Research of a Novel Non-Axisymmetric Side-Compressed Variable Polarity Plasma Arc and Its Pressure Distribution Characteristics
Abstract
1. Introduction
2. Experimental Procedures
2.1. Materials and Devices
2.2. Weld Formation
2.3. New Nozzle
3. Results
3.1. Morphology
3.2. Arc Pressure
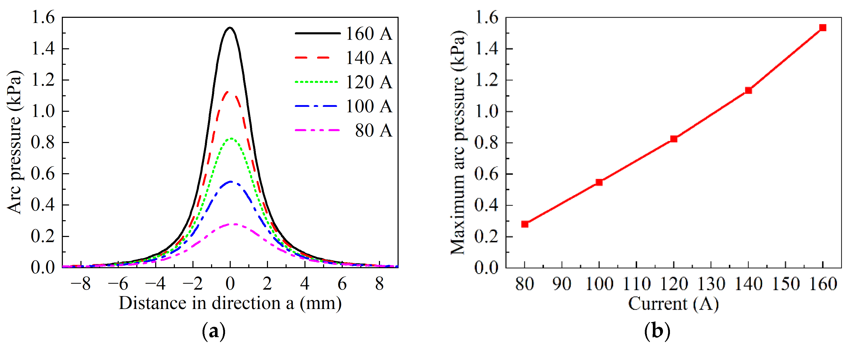
3.2.1. Different Welding Current
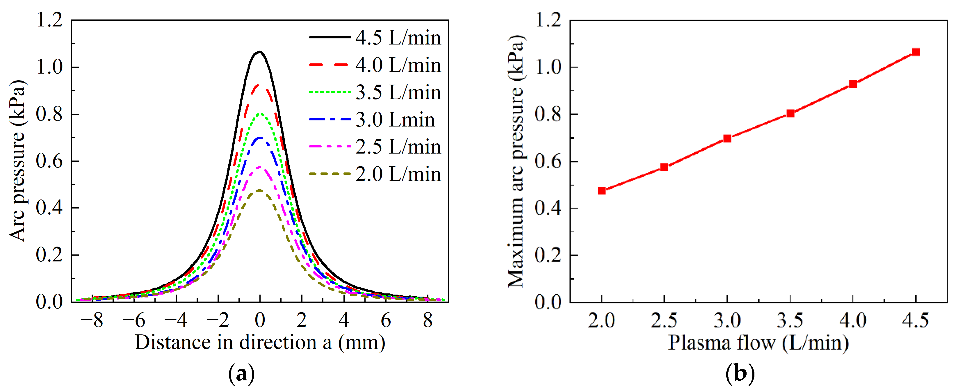
3.2.2. Different Plasma Gas Flow Rate
4. Discussion
5. Conclusions
- (1)
- Smaller arc pressure and narrower molten pool width are needed for the keyhole VPPAW process in a horizontal position. A nozzle with non-axisymmetric distributed side holes was proposed to reshape the arc. The width of the plasma arc is smaller and compressed in direction b, both in the EP and EN phases.
- (2)
- The arc pressure of NASSC-PA is redistributed by the new nozzle. Compared with the arc pressure in direction a, the arc pressure is reduced in direction b, and the reduction is greater at 1 mm to 5 mm from the arc center.
- (3)
- Rp was defined to evaluate the compression degree of arc pressure. When welding current or plasma gas flow rate increased, the compression coefficient of arc pressure was still large. The maximum value Rp increases from 24% to 49% with the plasma gas flow rate increasing from 2 L/min to 4.5 L/min.
- (4)
- An aluminum alloy plate of 8 mm thickness with no groove preparation was welded by the new non-axisymmetric side-compressed variable polarity plasma in a horizontal position, with the compression direction (direction b) perpendicular to the welding direction, and a good weld formation was obtained, which breaks through the original plate thickness limit.
