Novel Aging Warm-Forming Process of Al-Zn-Mg Aluminum Alloy Sheets and Influence of Precipitate Characteristics on Warm Formability
Abstract
1. Introduction
2. Material and Experimental Methods
2.1. Material and Specimen Design
2.2. Experimental Details
2.2.1. AWF Processing Procedure
2.2.2. Formability and Flow Behavior of Aging Warm-Forming Process
2.2.3. Differential Scanning Calorimetry
2.3. Microstructure Examination
3. Results
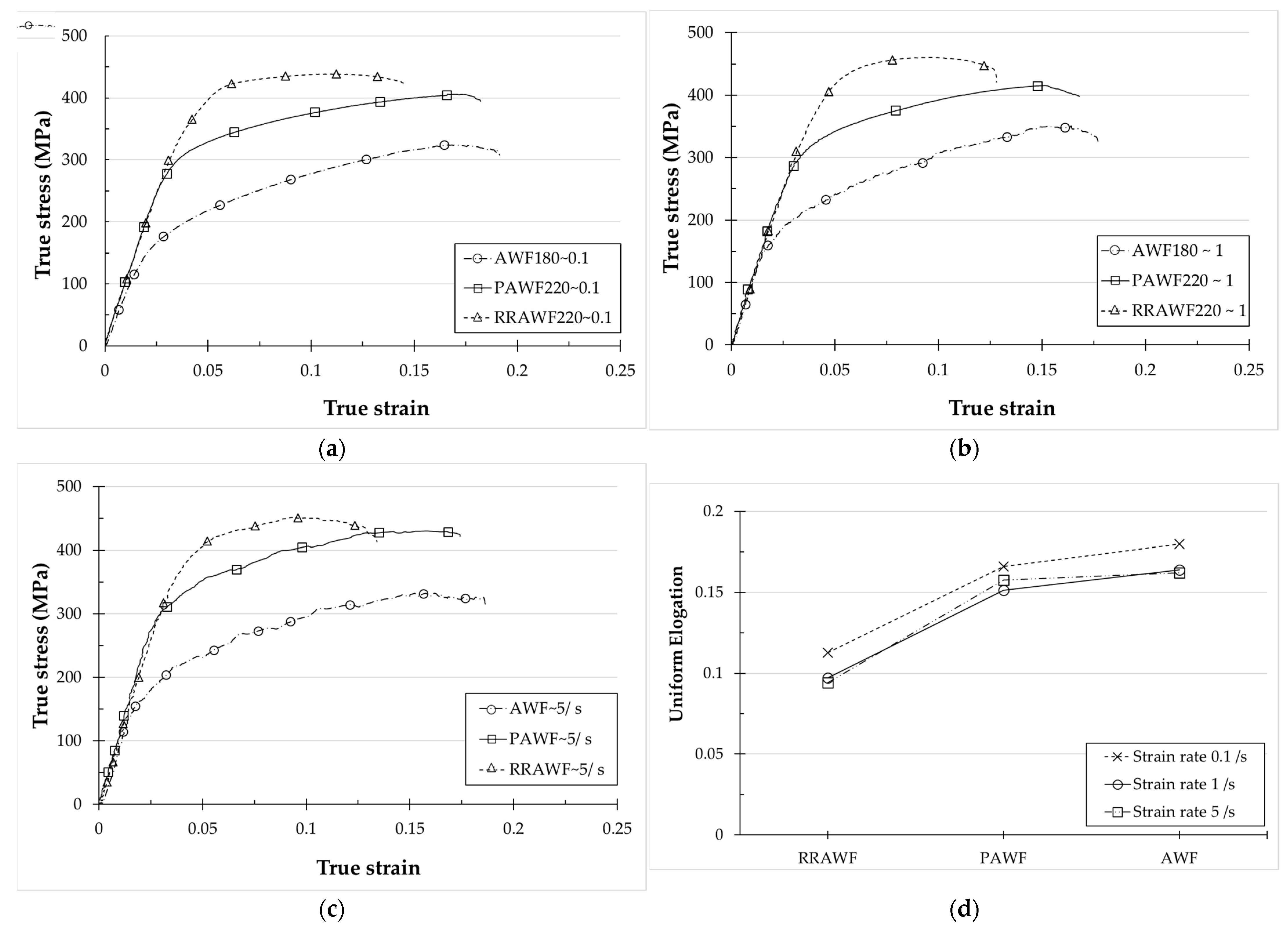
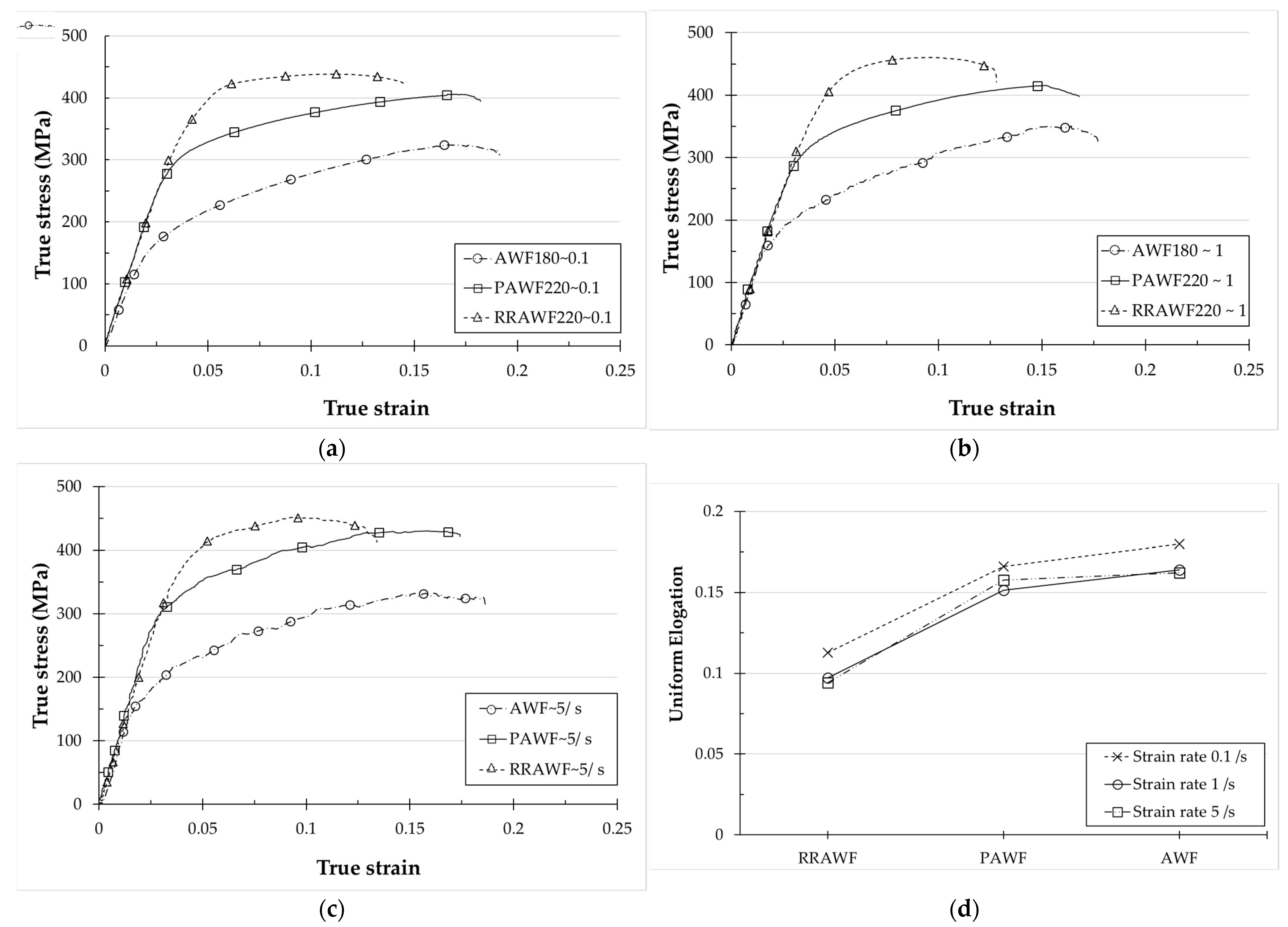
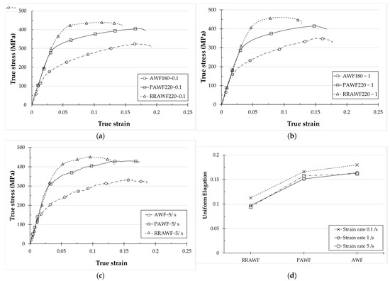
3.1. Flow Behaviour of Al-Zn-Mg Sheets under AWF Process
3.2. Spring-Back Analysis of Al-Zn-Mg Sheets under the AWF Process
3.3. Warm Formability of Al-Zn-Mg Sheets under the AWF Process
3.4. Final Mechanical Properties
3.5. Microstructural Observation
3.5.1. EBSD
3.5.2. Microstructures before PB Treatment
3.5.3. Microstructures after PB Treatment
3.6. Results of DSC Tests
4. Discussion
5. Conclusions
- The ultimate tensile strength (UTS) of the specimen treated with the proposed aging warm-forming processing procedure achieved approximately 93% of AA7075-T6. A good PB response was observed due to the secondary precipitation of pre-existing precipitates in AWF specimens.
- True uniform and fracture elongation, as well as the maximum LDH value, were significantly enhanced under the AWF process compared with the RRA and PA warm-forming processes. The formability of Al-Zn-Mg alloy sheets showed significant improvement. This is primarily attributed to the characteristics of pre-existing precipitates in the matrix in specimens subjected to AWF, RRA, and PA (pre-aging) warm-forming processes.
- The obtained results demonstrate the feasibility of the proposed novel AWF process to manufacture Al-Zn-Mg alloy parts due to improved spring-back response, formability, and good overall post-formed strength. It shows potential application in manufacturing Al-Zn-Mg alloy sheet metal parts. However, there is still room for refinement in this process.
