Next Article in Journal
Experimental Investigations in the Processing of AISI H11 Powder Blends Enriched with Tungsten Carbide Nanoparticles for the Additive Manufacturing of Tailored Hot Working Tools in the Directed Energy Deposition (DED-LB/M)—Impact of Tungsten Carbide Nanoparticles on Microstructural and Mechanical Characteristics
Previous Article in Journal
Optimization of Multiple Performance Characteristics for CNC Turning of Inconel 718 Using Taguchi–Grey Relational Approach and Analysis of Variance
 
 
Font Type:
Arial Georgia Verdana
Font Size:
Aa Aa Aa
Line Spacing:
Column Width:
Background:
Article

The Role of Microstructural Length Scale in Hydrogen Generation Features of an Al-Sn-Fe Alloy

Department of Manufacturing and Materials Engineering, University of Campinas—UNICAMP, Campinas 13083-860, SP, Brazil
*
Author to whom correspondence should be addressed.
Metals 2024, 14(2), 187; https://doi.org/10.3390/met14020187
Submission received: 30 December 2023 / Revised: 26 January 2024 / Accepted: 29 January 2024 / Published: 2 February 2024

Abstract

The reaction of water with Al-based alloys presents a promising alternative for on-board hydrogen production. This method, free from carbon emissions, has the advantage of addressing issues related to hydrogen storage and logistics. Al-Sn-Fe alloys are potential candidates for this application. However, the current literature lacks an in-depth understanding of the role of microstructural evolution in the hydrogen generation performance of these alloys. The present work investigates the influence of the microstructural length scale on the hydrogen production behavior of an Al-9Sn-1Fe (wt.) alloy. Directionally solidified samples with different microstructural length scales were subjected to hydrogen evolution tests in a 1 M NaOH solution. The results revealed that the microstructure of the studied alloy comprised α-Al-phase dendrites with a plate-like morphology along with the presence of Sn-rich particles and Al13Fe4 intermetallic compounds (IMCs) in the interdendritic areas. In addition, the microstructural refinement induced a 56.25% rise in hydrogen production rate, increasing from 0.16 to 0.25 mL g–1 s–1, without affecting the hydrogen yield, which stayed around 88%. The corrosion process was observed to be stimulated by Sn-rich particles and Al13Fe4 IMCs at their interfaces with the α-Al phase, positively impacting the hydrogen production rate. An experimental equation based on the Hall–Petch relationship and multiple linear regression (MLR) is proposed to associate the hydrogen production rate with dendritic arm spacings.

1. Introduction

With each passing year, relying on burning fossil fuels to meet most of the global primary energy consumption becomes increasingly unsustainable [1]. The massive increase in the levels of carbon dioxide and other greenhouse gases (GHGs) in our atmosphere, mainly caused by the combustion of fossil fuels, is a driver of global warming [2,3]. In addition, given the trends in the consumption of the world’s proven reserves of coal, oil, and natural gas, there is concern about the future global energy scenario marked by an increasing scarcity of fossil fuels [4]. Furthermore, the growing demand for renewable energy has spurred the development of more efficient, economically viable, and environmentally friendly technologies. Among these, hydrogen emerges as a promising alternative to replace conventional fossil fuels [5,6,7].
Hydrogen possesses a gravimetric energy density (the amount of energy relative to its mass) that is about three times higher than that of gasoline and diesel [8]. In addition, the combustion of hydrogen can be described as an exothermic reaction, with water being the main product generated. This characteristic sets hydrogen apart from fossil fuels, as it does not emit GHGs during the combustion process. However, hydrogen does not exist in a free state but rather is found in the form of compounds, necessitating the use of other energy sources to extract it from molecules [9,10].
Presently, there are diverse methods for hydrogen production utilizing various materials [11,12,13,14]. Particularly, the method of producing hydrogen through the reaction of metals with water has important benefits, such as zero GHG emissions and relatively high hydrogen storage capacity [15]. The simplicity of this method for on-board hydrogen production makes it suitable for portable applications, overcoming challenges in storing and transporting hydrogen [16]. Among the metals that can be used in hydrolysis, Al has attracted attention due to its abundance, the simplicity of the production system, and the high theoretical production of hydrogen [17]. The Al–water reaction can be expressed as:
2 A l + 6 H 2 O 2 A l ( O H ) 3 + 3 H 2
Previous studies confirmed that a great challenge in producing hydrogen through the Al–water reaction is the passivation of Al [18,19,20]. The stability of the oxide film provides Al with good corrosion resistance, making the corrosion of aluminum difficult. The addition of specific chemical elements, especially low-melting-point metals, has been proposed to enhance reactivity and, consequently, increase the rate of hydrogen production [21,22,23]. Some examples include Sn, Zn, In, and Ga, which can prevent the formation of the passive layer and modify the corrosion potential of the alloy to more negative values [24]. Ziebarth et al. [25] conducted a characterization of Al-Ga and Al-Ga-In-Sn alloys to assess the chemical potential energy of Al in order to split water for hydrogen production. An et al. [26] evaluated effective strategies aimed at improving the control of hydrogen flow rates generated by Al-rich alloys for on-board applications. Their analysis focused on Al-Ga-In-Sn alloys with Mg doping, revealing that at a 0.5 wt.% Mg dosage, the average hydrogen generation rate could be reduced to 2.1 mL/min·g (~0.035 mL/min·s). Notably, this reduction did not compromise the total energy conversion efficiency of Al, maintaining it close to 100%. In a recent study, An et al. [27] explored the activation mechanism derived from the liquid phase in the hydrolysis reaction of Al-rich alloys for on-demand hydrogen production, employing Al-Ga-In-Sn alloys. The hydrogen release rates during hydrolysis for various alloys were elucidated through the application of the “Marangoni effect”. Another strategy to facilitate hydrogen generation is the addition of alkaline hydroxide, including sodium hydroxide. This approach can enable the formation of hydroxide ions (OH), which disrupt the protective oxide layer on the surface of aluminum, thereby accelerating hydrogen evolution [28].
While binary Al-Sn alloys have attractive features for hydrogen production [29], the addition of third elements can further improve their kinetics of hydrogen production [30]. Fe is of particular interest due to its common presence in these alloys as an impurity, especially in the recycled condition. It is worth mentioning that recycling Al enables a remarkable 95% reduction in the energy required compared to primary production from bauxite [31]. This means that recycling Al alloys is of prime importance as it contributes to resource conservation, energy savings, and reduced environmental impact compared to primary Al production. Nevertheless, the incorporation of iron during the recycling process can impact the properties of the alloy, potentially limiting its reuse in the original structural application. On the other hand, to enhance the feasibility of utilizing Al alloys for hydrogen production, recycled Al alloys are preferable [32]. Eom et al. [33] observed that the reaction of an Al-1Sn-1Fe alloy (wt.%) in an alkaline solution can result in a hydrogen generation rate about 6 times higher than that of pure Al and 1.6 times higher than that of the Al-1Fe (wt.%) alloy. According to them, the addition of 1Sn to the Al-1Fe alloy promoted an increase in the hydrolysis rate via accelerating the breakdown of the passive film (Al(OH)3 and Al2O3). For Al-1Sn-1Fe alloy samples, it was observed that Fe acts by accelerating hydrogen production, simultaneously inducing intergranular and galvanic corrosion, while Sn increases the hydrogen generation rate by effectively breaking down the Al oxide.
A current literature gap with practical implications is associated with the lack of relationships between microstructural features and the hydrogen production performance of Al-Sn-Fe alloys. More specifically, a noteworthy limitation observed in previous studies is that most of them lacked an in-depth understanding of how the microstructural length scale can impact the characteristics of hydrogen production. Similar to alloy composition, microstructural refinement can play a key role. It is worth noting that unlike mechanical resistance, which generally tends to improve with microstructural refinement, this may not occur with hydrogen generation performance. This is because the latter depends on factors such as the electrochemical nature of the forming phases and the aggressiveness of the corrosive solution. Konno et al. [34] found that a microstructural refinement accelerates hydrogen production in Al-(1 and 2 wt.%)Sn alloys, while an opposite effect is observed in Al-(1 and 1.5 wt.%)Fe alloys. Given the limited exploration of the impact of microstructural refinement resulting from variations in cooling rates during solidification on the hydrogen production characteristics of Al-Sn-Fe alloys—particularly in the context of higher alloy solute contents—the novelty of this study lies in its contribution to this understudied research topic.
Inspired by the above considerations, the present study aims to contribute to a better understanding of the role of the microstructural length scale in the hydrogen production behavior of an Al-9Sn-1Fe (wt.%) alloy immersed in an alkaline medium. The choice of a 9 wt.%Sn content is because this is the solute content for which an interesting microstructural transition from cells to dendrites was found to occur in Al-Sn alloys [35]. It is noteworthy that the 1 wt.%Fe content is typically found in recycled Al alloys. Therefore, the outcomes of this research can provide not only valuable insights but also additional guidance for the design and application of recycled Al-Sn alloys for hydrogen production.

