Next Article in Journal
High-Entropy Alloy Laser Cladding with Cable-Type Welding Wire: Experimental Study and First-Principles Calculations
Previous Article in Journal
Modeling and Monitoring of the Tool Temperature During Continuous and Interrupted Turning with Cutting Fluid
 
 
Font Type:
Arial Georgia Verdana
Font Size:
Aa Aa Aa
Line Spacing:
Column Width:
Background:
Article

Steel Chips as a Raw Material for MEX

by
Catarina Duarte Batista
1,2,* and
Maria Teresa Freire Vieira
2
1
CDRSP—Centre for Rapid and Sustainable Product Development, Polytechnic Institute of Leiria, Rua General Norton de Matos, Apartado 4133, 2411-901 Leiria, Portugal
2
CEMMPRE—Centre for Mechanical Engineering, Materials and Processes, University of Coimbra, Pinhal de Marrocos, 3030-788 Coimbra, Portugal
*
Author to whom correspondence should be addressed.
Metals 2024, 14(11), 1293; https://doi.org/10.3390/met14111293
Submission received: 8 October 2024 / Revised: 10 November 2024 / Accepted: 13 November 2024 / Published: 15 November 2024
(This article belongs to the Special Issue Advances in Recycling and Reuse of Metals)

Abstract

In recent years, metal chip powders obtained from solid-state processes have shown great potential as a sustainable raw material for powder technologies. The material and fragmentation process of the chips has a significant role in the final characteristics of the powder particles, such as size and particle size distribution, shape, surface, and structure, which are essential parameters to consider when converting chips to powder for applications. However, tool steel chips as a powder raw material have not yet been significantly studied. In this study, the steel chips were from machining AISI H13 steel and the milling process used a ball mill, and the challenge was to obtain powder particle sizes of around 20 µm with suitable properties from the application of envisaged material extrusion (MEX). A comparison study with the commercial raw material for MEX, such as powder metal filament extrusion, was performed. This study highlights the behaviors of chip powders during all steps of MEX, namely, feedstock and filament production, 3D object shaping, thermal de-binding, and sintering. A comparison of the mixture based on powder from chips and commercial powders for MEX was performed after evaluating the mixing torque of the powder and the system of binders and additives suitable for the rheological characteristics required for an extrusion mixture, and optimizing the binder removal and the sintering conditions. The 3D objects resulting from chip powders had a refined microstructure, showing an increase of 15% in the microhardness when compared with the those resulting from commercial powders.

