Use of Electrochemical Noise for the Study of Corrosion by Passivated CUSTOM 450 and AM 350 Stainless Steels
Abstract
1. Introduction
2. Materials and Methods
2.1. Materials
2.2. Passivation Process
- (a)
- Pretreatment stage: The stainless steel was degreased and pickled for five seconds at 25 °C in a 50-weight percent hydrochloric acid (HCl) solution (analytical grade reagents). The steel was then rinsed in distilled water.
- (b)
- Passivation stage: a total of two passivation baths using solutions of distilled water (analytical grade reagents), citric acid (55% v), and nitric acid (20% v) were utilized.
- (c)
- The two temperatures were 25 and 49 °C.
- (d)
- The samples were immersed in the solutions for 60 and 90 min.
- (e)
- Final stage: the samples were rinsed in distilled water.
- (f)
- A total of 64 trials using the two PHSSs were conducted.
2.3. Electrochemical Measurements
3. Results
3.1. Microstructures of PHSSs
3.2. Potentiodynamic Polarization
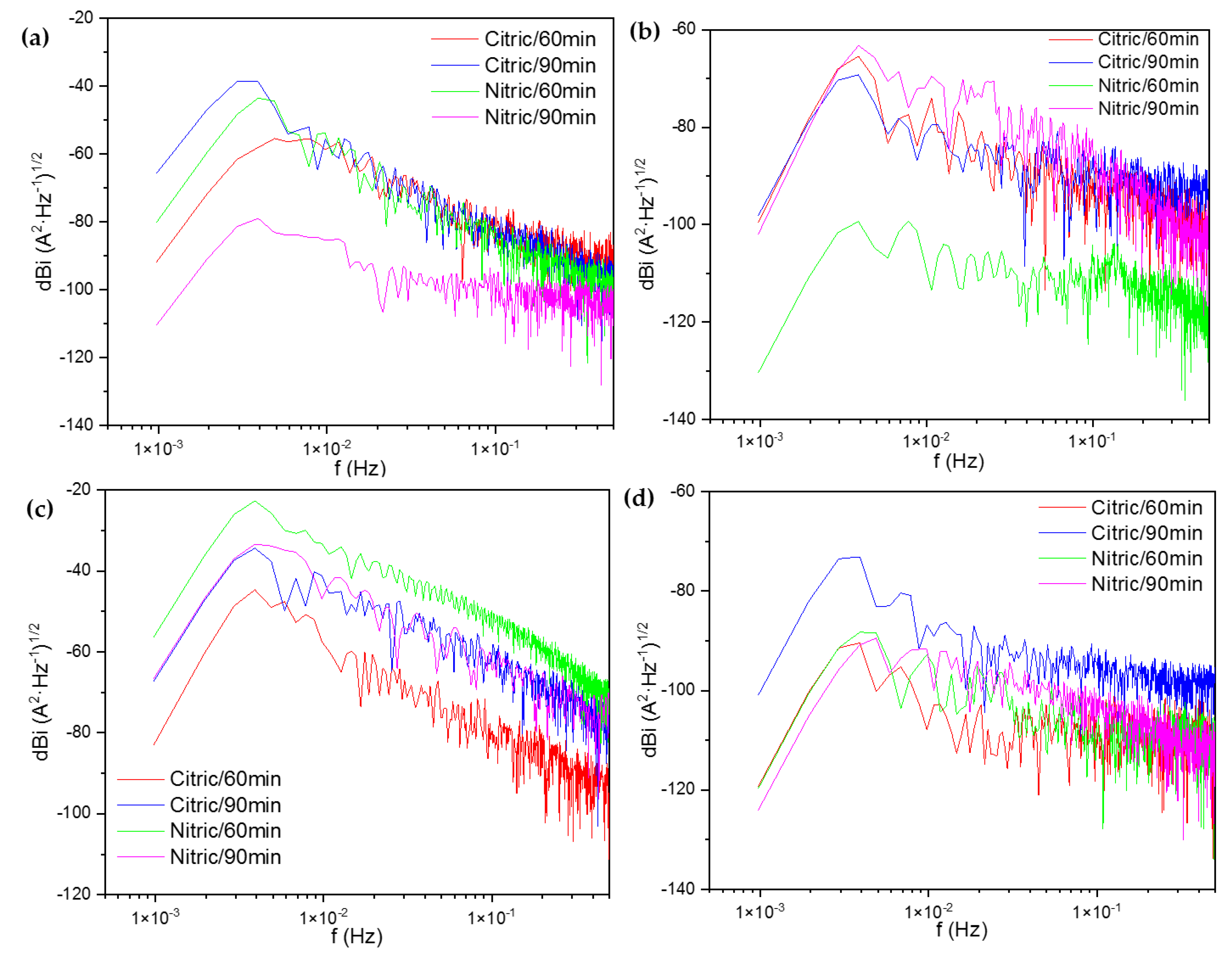
3.3. Electrochemical Noise
4. Discussion
5. Conclusions
- The AM 350 stainless steel had austenite (γ) and delta (δ) ferrite phases, while the Custom 450 stainless steel displayed a martensitic (α′) phase, respectively.
- The results indicate that the corrosion current densities of H2SO4 were measured to be between 10−2 and 10−3 mA/cm2, whereas the Custom and AM 350 steels passivated in solutions of nitric and citric acid presented corrosion current densities of 10−4 mA/cm2.
- The PHSS samples passivated in nitric acid and immersed in sodium chloride have higher pitting potentials than the samples passivated in citric acid.
- Using the bath of citric acid in the place of nitric acid during the passivation process creates a system in which the electrochemical behavior is similar, mixed by activation, and where the anodic branch presents a series of events such as pseudo-passivation and/or passivation–transpassivation–secondary passivation.
- The EN results show that the PHSSs passivated in nitric acid obtained higher values of noise impedance, indicating a higher corrosion resistance than the samples passivated in citric acid.
- The PHSSs passivated in nitric acid presented a higher corrosion resistance, indicating that it is still the better option to passivate PHSS. This can be observed in the corrosion resistance by the corrosion rates of PPCs and the noise impedance results.
- The HHT analysis shows that the nitric acid-passivated PHSS presented a high energy accumulation at the middle and high frequencies, indicating susceptibility to a localized attack.
- The Zn analyses show that Custom 450 passivated in nitric acid had more impedance noise in H2SO4 (1,410,107 Ω·cm2) when it was passivated at 25 °C for 60 min. Also, the same PHSS passivated in the same electrolyte for 90 min presented the highest noise impedance, 126,654 Ω·cm2, when exposed to NaCl.
