Cracking Behaviour of René 80-Type Superalloy During Laser-Based Directed Energy Deposition
Abstract
1. Introduction
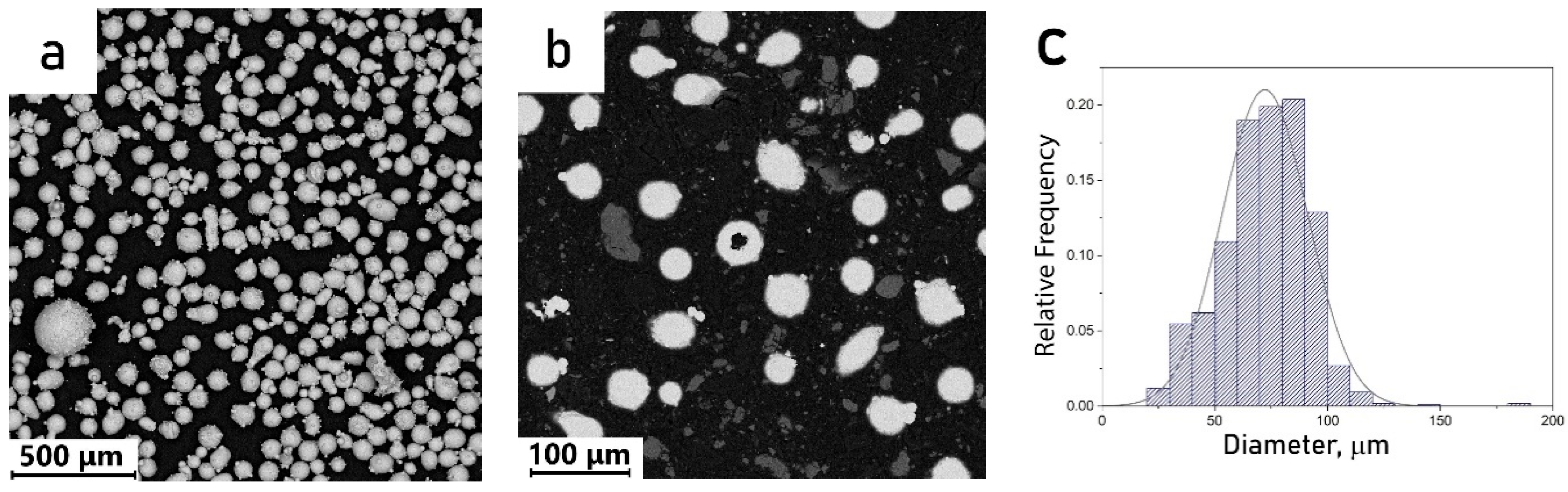
2. Materials and Methods
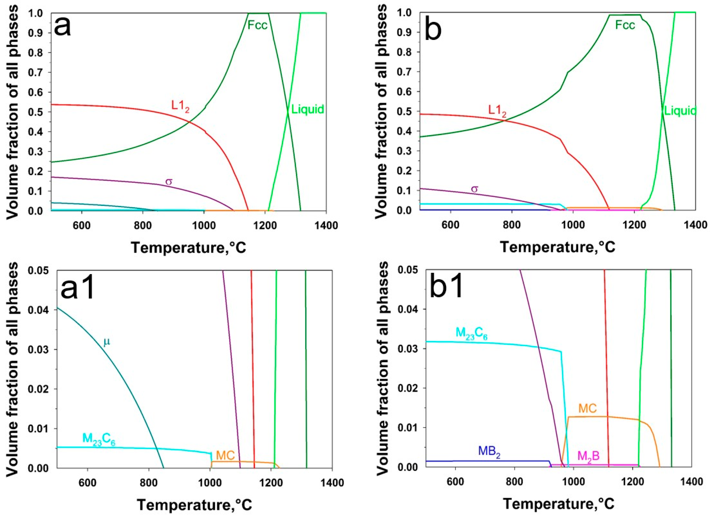
3. Results
4. Discussion
5. Conclusions
- 1.