1. Introduction

The actual industry objective is the sustainability of manufacturing processes, creating products with excellent characteristics and low costs. A holistic approach is necessary for sustainable manufacturing, considering environmental, economic, and social impacts throughout the manufacturing process. With the contribution of innovation, reducing raw material consumption, energy, and waste are the primary objectives to make any process sustainable and are essential for adapting to the evolution of environmental challenges and opportunities.
It is unquestionable that the waste generated by the subtractive metalworking industry is predominantly composed of tool steel waste. The prevailing trend within the industry is to transform steel waste into commercial steel via the steelmaking processes to reduce the extraction of natural raw materials, but normally to low exigent applications of steels. This research demonstrates that steel chips can be a source of a novel raw material powder for additive processes, potentially displacing conventional atomization processes. Furthermore, the utilization of chip powders under optimized conditions has the potential to enhance the properties of 3D objects, offering a competitive alternative to conventional powders.
Atomization is the most common technique for producing metal powders, but it requires, among others, the formation of a liquid phase, which implies significant energy consumption. The reuse of tool steel chips as a raw material for additive manufacturing (AM) can be an approach to achieve sustainability in powder-based processes and aligns with the circular economy principle, which is a critical component of the European Green Deal, and with the aim of the 12th goal of the 2030 Agenda for Sustainable Development of the UN. Tool steel chips are undoubtedly generated by the subtractive processes used in mold production. The chips resulting from the cutting process have different characteristics concerning size and structure, related to the machining, tool material, cutting configuration (tool geometry and cutting angles), the cutting parameters (feed, speed, and depth of cut), and the tool/workpiece behavior. AISI H13 steel is undoubtedly one of the most widely used tool steels in the mold industry and during chip cutting, and under one of the most demanding finishing conditions, i.e., high-speed machining (HSM), it can improve nanocrystalline chips [1].
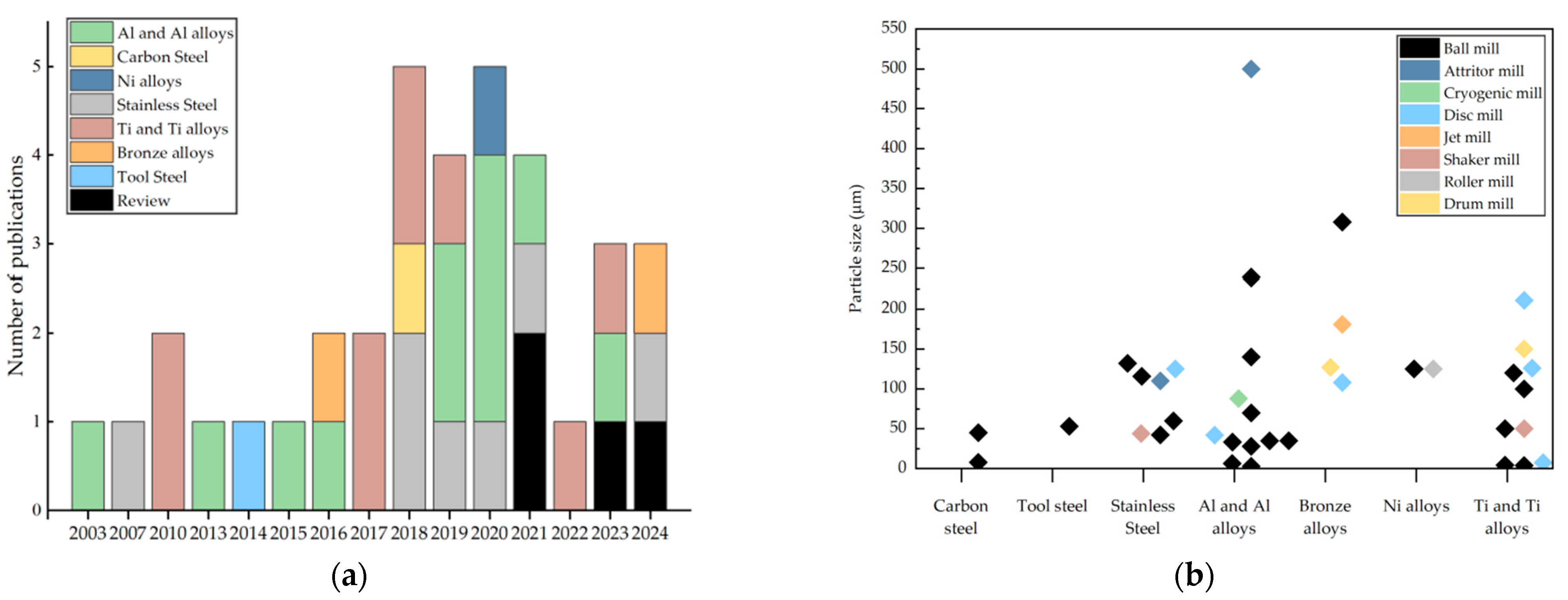
Moreover, the possibility of mechanically reducing chips to powder particles has been studied recently as an unconventional process for producing metal powders, particularly austenitic stainless steel [2,3,4,5,6,7,8,9,10,11,12,13,14,15,16,17,18,19,20,21,22,23,24,25,26,27,28,29,30,31,32,33,34,35,36,37,38] (Figure 1). These studies differ not only in the type of material and starting chip size but also in the use of different types of mills (ball, attritor, disc, jet, drum, roller, cryogenic, and shake) and other milling conditions (speed, powder-to-ball ratio (PBR), process control agent (PCA), atmosphere, and time). Concerning tool steels, the highest chip size refinement reported reached a d50 of 53 µm in a planetary ball mill at 450 rpm, with a PBR of 1:20, under 5% H2–Ar [18]. Milling