Author Contributions
Funding
Data Availability Statement
Acknowledgments
Conflicts of Interest
References
- Martinez, B.; Tiburcio, C.G.; Bastidas, D.; Lara-Banda, M.; Samaniego, O.; Calderon, F.A. Electrochemical Evaluation of 15-5PH Stainless Steel Passivated in Citric Acid. ECS Trans. 2022, 106, 223. [Google Scholar] [CrossRef]
- Martínez-Aparicio, B.; Martínez-Bastidas, D.; Gaona-Tiburcio, C.; Martin, U.; Cabral-Miramontes, J.; Almeraya-Calderón, F. Localized corrosion of 15–5 PH and 17–4 PH stainless steel in NaCl solution. J. Solid State Electrochem. 2023, 27, 2993–3001. [Google Scholar] [CrossRef]
- Gloria, A.; Montanari, R.; Richetta, M.; Varone, A. Alloys for aeronautic applications: State of the art and perspectives. Metals 2019, 9, 662. [Google Scholar] [CrossRef]
- Mouritz, P.A. Introduction to Aerospace Materials; Woodhead Publishing: Cambridge, UK, 2012. [Google Scholar]
- Lopes, J.C. Material selection for aeronautical structural application. Sci. Technol. Adv. Mater. 2008, 20, 78–82. [Google Scholar]
- Lo, K.H.; Shek, C.H.; Lai, J.K.L. Recent developments in stainless steels. Mat. Sci. Eng. R. 2009, 65, 39–104. [Google Scholar] [CrossRef]
- Lara Banda, M.; Gaona-Tiburcio, C.; Zambrano-Robledo, P.; Cabral, M.J.A.; Estupinan, F.; Baltazar-Zamora, M.A.; Almeraya-Calderon, F. Corrosion Behaviour of 304 Austenitic, 15–5PH and 17-4PH Passive Stainless Steels in acid solutions. Int. J. Electrochem. Sci. 2018, 13, 10314–10324. [Google Scholar] [CrossRef]
- Gialanella, S.; Malandruccolo, A. Aerospace Alloys; Topics in Mining, Metallurgy and Materials Engineering; Springer: Cham, Switzerland, 2020; ISSN 2364-3307. [Google Scholar] [CrossRef]
- Cobb, H.M. The History of Stainless Steel; ASM International: Cleveland, OH, USA, 2010; pp. 189–192. [Google Scholar]
- Ha, H.Y.; Jang, J.H.; Lee, T.H.; Won, C.; Lee, C.H.; Moon, J.; Lee, C.G. Investigation of the localized corrosion and passive behavior of type 304 stainless steels with 0.2–1.8 wt% B. Materials 2018, 11, 2097. [Google Scholar] [CrossRef]
- Schmuki, P. From bacon to barriers: A review on the passivity of metal and alloys. J. Solid State Electr. 2002, 6, 145–164. [Google Scholar] [CrossRef]
- Dong, H.; Esfandiari, M.; Li, X.Y. On the microstructure and phase identification of plasma nitrided 17-4PH precipitation hardening stainless steel. Surf. Coat. Technol. 2008, 202, 2969–2975. [Google Scholar] [CrossRef]
- Hsiao, C.N.; Chiou, C.S.; Yang, J.R. Aging reactions in a 17-4 PH stainless steel. Mater. Chem. Phys. 2002, 74, 134–142. [Google Scholar] [CrossRef]
- Gaydos, S.P. Passivation of aerospace stainless parts with citric acid solutions. Plat. Surf. Finish. 2003, 90, 20–25. [Google Scholar]
- Samaniego-Gámez, O.; Almeraya-Calderón, F.; Chacón-Nava, J.; Maldonado-Bandala, E.; Nieves-Mendoza, D.; Flores-De los Rios, J.P.; Gaona-Tiburcio, C. Corrosion Behavior of Passivated CUSTOM450 and AM350 Stainless Steels for Aeronautical Applications. Metals 2022, 12, 666. [Google Scholar] [CrossRef]
- Almeraya-Calderón, F.; Estupiñán, F.; Zambrano, R.P.; Martínez-Villafañe, A.; Borunda, T.A.; Colás, O.R.; Gaona-Tiburcio, C. Análisis de los transitorios de ruido electroquímico para aceros inoxidables 316 y-DUPLEX 2205 en NaCl y FeCl. Rev. Metal. 2012, 4, 147–156. [Google Scholar] [CrossRef]
- Mehdipour, M.; Naderi, R.; Markhali, B.P. Electrochemical study of effect of the concentration of azole derivatives on corrosion behavior of stainless steel in H2SO4. Prog. Org. Coat. 2014, 77, 1761–1767. [Google Scholar] [CrossRef]
- Kelly, R.G.; Scully, J.R.; Shoesmith, D.W.; Buchheit, G. Electrochemical Techniques in Corrosion Science and Engineering; Taylor & Francis: Boca Raton, FL, USA, 2002; pp. 54–123. [Google Scholar]
- Kearns, J.R.; Eden, D.A.; Yaffe, M.R.; Fahey, J.V.; Reichert, D.L.; Silverman, D.C. ASTM Standardization of Electrochemical Noise Measurement. In Electrochemical Noise Measurement for Corrosion Applications; Kearns, J.R., Scully, J.R., Roberge, P.R., Reirchert, D.L., Dawson, L., Eds.; ASTM International: Materials Park, OH, USA, 1996; pp. 446–471. [Google Scholar]
- Botana, P.J.; Bárcena, M.M.; Villero, Á.A. Ruido Electroquímico: Métodos de Análisis; Septem Ediciones: Cadiz, Spain, 2002; pp. 50–70. [Google Scholar]
- Gaona-Tiburcio, C.; Aguilar, L.M.R.; Zambrano-Robledo, P.; Estupiñán-López, F.; Cabral-Miramontes, J.A.; Nie-ves-Mendoza, D.; Castillo-González, E.; Almeraya-Calderón, F. Electrochemical Noise Analysis of Nickel Based Superalloys in Acid Solutions. Int. J. Electrochem. Sci. 2014, 9, 523–533. [Google Scholar] [CrossRef]
- Lara-Banda, M.; Gaona-Tiburcio, C.; Zambrano-Robledo, P.; Delgado-E, M.; Cabral-Miramontes, J.A.; Nieves-Mendoza, D.; Maldonado-Bandala, E.; Estupiñan-López, F.; Chacón-Nava, J.G.; Almeraya-Calderón, F. Alternative to nitric acid passivation of 15-5 and 17-4PH stainless steel using electrochemical techniques. Materials 2020, 13, 2836. [Google Scholar] [CrossRef] [PubMed]
- Bragaglia, M.; Cherubini, V.; Cacciotti, I.; Rinaldi, M.; Mori, S.; Soltani, P.; Nanni, F.; Kaciulis, S.; Montesperelli, G. Citric Acid Aerospace Stainless Steel Passivation: A Green Approach. In Proceedings of the CEAS Aerospace Europe Conference 2015, Delft, The Netherlands, 7–11 September 2015. [Google Scholar]