- Establishing a predictive formability model for Al-Zn-Mg alloy sheets under elevated temperatures based on the relationship between microstructural characteristics and forming limit diagrams obtained under AWF, PAWF, and RRAWF process conditions.
- Identifying AWF process parameters to meet the mechanical properties of the final product by integrating precipitation kinetics models with prediction models for mechanical properties based on microstructural characteristics.
Author Contributions
Funding
Data Availability Statement
Acknowledgments
Conflicts of Interest
References
- Raugei, M.; Fakir, O.E.; Wang, L.; Lin, J.; Morrey, D. Life cycle assessment of the potential environmental benefits of a novel hot forming process in automotive manufacturing. J. Clean. Prod. 2014, 83, 80–86. [Google Scholar] [CrossRef]
- Scharifi, E.; Yardley, V.A.; Weidig, U.; Szegda, D.; Lin, J.; Steinhoff, K. Hot sheet metal forming strategies for high-strength aluminum alloys: A review—Fundamentals and applications. Adv. Eng. Mater. 2023, 25, 2300141. [Google Scholar] [CrossRef]
- AMAG Austria Metall AG. AluReport: Safety and Lightweight Construction with AMAG Aluminium; AMAG: Ranshofen, Austria, 2014. [Google Scholar]
- Gronostajski, Z.; Polak, S.; Jaśkiewicz, K.; Kaczyńskia, P.; Skwarski, M.; Krawczyk, J.; Chorzępa, W.; Śliz, K.; Uzar, S. Properties of B-pillar made of aluminium 7075 in warm forming process. Procedia Manuf. 2019, 27, 98–103. [Google Scholar] [CrossRef]
- Kumar, M.; Sotirov, N.; Chimani, C. Investigations on warm forming of AW-7020-T6 alloy sheet. J. Mater. Process. Technol. 2014, 214, 1769–1776. [Google Scholar] [CrossRef]
- Ivanoff, T.A.; Carter, J.T.; Hector, L.G., Jr.; Taleff, E.M. Retrogression and reaging applied to warm forming of high-strength aluminum alloy AA7075-T6 sheet. Metall. Mater. Trans. A. 2019, 50, 1545–1561. [Google Scholar] [CrossRef]
- Österreicher, J.A.; Tunes, M.A.; Grabner, F.; Arnoldt, A.; Kremmer, T.; Pogatscher, S.; Schlögl, C.M. Warm-forming of pre-aged Al-Zn-Mg-Cu alloy sheet. Mater. Design. 2020, 193, 108837. [Google Scholar] [CrossRef]
- Lin, H.; Zhang, W.; Ma, H.; Hu, Z. Investigation of formability, microstructures and post-forming mechanical properties of heat-treatable aluminum alloys subjected to pre-aged hardening warm forming. Int. J. Mach. Tools Manuf. 2021, 169, 103799. [Google Scholar]