metal chips into a powder requires high plastic deformation to promote chip fracture. This process can cause different degrees of metastability in “new particle materials”, such as nanostructures. In addition, the final properties of the resulting powder, such as particle size, particle size distribution, shape factor, structure, and surface (5Ss), are different [36]. Thus, depending on the method of reducing the particle size, it is possible to obtain powder particles with the characteristics required by a specific additive process. The studies that use the powder particles of metallic materials resulting from machining in additive manufacturing have focused on direct additive processes that use fusion as a means of consolidation [15,17,27,39].
The additive manufacturing technique selected in this study is designated as MEX, enabling the production of components exhibiting complex geometry, minimal thicknesses, and superior surface quality. This technology could be deemed the most sustainable technology in additive manufacturing. Only the necessary quantity of powder is used, and green components that do not correspond to the desired characteristics can be reintroduced into the MEX [40]. Nevertheless, following the shaping stage, it is essential to undertake de-binding and sintering, phases that are associated with high energy consumption.
The filament based on steel powder used in MEX is usually made up of high-content steel powder particles (>50% vol.), spherical in shape, with d50~10 µm [41,42,43,44,45,46,47,48,49,50,51,52,53]. However, some studies also used larger particle sizes of up to 50 µm [48,54,55]. The metallic powder particles constitute the main component of the feedstock, which is mixed with binders and additives to achieve the requisite rheological properties for the production of flexible filaments.
The de-binding stage is the fundamental step in the MEX of defect production, such as bubbles, surface cracks, and internal voids. Furthermore, it is also the most time-consuming and energy-intensive process. The use of inert or vacuum atmospheres refutes the exothermic reactions that occur between polymers and oxygen, thus preventing the mechanisms that control the elimination process from being obscured and reducing the probability of defects occurring [56]. Protective atmospheres, including nitrogen, argon, hydrogen, and helium, prevent metal oxidation during de-binding and sintering [57].
The main research objective of the present study was to optimize chip production of powder particles from chips for use in MEX (filament). This powder technology is the most exigent concerning powder characteristics since the consolidation process is sintering. For MEX, the powders resulting from mechanical milling must have a d50 of less than 20 µm. This low value requires different milling conditions and specific atmospheres. One of the challenges to be overcome is the particles’ shape factor, structure, and surface, which must be suitable for achieving homogeneity in the mixture of powders with binder and additives and surface conditions for effective sintering.
In consequence, this study aims to establish the relationship between the characteristics of the chip powder, filament, and 3D object and those resulting from commercial powders.