- The crack-free wall was successfully fabricated using DED-LB at a low-energy process: power of 200 W, scanning speed of 3 mm/s, and laser spot size of 0.9 mm. Meanwhile, the increase in energy input (power of 1800 W and scanning speed of 10 mm/s) led to the development of solidification cracking.
- 2.
- The microstructure of the crack-free wall was represented mostly by fine equiaxed grains, while, in the cracked wall, coarse columnar grains were observed. Long, straight high-angle boundaries in the latter specimen provided an easy path for the crack growth.
- 3.
- The removal of B and Zr seemingly eliminated liquation cracking in the programme alloy due to reduced solidification range (as supposed by Thermo-Calc predictions). Yet, in the absence of borides, (Cr, Mo)-rich σ-phase precipitated—unusual for the René 80 superalloy. These σ-phase particles appeared to initiate the ductility-dip cracking.
Supplementary Materials
Author Contributions
Funding
Data Availability Statement
Conflicts of Interest
References
- Backman, D.G.; Williams, J.C. Advanced Materials for Aircraft Engine Applications. Science 1992, 255, 1082–1087. [Google Scholar] [CrossRef] [PubMed]
- Unocic, R.R.; Viswanathan, G.B.; Sarosi, P.M.; Karthikeyan, S.; Li, J.; Mills, M.J. Mechanisms of creep deformation in polycrystalline Ni-base disk superalloys. Mater. Sci. Eng. A 2008, 483–484, 25–32. [Google Scholar] [CrossRef]
- Earl, R. Cast Nickel Base Alloy. U.S. Patent US3615376A, 26 October 1971. [Google Scholar]
- Zhang, J.; Singer, R.F. Effect of grain-boundary characteristics on castability of nickel-base superalloys. Met. Mater. Trans. A 2004, 35, 939–946. [Google Scholar] [CrossRef]
- Zhang, J.; Singer, R.F. Hot tearing of nickel-based superalloys during directional solidification. Acta Mater. 2002, 50, 1869–1879. [Google Scholar] [CrossRef]
- Grodzki, J.; Hartmann, N.; Rettig, R.; Affeldt, E.; Singer, R.F. Effect of B, Zr, and C on Hot Tearing of a Directionally Solidified Nickel-Based Superalloy. Met. Mater. Trans. A 2016, 47, 2914–2926. [Google Scholar] [CrossRef]
- Jiang, J.; Yang, J.; Zhang, T.; Zou, J.; Wang, Y.; Dunne, F.P.E.; Britton, T.B. Microstructurally sensitive crack nucleation around inclusions in powder metallurgy nickel-based superalloys. Acta Mater. 2016, 117, 333–344. [Google Scholar] [CrossRef]
- Bandyopadhyay, A.; Heer, B. Additive manufacturing of multi-material structures. Mater. Sci. Eng. R Rep. 2018, 129, 1–16. [Google Scholar] [CrossRef]
- Gu, D.D.; Meiners, W.; Wissenbach, K.; Poprawe, R. Laser additive manufacturing of metallic components: Materials, processes and mechanisms. Int. Mater. Rev. 2012, 57, 3. [Google Scholar] [CrossRef]
- Povolyaeva, E.; Astakhov, I.; Shaysultanov, D.; Klimova, M.; Zherebtsov, S.; Stepanov, N. Effect of thermo-mechanical treatment on cryogenic mechanical properties of a medium-entropy Fe65Co12.5Ni12.5Cr9.5C0.5 alloy produced by the laser-based powder bed fusion. Mater. Sci. Eng. A 2024, 913, 147059. [Google Scholar] [CrossRef]
