Physical Simulation of Gas–Liquid Mass Transfer Behavior in Oxygen Bottom Blowing Copper Furnace
Abstract
1. Introduction
2. Materials and Methods
2.1. Experimental Setup and Design Parameters
2.1.1. Establishment of Physical Model
2.1.2. Selection of Experimental Parameters
2.2. Experimental Principles and Procedures
2.2.1. Experimental Principles
2.2.2. Experimental Procedures
3. Results and Discussion
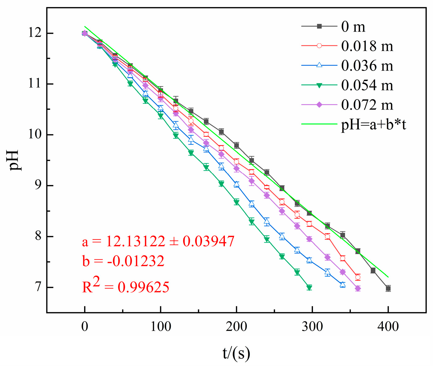
3.1. Effect of Insertion Depth on Molten Bath
3.2. Effect of Horizontal Distance on Molten Bath
3.3. Effect of Deflector Hole Diameter on Molten Bath
3.4. Effect of Gas Flow Rate on Molten Bath
3.5. Factorial Analysis and Derivation of Empirical Formulae
4. Conclusions
- The inclusion of the retaining wall device promotes the chemical reaction, accelerates the gas–liquid mass transfer efficiency, and improves the CO2 gas utilization rate. With the retaining wall inserted at a depth of 0.054 m, a horizontal distance of 1.18 m, gas flow rate is 3.0 Nm3/h, and no diversion hole, the chemical reaction efficiency is increased by 31.4% compared with that without the retaining wall, and the gas–liquid mass transfer efficiency is the highest, with a CO2 gas utilization rate of 30.4%.
- The empirical formula for the AK volumetric mass transfer coefficient is derived after extensive experiments and calculations:
Author Contributions
Funding
Data Availability Statement
Conflicts of Interest
References
- Wang, Q.; Guo, X.; Tian, Q. Copper smelting mechanism in oxygen bottom-blown furnace. Trans. Nonferrous Met. Soc. China 2017, 27, 946–953. [Google Scholar] [CrossRef]
- Xu, L.; Chen, M.; Wang, N. Chemical wear mechanism of magnesia-chromite refractory for an oxygen bottom-blown copper-smelting furnace: A post-mortem analysis. Ceram. Int. 2020, 47, 2908–2915. [Google Scholar] [CrossRef]
- Lu, T.; Mu, L.; Xiao, Y.; Zhao, H.; Liu, F. CFD Study on Bottom-Blown Copper Smelting Furnace with Unsymmetric Gas Injection. J. Sustain. Metall. 2022, 8, 1235–1244. [Google Scholar] [CrossRef]
- Zhang, Z.; Yan, H.; Liu, F.; Wang, J. Optimization analysis of lance structure parameters in oxygen enriched bottom-blown furnace. Chin. J. Nonferrous Met. 2013, 23, 1471–1478. [Google Scholar]
- Guo, X.; Jiang, B. Effect of oxygen lance seat arrangement on flow characteristics of large-scale copper smelter bottom-blown furnace. J. Cent. South Univ. 2023, 30, 2542–2555. [Google Scholar] [CrossRef]
- Wang, Q.; Guo, X.; Wang, S. Multiphase equilibrium simulation of bottom-blown copper smelter process. Trans. Nonferrous Met. Soc. China 2017, 27, 2503–2511. [Google Scholar] [CrossRef]
- Jiang, B.; Wang, Q.; Tang, D. Numerical simulation and process parameters optimization of large oxygen bottom-blown furnace molten bath. Nonferrous Met. (Smelter) 2021, 12, 11–19. [Google Scholar]
- Su, X.; Wang, S.; Wang, Z. Numerical simulation of the evolution characteristics of dual-side blowing gas-slag-matte multiphase flow patterns. Nonferrous Met. (Smelter) 2023, 6, 51–60. [Google Scholar]
- Shao, P.; Zhang, T.; Liu, Y. Mathematical simulation of gas-liquid flow in bottom-blown copper matte converting furnace. J. Northeast. Univ. Nat. 2012, 33, 1303–1306+1318. [Google Scholar]
- Hoang, Q.N.; Ramírez-Argáez, M.A.; Conejo, A.N.; Blanpain, B.; Dutta, A. Numerical Modeling of Liquid–Liquid Mass Transfer and the Influence of Mixing in Gas-Stirred Ladles. JOM 2018, 70, 2109–2118. [Google Scholar] [CrossRef]
- Lang, S.; Cui, Z.; Ma, X. A Water Model Study on Mixing Behavior of the Two-Layered Bath in Bottom Blown Copper smelter Furnace. JOM 2018, 70, 2065–2070. [Google Scholar]
- Lang, S.; Cui, Z.; Ma, X. Understanding of Bath Surface Wave in Bottom Blown Copper smelter Furnace. JOM 2016, 47, 135–144. [Google Scholar]
- Lang, S.; Ma, X.; Cui, Z. An Investigation of the Behavior of the Surficial Longitudinal Wave in a bottom-blown copper smelter. JOM 2018, 70, 2119–2127. [Google Scholar]
- Wang, D.; Liu, Y.; Zhang, Z. PIV measurements on physical models of bottom blown oxygen copper smelter furnace. Can. Metall. Q. 2017, 56, 221–231. [Google Scholar] [CrossRef]