- Jiang, Y.F.; Ding, H. Investigations into Hot Form Quench Conditions on Microstructure Evolution and Bake-Hardening Response for High-Strength Aluminium Alloy. J. Mater. Eng. Perform. 2020, 29, 8331–8339. [Google Scholar] [CrossRef]
- Harant, M.; Verleysen, P.; Forejt, M.; Kolomy, S. The Effects of Strain Rate and Anisotropy on the Formability and Mechanical Behaviour of Aluminium Alloy 2024-T3. Metals. 2024, 14, 98. [Google Scholar] [CrossRef]
- Khraisat, W. Strain hardening exponent and strain rate sensitivity exponent of dual-phase steels at quasi-static strain rates during tensile testing. Cogent Eng. 2023, 10, 2274548. [Google Scholar] [CrossRef]
- Zhou, W.; Lin, J.; Balint, D.S.; Dean, T.A. Clarification of the effect of temperature and strain rate on workpiece deformation behavior in metal forming processes. Int. J. Mach. Tools Manuf. 2021, 171, 103815. [Google Scholar] [CrossRef]
- Hou, H.; Zhao, G.; Yu, J.; Sun, Y.; Li, H. Experimental studies and modeling of strain rate- and temperature-dependent springback behavior of hot-deformed aluminum alloys. J. Mater. Process. 2023, 318, 118029. [Google Scholar] [CrossRef]
- Hadjadj, L.; Amira, R.; Hamana, D.; Mosbah, A. Characterization of precipitation and phase transformations in Al–Zn–Mg alloy by the differential dilatometry. J. Alloys Compd. 2008, 462, 279–283. [Google Scholar] [CrossRef]
- Park, J.K.; Ardell, A.J. Precipitate Microstructure of Peak-aged 7075 Al. Acta. Metall. 1988, 22, 1115–1119. [Google Scholar] [CrossRef]
- Asano, K.; Hirano, K.I. Precipitation Process in an Al-Zn-Mg Alloy. Trans. JIM 1968, 9, 24–34. [Google Scholar] [CrossRef][Green Version]
- Chemingui, M.; Ameur, R.; Optasanu, V.; Khitouni, M. DSC analysis of phase transformations during precipitation hardening in Al–Zn–Mg alloy (7020). J. Therm. Anal. Calorm. 2019, 136, 1887–1894. [Google Scholar] [CrossRef]
- Kilic, S.; Kacar, I.; Sahin, M.; Ozturk, F.; Erdem, O. Effects of Aging Temperature, Time, and Pre-Strain on Mechanical Properties of AA7075. Mat. Res. 2019, 22, e20190006. [Google Scholar] [CrossRef]
