Multi-Physics Simulation and Optimization of Jet Electrodeposition for Ni–Diamond Composite Coatings
Abstract
1. Introduction
2. Simulation
2.1. Simulation Model
2.2. Theoretical Basis of the Multi-Physics Simulation
2.2.1. Electric Field Theory
2.2.2. Flow Field Theory
2.2.3. Particle Tracking Theory
2.3. Electric Field Simulation
2.4. Flow Field Simulation
2.4.1. Velocity Simulation of Flow Field
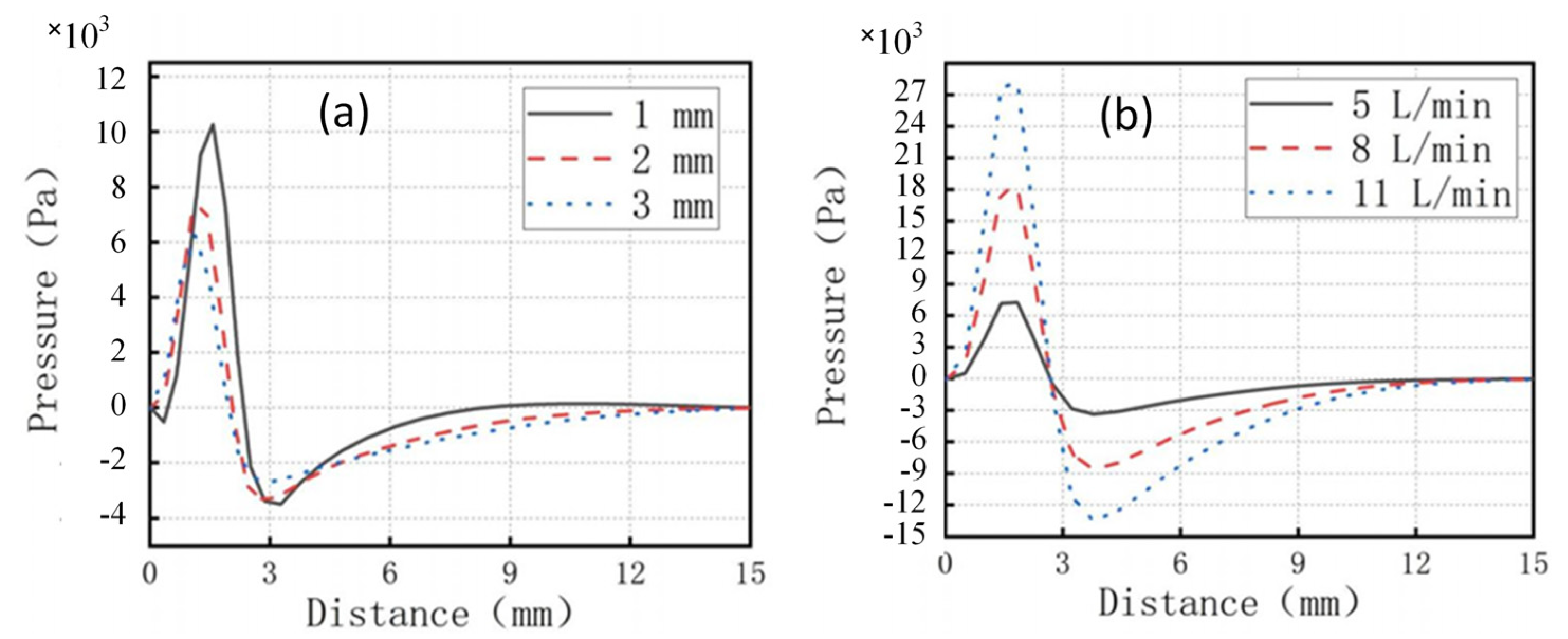
2.4.2. Simulation of Pressure Distribution
2.5. Multi-Physics Coupling Simulation
3. Experimental Setup
4. Results and Discussion
4.1. Surface Morphology of the Coating for Composite Electrodeposition
4.2. Wear Resistance of Composite Coating
5. Conclusions
Author Contributions
Funding
Data Availability Statement
Acknowledgments
Conflicts of Interest
References
- Liu, M.; Liu, H.; Wang, D.; Liu, B.; Shi, Y.; Li, F.; Gong, Y.; Li, L.; Li, L.; Zhang, W. Effect of Nanodiamond Concentration and the Current Density of the Electrolyte on the Texture and Mechanical Properties of Ni/Nanodiamond Composite Coatings Produced by Electrodeposition. Materials 2019, 12, 1105. [Google Scholar] [CrossRef] [PubMed]
- Wang, X.; Chou, C.-C.; Wu, L.T.-S.; Wu, R.; Lee, J.-W.; Chang, H.-Y. Improvement of the Adhesion and Diamond Content of Electrodeposited Cu/Microdiamond Composite Coatings by a Plated Cu Interlayer. Materials 2021, 14, 2571. [Google Scholar] [CrossRef] [PubMed]
- Wang, X.; Chou, C.-C.; Yang, Y.-C.; Wu, R.; Lee, J.-W.; Chang, H.-Y. Tribological and mechanical properties of Cu/Ni-microdiamond bilayers on brass substrates coated by composite electrodeposition technology. Surf. Topogr. Metrol. Prop. 2020, 8, 024005. [Google Scholar] [CrossRef]
- Tognia, M.; Feng, G.; Pan, Z.; Fan, X.; Song, C.; Wang, T. Multi-physics modelling and simulation approach with experimental validation for electrocatalytic filtration process: Part A. Optimization of electrodeposition of metal oxides on carbon membranes. J. Electroanal. Chem. 2022, 920, 116564. [Google Scholar] [CrossRef]
- Pandey, M.; Kapil, A.; Das, M. Numerical and experimental analysis of the localized electrodeposition (LED) based micro additive manufacturing process. Mater. Today 2024, 98, 174. [Google Scholar] [CrossRef]
- Cui, W.; Wang, K.; Xia, F.; Wang, P. Simulation and characterization of Ni-doped SiC nanocoatings prepared by jet electrodeposition. Ceram. Int. 2018, 44, 5500. [Google Scholar] [CrossRef]
- Pérez, T.; Arenas, L.F.; Villalobos-Lara, D.; Zhou, N.; Wang, S.; Walsh, F.C.; Nava, J.L.; de León, C.P. Simulations of fluid flow, mass transport and current distribution in a parallel plate flow cell during nickel electrodeposition. J. Electroanal. Chem. 2020, 873, 114359. [Google Scholar] [CrossRef]
- Xia, F.; Zhao, X.; Jiang, M.; Ma, C. Influence of nozzle-fluid velocity on morphology and wear resistance of jet flow electrodeposited Ni-doped SiC composites. AIP Adv. 2019, 9, 065310. [Google Scholar] [CrossRef]