- Marcelin, S.; Pébèrea, N.; Régnierb, S. Electrochemical characterisation of a martensitic stainless steel in a neutral chloride solution. Electrochim. Acta 2013, 87, 32–40. [Google Scholar] [CrossRef]
- Lin, C.K.; Chu, C.C. Mean stress effects on low-cycle fatigue for a precipitation-hardening martensitic stainless steel in different tempers. Fatigue Fract. Eng. Mater. Struct. 2000, 23, 545–553. [Google Scholar] [CrossRef]
- Nagiub, A.M. Electrochemical Noise Analysis for Different Green Corrosion Inhibitors for Copper Exposed to Chloride Media. Port. Electrochim. Acta 2017, 35, 201–210. [Google Scholar] [CrossRef]
- Nakasa, K.; Satoh, H. The effect of hydrogen-charging on the fatigue crack propagation behavior of β-titanium alloys. Corros. Sci. 1996, 38, 457–468. [Google Scholar] [CrossRef]
- Dawson, D.L. Electrochemical Noise Measurement: The definitive In-Situ Technique for Corrosion Applications? In Electrochemical Noise Measurement for Corrosion Applications STP 1277; Kearns, J.R., Scully, J.R., Roberge, P.R., Reirchert, D.L., Dawson, L., Eds.; ASTM International: Materials Park, OH, USA, 1996; pp. 3–39. [Google Scholar]
- Cottis, R.; Turgoose, S.; Mendoza-Flores, J. The Effects of Solution Resistance on Electrochemical Noise Resistance Measurements: A Theorical Analysis. In Electrochemical Noise Measurement for Corrosion Applications STP 1277; Kearns, J.R., Scully, J.R., Roberge, P.R., Reirchert, D.L., Dawson, L., Eds.; ASTM International: Materials Park, OH, USA, 1996; pp. 93–100. [Google Scholar]
- Brockwell, P.J.; Davis, R.A. Introduction to Time Series and Forecasting, 3rd ed.; Springer: Zürich, Switzerland, 2002; pp. 1–68. [Google Scholar]
- Homborg, A.M.; Tinga, T.; Zhang, X.; Van Westing, E.P.M.; Ferrari, G.M.; Wit, J.H.W.; Mol, J.M.W. A Critical Appraisal of the Interpretation of Electrochemical Noise for Corrosion Studies. Corrosion 2017, 70, 971–987. [Google Scholar] [CrossRef] [PubMed]
- El-Taib Heakal, F.; Ameer, M.A.; El-Aziz, A.M.; Fekry, A.M. Electrochemical behavior of Mo-containing austenitic stainless steel in buffer solutions. Mat. Werkstofftech. 2004, 35, 407–413. [Google Scholar] [CrossRef]
- El-Taib Heakal, F.; Ghoneim, A.; Fekry, A. Stability of spontaneous passive films on high strength Mo-containing stainless steels in aqueous solutions. J. Appl. Electrochem. 2007, 37, 405–413. [Google Scholar] [CrossRef]
- Ameer, M.A.; Fekry, A.M.; El-TaibHeakal, F. Electrochemical behaviour of passive films on molybdenum-containing austenitic stainless steels in aqueous solutions. Electrochim. Acta 2007, 50, 43–49. [Google Scholar] [CrossRef]
- Mollapour, Y.; Poursaeidi, E. Experimental and numerical analysis of Pitting Corrosion in CUSTOM 450 Stainless Steel. Eng. Fail. Anal. 2021, 128, 105589. [Google Scholar] [CrossRef]
- Samaniego-Gámez, O.; Almeraya-Calderón, F.; Maldonado-Bandala, E.; Nieves-Mendoza, D.; Olguín-Coca, J.; Jáquez-Muñoz, J.M.; Cabral-Miramontes, J.; Flores-De los Rios, J.P.; Bautista-Margulis, R.G.; Gaona-Tiburcio, C. Corrosion Behavior of Passivated Martensitic and Semi-Austenitic Precipitation Hardening Stainless Steel. Metals 2022, 12, 1033. [Google Scholar] [CrossRef]
- Gaona Tiburcio, C.; Samaniego-Gámez, O.; Jáquez-Muñoz, J.; Baltazar-Zamora, M.A.; Landa-Ruiz, L.; Lira-Martínez, A.; Flores-De los Rios, J.P.; Cabral-Miramontes, J.; Estupinán-López, F.; Almeraya-Calderon, F. Frequency-Time Domain Analysis of Electrochemical Noise of Passivated AM350 Stainless Steel for Aeronautical Applications. Int. J. Electrochem. Sci. 2022, 17, 220950. [Google Scholar] [CrossRef]
- Villegas-Tovar, J.; Gaona-Tiburcio, C.; Lara-Banda, M.; Maldonado-Bandala, E.; Baltazar-Zamora, M.A.; Cabral-Miramontes, J.; Nieves-Mendoza, D.; Olguin-Coca, J.; Estupiñan-Lopez, F.; Almeraya-Calderón, F. Electrochemical Corrosion Behavior of Passivated Precipitation Hardening Stainless Steels for Aerospace Applications. Metals 2023, 13, 835. [Google Scholar] [CrossRef]
- AM 350 Technical Data. Available online: https://www.hightempmetals.com/techdata/hitempAM350data.php (accessed on 29 September 2022).
- Custom 450® Stainless Steel. Available online: https://www.ulbrich.com/uploads/data-sheets/Custom-450-Stainless-Steel-Wire-UNS-S45000.pdf (accessed on 31 April 2022).
- ASTM A380-17; Standard Practice for Cleaning, Descaling and Passivation of Stainless-Steel Parts, Equipment, and Systems. ASTM International: West Conshohocken, PA, USA, 1999.
- ASTM E3-95; Standard Practice for Preparation of Metallographic Specimens. ASTM International: West Conshohocken, PA, USA, 1995.
- SAE AMS 2700F; Passivation of Corrosion Resistant Steels. Aerospace Material Specification. SAE International: Warrendale, PA, USA, 2018.
- ASTM A967-17; Standard Specification for Chemical Passivation Treatments for Stainless Steel Parts. ASTM International: West Conshohocken, PA, USA, 1999.
- ASTM G5-11; Standard Reference Test Method for Making Potentiostatic and Potentiodynamic Anodic Polarization Measurements. ASTM International: West Conshohocken, PA, USA, 2011.