- Werenskiold, J.C.; Deschamps, A.; Bréchet, Y. Characterization and modeling of precipitation kinetics in an Al–Zn–Mg alloy. Metall. Mater. Trans. A 2000, 293, 267–274. [Google Scholar] [CrossRef]
- Shi, Q.; Wang, C.; Deng, K.; Nie, K.; Wu, Y.; Gan, W.; Liang, W. Microstructure and mechanical behavior of Mg-5Zn matrix influenced by particle deformation zone. J. Mater. Sci. 2021, 60, 8–20. [Google Scholar] [CrossRef]
- Wang, H.; Lee, H.W.; Kang, S.H.; Kim, D.K. Crystal Plasticity Finite Element Analyses on the Formability of AA6061 Aluminum Alloy with Different Ageing Treatments/ Kinetics of flow and strain-hardening. Metals 2024, 14, 503. [Google Scholar] [CrossRef]
- Dai, R.J.; Deng, K.K.; Wang, C.J.; Nie, K.B.; Zhang, G.W.; Liang, W. Effects of precipitates and solute atoms on the work hardening and softening behavior of Zn-rich aluminum alloy. Mat. Sci. Eng. A 2022, 848, 143388. [Google Scholar] [CrossRef]
- Bahrami, A.; Miroux, A.; Sietsma, J. Modeling of Strain Hardening in the Aluminum Alloy AA6061. Metall. Mater. Trans. A 2013, 44, 2409–2417. [Google Scholar] [CrossRef]
- Ghosh, K.S.; Das, K.; Chatterjee, U.K. Retrogression, reaging, and mechanical behaviour of a 1441 Al-Li-Cu-Mg-Zr alloy. Int. J. Mater. Eng. 2022, 96, 1404–1412. [Google Scholar] [CrossRef]
- Kumar, M.; Ross, N.G. Influence of temper on the performance of a high-strength Al–Zn–Mg alloy sheet in the warm forming processing chain. J. Mater. Process. 2016, 231, 189–198. [Google Scholar] [CrossRef]
- Jiang, Y.F.; Ding, H.; Cai, M.H.; Chen, Y.; Liu, Y.; Zhang, Y.S. Investigation into the hot forming-quenching integrated process with cold dies for high strength aluminum alloy. Mater. Charact. 2019, 158, 109967. [Google Scholar] [CrossRef]
- Lin, H.; Zhou, P.; Song, Y.; Song, Q. Characterization of strain rate sensitivity of 7075 aluminum alloy at different solution temperatures by novel kinetic models. Mater. Sci. Eng. B 2022, 282, 115751. [Google Scholar]
- Bignon, M.; Shanthraj, P.; Robson, J.D. Modelling dynamic precipitation in pre-aged aluminium alloys under warm forming conditions. Acta. Mater. 2022, 234, 1789–1802. [Google Scholar] [CrossRef]