2. Experimental Procedures

2.1. Preparation of Alloys

Table 1 displays the chemical compositions of the commercially pure metals used in the preparation of the Al-9Sn-1Fe (wt.%) alloy. Initially, 850 g of Al were melted in a SiC crucible inside a muffle furnace (Brasimet, Jundiaí, Brazil). Once the Al had melted, the crucible was removed from the furnace, and the required amount of Fe was introduced. The resulting mixture was stirred for 2 min using a steel stick coated with a ceramic material. Subsequently, the crucible was returned to the furnace for the incorporation of Fe. The required amount of Sn was added following the same alloying procedure.

2.2. Directional Solidification (DS)

DS equipment was used to fabricate Al-9Sn-1Fe alloy samples with various microstructural length scales corresponding to different cooling conditions. The experimental setup employed in this investigation for producing a directionally solidified casting is illustrated in Figure 1. Within the central region of the DS apparatus chamber, a location was designated for accommodating the mold. Crafted from stainless steel, the mold had the following dimensions: an internal diameter of 60 mm, a height of 120 mm, and a wall thickness of 5 mm. The cylindrical part of the mold was constructed using two AISI 310 stainless steel half-cylindrical shells. Both parts were joined using M6 screws and nuts. To mitigate radial heat losses during the experiment and facilitate the removal of the resulting casting, the inner surfaces of the mold were pre-coated with an alumina-based refractory material before the alloy was introduced. It is noteworthy that the alumina coating was not applied to the bottom part of the mold. At this location, to standardize the contact condition between the molten alloy and the mold’s bottom part, a 1200-grit SiC abrasive paper finishing was used. More details of both the DS apparatus and mold can be found elsewhere [34,35,36].
The mold contained through-holes at various heights from its base, where the water cooling occurred. Eight K-type thermocouples with an outer diameter of Ø 1.6 mm and accuracy of 2 °C with ±0.4% uncertainty were inserted into these openings. Each thermocouple was connected to a LynxADS1000 data logger system (Lynx, São Paulo, Brazil) via coaxial cables, enabling real-time temperature monitoring during the DS experiment at a 5 Hz frequency, i.e., with data collection every 0.2 s. After pouring the molten alloy into the pre-heated mold, ultrapure argon was injected into the molten alloy within the mold for approximately 2 min. Subsequently, when the thermocouple closest to the mold’s bottom part reached the desired temperature, which was set as a melt superheat of 5% in relation to the liquidus temperature, the power system of the DS apparatus was deactivated, and water cooling at the bottom part of the mold was initiated.
The DS procedure employed in this study enabled the production of an Al-9Sn-1Fe alloy casting experiencing diverse cooling conditions along its length. Samples featuring distinct microstructural length scales were derived from this casting. Subsequently, the produced casting was precisely sectioned into pieces to obtain a set of samples corresponding to various transverse and longitudinal sections. These samples were then subjected to subsequent analysis, as shown in Figure 2. Concentrations of Sn and Fe for three different positions along the length of the casting were traced by using inductively coupled plasma optical emission spectrometry with an Agilent 5100 instrument (Agilent Technologies, Melbourne, Australia).

2.3. Determination of Solidification Thermal Parameters

The temperature–time data obtained during the solidification process were utilized to determine solidification thermal parameters using established techniques, the details of which can be found elsewhere [34,35,36]. The obtained experimental cooling curves allowed for analysis of the growth (VL) and cooling (ṪL) rates along the length of the casting. Power law functions were employed to analyze the overall trend of the temperature–time data within a comprehensive range around the liquidus temperature. A regression line was only considered if the coefficient of determination (R2) exceeded 0.9. First, VL was determined by evaluating the time derivative of a power function PL = f(tL), where PL signifies the position in the casting with respect to the cooling interface and tL represents the time when the liquidus isotherm passed through the given position.
Concerning ṪL, its calculation involved fitted regression lines, which were employed to assess the overall behavior of temperature–time data within an extensive range surrounding the liquidus temperature. For a given cooling curve, a regression line was employed when its coefficient of determination (R2) exceeded 0.9. The first derivative of each function was solved by inserting tL, which provided the value of ṪL.