- Jaquez-Muñoz, J.; Gaona-Tiburcio, C.; Lira-Martinez, A.; Zambrano-Robledo, P.; Maldonado-Bandala, E.; Samaniego-Gamez, O.; Nieves-Mendoza, D.; Olguin-Coca, J.; Estupiñan-Lopez, F.; Almeraya-Calderon, F. Susceptibility to pitting corrosion of Ti-CP2, Ti-6Al-2Sn-4Zr-2Mo, and Ti-6Al-4V alloys for aeronautical applications. Metals 2021, 11, 1002. [Google Scholar] [CrossRef]
- Zhang, Z.; Zhao, Z.; Bai, P.; Li, X.; Liu, B.; Tan, J.; Wu, X. In-Situ Monitoring of Pitting Corrosion of AZ31 Magnesium Alloy by Combining Electrochemical Noise and Acoustic Emission Techniques. J. Alloys Compd. 2021, 878, 160334. [Google Scholar] [CrossRef]
- ASTM G199-09; Standard Guide for Electrochemical Noise Measurement. ASTM International: West Conshohocken, PA, USA, 2020.
- Galvan-Martinez, R.; Orozco-Cruz, R.; Torres-Sanchez, R.; Martinez, E.A. Corrosion Study of the X52 Steel Immersed in Seawater with a Corrosion Inhibitor Using a Rotating Cylinder Electrode. Mater. Corros. 2010, 61, 872–876. [Google Scholar] [CrossRef]
- Jáquez-Muñoz, J.M.; Gaona-Tiburcio, C.; Méndez-Ramírez, C.T.; Baltazar-Zamora, M.Á.; Estupinán-López, F.; Bautista-Margulis, R.G.; Cuevas-Rodríguez, J.; Flores-De los Rios, J.P.; Almeraya-Calderón, F. Corrosion of Titanium Alloys Anodized Using Electrochemical Techniques. Metals 2023, 13, 476. [Google Scholar] [CrossRef]
- Tafel, J. Über die Polarisation bei kathodischer Wasserstoffentwicklung. Z. Phys. Chem. 1905, 50, 641–712. [Google Scholar] [CrossRef]
- Butler, J.A.V. Studies in heterogeneous equilibria. Part II.—The kinetic interpretation on the Nernst theory of electromotive force. Trans. Faraday Soc. 1924, 19, 729–733. [Google Scholar] [CrossRef]
- Bojinov, M.; Fabricius, G.; Laitinen, T.; Saario, T. The mechanism of the transpassive dissolution of chromium in acidic sulfate solutions. J. Electrochem. Soc. 1998, 145, 2043–2050. [Google Scholar] [CrossRef]
- Cottis, R. Interpretation of Electrochemical Noise Data. Corrosion 2001, 57, 265–285. [Google Scholar] [CrossRef]
- Eden, D.A. Electrochemical Noise—The First Two Octaves. In Proceedings of the Corrosion/98, San Diego, CA, USA, 22–27 March 1998; Paper 386. Volume 1, pp. 1–31. [Google Scholar]
- Coakley, J.; Vorontsov, V.A.; Littlell, K.C.; Heenan, R.K.; Ohnuma, G.; Jones, N.G.; Dye, D. Nanoprecipitation in a beta-titanium alloy. J. Alloys Compd. 2015, 623, 146. [Google Scholar] [CrossRef]
- Bertocci, U.; Huet, F. Noise Analysis Applied to Electrochemical Systems. Corrosion 1995, 51, 131–144. [Google Scholar] [CrossRef]
- Lee, C.C.; Mansfeld, F. Analysis of electrochemical noise data for a passive system in the frequency domain. Corr. Sci. 1998, 40, 959–962. [Google Scholar] [CrossRef]
- Legat, A.; Dolecek, V. Corrosion Monitoring System Based on Measurement and Analysis of electrochemical Noise. Corrosion 1995, 51, 295–300. [Google Scholar] [CrossRef]
- Homborg, A.M.; Cottis, R.A.; Mol, J.M.C. An integrated approach in the time, frequency and time-frequency domain for the identification of corrosion using electrochemical noise. Electrochim. Acta 2016, 222, 627–640. [Google Scholar] [CrossRef]
- Martinez-Villafane, A.; Chacon-Nava, J.G.; Gaona-Tiburcio, C.; Almeraya-Calderon, F.; Dominguez-Patino, G.; Gonzalez-Rodriguez, J.G. Oxidation performance of a Fe–13Cr alloy with additions of rare earth elements. Mater. Sci. Eng. A 2003, 363, 15–19. [Google Scholar] [CrossRef]
- Esfandiari, M.; Dong, H. The corrosion and corrosion–wear behaviour of plasma nitrided 17-4PH precipitation hardening stainless steel. Surf. Coat. Technol. 2007, 202, 466–478. [Google Scholar] [CrossRef]
- Huang, N.E.; Shen, Z.; Long, Z.R.; Wu, M.C.; Shih, H.H.; Zheng, Q.; Yen, N.C.; Tung, C.C.; Liu, H.H. The empirical mode decomposition and the Hilbert spectrum for nonlinear and non-stationary time series analysis. Proc. R. Soc. Lond. 1998, 454, 903–995. [Google Scholar] [CrossRef]
- Cabral-Miramontes, J.A.; Gaona-Tiburcio, C.; Almeraya-Calderón, F.; Estupiñan-Lopez, H.F.; Pedraza-Basulto, G.; Poblano-Salas, C. Parameter Studies on High-Velocity Oxy-Fuel Spraying of CoNiCrAlY Coatings Used in the Aeronautical Industry. Int. J. Corros. 2014, 1–8. [Google Scholar] [CrossRef]
- Cheng, M.; Chaofang, D.; Zhongyu, C.; Kui, X. A comparative study of primary and secondary passive films formed on AM355 stainless steel in 0.1 M NaOH. Appl. Surf. Sci. 2018, 427, 763–773. [Google Scholar] [CrossRef]
- Zhao, B.; Li, J.H.; Hu, R.G.; Du, R.G.; Lin, C.J. Study on the corrosion behavior of reinforcing steel in cement mortar by electrochemical noise measurements. Electrochim. Acta 2007, 52, 3976–3984. [Google Scholar] [CrossRef]
- Xia, D.; Shi, S.; Behnamian, Y.; Hu, W.; Cheng, Y.F.; Luo, J.; Huet, F. Review—Electrochemical Noise Applied in Corrosion Science: Theoretical and Mathematical Models towards Quantitative Analysis. J. Electrochem. Soc. 2020, 167, 081507. [Google Scholar] [CrossRef]