- Zhao, D.; Xu, Y.; Gouttebroze, S.; Friis, J.; Li, Y. Modelling the age-hardening precipitation by a revised Langer and Schwartz approach with log-normal size distribution. Metall. Mater. Trans. A 2020, 51, 4838–4852. [Google Scholar] [CrossRef]
- Deschamps, A.; Brechet, Y. Influence of predeformation and ageing of an Al–Zn–Mg alloy—II. Modeling of precipitation kinetics and yield stress. Acta. Mater. 1998, 47, 293–305. [Google Scholar] [CrossRef]
















| Composition | Mg | Zn | Mn | Cu | Si | Al |
|---|---|---|---|---|---|---|
| Content | 2.1–2.9 | 5.1–6.1 | 0.03 | 1.2–2.0 | <0.4 | Bal. |
| Process | Heat Treatment | Heating Method | Forming Conditions | PB Treatment | |
|---|---|---|---|---|---|
| Simulated processing procedure | RRAWF | T6 | Contact heating 1 | 220 °C/30 s | 185 °C/20 min |
| PAWF | Pre-aged (120 °C/2 h) | Contact heating 1 | 220 °C/1 min | 185 °C/20 min | |
| AWF | W-temper | Contact heating 1 | 180 °C/1 min | 185 °C/20 min | |
| LDH test | Cold forming | T6 | - | - | - |
| W-temper | - | - | - | ||
| RRAWF | T6 | Contact heating 1 | 220 °C/30 s | - | |
| PAWF | Pre-aged (120 °C/2 h) | Contact heating 1 | 220 °C/1 min | - | |
| AWF | W-temper | Contact heating 1 | 180 °C/1 min | - | |
| Warm tensile test | RRAWF | T6 | Heat rate 3 °C/s | 220 °C/30 s | - |
| PAWF | Pre-aged (120 °C/2 h) | Heat rate 3 °C/s | 220 °C/1 min | - | |
| AWF | W-temper | Heat rate 3 °C/s | 180 °C/1 min | - |
| Process | Heat Treatment | Forming Conditions | PB Treatment | Microstructure Examination |
|---|---|---|---|---|
| As-received AA 7075-T6 | - | - | - | DSC, TEM |
| RRAWF | T6 | 220 °C/30 s | - | EBSD, TEM |
| ✓ | DSC, TEM | |||
| PAWF | Pre-aged (120 °C/2 h) | 220 °C/1 min | - | EBSD, TEM |
| ✓ | DSC, TEM | |||
| AWF | W-temper | 180 °C/1 min | - | EBSD, TEM |
| ✓ | DSC, TEM |
| Process | 0.1/s | 1/s | 5/s |
|---|---|---|---|
| AWF | 1.16 | 0.91 | 0.86 |
| PAWF | 0.85 | 0.77 | 0.72 |
| RRAWF | 0.49 | 0.55 | 0.54 |
| Process | 0.1/s | 1/s | 5/s |
|---|---|---|---|
| AWF | 0.033 | 0.030 | 0.028 |