2.4. Microstructural Analysis

A set of samples was collected along the length of the directionally solidified casting. This was done to investigate the microstructure evolution of the Al-9Sn-1Fe alloy under various thermal histories. Samples were obtained from both transverse and longitudinal sections, which correspond to perpendicular and parallel orientations with respect to the growth direction. An IsoMet 4000 precision cutter (Buehler, Esslingen, Germany) was utilized for the sample extraction.
The directionally solidified samples underwent metallographic procedures until their surfaces achieved a ¼ µm finish, which was obtained through polishing with diamond paste. Images were captured using an Olympus GX41 compact inverted metallurgical microscope (Olympus, Tokyo, Japan), a Inspect F50 scanning electron microscope (SEM) (Inspect F50, Thermo Fisher Scientific, Hillsboro, OR, USA), and an Oxford X-Max model energy-dispersive X-ray spectrometer (EDS) (Zeiss Microscopy, Oberkochen, Germany) for further characterization.
The primary dendrite arm spacing (λ1) was determined from optical images of transverse sections using the intercept method, while the secondary dendrite arm spacing (λ2) was quantified through the linear intercept method on images of longitudinal sections. These measurements (λ1 and λ2) followed well-established procedures [37]. A minimum of 30 measurements for both primary and secondary dendritic spacings were conducted to determine the average value for each sample. Standard deviation was also calculated for the measurements of each sample to assess the degree of variation in the set of microstructure-related measurements.

2.5. Hydrogen Evolution Tests

Small, thin samples measuring 4 × 4 × 0.3 mm and weighing approximately 10 mg were extracted from various points along the length of the directionally solidified casting. These samples were utilized for conducting hydrogen evolution tests, which involved the complete consumption of the samples. The tests were conducted in triplicate for each microstructural length scale considered.
It is worth noting that the experimental setup employed in this work to evaluate hydrogen evolution was developed following gravimetric principles. The gravimetric method was originally introduced by Curioni [38]. Fajardo and Frankel [39] also employed this method to determine the corrosion rate of Mg and presented a mathematical explanation of the underlying physical principles.
The sample was initially introduced into an inverted beaker integrated with a Shimadzu BL3200H balance (resolution of 0.01 g). Subsequently, this inverted beaker was positioned within a recipient, and both were filled with a 1 M NaOH solution. As the sample reacted with the alkaline solution, the resulting hydrogen bubbles moved towards the top of the inverted beaker. The modification in buoyant force, resulting from the displacement of solution volume by the evolved hydrogen, induced a corresponding alteration in the apparent weight recorded on the balance.
This method considers the hydrostatic force linked to the volume of the solution displaced by the released hydrogen. Thus, during the test, the values of apparent weight were recorded at various time intervals. Following the demonstration outlined by Fajardo and Frankel [39] for elucidating the physical principles of the gravimetric method for hydrogen evolution analysis, the volume of generated hydrogen ( V H 2 ) is expressed as:
V H 2 = m b a l a n c e ρ e l e t r o l y t e
where m b a l a n c e is the mass captured by the balance and ρ e l e t r o l y t e is the density of the 1 M NaOH solution (1.04 g/cm3).

3. Results and Discussion

3.1. Solidification Thermal Parameters and Solute Concentrations

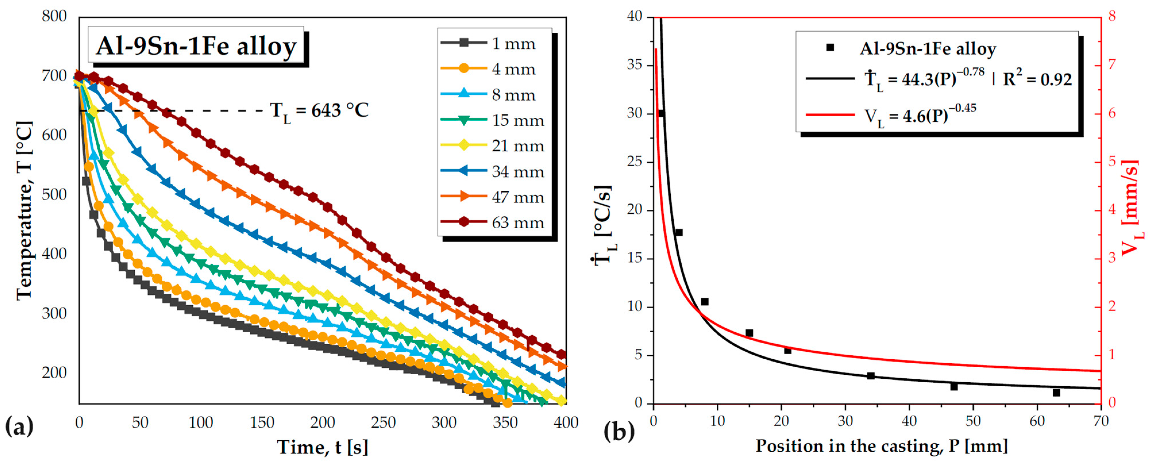
Figure 3a shows the cooling curves obtained during the directional solidification experiment conducted with the Al-9Sn-1Fe alloy. Each cooling curve corresponds to a thermocouple positioned at a different height from the casting’s bottom. These thermal profiles revealed that each casting underwent various cooling conditions along its length. Overall, more pronounced temperature drops were observed in regions closer to the cooled bottom of the casting, gradually attenuating with increased distance from the chill. This behavior can be explained by analyzing Figure 3b, where VL and ṪL are plotted against the relative position in the casting. Higher VL and ṪL values were associated with regions close to the chill (bottom of the directionally solidified casting). However, as solidification progressed, both VL and ṪL decreased progressively. The occurrence of decreasing profiles for VL and ṪL can be attributed to two main factors: (1) a decrease in the interfacial heat transfer at the metal–mold interface and (2) an increase in the thermal resistance of the solidified shell, which intensified with the advancement of solidification.
Regarding factor number 1, the formation of air gaps at the metal–mold interface hindered interfacial heat transfer. In the early stages of casting solidification, heat transport primarily occurred through the casting–chill interface. At this point, the conforming contact between the surfaces of the casting and chill promoted heat transfer, especially in locations near the chill. However, as solidification progressed, the solid metal underwent macroscopic shrinkage. Once an air gap was formed, heat exchange across the interface between the metal and mold rapidly diminished, leading to a quasi-stationary situation.
Concerning factor number 2, as the experiment progressed, there was an increase in the thickness of the solidified shell, resulting in an elevated thermal resistance. It is crucial to emphasize that heat conduction, with the gradual progress of the solidification front, is governed by Fourier’s law, where the material-dependent proportionality is represented by the thermal conductivity of the alloy. This implies that the time rate of heat flow is proportional to the temperature gradient across the length of the solidifying alloy and the heat transfer area and is inversely proportional to the thickness of the layer. Therefore, the thicker the solid layer, the lower the heat flow through it, leading to slower cooling towards the inner part of the casting.
Table 2 shows the Sn and Fe concentrations for three different positions along the length of the casting. As can be seen, the concentrations of Sn and Fe solutes remained closely aligned with the nominal values across the length of the directionally solidified casting, indicating the absence of macrosegregation. This absence allowed for the analysis of both microstructure evolution and hydrogen production behavior of the studied alloy without the interference of composition variations in the analyzed samples.