- Li, L.; Qiao, Y.; Zhang, L.; Ma, A.; Ma, R.; Zheng, Y. Understanding the Corrosion Behavior of Nickel–Aluminum Bronze Induced by Cavitation Corrosion Using Electrochemical Noise: Selective Phase Corrosion and Uniform Corrosion. Materials 2023, 16, 669. [Google Scholar] [CrossRef]
- Rivera-Cerezo, H.; Gaona-Tiburcio, C.; Cabral-Miramontes, J.; Bautista-Margulis, R.G.; Nieves-Mendoza, D.; Maldonado-Bandala, E.; Estupiñán-López, F.; Almeraya-Calderón, F. Effect of Heat Treatment on the Electrochemical Behavior of AA2055 and AA2024 Alloys for Aeronautical Applications. Metals 2023, 13, 429. [Google Scholar] [CrossRef]
- Cabral Miramontes, J.A.; Barceinas Sánchez, J.D.O.; Almeraya Calderón, F.; Martínez Villafañe, A.; Chacón Nava, J.G. Effect of Boron Additions on Sintering and Densification of a Ferritic Stainless Steel. J. Mater. Eng. Perform. 2010, 19, 880–884. [Google Scholar] [CrossRef]
- Montoya-Rangel, M.; de Garza-Montes, O.N.; Gaona-Tiburcio, C.; Colás, R.; Cabral-Miramontes, J.; Nieves-Mendoza, D.; Maldonado-Bandala, E.; Chacón-Nava, J.; Almeraya-Calderón, F. Electrochemical Noise Measurements of Advanced High-Strength Steels in Different Solutions. Metals 2020, 10, 1232. [Google Scholar] [CrossRef]
- Tian, H.; Sun, F.; Chu, F.; Wang, L.; Wang, X.; Cui, X. Passivation behavior and surface chemistry of 316 SS in the environment containing Cl− and NH4. J. Electroanal. Chem. 2021, 886, 115138. [Google Scholar] [CrossRef]
- Moradi, M.; Rezaei, M. Electrochemical noise analysis to evaluate the localized anti-corrosion properties of PP/graphene oxide nanocomposite coatings. J. Electroanal. Chem. 2022, 921, 116665. [Google Scholar] [CrossRef]
- Xia, D.; Ji, Y.; Zhang, R.; Mao, Y.; Behnamian, Y.; Hu, W.; Birbilis, N. On the localized corrosion of AA5083 in a simulated dynamic seawater/air interface—Part 1: Corrosion initiation mechanism. Corros. Sci. 2023, 213, 110985. [Google Scholar] [CrossRef]
- Deng, C.M.; Xia, D.; Zhang, R.; Behnamian, Y.; Hu, W.; Birbilis, N. On the localized corrosion of AA5083 in a simulated dynamic seawater/air interface—Part 2: Effects of wetting time. Corros. Sci. 2023, 221, 111367. [Google Scholar] [CrossRef]
- Zhu, A.; Zhang, Q.; Liu, P.; Zhang, J.; Cao, F. Quasi-simultaneous electrochemical/chemical imaging of local Fe2+ and pH distributions on 316 L stainless steel surface. J. Electroanal. Chem. 2020, 871, 114107. [Google Scholar] [CrossRef]
- Duan, Z.; Man, C.; Dong, C.; Cui, Z.; Kong, D.; Wang, L.; Wang, X. Pitting behavior of SLM 316L stainless steel exposed to chloride environments with different aggressiveness: Pitting mechanism induced by gas pores. Corros. Sci. 2020, 67, 108520. [Google Scholar] [CrossRef]
- Choudhary, S.; Qiu, Y.; Thomas, S.; Birbilis, N. Element-resolved electrochemical analysis of transpassive dissolution and repassivation behavior of the multi-principal element alloy AlTiVCr. Electrochim. Acta 2020, 362, 137104. [Google Scholar] [CrossRef]
- Li, Z.X.; Zhang, L.M.; Udoh, I.I.; Ma, A.L.; Zheng, Y.G. Deformation-induced martensite in 304 stainless steel during cavitation erosion: Effect on passive film stability and the interaction between cavitation erosion and corrosion. Tribol. Int. 2022, 167, 107422. [Google Scholar] [CrossRef]
- Zhang, L.; Qi, L.; Deng, S.; Oguntuase, O.; Deng, T.; Wang, H.; Ojo, A. Analyses of Anodically Formed Passive Film and Corrosion Behavior of Wire-arc Additive Manufactured ATI 718Plus® Superalloy. Addit. Manuf. 2021, 48, 102443. [Google Scholar] [CrossRef]
- Messinese, E.; Casanova, L.; Paterlini, L.; Capelli, F.; Bolzoni, F.; Ormellese, M.; Brenna, A. A Comprehensive Investigation on the Effects of Surface Finishing on the Resistance of Stainless Steel to Localized Corrosion. Metals 2022, 12, 1751. [Google Scholar] [CrossRef]
- Vodárek, V.; Rožnovská, G.; Kuboň, Z.; Volodarskaja, A.; Palupčíková, R. The Effect of Long-Term Ageing at 475 °C on Microstructure and Properties of a Precipitation Hardening MartensiticStainless Steel. Metals 2022, 12, 1643. [Google Scholar] [CrossRef]
- Ueda, M.; Ikeda, A. Effect of Microstructure and Cr content in steel on CO2 Corrosion. In Proceedings of the Corrosion/1996, Denver, CO, USA, 24–29 March 1996; Paper No. 96013. NACE: Houston, TX, USA, 1996. [Google Scholar]
- Esmaeely, S.N.; Choi, Y.S.; Young, D.; Nesic, S. Effect of calcium on the formation and protectives of iron carbonate layer in CO2 corrosion. Corrosion 2013, 69, 912–920. [Google Scholar] [CrossRef]
- Keddam, M.; Mattos, O.; Takenouti, H. Mechanism of anodic dissolution of iron-chromium alloys investigated by electrode impedances-II. Elaboration of the reaction model. Electrochim. Acta 1986, 31, 1159–1165. [Google Scholar] [CrossRef]
- Gao, K.W.; Yu, F.; Pang, X.L.; Zhang, G.A.; Qiao, L.J.; Chu, W.Y.; Lu, M.X. Mechanical properties of CO2 corrosion product scales and their relationship to corrosion rates. Corros. Sci. 2008, 50, 2796–2803. [Google Scholar] [CrossRef]
