specific Capacity Revisited for the System MnOx as an Oxygen Evolution Catalyst. Z. Phys. Chem. 2020, 234, 979–994. [Google Scholar] [CrossRef]
- Anantharaj, S.; Sugime, H.; Noda, S. Why Shouldn’t Double-Layer Capacitance (Cdl) Be Always Trusted to Justify Faradaic Electrocatalytic Activity Differences? J. Electroanal. Chem. 2021, 903, 115842. [Google Scholar] [CrossRef]
- McCrory, C.C.L.; Jung, S.; Ferrer, I.M.; Chatman, S.M.; Peters, J.C.; Jaramillo, T.F. Benchmarking Hydrogen Evolving Reaction and Oxygen Evolving Reaction Electrocatalysts for Solar Water Splitting Devices. J. Am. Chem. Soc. 2015, 137, 4347–4357. [Google Scholar] [CrossRef]
- Li, Y.; Luo, F.; Xie, Y.; Chang, C.; Xie, M.; Yang, Z. Oxygen Vacancies in α-Ni(OH)2 Porous Nanoflowers Promote Urea Oxidation. Int. J. Hydrogen Energy 2023, 48, 9155–9162. [Google Scholar] [CrossRef]
- Guo, F.; Ye, K.; Cheng, K.; Wang, G.; Cao, D. Preparation of Nickel Nanowire Arrays Electrode for Urea Electrooxidation in Alkaline Medium. J. Power Sources 2015, 278, 562–568. [Google Scholar] [CrossRef]
- Gómez-Sacedón, C.; López-Fernández, E.; González-Elipe, A.R.; Espinós, J.P.; Yubero, F.; Gil-Rostra, J.; de Lucas-Consuegra, A. NiFeO/NiFe Bilayer Electrocatalyst for an Efficient Urea Assisted Water Electrolysis. Int. J. Hydrogen Energy 2024, 59, 604–613. [Google Scholar] [CrossRef]
- Adhikari, S.; Kwon, Y.; Kim, D.-H. Three-Dimensional Core–Shell Structured NiCo2O4@CoS/Ni-Foam Electrocatalyst for Oxygen Evolution Reaction and Electrocatalytic Oxidation of Urea. Chem. Eng. J. 2020, 402, 126192. [Google Scholar] [CrossRef]
- Yang, W.; Yang, X.; Hou, C.; Li, B.; Gao, H.; Lin, J.; Luo, X. Rapid Room-Temperature Fabrication of Ultrathin Ni(OH)2 Nanoflakes with Abundant Edge Sites for Efficient Urea Oxidation. Appl. Catal. B 2019, 259, 118020. [Google Scholar] [CrossRef]
- Zhang, J.-Y.; He, T.; Wang, M.; Qi, R.; Yan, Y.; Dong, Z.; Liu, H.; Wang, H.; Xia, B.Y. Energy-Saving Hydrogen Production Coupling Urea Oxidation over a Bifunctional Nickel-Molybdenum Nanotube Array. Nano Energy 2019, 60, 894–902. [Google Scholar] [CrossRef]








| Material | KOH/NaOH + Urea | Onset Potential, V | Current Density/Potential | ECSA mFcm−2 | Ref. |
|---|---|---|---|---|---|
| α-Ni(OH)2-PNF | 1 M + 0.5 M | 1.317 vs. RHE | 10 mAcm−2/1.37 V | 7.00 | [30] |
| Ni nanowires | 5 M + 3.0 M | 0.25 vs. Ag/AgCl | 50 mAcm−2/0.5 V | 25.21 | [31] |
| NiFe/NiFeO/N | 1 M + 0.33 M | 1.43 vs. RHE | 68 mAcm−2/1.7 V | - | [32] |
| NiCo2O4@CoS/NF | 1 M + 0.33 M | 0.37 vs. Ag/AgCl | 78 mAcm−2/0.5 V | 10.10 | [33] |
| Ultrathin Ni(OH)2 nanoflakes | 1 M + 0.33 M | 0.35 vs. Ag/AgCl | 76 mA/cm−2/0.5 V | 0.76 | [34] |
| Ni-Mo nanotube | 0.1 M + 0.33 M | 1.36 vs. RHE | 10 mAcm−2/1.43 V | 0.92 | [35] |
| Nickel foam—This work | 1 M + 0.33 M | 1.39 vs. RHE | 38 mAcm−2/1.52 V | 2.16 | - |
Disclaimer/Publisher’s Note: The statements, opinions and data contained in all publications are solely those of the individual author(s) and contributor(s) and not of MDPI and/or the editor(s). MDPI and/or the editor(s) disclaim responsibility for any injury to people or property resulting from any ideas, methods, instructions or products referred to in the content. |
© 2024 by the authors. Licensee MDPI, Basel, Switzerland. This article is an open access article distributed under the terms and conditions of the Creative Commons Attribution (CC BY) license (https://creativecommons.org/licenses/by/4.0/).
Share and Cite
Kutyła, D.; Fukumoto, M.; Takahashi, H.; Wojnicki, M.; Żabiński, P. Catalytic Activity Evaluation of the Molten Salt-Modified Novel Ni Electrodes for Urea Electrooxidation in Alkaline Solutions. Metals 2024, 14, 904. https://doi.org/10.3390/met14080904
Kutyła D, Fukumoto M, Takahashi H, Wojnicki M, Żabiński P. Catalytic Activity Evaluation of the Molten Salt-Modified Novel Ni Electrodes for Urea Electrooxidation in Alkaline Solutions. Metals. 2024; 14(8):904. https://doi.org/10.3390/met14080904
Chicago/Turabian StyleKutyła, Dawid, Michihisa Fukumoto, Hiroki Takahashi, Marek Wojnicki, and Piotr Żabiński. 2024. "Catalytic Activity Evaluation of the Molten Salt-Modified Novel Ni Electrodes for Urea Electrooxidation in Alkaline Solutions" Metals 14, no. 8: 904. https://doi.org/10.3390/met14080904
APA StyleKutyła, D., Fukumoto, M., Takahashi, H., Wojnicki, M., & Żabiński, P. (2024). Catalytic Activity Evaluation of the Molten Salt-Modified Novel Ni Electrodes for Urea Electrooxidation in Alkaline Solutions. Metals, 14(8), 904. https://doi.org/10.3390/met14080904