3.2. Macrostructure and Microstructural Evolution

Figure 4 shows that columnar grains were predominant throughout the entire investigated region of the Al-9Sn-1Fe alloy casting. Figure 4 also displays characteristic optical images of transverse and longitudinal sections. These micrographs reveal Al-rich dendrites with a plate-like morphology like that reported for Al-Sn [35] and Al-Sn-(Si; Cu) alloys [36]. Oliveira et al. [35] employed the same experimental setup used in the present study to characterize various Al-Sn alloys. Their findings revealed a notable microstructural transition in the Al-9Sn alloy. They observed that for Sn content below 9%, the microstructure exhibited a cellular morphology, while higher Sn content led to dendritic growth. The current investigation focused on the Al-9Sn-1Fe alloy under conditions similar to those in Oliveira et al.’s work [35]. The primary modification introduced here was the addition of 1%Fe. Interestingly, unlike the Al-9Sn alloy, the Al-9Sn-1Fe alloy did not display a microstructural transition from cells to dendrites. This suggests that the addition of 1%Fe may have played a role in inhibiting the occurrence of this microstructural phenomenon observed in the Al-9Sn alloy. This implies that the higher solute content favored solute rejection, inducing instabilities in the cells and favoring the formation of dendrites. Hence, despite the similar cooling conditions, the introduction of a small amount of Fe altered the microstructural behavior of the alloy during solidification, preventing the transition observed in the Al-9Sn alloy.
Figure 5 presents the experimental power equations proposed in this study for the growth of λ1 and λ2 of the Al-9Sn-1Fe alloy as a function of VL and ṪL. The exponents were set to be the same as previously reported for several Al-based alloys [34,35,36]. For the relationships of λ1 with VL and ṪL, the exponents were −1.1 and −0.55, respectively. For the relationships of λ2 with VL and ṪL, the exponents were −2/3 and −1/3, respectively. Since the coefficient of determination (R2) exceeded 0.8 for all the obtained equations, it can be inferred that they can satisfactorily represent the experimental scatter. The equation obtained by Oliveira et al. [35] for the evolution of λ1 = f(ṪL) in the Al-9 wt.%Sn alloy is also included. It is noteworthy that for a given ṪL, the addition of 1 wt.%Fe to the Al-9 wt.%Sn alloy resulted in a 57.14% increase in λ1.

3.3. Phases Forming the Microstructure

Figure 6 depicts the partial pseudo-binary phase diagram generated by the Thermo-Calc software (TCAL8: Al-Alloys v8.2 database) for the Al-9Sn-Fe (wt.%) alloys, illustrating the region of interest. As can be seen, the microstructure of the studied alloy at room temperature is expected to be composed of the α-Al (FCC_A1), Sn (BCT_A5), and Al13Fe4 (AL13FE4) phases. Figure 7 shows a typical SEM image with EDS analysis acquired for the Al-9Sn-1Fe alloy. An analogy with the pseudo-binary phase diagram indicates that the plate-like dendrites consist of the α-Al phase, while Sn-rich particles and Al13Fe4 IMCs are present at the interdendritic regions. In fact, it is not surprising that all Sn-rich particles are present only in interdendritic areas. According to Khireche et al. [24], Sn preferentially diffuses along grain boundaries. Additionally, the solubility of Sn in Al is very low, being 0.01% by weight at room temperature. This also applies to the Al13Fe4 intermetallics located in the interdendritic regions along with the Sn particles. It is worth noting that Fe has very low solubility in Al [40].

3.4. Hydrogen Production Features

Figure 8 illustrates how microstructural refinement influences the hydrogen production curves. In general, samples taken from the bottom of the directionally solidified casting, where cooling was more intense and the microstructure finer, reached their maximum hydrogen production capacity quickly, indicating a faster hydrogen generation kinetics. Although the profiles of hydrogen production rates are relatively similar, they suggest that a finer microstructure achieves a higher peak in a shorter time and sustains higher rates for a longer duration.
Figure 9 displays SEM images illustrating the microstructure of the Al-9Sn-Fe alloy at three different durations of hydrogen evolution tests, representing finer and coarser microstructures. The impact of the corrosion process during the initial stages is more pronounced in the SEM images of the coarser microstructure. This is attributed to the finer microstructure exhibiting an earlier onset of corrosion as compared to the coarser counterparts, aligning with the findings in Figure 8. In the initial stages of the tests, pitting corrosion primarily occurred at the interface between Al-rich dendrites and Sn particles as well as Fe-containing IMCs. This indicates that these particles act as cathodes promoting corrosion. Some pits were also observed in more central regions of the Al-rich matrix. With increasing test duration, pitting corrosion intensified, leading to further consumption of the Al-rich dendrites. Figure 10 presents a typical structure containing O, Fe, and Sn observed in Al-9Sn-1Fe alloy samples after hydrogen evolution tests.
Analyzing Figure 10, it is plausible to assume that the presence of Sn-rich particles and Fe-containing IMCs in the alloy facilitated the corrosion process through the formation of local galvanic cells [34]. The studied alloy became susceptible to corrosion mainly due to the potential difference between the Al-rich phase and these other phases located in the interdendritic areas. Hydrogen generation proceeded as pitting corrosion intensified with the consumption of the Al-rich dendrites. Water reduction occurred at the cathodic sites, leading to the evolution of H2. As the immersion time extended, Sn-rich particles and Fe-containing IMCs, due to their noble nature, served as cathodes, and the dissolution of the α-Al phase became the primary driver of hydrogen generation.
The predominant phenomenon during hydrogen production in alkaline media using the investigated Al-9Sn-1Fe alloy was the dissolution of the Al-rich matrix, with Sn particles and Fe-containing IMCs facilitating the formation of corrosion sites. Equation (3) is suggested to characterize this situation [41].
A l + 3 H 2 O + N a O H N a A l ( O H ) 4 + 3 2 H 2
The difference in the electrochemical potentials between Al, Sn, and Fe-containing IMCs facilitated the development of galvanic cells, inducing the corrosion reaction towards the dissolution of Al [34]. As the Al-Sn-Fe alloys under investigation exhibited α-Al cells surrounded by Sn-rich particles and Fe-containing IMCs, the refinement of the microstructure is expected to amplify the corrosion effect by fostering the creation of a greater number of galvanic cells per unit area, consequently accelerating the hydrogen production. Conversely, with a coarser microstructure, the aggregation of Sn particles may occur together with the coarser Fe-containing IMCs, diminishing the number of active sites and thereby reducing the activity of the studied alloy. Thus, the coarsening of the microstructure is expected to diminish this type of micro-galvanic coupling, leading to a reduction in the hydrogen production rate.