| PAWF | 0.038 | 0.036 | 0.034 |
| RRAWF | 0.045 | 0.046 | 0.043 |
| Process | Main Phases | Mean Size of MPts (nm) | Number Density |
|---|---|---|---|
| RRAWF | η′, η | 7.10 ± 2.39 | 2.20 × 1022 |
| PA WF | η′, η | 6.24 ± 3.00 | 3.24 × 1022 |
| AWF | GP Zone, η′ | 5.3 ± 1.61 | 3.52 × 1022 |
| Process | Main Phases | Mean Size of MPts (nm) | Number Density |
|---|---|---|---|
| as-received AA7075-T6 | η′, η | 9.5 ± 2.1 | 1.038 × 1023 |
| RRAWF | η′, η | 10.2 ± 1.8 | 6.41 × 1022 |
| PAWF | GP Zone, η′, η | 5.2 ± 1.3 | 9.26 × 1022 |
| AWF | GP Zone, η′ | 4.5 ± 1 | 6.21 × 1022 |
Disclaimer/Publisher’s Note: The statements, opinions and data contained in all publications are solely those of the individual author(s) and contributor(s) and not of MDPI and/or the editor(s). MDPI and/or the editor(s) disclaim responsibility for any injury to people or property resulting from any ideas, methods, instructions or products referred to in the content. |
© 2024 by the authors. Licensee MDPI, Basel, Switzerland. This article is an open access article distributed under the terms and conditions of the Creative Commons Attribution (CC BY) license (https://creativecommons.org/licenses/by/4.0/).
Share and Cite
Chen, W.-L.; Lee, R.-S. Novel Aging Warm-Forming Process of Al-Zn-Mg Aluminum Alloy Sheets and Influence of Precipitate Characteristics on Warm Formability. Metals 2024, 14, 844. https://doi.org/10.3390/met14080844
Chen W-L, Lee R-S. Novel Aging Warm-Forming Process of Al-Zn-Mg Aluminum Alloy Sheets and Influence of Precipitate Characteristics on Warm Formability. Metals. 2024; 14(8):844. https://doi.org/10.3390/met14080844
Chicago/Turabian StyleChen, Wan-Ling, and Rong-Shean Lee. 2024. "Novel Aging Warm-Forming Process of Al-Zn-Mg Aluminum Alloy Sheets and Influence of Precipitate Characteristics on Warm Formability" Metals 14, no. 8: 844. https://doi.org/10.3390/met14080844
APA StyleChen, W.-L., & Lee, R.-S. (2024). Novel Aging Warm-Forming Process of Al-Zn-Mg Aluminum Alloy Sheets and Influence of Precipitate Characteristics on Warm Formability. Metals, 14(8), 844. https://doi.org/10.3390/met14080844