Author Contributions
Funding
Data Availability Statement
Conflicts of Interest
References
- Serindağ, H.T.; Çam, G. Multi-Pass Butt Welding of Thick AISI 316L Plates by Gas Tungsten Arc Welding: Microstructural and Mechanical Characterization. Int. J. Press. Vessel. Pip. 2022, 200, 104842. [Google Scholar] [CrossRef]
- Serindağ, H.T.; Çam, G. Characterizations of Microstructure and Properties of Dissimilar AISI 316L/9Ni Low-Alloy Cryogenic Steel Joints Fabricated by Gas Tungsten Arc Welding. J. Mater. Eng. Perform 2023, 32, 7039–7049. [Google Scholar] [CrossRef]
- Yan, Z.; Chen, S.; Jiang, F.; Zhang, W.; Huang, N.; Chen, R. Control of Gravity Effects on Weld Porosity Distribution during Variable Polarity Plasma Arc Welding of Aluminum Alloys. J. Mater. Process. Technol. 2020, 282, 116693. [Google Scholar] [CrossRef]
- Zhang, Q.L.; Fan, C.L.; Lin, S.B.; Yang, C.L. Novel Soft Variable Polarity Plasma Arc and Its Influence on Keyhole in Horizontal Welding of Aluminium Alloys. Sci. Technol. Weld. Join. 2014, 19, 493–499. [Google Scholar] [CrossRef]
- Wu, C.S.; Wang, L.; Ren, W.J.; Zhang, X.Y. Plasma Arc Welding: Process, Sensing, Control and Modeling. J. Manuf. Process 2014, 16, 74–85. [Google Scholar] [CrossRef]
- Li, Y.; Yun, Z.; Zhou, X.; Wu, C. Fundamental Understanding of Open Keyhole Effect in Plasma Arc Welding. Phys. Fluids 2023, 35, 043316. [Google Scholar] [CrossRef]
- Miao, X.; Zhang, H.; Ge, F.; He, Z.; Gao, J.; Su, Z. Research on Arc Morphology and Keyhole Behavior of Molten Pool in Magnetically Controlled Plasma-GMAW Welding. Metals 2023, 13, 148. [Google Scholar] [CrossRef]
- Li, Y.; Su, C.; Zhou, X.; Wu, C. A More Precise Unified Model to Describe Comprehensive Multiphysics and Multiphase Phenomena in Plasma Arc Welding. J. Manuf. Process 2020, 59, 668–678. [Google Scholar] [CrossRef]
- Liu, J.; Jiang, F.; Xu, B.; Zhang, G.; Chen, S. Physical Mechanism of Material Flow and Temperature Distribution in Keyhole Plasma Arc Welding at Initial Unstable Stage. Phys. Fluids 2023, 35, 033115. [Google Scholar] [CrossRef]
- Liu, J.; Jiang, F.; Chen, S.; Wang, K.; Zhang, G.; Xu, B.; Cheng, W.; Ma, X. Cross-Scale Process Quality Control of Variable Polarity Plasma Arc Welding Based on Predefined Temperature Field. J. Mater. Res. Technol. 2023, 26, 5347–5359. [Google Scholar] [CrossRef]
- Xu, B.; Chen, S.; Tashiro, S.; Jiang, F.; Tanaka, M. Physical Mechanism of Material Flow in Variable Polarity Plasma Arc Keyhole Welding Revealed by in Situ X-Ray Imaging. Phys. Fluids 2021, 33, 017121. [Google Scholar] [CrossRef]
- Wang, W.; Yamane, S.; Wang, Q.; Shan, L.; Sun, J.S.; Wei, Z.; Hu, K.; Lu, J.; Hirano, T.; Hosoya, K.; et al. Visual Sensing and Controlling of the Keyhole in Robotic Plasma Arc Welding. Int. J. Adv. Manuf. Technol. 2022, 121, 1401–1414. [Google Scholar] [CrossRef]
- Lang, R.; Han, Y.; Bao, X.; Fan, J. Stability Mechanism of the Molten Pool in Variable Polarity Plasma Arc Welding of Medium Thickness Aluminum Alloy. J. Mater. Process. Technol. 2023, 321, 118127. [Google Scholar] [CrossRef]
- Yan, Z.; Chen, S.; Jiang, F.; Zheng, X.; Tian, O.; Cheng, W.; Ma, X. Effect of Asymmetric Material Flow on the Microstructure and Mechanical Properties of 5A06 Al-Alloy Welded Joint by VPPA Welding. Metals 2021, 11, 120. [Google Scholar] [CrossRef]
- Yan, Z.; Chen, S.; Jiang, F.; Zhang, W.; Huang, N. Study and Optimization against the Gravity Effect on Mechanical Property of VPPA Horizontal Welding of Aluminum Alloys. J. Manuf. Process. 2019, 46, 109–117. [Google Scholar] [CrossRef]
- Zong, R.; Chen, J.; Wu, C. A Comparison of Double Shielded GMAW-P with Conventional GMAW-P in the Arc, Droplet and Bead Formation. J. Mater. Process. Technol. 2020, 285, 116781. [Google Scholar] [CrossRef]
- Huu Manh, N.; Van Anh, N.; Van Tuan, N.; Xu, B.; Akihisa, M. Research and Development of a Novel TIG Welding Torch for Joining Thin Sheets. Appl. Sci. 2019, 9, 5260. [Google Scholar] [CrossRef]
- Qing Li, T.; Yang, X.M.; Chen, L.; Zhang, Y.; Cheng Lei, Y.; Chun Yan, J. Arc Behaviour and Weld Formation in Gas Focusing Plasma Arc Welding. Sci. Technol. Weld. Join. 2020, 25, 329–335. [Google Scholar] [CrossRef]