- Liu, Y.; Yang, T.; Chen, Z. Experiment and numerical simulation of two-phase flow in oxygen enriched side-blown furnace. Trans. Nonferrous Met. Soc. China 2020, 30, 249–258. [Google Scholar] [CrossRef]
- Sun, F.; Wen, Z. Hydraulic experiment on mushroom head in bottom-blown copper smelter. J. Iron Steel Res. Int. 2017, 24, 490–494. [Google Scholar]
- Liu, Y. Study on Bubble Refining and Dispersion of a New Mechanical Stirring Jet Refining Device. Ph.D. Thesis, Northeastern University, Shenyang, China, 2008. [Google Scholar]
- Shao, P.; Jiang, L. Flow and Mixing Behavior in a New Bottom Blown Copper Smelting Furnace. Int. J. Mol. Sci. 2019, 20, 5757. [Google Scholar] [CrossRef] [PubMed]
- Conejo, A.N. Physical and Mathematical Modelling of Mass Transfer in Ladles due to Bottom Gas Stirring: A Review. Processes 2020, 8, 750. [Google Scholar] [CrossRef]
- Lou, W.; Zhu, M. Numerical Simulations of Inclusion Behavior and Mixing Phenomena in Gas-stirred Ladles with Different Arrangement of Tuyeres. ISIJ Int. 2014, 54, 9–18. [Google Scholar] [CrossRef]
- Yuan, Z.; Peng, J. Study on the mass transfer process in copper smelter molten bath. Chem. Eng. J. 1992, 4, 374–381. [Google Scholar]
- Hao, L.; Zheng, C.; Zhang, J. Determination of volumetric mass transfer coefficient in CO2 absorption model. Int. J. Min. Met. Mater. 2012, 11, 98–101. [Google Scholar]
- Stapurewicz, T.; Themelis, N.J. Mixing and mass transfer phenomena in bottom-injected gas–liquid reactors. Can. Metall. Q. 1987, 26, 123–128. [Google Scholar] [CrossRef]
- Saito, A.; Watanabe, T. Influence of the tensile strength characteristics on the rate of CO2 absorption in NaOH aqueous solution. Tetsu Hagane 1976, 62, 807–816. [Google Scholar]
- Li, H.; Prakash, A. Influence of slurry concentrations on bubble population and their rise velocities in a three-phase slurry bubble column. Powder Technol. 2000, 54, 158–167. [Google Scholar] [CrossRef]















| Parameter | Water Model Value | Condition Model |
|---|---|---|
| Bath lengths/m | 1.691 | 15.718 |
| Bath height/m | 0.160 | 1.5 |
| Bath diameter/m | 0.381 | 3.535 |
| Number of oxygen lance | 18 | 9/18 |
| Diameter of oxygen lance/mm | 3.2 | 30 |
| Working medium | 0.01% NaOH (Anshan, China) | Copper matte |
| Project | H, mm | L, mm | D, mm | Q, Nm3/h |
|---|---|---|---|---|
| H | 0 | 1180 | 0 | 3.0 |
| 18 | 1180 | 0 | 3.0 | |
| 36 | 1180 | 0 | 3.0 | |
| 54 | 1180 | 0 | 3.0 | |
| 72 | 1180 | 0 | 3.0 | |
| L | 54 | 1110 | 0 | 3.0 |
| 54 | 1180 | 0 | 3.0 | |
| 54 | 1250 | 0 | 3.0 | |
| Q | 54 | 1180 | 0 | 2.1 |
| 54 | 1180 | 0 | 3.0 | |
| 54 | 1180 | 0 | 3.9 | |
| 54 | 1180 | 0 | 4.8 | |
| 54 | 1180 | 0 | 5.7 | |
| D | 54 | 1180 | 0 | 3.0 |
| 54 | 1180 | 20 | 3.0 | |
| 54 | 1180 | 40 | 3.0 | |
| 54 | 1180 | 60 | 3.0 |
Disclaimer/Publisher’s Note: The statements, opinions and data contained in all publications are solely those of the individual author(s) and contributor(s) and not of MDPI and/or the editor(s). MDPI and/or the editor(s) disclaim responsibility for any injury to people or property resulting from any ideas, methods, instructions or products referred to in the content. |
© 2024 by the authors. Licensee MDPI, Basel, Switzerland. This article is an open access article distributed under the terms and conditions of the Creative Commons Attribution (CC BY) license (https://creativecommons.org/licenses/by/4.0/).
Share and Cite
Zhang, Z.; Shao, P.; Shi, S. Physical Simulation of Gas–Liquid Mass Transfer Behavior in Oxygen Bottom Blowing Copper Furnace. Metals 2024, 14, 1362. https://doi.org/10.3390/met14121362
Zhang Z, Shao P, Shi S. Physical Simulation of Gas–Liquid Mass Transfer Behavior in Oxygen Bottom Blowing Copper Furnace. Metals. 2024; 14(12):1362. https://doi.org/10.3390/met14121362
Chicago/Turabian StyleZhang, Zelei, Pin Shao, and Shuyu Shi. 2024. "Physical Simulation of Gas–Liquid Mass Transfer Behavior in Oxygen Bottom Blowing Copper Furnace" Metals 14, no. 12: 1362. https://doi.org/10.3390/met14121362
APA StyleZhang, Z., Shao, P., & Shi, S. (2024). Physical Simulation of Gas–Liquid Mass Transfer Behavior in Oxygen Bottom Blowing Copper Furnace. Metals, 14(12), 1362. https://doi.org/10.3390/met14121362