- Xia, F.; Jia, W.; Jiang, M.; Cui, W.; Wang, J. Microstructure and corrosion properties of Ni-TiN nanocoatings prepared by jet pulse electrodeposition. Ceram. Int. 2017, 43, 14623. [Google Scholar] [CrossRef]
- Fu, X.; Li, J.; Zhang, H.; Xian, J. Simulation and experimental research on nickel-based coating prepared by jet electrodeposition at different scanning speeds. Int. J. Adv. Manuf. Technol. 2022, 121, 1851. [Google Scholar] [CrossRef]
- Kumar, P.; Swaminathan, N.; Natarajan, S. An extended finite element method for the Nernst-Planck-Poisson equations. Solid State Ion. 2024, 410, 116531. [Google Scholar] [CrossRef]
- Liu, Y.; Li, X. Absence of anomalous dissipation of enstrophy for 3D incompressible Navier-Stokes equations. J. Math. Anal. Appl. 2024, 536, 128218. [Google Scholar] [CrossRef]
- Rajput, M.S.; Pandey, P.M.; Jha, S. Modelling of high speed selective jet electrodeposition process. J. Manuf. Process. 2015, 17, 98. [Google Scholar] [CrossRef]
- Ayalew, A.A.; Han, X.; Suzuki, K.; Yoshida, S.; Sakairi, M. Fabrication of Ni-microstructure through electrochemical deposition using 3D printed solution flow type microdroplet cell. Mater. Today Commun. 2023, 37, 107069. [Google Scholar] [CrossRef]
- Huang, D.; Shen, L.; Chen, J.; Zhu, J. Simulation and Experiment of Fixed Point Jet Electroforming. Hot Work. Technol. 2013, 42, 74. Available online: https://www.cnki.net/kcms/detail/61.1133.TG.20131108.1025.023.html (accessed on 24 July 2024). (In Chinese).













Disclaimer/Publisher’s Note: The statements, opinions and data contained in all publications are solely those of the individual author(s) and contributor(s) and not of MDPI and/or the editor(s). MDPI and/or the editor(s) disclaim responsibility for any injury to people or property resulting from any ideas, methods, instructions or products referred to in the content. |
© 2024 by the authors. Licensee MDPI, Basel, Switzerland. This article is an open access article distributed under the terms and conditions of the Creative Commons Attribution (CC BY) license (https://creativecommons.org/licenses/by/4.0/).
Share and Cite
Wang, X.; Chou, C.-C.; Zhou, X.; Bao, X.; Zhang, Q. Multi-Physics Simulation and Optimization of Jet Electrodeposition for Ni–Diamond Composite Coatings. Metals 2024, 14, 868. https://doi.org/10.3390/met14080868
Wang X, Chou C-C, Zhou X, Bao X, Zhang Q. Multi-Physics Simulation and Optimization of Jet Electrodeposition for Ni–Diamond Composite Coatings. Metals. 2024; 14(8):868. https://doi.org/10.3390/met14080868
Chicago/Turabian StyleWang, Xiaoli, Chau-Chang Chou, Xin Zhou, Xin Bao, and Qian Zhang. 2024. "Multi-Physics Simulation and Optimization of Jet Electrodeposition for Ni–Diamond Composite Coatings" Metals 14, no. 8: 868. https://doi.org/10.3390/met14080868
APA StyleWang, X., Chou, C.-C., Zhou, X., Bao, X., & Zhang, Q. (2024). Multi-Physics Simulation and Optimization of Jet Electrodeposition for Ni–Diamond Composite Coatings. Metals, 14(8), 868. https://doi.org/10.3390/met14080868