- Helmer, H.; Bauereiß, A.; Singer, R.F.; Körner, C. Grain structure evolution in Inconel 718 during selective electron beam melting. Mater. Sci. Eng. A 2016, 668, 180–187. [Google Scholar] [CrossRef]
- Cunningham, C.R.; Flynn, J.M.; Shokrani, A.; Dhokia, V.; Newman, S.T. Strategies and processes for high quality wire arc additive manufacturing. Addit. Manuf. 2018, 22, 672–686. [Google Scholar] [CrossRef]
- Yang, J.; Li, F.; Wang, Z.; Zeng, X. Cracking behavior and control of Rene 104 superalloy produced by direct laser fabrication. J. Mater. Process. Technol. 2015, 225, 229–239. [Google Scholar] [CrossRef]
- Ramakrishnan, A.; Dinda, G.P. Direct laser metal deposition of Inconel 738. Mater. Sci. Eng. A 2019, 740–741, 1–13. [Google Scholar] [CrossRef]
- Zhong, M.; Sun, H.; Liu, W.; Zhu, X.; He, J. Boundary liquation and interface cracking characterization in laser deposition of Inconel 738 on directionally solidified Ni-based superalloy. Scr. Mater. 2005, 53, 159–164. [Google Scholar] [CrossRef]
- Tomus, D.; Rometsch, P.A.; Heilmaier, M.; Wu, X. Effect of minor alloying elements on crack-formation characteristics of Hastelloy-X manufactured by selective laser melting. Addit. Manuf. 2017, 16, 65–72. [Google Scholar] [CrossRef]
- Henderson, M.B.; Arrell, D.; Larsson, R.; Heobel, M.; Marchant, G. Nickel based superalloy welding practices for industrial gas turbine applications. Sci. Technol. Weld. Join. 2004, 9, 13–21. [Google Scholar] [CrossRef]
- Tang, Y.T.; Panwisawas, C.; Ghoussoub, J.N.; Gong, Y.; Clark, J.W.G.; Németh, A.A.N.; McCartney, D.G.; Reed, R.C. Alloys-by-design: Application to new superalloys for additive manufacturing. Acta Mater. 2021, 202, 417–436. [Google Scholar] [CrossRef]
- Mo, B.; Li, T.; Shi, F.; Deng, L.; Liu, W. Crack initiation and propagation within nickel-based high-temperature alloys during laser-based directed energy deposition: A review. Opt. Laser Technol. 2024, 179, 111327. [Google Scholar] [CrossRef]
- Park, J.U.; Jun, S.Y.; Lee, B.H.; Jang, J.H.; Lee, B.S.; Lee, H.J.; Lee, J.H.; Hong, H.U. Alloy design of Ni-based superalloy with high γ′ volume fraction suitable for additive manufacturing and its deformation behavior. Addit. Manuf. 2022, 52, 102680. [Google Scholar] [CrossRef]
- Harrison, N.J.; Todd, I.; Mumtaz, K. Reduction of micro-cracking in nickel superalloys processed by Selective Laser Melting: A fundamental alloy design approach. Acta Mater. 2015, 94, 59–68. [Google Scholar] [CrossRef]
- Heydari, D.; Fard, A.S.; Bakhshi, A.; Drezet, J.M. Hot tearing in polycrystalline Ni-based IN738LC superalloy: Influence of Zr content. Mater. Process. Technol. 2014, 214, 681–687. [Google Scholar] [CrossRef]
- Ojo, O.A.; Richards, N.L.; Chaturvedi, M.C. Study of the fusion zone and heat-affected zone microstructures in tungsten inert gas-welded INCONEL 738LC superalloy. Metall. Mater. Trans. A 2006, 37, 421–433. [Google Scholar] [CrossRef]