- Wang, M.; Wu, S.; Wang, P.; Dong, B.; Ma, M.; Zhao, W.; Zhong, J.; Li, H.; Hou, D. Nano-deterioration of steel passivation film: Chloride attack in material defects. Mater. Struct. 2023, 56, 35. [Google Scholar] [CrossRef]
- Jin, Z.; Xiong, C.; Zhao, T.; Du, Y.; Zhang, X.; Li, N.; Yu, Y.; Wang, P. Passivation and depassivation properties of Cr-Mo alloyed corrosion-resistant steel in simulated concrete pore solution. Cem. Concr. Compos. 2022, 126, 104375. [Google Scholar] [CrossRef]
- Mundra, S.; Provis, J.L. Mechanisms of passivation and chloride-induced corrosion of milsteel in sulfide-containing alkaline solutions. J. Mater. Sci. 2021, 56, 14783. [Google Scholar] [CrossRef]
- Buchanan, A.R.; Stansbury, E.E. Chapter 4—Electrochemical Corrosion. In Handbook of Environmental Degradation of Materials, 2nd ed.; Elsevier Inc.: Amsterdam, The Netherlands, 2012; Volume 1, pp. 87–125. [Google Scholar] [CrossRef]
- Betova, I.; Bojinov, M.; Laitinen, T.; Mäkelä, K.; Pohjanne, P.; Saario, T. The transpassive dissolution mechanism of highly alloyed stainless steels: I. Experimental results and modelling procedure. Corros. Sci. 2002, 44, 2675–2697. [Google Scholar] [CrossRef]
- Fattah-alhosseini, A.; Saatchi, A.; Golozar, M.A.; Raeissi, K. The transpassive dissolution mechanism of 316L stainless steel. Electrochim. Acta 2009, 54, 3645–3650. [Google Scholar] [CrossRef]
- Montoya-Rangel, M.; Garza-Montes-de-Oca, N.; Gaona-Tiburcio, C.; Almeraya-Calderón, F. Corrosion mechanism of advanced high strength dual-phase steels by electrochemical noise analysis in chloride solutions. Mater. Today Commun. 2023, 35, 105663. [Google Scholar] [CrossRef]
- Bojinov, M.; Betova, I.; Fabricius, G.; Laitinen, T.; Saario, T. The stability of the passive state of iron–chromium alloys in sulphuric acid solution. Corros. Sci. 1999, 41, 1557–1584. [Google Scholar] [CrossRef]
- Núñez-Jaquez, R.E.; Buelna-Rodríguez, J.E.; Barrios-Durstewitz, C.P.; Gaona-Tiburcio, C.; Almeraya-Calderón, F. Corrosion of modified concrete with sugar cane bagasse ash. Int. J. Corros. 2012, 2012, 451864. [Google Scholar] [CrossRef]
- Bojinov, M.; Fabricius, G.; Kinnunen, P.; Laitinen, T.; Mäkelä, K.; Saario, T.; Sundholm, G. The mechanism of transpassive dissolution of Ni–Cr alloys in sulphate solutions. Electrochim. Acta 2000, 45, 2791–2802. [Google Scholar] [CrossRef]
- Huang, J.; Wu, X.; Han, E.H. Electrochemical properties and growth mechanism of passive films on Alloy 690 in high-temperature alkaline environments. Corros. Sci. 2010, 52, 3444–3452. [Google Scholar] [CrossRef]
- Calinski, C.; Strehblow, H.H. ISS depth profiles of the passive layer on Fe/Cr alloys. J. Electrochem. Soc. 1989, 36, 1328–1331. [Google Scholar] [CrossRef]
- Martínez-Ramos, C.; Olguin-Coca, J.; Lopez-Leon, L.D.; Gaona-Tiburcio, C.; Lara-Banda, M.; Maldonado-Bandala, E.; Castañeda-Robles, I.; Jaquez-Muñoz, J.M.; Cabral-Miramontes, J.; Nieves-Mendoza, D.; et al. Electrochemical Noise Analysis Using Experimental Chaos Theory, Power Spectral Density and Hilbert–Huang Transform in Anodized Aluminum Alloys in Tartaric–Phosphoric–Sulfuric Acid Solutions. Metals 2023, 13, 1850. [Google Scholar] [CrossRef]
- Li, J.; Lin, B.; Zheng, H.; Wang, Y.; Zhang, H.; Zhang, Y.; Nie, Z.; Tang, J. Study on pitting corrosion behavior and semi in-situ pitting corrosion growth model of 304 L SS with elastic stress in NaCl corrosion environment. Corros. Sci. 2023, 211, 110862. [Google Scholar] [CrossRef]
- Tranchida, G.; Clesi, M.; Franco, F.D.; Quarto, F.D.; Santamaria, M. Electronic properties and corrosion resistance of passive films on austenitic and duplex stainless steels. Electrochim. Acta 2018, 273, 412–423. [Google Scholar] [CrossRef]
- Ma, L.; Pascalidou, E.M.; Wiame, F.; Zanna, S.; Maurice, V.; Marcus, P. Passivation mechanisms and pre-oxidation effects on model surfaces of FeCrNi austenitic stainless steel. Corros. Sci. 2020, 167, 108483. [Google Scholar] [CrossRef]
- Doh, S.J.; Je, J.H.; Kim, J.S.; Kim, K.Y.; Kim, H.S.; Lee, Y.D.; Lee, J.M.; Hwu, Y. Influence of Cr and Mo on the passivation of stainless steel430 (18Cr) and 444 (18Cr–2Mo): In situ XANES study. Nucl. Instrum. Meth. B 2003, 199, 211–215. [Google Scholar] [CrossRef]
- Fattah-alhosseini, A.; Taheri Shoja, S.; Heydari Zebardast, B.; Mohamadian Samim, P. An Electrochemical Impedance Spectroscopic Study of the Passive State on AISI 304 Stainless Steel. Int. J. Electrochem. 2011, 2011, 152143. [Google Scholar] [CrossRef]
- Castro, B.E.; Vilche, R.J. Investigation of passive layers on iron and iron-chromium alloys by electrochemical impedance spectroscopy. Electrochim. Acta 1993, 38, 1567–1572. [Google Scholar] [CrossRef]
- Zhi-Gang, L.; Yi, Z.; Huan, W.; Shan, W.; Long-Fei, S.; Bo-Kai, L.; Xing-Peng, G. Modified nano-lignin as a novel biomass-derived corrosion inhibitor for enhanced corrosion resistance of carbon steel. Corros. Sci. 2024, 227, 111705. [Google Scholar] [CrossRef]