- Li, T.Q.; Chen, L.; Zhang, Y.; Yang, X.M.; Lei, Y.C. Metal Flow of Weld Pool and Keyhole Evolution in Gas Focusing Plasma Arc Welding. Int. J. Heat Mass Transf. 2020, 150, 119296. [Google Scholar] [CrossRef]
- Wang, B.; Zhu, X.M.; Zhang, H.C.; Zhang, H.T.; Feng, J.C. Characteristics of Welding and Arc Pressure in the Plasma–TIG Coupled Arc Welding Process. Metals 2018, 8, 512. [Google Scholar] [CrossRef]
- Chen, S.; Yan, Z.; Jiang, F. Arc Discharge and Pressure Characteristics in Pulsed Plasma Gas of PAW. Int. J. Adv. Manuf. Technol. 2019, 102, 695–703. [Google Scholar] [CrossRef]
- Xu, B.; Jiang, F.; Chen, S.; Tanaka, M.; Tashiro, S.; Van Anh, N. Numerical Analysis of Plasma Arc Physical Characteristics under Additional Constraint of Keyhole. Chin. Phys. B 2018, 27, 034701. [Google Scholar] [CrossRef]
- Short, A.B.; McCartney, D.G.; Webb, P.; Preston, E. Influence of Nozzle Orifice Diameter in Keyhole Plasma Arc Welding. Sci. Technol. Weld. Join. 2011, 16, 446–452. [Google Scholar] [CrossRef]
- Stewart, M.I. Chapter Two—Basic Principles. In Surface Production Operations, 3rd ed.; Stewart, M.I., Ed.; Gulf Professional Publishing: Boston, MA, USA, 2014; Volume 2, pp. 9–37. ISBN 978-0-12-382207-9. [Google Scholar]
- Zhang, Q.L.; Yang, C.L.; Lin, S.B.; Fan, C.L. Soft Variable Polarity Plasma Arc Horizontal Welding Technology and Weld Asymmetry. Sci. Technol. Weld. Join. 2015, 20, 297–306. [Google Scholar] [CrossRef]
- Zhao, H.; Wang, G.; Song, J.; Liu, X.; Zhou, Z.; Yang, C. Comparative Research of Helium and Argon Arc Characters. J. Mech. Eng. 2018, 54, 137–143. [Google Scholar] [CrossRef]
- Wu, D.; Chen, H.; Huang, Y.; He, Y.; Hu, M.; Chen, S. Monitoring of Weld Joint Penetration during Variable Polarity Plasma Arc Welding Based on the Keyhole Characteristics and PSO-ANFIS. J. Mater. Process. Technol. 2017, 239, 113–124. [Google Scholar] [CrossRef]
- Wang, L.; Chen, J.; Wu, C.S. Auxiliary Energy-Assisted Arc Welding Processes and Their Modelling, Sensing and Control. Sci. Technol. Weld. Join. 2021, 26, 389–411. [Google Scholar] [CrossRef]
- Qiao, J.; Wu, C.S. Concurrent Influence of Ultrasonic Vibration and Controlled Pulse Current on Plasma Arc Behaviors. Int. J. Adv. Manuf. Technol. 2022, 119, 811–826. [Google Scholar] [CrossRef]
- Jarvis, B.L. Keyhole Gas Tungsten Arc Welding: A New Process Variant. Ph.D. Thesis, Faculty of Engineering, University of Wollongong, Wollongong, NSW, Australia, 2001. [Google Scholar]
- Zhang, Q.; Yang, C.; Lin, S.; Sun, S.; Li, Z.; Liu, Z.; Jiang, Y.; Liu, J.; Ma, J. Research on Novel Soft Variable Polarity Plasma Arc Welding Technology for Aluminum Alloys in Horizontal Position. J. Mech. Eng. 2015, 51, 75–81. [Google Scholar] [CrossRef]
















Disclaimer/Publisher’s Note: The statements, opinions and data contained in all publications are solely those of the individual author(s) and contributor(s) and not of MDPI and/or the editor(s). MDPI and/or the editor(s) disclaim responsibility for any injury to people or property resulting from any ideas, methods, instructions or products referred to in the content. |
© 2024 by the authors. Licensee MDPI, Basel, Switzerland. This article is an open access article distributed under the terms and conditions of the Creative Commons Attribution (CC BY) license (https://creativecommons.org/licenses/by/4.0/).
Share and Cite
Zhao, H.; Yang, C.; Fan, C. Research of a Novel Non-Axisymmetric Side-Compressed Variable Polarity Plasma Arc and Its Pressure Distribution Characteristics. Metals 2024, 14, 231. https://doi.org/10.3390/met14020231
Zhao H, Yang C, Fan C. Research of a Novel Non-Axisymmetric Side-Compressed Variable Polarity Plasma Arc and Its Pressure Distribution Characteristics. Metals. 2024; 14(2):231. https://doi.org/10.3390/met14020231
Chicago/Turabian StyleZhao, Hongxing, Chunli Yang, and Chenglei Fan. 2024. "Research of a Novel Non-Axisymmetric Side-Compressed Variable Polarity Plasma Arc and Its Pressure Distribution Characteristics" Metals 14, no. 2: 231. https://doi.org/10.3390/met14020231
APA StyleZhao, H., Yang, C., & Fan, C. (2024). Research of a Novel Non-Axisymmetric Side-Compressed Variable Polarity Plasma Arc and Its Pressure Distribution Characteristics. Metals, 14(2), 231. https://doi.org/10.3390/met14020231