- Chauvet, E.; Kontis, P.; Jägle, E.A.; Gault, B.; Raabe, D.; Tassin, C.; Blandin, J.J.; Dendievel, R.; Vayre, B.; Abed, S.; et al. Hot cracking mechanism affecting a non-weldable Ni-based superalloy produced by selective electron Beam Melting. Acta Mater. 2018, 142, 82–94. [Google Scholar] [CrossRef]
- Cloots, M.; Uggowitzer, P.J.; Wegener, K. Investigations on the microstructure and crack formation of IN738LC samples processed by selective laser melting using Gaussian and doughnut profiles. Mater. Des. 2016, 89, 770–784. [Google Scholar] [CrossRef]
- Rush, M.T.; Colegrove, P.A.; Zhang, Z.; Broad, D. Liquation and post-weld heat treatment cracking in Rene 80 laser repair welds. J. Mater. Process. Technol. 2012, 212, 188–197. [Google Scholar] [CrossRef]
- Lim, L.C.; Yi, J.Z.; Liu, N. Mechanism of post-weld heat treatment cracking in Rene 80 nickel based superalloy. Mater. Sci. Technol. 2002, 18, 407–412. [Google Scholar] [CrossRef]
- Shahsavari, H.A.; Kokabi, A.H.; Nategh, S. Effect of preweld microstructure on HAZ liquation cracking of Rene 80 superalloy. Mater. Sci. Technol. 2007, 23, 547–555. [Google Scholar] [CrossRef]
- Safari, J.; Nategh, S. On the heat treatment of Rene-80 nickel-base superalloy. J. Mater. Process. Technol. 2006, 176, 240–250. [Google Scholar] [CrossRef]
- Sidhu, R.K.; Ojo, O.A.; Chaturvedi, M.C. Sub-solidus melting of directionally solidified Rene 80 superalloy during solution heat treatment. J. Mater. Sci. 2008, 43, 3612–3617. [Google Scholar] [CrossRef]
- Österle, W.; Krause, S.; Moelders, T.; Neidel, A.; Oder, G.; Völker, J. Influence of heat treatment on microstructure and hot crack susceptibility of laser-drilled turbine blades made from René 80. Mater. Charact. 2008, 59, 1564–1571. [Google Scholar] [CrossRef]
- Osoba, L.O.; Sidhu, R.K.; Ojo, O.A. On preventing HAZ cracking in laser welded DS Rene 80 superalloy. Mater. Sci. Technol. 2011, 27, 897–902. [Google Scholar] [CrossRef]
- AMS-5403A; Aerospace Material Specification. SAE International: Warrendale, PA, USA, 1984.
- Huoa, Y.; Honga, C.; Li, H.; Liua, P. Influence of different Processing Parameter on distortion and Residual Stress of Inconel 718 Alloys Fabricated by Selective Laser Melting (SLM). J. Mater. Res. 2020, 23, e20200176. [Google Scholar] [CrossRef]
- Wang, H.; Zhang, X.; Wang, G.B.; Shen, J.; Zhang, G.Q.; Li, Y.P.; Yan, M. Selective laser melting of the hard-to-weld IN738LC superalloy: Efforts to mitigate defects and the resultant microstructural and mechanical properties. J. Alloys Compd. 2019, 807, 151662. [Google Scholar] [CrossRef]
- Chen, Y.; Zhang, K.; Huang, J.; Hosseini, S.R.E.; Li, Z. Characterization of heat affected zone liquation cracking in laser additive manufacturing of Inconel 718. Mater. Des. 2016, 90, 586–594. [Google Scholar] [CrossRef]
- Liu, P.; Wang, Z.; Xiao, Y.; Horstemeyer, M.F.; Cui, X.; Chen, L. Insight into the mechanisms of columnar to equiaxed grain transition during metallic additive manufacturing. Addit. Manuf. 2019, 26, 22–29. [Google Scholar] [CrossRef]