3.5. Relationship between Microstructure and Hydrogen Production Behavior

Figure 11 consolidates the hydrogen yield (η) and average generation rate ( Φ A V E ) values obtained for the examined samples. η was calculated by considering the maximum volume of collected hydrogen relative to the theoretical yield of 1360 mL for 1 g of pure Al at room temperature [42]. The computation of Φ A V E entailed determining the average value of the function Φ = f t across its domain by utilizing the average value theorem as follows:
Φ A V E = 1 t 0 t t e s t t 0 t t e s t Φ t d t
where t 0 and t t e s t represent the upper and lower limits of the Φ domain, respectively. t t e s t t 0 is the duration of the test.
As shown in Figure 11, the microstructural refinement led to a 56.25% increase in Φ A V E . This increase was evident as Φ A V E changed from 0.16 mL g–1 s–1 for P = 25 mm (coarser microstructure) to 0.25 mL g–1 s–1 for P = 5 mm (finer microstructure). Importantly, this enhancement in Φ A V E was achieved without any discernible impact on the hydrogen yield, which consistently maintained a level of approximately 88%.
Table 3 contains the results of the MLR analysis conducted to relate Φ A V E with the inverse of the square root of λ1 and λ2 in a Hall–Petch format. Notably, the MLR equation exhibits a relatively higher R2 value. It is worth noting that changes in any dendritic spacing were directly related to shifts in the other. For that reason, multicollinearity could not be avoided. This could consequently be a reason for the higher p-values (>5%). Nevertheless, for predictive purposes, multicollinearity appeared to have no considerable impact on the utility of the regression equation. This can be observed in Figure 12, where the Φ A V E profile is shown as a function of the inverse of both λ1−1/2 and λ2−1/2.
Table 4 presents a comparative analysis of hydrogen generation rates reported in the literature for other Al-based alloys along with the values observed in the current study. The hydrogen generation rates attained in our work not only fell within the range documented in various studies but also demonstrated the potential to surpass it. For example, the hydrogen production kinetics identified in this study, particularly for alloys with finer microstructures, exhibited the capacity to outperform the hydrogen production rates related to a process based on the hydrolysis of Al-Ga-In-Sn-Mg alloys in water at 40 °C. On the other hand, the hydrogen production rates identified in this study remain lower in comparison to those observed for Al-Ga-In-Sn alloys immersed in water at 70 °C and for Al matrix composites with carbon nanotubes exposed to a 10 wt.% NaOH solution.

4. Conclusions

In this study, Al-9Sn-1Fe alloy samples, produced under various cooling conditions during the solidification process, underwent microstructural characterization and hydrogen production tests. From the results obtained, the following conclusions can be drawn:
-
The microstructure of the studied alloy revealed a notable uniformity consisting of α-Al phase dendrites with a plate-like morphology along with the presence of Sn-rich particles and Al13Fe4 IMCs in the interdendritic areas.
-
The microstructural refinement achieved in this alloy through variations in the cooling regime during solidification induced a 56.25% increase in the hydrogen production rate, rising from 0.16 to 0.25 mL g–1 s–1, without affecting the hydrogen yield, which remained around 88%.
-
An experimental equation based on the Hall–Petch relationship and multiple linear regression is introduced to associate the hydrogen production rate (ΦAVE) with the primary and secondary dendritic arm spacings (λ1 and λ2, respectively). The equation is expressed as follows: ΦAVE = –19.99λ1−1/2 +22.29λ2−1/2 +2.34.

Author Contributions

Conceptualization, A.B., C.K., A.G. and N.C.; methodology, A.B., C.K., A.d.P. and C.S.; validation, A.B., C.K., A.d.P. and C.S.; formal analysis, A.B., C.K., A.G. and N.C.; investigation, A.B. and C.K.; resources, A.G. and N.C.; data curation, A.B. and C.K.; writing—original draft preparation, A.B., A.G. and N.C.; writing—review and editing, A.G. and N.C.; supervision, A.G. and N.C.; project administration, A.B., A.G. and N.C.; funding acquisition, A.G. and N.C. All authors have read and agreed to the published version of the manuscript.

Funding

This work was supported by CNPq—National Council for Scientific and Technological Development (Grants 151730/2022-9; 142377/2017-1; 151160/2023-6; 303140/2020-8, and 308825/2021-7); FAPESP—São Paulo Research Foundation, Brazil (Grants: 2021/11439-0; 2023/01422-8; 2023/12535-8); and FAEPEX/UNICAMP-Fundo de Apoio ao Ensino, à Pesquisa e à Extensão (grants 2162/21 and 2549/22).

Data Availability Statement

The raw data supporting the conclusions of this article will be made available by the authors on request.

Acknowledgments

This research used the facilities of the Brazilian Nanotechnology National Laboratory (LNNano), part of the Brazilian Centre for Research in Energy and Materials (CNPEM), a private non-profit organization under the supervision of the Brazilian Ministry for Science, Technology, and Innovations (MCTI). The SEM-FIB staff is acknowledged for their assistance during the analyses (SEM-FIB-C1-20230583).

Conflicts of Interest

The authors declare no conflicts of interest.