- Alireza, R.; Abdolreza, F.; Avni, B.; Alireza, S.; Mikhail, A.V.; Valbonë, M.; Xiankang, Z.; Samira, Y.; Richard, D. Novel sucrose derivative as a thermally stable inhibitor for mild steel corrosion in 15% HCl medium: An experimental and computational study. Chem. Eng. J. 2022, 446, 136938. [Google Scholar] [CrossRef]
- Martínez-Villafañe, A.; Almeraya-Calderón, M.F.; Gaona-Tiburcio, C.; Gonzalez-Rodriguez, J.G.; Porcayo-Calderón, J. High-Temperature Degradation and Protection of Ferritic and Austenitic Steels in Steam Generators. J. Mater. Eng. Perform. 1998, 7, 108–113. [Google Scholar] [CrossRef]
- Jinlong, L.; Tongxiang, L.; Chen, W.; Limin, D. Comparison of corrosion properties of passive films formed on coarse grained and ultrafine grained AISI 2205 duplex stainless steels. J. Electroanal. Chem. 2015, 757, 263–269. [Google Scholar] [CrossRef]
- Yang, G.; Du, Y.; Chen, S.; Ren, Y.; Ma, Y. Effect of secondary passivation on corrosion behavior and semiconducting properties of passive film of 2205 duplex stainless steel. J. Mat. Res. Technol. 2021, 15, 6828. [Google Scholar] [CrossRef]
- Cai, Y.; Zheng, H.; Hu, X.; Lu, X.; Lu, J.; Poon, C.; Li, W. Comparative studies on passivation and corrosion behavior of two types of steel bar in simulated concrete pore solution. Const. Buld. Mater. 2021, 266, 120971. [Google Scholar] [CrossRef]
- SHen, Z. The influence of Cr and Mo on the formation of the passivation film on the surface of ferritic stainless steel. Mater. Commun. Today 2024, 38, 108221. [Google Scholar] [CrossRef]













| Elements | Stainless Steel Alloys | |
|---|---|---|
| Custom 450 | AM 350 | |
| Fe | Balance | Balance |
| C | ≤0.05 | 0.07–0.11 |
| Cr | 14.0–16.0 | 16.0–17.0 |
| Ni | 5.0–7.0 | 4.0–5.0 |
| Mo | 0.50–1.0 | 2.50–3.25 |
| Mn | 1.00 | 0.50–1.25 |
| N | ≤0.1 | 0.07–0.13 |
| Si | 1.00 | ≤0.50 |
| S | 0.030 | 0.030 |
| Cu | 1.25–1.75 | – |
| Ti | 0.90–1.40 | – |
| Nb | 0.5–0.75 | – |
| Acid Bath | Time (min) | Temp. (°C) | Ecorr (mV vs. SCE) | Epit (mV) | icorr (mA/cm2) | βa (mV/decade) | βc (mV/decade) | ipass (mA/cm2) | Passivation Range (mV) | Corrosion Rate (mm/yr) |
|---|---|---|---|---|---|---|---|---|---|---|
| Immersed in 1 wt. % H2SO4 Solution | ||||||||||
| Citric | 60 | 25 | −289 | 768 | 9.79 × 10−4 | 146.38 | 76.38 | 8.9 × 10−3 | 722 | 1.10 × 10−2 |
| 49 | −294 | 916 | 7.37 × 10−3 | 169.89 | 144.78 | 1.09 × 10−2 | 778 | 8.28 × 10−2 | ||
| Nitric | 25 | −276 | 936 | 8.29 × 10−3 | 181.4 | 73.34 | 6.34 × 10−2 | 711 | 9.3 × 10−2 | |
| 49 | −253 | 937 | 3.46 × 10−3 | 73.42 | 30.79 | 1.03 × 10−3 | 878 | 3.88 × 10−2 | ||
| Citric | 90 | 25 | −254 | 930 | 1.12 × 10−3 | 160.56 | 94.12 | 8.61 × 10−2 | 722 | 1.42 × 10−2 |
| 49 | −246 | 939 | 4.80 × 10−3 | 86.23 | 123.10 | 7.58 × 10−2 | 758 | 5.30 × 10−2 | ||
| Nitric | 25 | −250 | 934 | 5.73 × 10−3 | 208.16 | 71.51 | 6.69 × 10−2 | 883 | 6.43 × 10−2 | |
| 49 | −317 | 899 | 6.17 × 10−4 | 96.99 | 66.00 | 1.15 × 10−2 | 911 | 8.39 × 10−3 | ||
| Immersed in 5 wt. % NaCl Solution | ||||||||||
| Citric | 60 | 25 | −619 | 251 | 3.04 × 10−4 | 175.11 | 91.25 | 2.42 × 10−3 | 518 | 3.41 × 10−3 |
| 49 | −367 | 203 | 1.13 × 10−4 | 110.22 | 87.75 | 6.69 × 10−4 | 304 | 1.2 × 10−3 | ||
| Nitric | 25 | −284 | 315 | 2.7 × 10−4 | 118.7 | 105.56 | 5.32 × 10−4 | 485 | 3.10 × 10−3 | |
| 49 | −224 | 536 | 4.7 × 10−5 | 46.42 | 69.80 | 3.09 × 10−4 * | 673 * | 5.36 × 10−4 | ||
| Citric | 90 | 25 | −308 | 311 | 1.55 × 10−4 | 103.37 | 67.07 | 8.62 × 10−4 * | 422 * | 1.74 × 10−3 |
| 49 | −430 | 537 | 1.19 × 10−4 | 103.95 | 62.71 | 1.06 × 10−3 | 445 | 1.34 × 10−3 | ||
| Nitric | 25 | −250 | 260 | 7.45 × 10−5 | 87.59 | 61.74 | 4.41 × 10−4 * | 405 * | 8.34 × 10−5 | |
| 49 | −249 | 777 | 3.25 × 10−5 | 63.33 | 69.69 | 3.1 × 10−4 | 212 | 3.66 × 10−4 | ||
| Acid Bath | Time (min) | Temp. (°C) | Ecorr (mV vs. SCE) | Epit (mV) | icorr (mA/cm2) | βa (mV/decade) | βc (mV/decade) | ipass (mA/cm2) | Passivation Range (mV) | Corrosion Rate (mm/yr) |
|---|---|---|---|---|---|---|---|---|---|---|
| Immersed in 1 wt. % H2SO4 Solution | ||||||||||
| Citric | 60 | 25 | −378 | 586 | 5.02 × 10−3 | 68.7 | 93.61 | 2.2 × 10−2 | 737 | 5.64 × 10−2 |
| 49 | −329 | 840 | 5.16 × 10−4 | 106.85 | 39.96 | 1.29 × 10−2 | 680 | 5.80 × 10−3 | ||
| Nitric | 25 | −290 | 874 | 3.37 × 10−4 | 61.15 | 53.17 | 4.7 × 10−3 | 575 | 3.79 × 10−3 | |
| 49 | −356 | 882 | 1.03 × 10−2 | 118.43 | 111.5 | 2.15 × 10−2 | 994 | 1.11 × 10−1 | ||
| Citric | 90 | 25 | −299 | 876 | 1.39 × 10−3 | 64.07 | 69.22 | 5.8 × 10−3 | 698 | 1.56 × 10−2 |
| 49 | −320 | 885 | 1.14 × 10−3 | 62.09 | 158.57 | 5.7 × 10−3 | 596 | 1.28 × 10−2 | ||
| Nitric | 25 | −302 | 895 | 4.46 × 10−4 | 64.30 | 58.05 | 6.6 × 10−3 | 735 | 5.01 × 10−3 | |
| 49 | −322 | 737 | 1.56 × 10−3 | 66.79 | 81.24 | 1.01 × 10−2 | 847 | 1.75 × 10−2 | ||