- Gäumann, M.; Bezençon, C.; Canalis, P.; Kurz, W. Single-crystal laser deposition of superalloys: Processing–microstructure maps. Acta Mater. 2001, 49, 1051–1062. [Google Scholar] [CrossRef]
- Zhao, Y.; Koizumi, Y.; Aoyagi, K.; Wei, D.; Yamanaka, K.; Chiba, A. Molten pool behavior and effect of fluid flow on solidification conditions in selective electron beam melting (SEBM) of a biomedical Co-Cr-Mo alloy. Addit. Manuf. 2019, 26, 202–214. [Google Scholar] [CrossRef]
- Pinkertona, A.J.; Karadge, M.; Syed, W.U.H.; Li, L. Thermal and microstructural aspects of the laser direct metal deposition of waspaloy. J. Laser Appl. 2006, 18, 216–226. [Google Scholar] [CrossRef]
- Dmitrieva, A.; Semenyuk, A.; Klimova, M.; Udin, I.; Mukin, D.; Vildanov, A.; Zherebtsov, S.; Klimova-Korsmik, O.; Stepanov, N. Cracking Behavior of the ZhS6K Superalloy during Direct Laser Deposition with Induction Heating. Metals 2024, 14, 610. [Google Scholar] [CrossRef]
- Zhao, Y.; Aoyagi, K.; Yamanaka, K.; Chiba, A. A survey on basic influencing factors of solidified grain morphology during electron beam melting. Mater. Des. 2022, 221, 110927. [Google Scholar] [CrossRef]
- Parimi, L.L.; Ravi, G.A.; Clark, D.; Attallah, M.M. Microstructural and texture development in direct laser fabricated IN718. Mater. Charact. 2014, 89, 102–111. [Google Scholar] [CrossRef]
- Aucott, L.; Huang, D.; Dong, H.B.; Wen, S.W.; Marsden, J.; Rack, A.; Cocks, A.C.F. A Three-Stage Mechanistic Model for Solidification Cracking During Welding of Steel. Metall. Mater. Trans. A 2018, 49, 1674–1682. [Google Scholar] [CrossRef]
- Yu, L.X.; Sun, W.R.; Zhang, Z.B.; Zhang, W.H.; Liu, F.; Qi, X.; Xin, F. The role of primary Laves phase on the crack initiation and propagation in Thermo-Span alloy. Mater. Res. Innov. 2005, 19, S68–S72. [Google Scholar] [CrossRef]
- Fink, C. An investigation on ductility-dip cracking in the base metal heat-affected zone of wrought nickel base alloys—Part I: Metallurgical effects and cracking mechanism. Weld. World 2016, 60, 939–950. [Google Scholar] [CrossRef]
- Collins, M.G.; Ramirez, A.J.; Lippold, J. An investigation of ductility-dip cracking in nickel-based weld metals—Part I. Weld. J. 2004, 83, 39–49. [Google Scholar]
- Thompson, R.G. Microfissuring of Alloy 718 in the Weld Heat-Affected Zone. JOM 1988, 40, 44–48. [Google Scholar] [CrossRef]
- Martin, J.H.; Yahata, B.D.; Hundley, J.M.; Mayer, J.A.; Schaedler, T.A.; Pollock, T.M. 3D printing of high-strength aluminium alloys. Nature 2017, 549, 365–369. [Google Scholar] [CrossRef]
- Liu, Y.; Wu, D.; Gao, Z.; Gong, X.; Shao, Y.; Cao, Y.; Gao, Y.; Zou, Y. Influence of cold metal transfer welding parameters on the welding hot crack of Mar-M247 nickel-based superalloy. J. Mater. Res. Technol. 2024, 30, 6341–6354. [Google Scholar] [CrossRef]
- Qiu, C.; Chen, H.; Liu, Q.; Yue, S.; Wang, H. On the solidification behaviour and cracking origin of a nickel-based superalloy during selective laser melting. Mater. Charact. 2019, 148, 330–344. [Google Scholar] [CrossRef]