References

  1. Abbasi, K.R.; Shahbaz, M.; Zhang, J.; Irfan, M.; Alvarado, R. Analyze the environmental sustainability factors of China: The role of fossil fuel energy and renewable energy. Renew. Energy 2022, 187, 390–402. [Google Scholar] [CrossRef]
  2. Fayyazbakhsh, A.; Bell, M.L.; Zhu, X.; Mei, X.; Koutný, M.; Hajinajaf, N.; Zhang, Y. Engine emissions with air pollutants and greenhouse gases and their control technologies. J. Clean. Prod. 2022, 376, 134260. [Google Scholar] [CrossRef]
  3. Kumar, A.; Singh, P.; Raizada, P.; Hussain, C.M. Impact of COVID-19 on greenhouse gases emissions: A critical review. Sci. Total Environ. 2022, 806, 150349. [Google Scholar] [CrossRef] [PubMed]
  4. Abas, N.; Kalair, A.; Khan, N. Review of fossil fuels and future energy technologies. Futures 2015, 69, 31–49. [Google Scholar] [CrossRef]
  5. Zhou, Y.; Li, R.; Lv, Z.; Liu, J.; Zhou, H.; Xu, C. Green hydrogen: A promising way to the carbon-free society. Chin. J. Chem. Eng. 2022, 43, 2–13. [Google Scholar] [CrossRef]
  6. Hassan, Q.; Sameen, A.Z.; Salman, H.M.; Jaszczur, M.; Al-Jiboory, A.K. Hydrogen energy future: Advancements in storage technologies and implications for sustainability. J. Energy Storage 2023, 72, 108404. [Google Scholar] [CrossRef]
  7. Xu, X.; Zhou, Q.; Yu, D. The future of hydrogen energy: Bio-hydrogen production technology. Int. J. Hydrogen Energy 2022, 47, 33677–33698. [Google Scholar] [CrossRef]
  8. Tashie-Lewis, B.C.; Nnabuife, S.G. Hydrogen production, distribution, storage and power conversion in a hydrogen economy-a technology review. Chem. Eng. J. Adv. 2021, 8, 100172. [Google Scholar] [CrossRef]
  9. Ji, M.; Wang, J. Review and comparison of various hydrogen production methods based on costs and life cycle impact assessment indicators. Int. J. Hydrogen Energy 2021, 46, 38612–38635. [Google Scholar] [CrossRef]
  10. Yu, M.; Wang, K.; Vredenburg, H. Insights into low-carbon hydrogen production methods: Green, blue and aqua hydrogen. Int. J. Hydrogen Energy 2021, 46, 21261–21273. [Google Scholar] [CrossRef]
  11. Nasser, M.; Megahed, T.F.; Ookawara, S.; Hassan, H. A review of water electrolysis–based systems for hydrogen production using hybrid/solar/wind energy systems. Environ. Sci. Pollut. Res. 2022, 29, 86994–87018. [Google Scholar] [CrossRef]
  12. Karaca, A.E.; Qureshy, A.M.; Dincer, I. An overview and critical assessment of thermochemical hydrogen production methods. J. Clean. Prod. 2023, 385, 135706. [Google Scholar] [CrossRef]
  13. Rad, M.A.V.; Ghasempour, R.; Rahdan, P.; Mousavi, S.; Arastounia, M. Techno-economic analysis of a hybrid power system based on the cost-effective hydrogen production method for rural electrification, a case study in Iran. Energy 2020, 190, 116421. [Google Scholar] [CrossRef]
  14. Ishaq, H.; Dincer, I.; Crawford, C. A review on hydrogen production and utilization: Challenges and opportunities. Int. J. Hydrogen Energy 2022, 47, 26238–26264. [Google Scholar] [CrossRef]
  15. Tan, Y.; Yang, H.; Cheng, J.; Hu, J.; Tian, G.; Yu, X. Preparation of hydrogen from metals and water without CO2 emissions. Int. J. Hydrogen Energy 2022, 47, 38134–38154. [Google Scholar] [CrossRef]
  16. Laureys, A.; Depraetere, R.; Cauwels, M.; Depover, T.; Hertelé, S.; Verbeken, K. Use of existing steel pipeline infrastructure for gaseous hydrogen storage and transport: A review of factors affecting hydrogen induced degradation. J. Nat. Gas Sci. Eng. 2022, 101, 104534. [Google Scholar] [CrossRef]
  17. Cuzacq, L.; Polido, C.; Silvain, J.F.; Bobet, J.L. Hydrogen production properties of aluminum–magnesium alloy presenting β-phase Al3Mg2. Metals 2023, 13, 1868. [Google Scholar] [CrossRef]
  18. Amberchan, G.; Lopez, I.; Ehlke, B.; Barnett, J.; Bao, N.Y.; Allen, A.L.; Singaram, B.; Oliver, S.R. Aluminum nanoparticles from a Ga–Al composite for water splitting and hydrogen generation. ACS Appl. Nano Mater. 2022, 5, 2636–2643. [Google Scholar] [CrossRef]
  19. Włodarczyk, P.P.; Włodarczyk, B. Effect of hydrogen and absence of passive layer on corrosive properties of aluminum alloys. Materials 2020, 13, 1580. [Google Scholar] [CrossRef] [PubMed]
  20. Davies, J.; Du Preez, S.P.; Bessarabov, D.G. The hydrolysis of ball-milled aluminum–bismuth–nickel composites for on-demand hydrogen generation. Energies 2022, 15, 2356. [Google Scholar] [CrossRef]
  21. Ouyang, L.; Jiang, J.; Chen, K.; Zhu, M.; Liu, Z. Hydrogen production via hydrolysis and alcoholysis of light metal-based materials: A review. Micro Nano Lett. 2021, 13, 134. [Google Scholar] [CrossRef]
  22. Qiao, D.; Lu, Y.; Tang, Z.; Fan, X.; Wang, T.; Li, T.; Liaw, P.K. The superior hydrogen-generation performance of multi-component Al alloys by the hydrolysis reaction. Int. J. Hydrogen Energy 2019, 44, 3527–3537. [Google Scholar] [CrossRef]
  23. Du Preez, S.P.; Bessarabov, D.G. The effects of bismuth and tin on the mechanochemical processing of aluminum-based composites for hydrogen generation purposes. Int. J. Hydrogen Energy 2019, 44, 21896–21912. [Google Scholar] [CrossRef]
  24. Khireche, S.; Boughrara, D.; Kadri, A.; Hamadou, L.; Benbrahim, N. Corrosion mechanism of Al, Al–Zn and Al–Zn–Sn alloys in 3 wt.% NaCl solution. Corros. Sci. 2014, 87, 504–516. [Google Scholar] [CrossRef]
  25. Ziebarth, J.T.; Woodall, J.M.; Kramer, R.A.; Choi, G. Liquid phase-enabled reaction of Al–Ga and Al–Ga–In–Sn alloys with water. Int. J. Hydrogen Energy 2011, 36, 5271–5279. [Google Scholar] [CrossRef]
  26. An, Q.; Hu, H.; Li, N.; Wei, J.; Wei, C.; Wang, H.; Woodall, J.M.; Gao, Q. Strategies for improving flow rate control of hydrogen generated by Al-rich alloys for on-board applications. Int. J. Hydrogen Energy 2019, 44, 27695–27703. [Google Scholar] [CrossRef]
  27. An, Q.; Jin, Z.; Li, N.; Wang, H.; Schmierer, J.; Wei, C.; Hu, H.; Gao, Q.; Woodall, J.M. Study on the liquid phase-derived activation mechanism in Al-rich alloy hydrolysis reaction for hydrogen production. Energy 2022, 247, 123489. [Google Scholar] [CrossRef]
  28. Yolcular, S.; Karaoglu, S.; Karasoglu, M. Hydrogen generation performance of waste aluminum alloy chips and powders. Energy Sources Part A Recovery Util. Environ. Eff. 2022, 44, 1529–1540. [Google Scholar] [CrossRef]
  29. Hu, X.; Zhu, G.; Zhang, Y.; Wang, Y.; Gu, M.; Yang, S.; Song, P.; Li, X.; Fang, H.; Jiang, G.; et al. Hydrogen generation through rolling using Al–Sn alloy. Int. J. Hydrogen Energy 2019, 37, 11012–11020. [Google Scholar] [CrossRef]
  30. Zhang, F.; Edalati, K.; Arita, M.; Horita, Z. Hydrolytic hydrogen production on Al–Sn–Zn alloys processed by high-pressure torsion. Materials 2018, 11, 1209. [Google Scholar] [CrossRef]
  31. Capuzzi, S.; Timelli, G. Preparation and melting of scrap in aluminum recycling: A review. Metals 2018, 8, 249. [Google Scholar] [CrossRef]
  32. Salueña Berna, X.; Marín-Genescà, M.; Dagà-Monmany, J.M. Analysis of the Use of Recycled Aluminum to Generate Green Hydrogen in an Electric Bicycle. Metals 2023, 13, 357. [Google Scholar] [CrossRef]
  33. Eom, K.; Kim, M.; Oh, S.; Cho, E.; Kwon, H. Design of ternary Al–Sn–Fe alloy for fast on-board hydrogen production, and its application to PEM fuel cell. Int. J. Hydrogen Energy 2011, 36, 11825–11831. [Google Scholar] [CrossRef]
  34. Konno, C.; Cruz, C.; Costa, T.; Barros, A.; Goulart, P.; Garcia, A.; Cheung, N. Solidification microstructure-dependent hydrogen generation behavior of Al–Sn and Al–Fe alloys in alkaline medium. Int. J. Hydrogen Energy 2021, 46, 12654–12671. [Google Scholar] [CrossRef]
  35. Oliveira, R.; Costa, T.A.; Dias, M.; Konno, C.; Cheung, N.; Garcia, A. Transition from high cooling rate cells to dendrites in directionally solidified Al-Sn-(Pb) alloys. Mater. Today Commun. 2020, 25, 101490. [Google Scholar] [CrossRef]