| Immersed in 5 wt. % NaCl Solution | ||||||||||
| Citric | 60 | 25 | −251 | 586 | 5.92 × 10−5 | 32.12 | 51.13 | 7.8 × 10−3 * | 711 * | 6.65 × 10−4 |
| 49 | −418 | 539 | 7.24 × 10−5 | 52.88 | 40.16 | 7.7 × 10−4 * | 849 * | 8.13 × 10−4 | ||
| Nitric | 25 | −267 | 906 | 4.78 × 10−4 | 49.12 | 74.71 | 5.4 × 10−3 * | 1049 * | 5.37 × 10−3 | |
| 49 | −228 | 921 | 1.39 × 10−4 | 76.94 | 76.28 | 6.5 × 10−4 * | 1038 * | 1.56 × 10−3 | ||
| Citric | 90 | 25 | −297 | 910 | 3.43 × 10−4 | 191.4 | 103.84 | 7.3 × 10−4 * | 351 * | 3.85 × 10−3 |
| 49 | −406 | 925 | 9.99 × 10−5 | 51.15 | 69.17 | 8.92 × 10−4 * | 1048 * | 1.11 × 10−3 | ||
| Nitric | 25 | −253 | 417 | 2.04 × 10−4 | 92.59 | 94.52 | 7.1 × 10−4 * | 558 * | 2.29 × 10−3 | |
| 49 | −251 | 522 | 1.27 × 10−4 | 89.48 | 79.54 | 5.7 × 10−3 * | 671 * | 1.43 × 10−3 | ||
| β Intervals | Corrosion Type | |||||
|---|---|---|---|---|---|---|
| Uniform | Pitting | Passive | ||||
| Minimum | Maximum | Minimum | Maximum | Minimum | Maximum | |
| dB(V)·Decade−1 | 0 | −7 | −20 | −25 | −15 | −25 |
| dB(A)·Decade−1 | 0 | −7 | −7 | −14 | −1 | 1 |
| Electrolyte | PHSS | Acid Bath | Temperature (°C) | Time (Minutes) | Slope (β) | Ψ0 | Zn |
|---|---|---|---|---|---|---|---|
| (dBi) | (Ω·cm2) | ||||||
| NaCl | Custom 450 | Citric | 25 | 60 | −14 | −91 | 1103 |
| 90 | −20 | −65 | 1221 | ||||
| 49 | 60 | −17 | −82 | 5532 | |||
| 90 | −17 | −67 | 2537 | ||||
| Nitric | 25 | 60 | −20 | −80 | 2865 | ||
| 90 | −5 | −110 | 126,654 | ||||
| 49 | 60 | −20 | −56 | 16,487 | |||
| 90 | −17 | −66 | 14,971 | ||||
| AM 350 | Citric | 25 | 60 | −16 | −61 | 6619 | |
| 90 | −16 | −58 | 11,814 | ||||
| 49 | 60 | −17 | −82 | 21,871 | |||
| 90 | −18 | −67 | 1103 | ||||
| Nitric | 25 | 60 | −17 | −80 | 20,786 | ||
| 90 | −13 | −97 | 41,784 | ||||
| 49 | 60 | −20 | −68 | 15,002 | |||
| 90 | −18 | −66 | 5768 |
| Electrolyte | PHSS | Acid Bath | Temperature (°C) | Time (Minutes) | Slope (β) | Ψ0 | Zn |
|---|---|---|---|---|---|---|---|
| (dBi) | (Ω·cm2) | ||||||
| H2SO4 | Custom 450 | Citric | 25 | 60 | −9 | −99 | 50,805 |
| 90 | −4 | −98 | 23,982 | ||||
| 49 | 60 | −1 | −119 | 59,557 | |||
| 90 | −5 | −100 | 15,931 | ||||
| Nitric | 25 | 60 | −5 | −130 | 1,410,107 | ||
| 90 | −16 | −119 | 29,020 | ||||
| 49 | 60 | −4 | −101 | 57,061 | |||
| 90 | −8 | −124 | 30,162 | ||||
| AM 350 | Citric | 25 | 60 | −6 | −114 | 5768 | |
| 90 | −4 | −101 | 5749 | ||||
| 49 | 60 | −5 | −88 | 11,824 | |||
| 90 | −11 | −106 | 106,720 | ||||
| Nitric | 25 | 60 | −13 | −104 | 81,021 | ||
| 90 | −12 | −117 | 243,070 | ||||
| 49 | 60 | −12 | −112 | 110,839 | |||
| 90 | 0 | −124 | 52,219 |
Disclaimer/Publisher’s Note: The statements, opinions and data contained in all publications are solely those of the individual author(s) and contributor(s) and not of MDPI and/or the editor(s). MDPI and/or the editor(s) disclaim responsibility for any injury to people or property resulting from any ideas, methods, instructions or products referred to in the content. |
© 2024 by the authors. Licensee MDPI, Basel, Switzerland. This article is an open access article distributed under the terms and conditions of the Creative Commons Attribution (CC BY) license (https://creativecommons.org/licenses/by/4.0/).
Share and Cite
Almeraya-Calderon, F.; Villegas-Tovar, M.; Maldonado-Bandala, E.; Lara-Banda, M.; Baltazar-Zamora, M.A.; Santiago-Hurtado, G.; Nieves-Mendoza, D.; Lopez-Leon, L.D.; Jaquez-Muñoz, J.M.; Estupiñán-López, F.; et al. Use of Electrochemical Noise for the Study of Corrosion by Passivated CUSTOM 450 and AM 350 Stainless Steels. Metals 2024, 14, 341. https://doi.org/10.3390/met14030341
Almeraya-Calderon F, Villegas-Tovar M, Maldonado-Bandala E, Lara-Banda M, Baltazar-Zamora MA, Santiago-Hurtado G, Nieves-Mendoza D, Lopez-Leon LD, Jaquez-Muñoz JM, Estupiñán-López F, et al. Use of Electrochemical Noise for the Study of Corrosion by Passivated CUSTOM 450 and AM 350 Stainless Steels. Metals. 2024; 14(3):341. https://doi.org/10.3390/met14030341
Chicago/Turabian StyleAlmeraya-Calderon, Facundo, Miguel Villegas-Tovar, Erick Maldonado-Bandala, Maria Lara-Banda, Miguel Angel Baltazar-Zamora, Griselda Santiago-Hurtado, Demetrio Nieves-Mendoza, Luis Daimir Lopez-Leon, Jesus Manuel Jaquez-Muñoz, Francisco Estupiñán-López, and et al. 2024. "Use of Electrochemical Noise for the Study of Corrosion by Passivated CUSTOM 450 and AM 350 Stainless Steels" Metals 14, no. 3: 341. https://doi.org/10.3390/met14030341
APA StyleAlmeraya-Calderon, F., Villegas-Tovar, M., Maldonado-Bandala, E., Lara-Banda, M., Baltazar-Zamora, M. A., Santiago-Hurtado, G., Nieves-Mendoza, D., Lopez-Leon, L. D., Jaquez-Muñoz, J. M., Estupiñán-López, F., & Gaona-Tiburcio, C. (2024). Use of Electrochemical Noise for the Study of Corrosion by Passivated CUSTOM 450 and AM 350 Stainless Steels. Metals, 14(3), 341. https://doi.org/10.3390/met14030341