- Yang, C.; Xu, Y.; Nie, H.; Xiao, X.; Jia, G.; Shen, Z. Effects of heat treatments on the microstructure and mechanical properties of Rene 80. Mater. Des. 2013, 43, 66–73. [Google Scholar] [CrossRef]
- Garosshen, T.J.; McCarthy, G.P. Low temperature carbide precipitation in a nickel base superalloy. Metall. Mater. Trans. A 1985, 16, 1213–1223. [Google Scholar] [CrossRef]
- Guo, C.; Li, G.; Li, S.; Hu, X.; Lu, H.; Li, X.; Xu, Z.; Chen, Y.; Li, Q.; Lu, J.; et al. Additive manufacturing of Ni-based superalloys: Residual stress, mechanisms of crack formation and strategies for crack inhibition. Nano Mater. Sci. 2023, 5, 53–77. [Google Scholar] [CrossRef]
- Hall, E.O.; Algie, S.H. The Sigma Phase. Met. Rev. 1966, 11, 61–88. [Google Scholar] [CrossRef]
- Wang, C.; Wu, Y.; Guo, Y.; Guo, J.; Zhou, L. Precipitation Behavior of Sigma Phase and Its Influence on Mechanical Properties of a Ni-Fe Based Alloy. J. Alloys Compd. 2019, 784, 266–275. [Google Scholar] [CrossRef]
- Sun, F.; Zhang, J.; Liu, P.; Feng, Q.; Han, X.; Mao, S. High Resolution Transmission Electron Microscopy Studies of σ Phase in Ni-Based Single Crystal Superalloys. J. Alloys Compd. 2012, 536, 80–84. [Google Scholar] [CrossRef]
- Sengupta, S.; Krishnamurthy, H.R.; Ramakrishnan, T.V. A Microscopic Theory of the f.c.c.-b.c.c. Interface. Europhys. Lett. 1994, 27, 587–592. [Google Scholar] [CrossRef]
- Goodfellow, A.J. Strengthening mechanisms in polycrystalline nickel-based superalloys. Mater. Sci. Technol. 2018, 34, 1793–1808. [Google Scholar] [CrossRef]
- Xu, J.; Lin, X.; Guo, P.; Yang, H.; Xue, L.; Huang, W. The microstructure evolution and strengthening mechanism of a γ′-strengthening superalloy prepared by induction-assisted laser solid forming. J. Alloys Compd. 2019, 780, 461–475. [Google Scholar] [CrossRef]
- Gladman, T. Precipitation hardening in metals. Mater. Sci. Technol. 1999, 15, 30–36. [Google Scholar] [CrossRef]
- Wei, B.; Ji, H.; Guo, J. Effect of heat treatments on the microstructure and mechanical properties of René 104 superalloy manufactured by selective laser melting. Mater. Charact. 2023, 200, 112838. [Google Scholar] [CrossRef]
- Hall, E.O. The Deformation and Ageing of Mild Steel: III Discussion of Results. Proc. Phys. Soc. B 1951, 64, 747–753. [Google Scholar] [CrossRef]
- Galindo-Nava, E.I.; Connor, L.D.; Rae, C.M.F. On the prediction of the yield stress of unimodal and multimodal γ′ Nickel-base superalloys. Acta Mater. 2015, 98, 377–390. [Google Scholar] [CrossRef]
- Vela, B.; Khatamsaz, D.; Acemi, C.; Karaman, I.; Arróyave, R. Data-augmented modeling for yield strength of refractory high entropy alloys: A Bayesian approach. Acta Mater. 2023, 261, 119351. [Google Scholar] [CrossRef]
- Acharya, R.; Bansal, R.; Gambone, J.J.; Kaplan, M.A.; Fuchs, G.E.; Rudawski, N.G.; Das, S. Additive Manufacturing and Characterization of René 80 Superalloy Processed Through Scanning Laser Epitaxy for Turbine Engine Hot-Section Component Repair. Adv. Eng. Mater. 2015, 17, 942–950. [Google Scholar] [CrossRef]