  36. Bertelli, F.; Brito, C.; Ferreira, I.L.; Reinhart, G.; Nguyen-Thi, H.; Mangelinck-Noël, N.; Cheung, N.; Garcia, A. Cooling thermal parameters, microstructure, segregation and hardness in directionally solidified Al–Sn-(Si; Cu) alloys. Mater. Des. 2015, 72, 31–42. [Google Scholar] [CrossRef]
  37. Gündüz, M.; Çadırlı, E. Directional Solidification of Aluminium–Copper Alloys. Mater. Sci. Eng. A 2002, 327, 167–185. [Google Scholar] [CrossRef]
  38. Curioni, M. The behaviour of magnesium during free corrosion and potentiodynamic polarization investigated by real-time hydrogen measurement and optical imaging. Electrochim. Acta 2014, 120, 284–292. [Google Scholar] [CrossRef]
  39. Fajardo, S.; Frankel, G.S. Gravimetric method for hydrogen evolution measurements on dissolving magnesium. J. Electrochem. Soc. 2015, 162, C693. [Google Scholar] [CrossRef]
  40. Bunkholt, S.; Nes, E.; Marthinsen, K. The effect of iron and the precipitation behavior of iron during annealing of a cold deformed commercial purity aluminium alloy. Mater. Charact. 2017, 129, 18–23. [Google Scholar] [CrossRef]
  41. Bolt, A.; Dincer, I.; Agelin-Chaab, M. Experimental study of hydrogen production process with aluminum and water. Int. J. Hydrogen Energy 2020, 45, 14232–14244. [Google Scholar] [CrossRef]
  42. Lim, S.T.; Sethupathi, S.; Alsultan, A.G.; Munusamy, Y. Hydrogen production via activated waste aluminum cans and its potential for methanation. Energy Fuels 2021, 35, 16212–16221. [Google Scholar] [CrossRef]
  43. Yu, M.; Kim, M.; Yoon, B.; Oh, S.; Nam, D.H.; Kwon, H. Carbon nanotubes/aluminum composite as a hydrogen source for PEMFC. Int. J. Hydrogen Energy 2014, 39, 19416–19423. [Google Scholar] [CrossRef]
  44. Jin, Z.; Wang, H.; Shi, J.; Wang, H.; Gao, X.; Gao, Q.; Sun, X. Unveiling the role of indium and tin in Al–Ga based alloys for on-demand hydrogen supply from simulation to validation. J. Power Sources 2023, 554, 232268. [Google Scholar] [CrossRef]
Figure 1. Schematic illustration of the DS apparatus.
Figure 1. Schematic illustration of the DS apparatus.
Metals 14 00187 g001
Figure 2. Illustration of the cutting procedure used to obtain samples.
Figure 2. Illustration of the cutting procedure used to obtain samples.
Metals 14 00187 g002
Figure 3. (a) Colling curves acquired at different heights from the bottom of the directionally solidified casting for the Al-9Sn-1Fe alloy; (b) VL and ṪL profiles along the length of the casting.
Figure 3. (a) Colling curves acquired at different heights from the bottom of the directionally solidified casting for the Al-9Sn-1Fe alloy; (b) VL and ṪL profiles along the length of the casting.
Metals 14 00187 g003
Figure 4. Solidification macrostructure of the Al-9Sn-1Fe alloy casting along with typical micrographs of transverse and longitudinal sections.
Figure 4. Solidification macrostructure of the Al-9Sn-1Fe alloy casting along with typical micrographs of transverse and longitudinal sections.
Metals 14 00187 g004
Figure 5. Evolution of λ1 and λ2 as a function of (a) ṪL and (b) VL.
Figure 5. Evolution of λ1 and λ2 as a function of (a) ṪL and (b) VL.
Metals 14 00187 g005
Figure 6. Partial pseudo-binary phase diagram of Al-9Sn-Fe (wt.%) alloys with focus on the region of interest. Red arrow indicates the studied alloy. The lower left corner shows the Thermo-Calc software symbol (Thermo-Calc version 2023a).
Figure 6. Partial pseudo-binary phase diagram of Al-9Sn-Fe (wt.%) alloys with focus on the region of interest. Red arrow indicates the studied alloy. The lower left corner shows the Thermo-Calc software symbol (Thermo-Calc version 2023a).
Metals 14 00187 g006
Figure 7. Characteristic SEM images with EDS analysis for the Al-9Sn-1Fe (wt.%) alloy.
Figure 7. Characteristic SEM images with EDS analysis for the Al-9Sn-1Fe (wt.%) alloy.
Metals 14 00187 g007
Figure 8. Typical hydrogen production curves and hydrogen production rate profiles obtained for the Al-9Sn-1Fe alloy comparing finer and coarser microstructures; P denotes the position in the casting from which the sample was collected.
Figure 8. Typical hydrogen production curves and hydrogen production rate profiles obtained for the Al-9Sn-1Fe alloy comparing finer and coarser microstructures; P denotes the position in the casting from which the sample was collected.
Metals 14 00187 g008
Figure 9. SEM images displaying the microstructural changes in the Al-9Sn-Fe alloy during different durations of hydrogen evolution tests, featuring both finer and coarser microstructures.
Figure 9. SEM images displaying the microstructural changes in the Al-9Sn-Fe alloy during different durations of hydrogen evolution tests, featuring both finer and coarser microstructures.
Metals 14 00187 g009
Figure 10. SEM image with EDS mapping illustrating a characteristic structure containing O, Sn, and Fe found in the Al-9Sn-1Fe alloy samples post-hydrogen evolution test.
Figure 10. SEM image with EDS mapping illustrating a characteristic structure containing O, Sn, and Fe found in the Al-9Sn-1Fe alloy samples post-hydrogen evolution test.
Metals 14 00187 g010
Figure 11. η and Φ A V E values obtained for the examined Al-9Sn-1Fe alloy samples; P represents the position in the casting from which the sample was collected, with lower p values indicating a finer microstructure.
Figure 11. η and Φ A V E values obtained for the examined Al-9Sn-1Fe alloy samples; P represents the position in the casting from which the sample was collected, with lower p values indicating a finer microstructure.
Metals 14 00187 g011
Figure 12. Combined effect of λ1−1/2 and λ2−1/2 on Φ A V E for the Al-9Sn-1Fe (wt.%) alloy.
Figure 12. Combined effect of λ1−1/2 and λ2−1/2 on Φ A V E for the Al-9Sn-1Fe (wt.%) alloy.
Metals 14 00187 g012
Table 1. Chemical compositions (wt.%) of the metals used to prepare the Al-9Sn-1Fe alloy.
Table 1. Chemical compositions (wt.%) of the metals used to prepare the Al-9Sn-1Fe alloy.
MetalsAlSnFeAgCuZnNiPb
AluminumBalance-0.073-0.010.0050.0060.006
Tin0.0006Balance0.00250.00020.00040.00200.00010.001
Iron--Balance-0.01-0.01-
Table 2. Sn and Fe solute content (wt.%) for three positions of the Al-9Sn-1Fe alloy casting.
Table 2. Sn and Fe solute content (wt.%) for three positions of the Al-9Sn-1Fe alloy casting.
SolutePosition in Relation to the Metal–Mold Interface
5 mm30 mm70 mm
Sn9.2739.0949.039
Fe1.1501.2091.188
Table 3. Results of the MLR analysis for the investigated Al-9Sn-1Fe (wt.%) alloy.
Table 3. Results of the MLR analysis for the investigated Al-9Sn-1Fe (wt.%) alloy.
Dependent VariableStatistical TermStatistical Values
Φ AVE R20.849
F0.076
Interceptλ1−1/2λ2−1/2
Coefficient2.342−19.99222.295
p-value0.3370.3760.346
Table 4. Comparison of hydrogen production rates between the findings in this study and those reported in other works.
Table 4. Comparison of hydrogen production rates between the findings in this study and those reported in other works.
MaterialSolutionHydrogen Production Rate
[mL g–1 s–1]
Reference
Al-9Sn-1Fe alloy1 M NaOH0.16 (coarser microstructure)
0.25 (finer microstructure)
This work
Al-Ga-In-Sn-Mg alloysWater at 40 °Cfrom 0.053 to 0.126An et al. [26]
Al-Ga-In-Sn alloysWater at 70 °Cfrom 0.167 to 2.33An et al. [27]
Al matrix composites with carbon nanotubes10 wt.% NaOHfrom 0.33 to 2.03Yu et al. [43]
Al-Ga-In-Sn alloysWater at 70 °Cfrom 4.33 to 11.18Jin et al. [44]
Disclaimer/Publisher’s Note: The statements, opinions and data contained in all publications are solely those of the individual author(s) and contributor(s) and not of MDPI and/or the editor(s). MDPI and/or the editor(s) disclaim responsibility for any injury to people or property resulting from any ideas, methods, instructions or products referred to in the content.