- Barjesteh, M.M.; Abbasi, S.M.; Zangeneh, M.K.; Shirvani, K. The effect of heat treatment on characteristics of the gamma prime phase and hardness of the nickel-based superalloy Rene®80. Mater. Chem. Phys. 2019, 227, 46–55. [Google Scholar] [CrossRef]
- Sidhu, R.K.; Ojo, O.A.; Chaturvedi, M.C. Microstructural Response of Directionally Solidified René 80 Superalloy to Gas-Tungsten Arc Welding. Met. Mater. Trans. A 2009, 40, 150–162. [Google Scholar] [CrossRef]








| Ni | Cr | Co | Mo | W | Ti | Al | Fe | Si | C | Zr | B | |
|---|---|---|---|---|---|---|---|---|---|---|---|---|
| René 80-type | 59.33 | 14.52 | 8.66 | 3.97 | 5.08 | 5.21 | 3.09 | 0.09 | 0.03 | 0.025 | - | - |
| René 80 [33] | bal. | 13.7–14.3 | 9.0–10.0 | 3.7–4.3 | 3.7–4.3 | 4.8–5.2 | 2.8–3.2 | 0–0.35 | 0–0.10 | 0.15–0.19 | 0.02–0.10 | 0.01–0.02 |
| Mode | Power, W | Scanning Speed, mm/s | Powder Feeding Speed, g/min | Laser Spot Size, mm | Height Offset, mm | Energy Input, J/mm |
|---|---|---|---|---|---|---|
| 1 | 200 | 3 | 2.5 | 0.9 | 0.2 | 67 |
| 2 | 1800 | 10 | 15.8 | 2.5 | 0.6 | 180 |
Disclaimer/Publisher’s Note: The statements, opinions and data contained in all publications are solely those of the individual author(s) and contributor(s) and not of MDPI and/or the editor(s). MDPI and/or the editor(s) disclaim responsibility for any injury to people or property resulting from any ideas, methods, instructions or products referred to in the content. |
© 2024 by the authors. Licensee MDPI, Basel, Switzerland. This article is an open access article distributed under the terms and conditions of the Creative Commons Attribution (CC BY) license (https://creativecommons.org/licenses/by/4.0/).
Share and Cite
Klimova, M.; Dmitrieva, A.; Korsmik, R.; Zadykyan, G.; Astakhov, I.; Yurchenko, N.; Zherebtsov, S.; Stepanov, N.; Klimova-Korsmik, O. Cracking Behaviour of René 80-Type Superalloy During Laser-Based Directed Energy Deposition. Metals 2024, 14, 1434. https://doi.org/10.3390/met14121434
Klimova M, Dmitrieva A, Korsmik R, Zadykyan G, Astakhov I, Yurchenko N, Zherebtsov S, Stepanov N, Klimova-Korsmik O. Cracking Behaviour of René 80-Type Superalloy During Laser-Based Directed Energy Deposition. Metals. 2024; 14(12):1434. https://doi.org/10.3390/met14121434
Chicago/Turabian StyleKlimova, Margarita, Anastasiia Dmitrieva, Rudolf Korsmik, Grigoriy Zadykyan, Ilya Astakhov, Nikita Yurchenko, Sergey Zherebtsov, Nikita Stepanov, and Olga Klimova-Korsmik. 2024. "Cracking Behaviour of René 80-Type Superalloy During Laser-Based Directed Energy Deposition" Metals 14, no. 12: 1434. https://doi.org/10.3390/met14121434
APA StyleKlimova, M., Dmitrieva, A., Korsmik, R., Zadykyan, G., Astakhov, I., Yurchenko, N., Zherebtsov, S., Stepanov, N., & Klimova-Korsmik, O. (2024). Cracking Behaviour of René 80-Type Superalloy During Laser-Based Directed Energy Deposition. Metals, 14(12), 1434. https://doi.org/10.3390/met14121434