Share and Cite

MDPI and ACS Style

Barros, A.; Konno, C.; de Paula, A.; Silva, C.; Garcia, A.; Cheung, N. The Role of Microstructural Length Scale in Hydrogen Generation Features of an Al-Sn-Fe Alloy. Metals 2024, 14, 187. https://doi.org/10.3390/met14020187

AMA Style

Barros A, Konno C, de Paula A, Silva C, Garcia A, Cheung N. The Role of Microstructural Length Scale in Hydrogen Generation Features of an Al-Sn-Fe Alloy. Metals. 2024; 14(2):187. https://doi.org/10.3390/met14020187

Chicago/Turabian Style

Barros, Andre, Camila Konno, Andrei de Paula, Cassio Silva, Amauri Garcia, and Noé Cheung. 2024. "The Role of Microstructural Length Scale in Hydrogen Generation Features of an Al-Sn-Fe Alloy" Metals 14, no. 2: 187. https://doi.org/10.3390/met14020187

APA Style

Barros, A., Konno, C., de Paula, A., Silva, C., Garcia, A., & Cheung, N. (2024). The Role of Microstructural Length Scale in Hydrogen Generation Features of an Al-Sn-Fe Alloy. Metals, 14(2), 187. https://doi.org/10.3390/met14020187

Note that from the first issue of 2016, this journal uses article numbers instead of page numbers. See further details here.

Article Metrics

Back to TopTop