2. Materials and Methods

Among the various subtractive operations that produce AISI H13 steel chips, the most common was selected—roughing. The tool material used in the cutting operations was carbide (WC + Co), with compressed air as a cooling fluid. Even so, the chips were contaminated with lubricants due to the disposal process. The conditions that generated chips used in this study are summarized in Table 1.
For removing contamination and cooling fluids, a cleaning protocol was followed using a solution of amphoteric surfactants and phenoxyethanol, followed by a solution of acetone and alcohol, always assisted by ultrasounds. After this procedure, the chips were placed in an oven at 50 °C. The chips generally had a geometry similar to a serrated “comma” and were millimeter-sized at least in one dimension, as shown in Figure 2.
Chemical elemental analyses were performed on machined steel and the resulting chips. Bulk was analyzed using electric spark optical emission spectrometry on a LACM12 device (Spectrolab, Kleve, Germany); however, it was not possible to ascertain the quantity of V. The chips were analyzed using X-ray fluorescence spectrometry on the S8 Tiger device (Bruker, Billerica, MA, USA) after prior pressing.
The steel chips were milled using a Pulverisette 5/4 classic line planetary ball mill (Fritsch, Idar-Oberstein, Germany) in four 500 mL cylindrical stainless-steel jars. The conditions used for milling were based on previous studies for AISI H13 steel chips [18], and along with a planetary ball mill with different maximum rotation speeds and different jar volumes, a ball-to-powder ratio (BPR) of 1:10, a protective and reducing atmosphere of 5% H2–Ar, 25 balls of 20 mm in diameter, and a 15 min grinding cycle with a 10 min pause in the reverse mode were used.
The particle size distribution was analyzed using laser diffraction spectrometry (LDS) by the Fraunhofer model in the Mastersizer 3000 (Malvern Instruments, Malvern, UK). To analyze the width of the particle size distribution curve, the slope parameter (Sw) was evaluated [58]. The efficiency of the chip reduction size methodology and particle size was analyzed using a 0.7 Shaker (MGS SRL, Stanghella, Italy) with different sieves (100, 45, and 30 mesh; Retsch, Haan, Germany). The shape factor of the powder particles was evaluated through a series of measurements of the different particle sizes from microphotographs via DM750M optical microscopy with an ICC50 W camera and LAS X 4.0 software (Leica, Wetzlar, Germany). Furthermore, a qualitative analysis of the particle topology was conducted using the ISO 3252:2023 standard [59]. The intrinsic flowability was measured by the Flodex method, allowing the particle friction coefficient (k) calculation. The topographical analysis of the chips and resulting powders was analyzed using scanning electron microscopy (SEM) on the Quanta 400FEG SEM (FEI, Hillsboro, OR, USA). The phase composition of the particles before and after grinding was obtained by the X-ray diffraction (XRD) X’Pert (Philips, Farnborough, UK) automatic diffractometer with Bragg–Brentano geometry, with cobalt radiation kα1 = 0.178897 nm and kα2 = 0.179285 nm. Electron backscatter diffraction (EBSD) maps were acquired in Quanta 400FEG SEM (FEI, Hillsboro, OR, USA) and datasets were processed in OIM Analysis™ 5.2 according to the procedure in Table 2.
The microhardness tests were carried out using Vickers indentation tests on Duramin (Struers, Ballerup, Denmark) with a load of 0.5 N on the chips and 1 N on the sintered 3D objects.
The binder and additive system were based on the study carried out by Cerejo et al. about the optimization of feedstock composition for MEX filaments [52]. The main binder used was M1 (ATECT Corp., Higashiōmi, Japan), and the additives were SEBS elastomer (Kraton, Houston, TX, USA) and diisodecyl phthalate (Merck KGaA, Darmstadt, Germany). A thermogravimetric analysis was performed in the temperature range of 30 to 500 °C at a heating rate 10 °C/min in a helium atmosphere using a Simultaneous Thermal Analyzer (STA) 6000, and the data were processed using PyrisTM (PerkinElmer, Waltham, MA, USA). Mixing torque was evaluated on the Haake PolyLab OS RheoDrive4 (Thermo Fisher, Waltham, MA, USA) with Z blades at a rotation speed of 30 rpm. The apparent density was calculated through the Archimedes’ principle, and the measurements were performed with an AG204 device (Mettler Toledo, Dubai, UAE).
Then, the production of the filament was manufactured in a single-screw extruder (Brabender GmbH & Co., Duisburg, Germany). Microcomputed tomography (micro-CT) was conducted in a SkyScan 1275 (Bruker, Billerica, MA, USA) to evaluate the defects of the 3D objects as green and sintered. The mechanical characterization of filaments was evaluated through bending tests on distinct filaments. The three-point bending tests were performed on the TA.XTplusC (Stable Micro Systems, Godalming, UK), applying a 50 N load cell, a span of 20 mm, and a rate of 0.5 mm/min.
Cylindrical 3D objects with a diameter of 10 mm were shaped using the 3D printer i3 MK3 3D (Pruza, Prague, Czech Republic). The shaping occurred at an extrusion temperature of 180 °C, table temperature of 60 °C, and a nozzle diameter of 0.4 mm. The Ultimaker Cura 5.2.0 software was employed to create the slicing, with the parameters set to 100% fill and a layer height of 200 µm. The de-binding and sintering thermal cycles were performed in a 304/2022 metal sintering furnace (Termolab, Aveiro, Portugal).

3. Results and Discussion

This section is divided into four subheadings: chips as received, powder particles from chips, powder to filament, and filament to 3D object. It presents a brief and precise description and discussion of the experimental results.

3.1. Chips as Received

The cutting tool contact with the H13 steel to be machined or the roughing and finishing operations result in different morphology and surface characteristics of chips. The front surface, which is not in contact with the tool, is rougher than the surface on the back of the chip. The front and back surfaces of the chips are shown in Figure 3.
Chemical elemental analyses assessed whether the subtractive method resulted in chemical element losses in the chips. Table 3 shows that the chemical composition of the bulk and its resulting chips after milling were similar.
The commercial powder typically resulting from atomization of the bulk steel after fusion and submitted to a fluid to produce powder was the standard. It was supplied by Sandvick Osprey Ltd. (UK). This powder was chosen due to having the perfect conditions for MEX—a smooth surface and a shape factor close to 1 (Figure 4).
The chip resulting from milling operations was subjected to an evaluation of its microstructure by EBSD. A zone that included the edge (zone of contact with the tool) was selected to obtain the crystallographic map (Figure 5). The high-angle grain boundary (HAGB) and low-angle grain boundary (LAGB) results are shown in Figure 6.
Based on the EBSD image, it is possible to identify two distinct grain sizes: larger, elongated grains and smaller, spherical grains, with a greater incidence on the periphery of the chip. Through the interception of horizontal lines, the smallest distance was around 120 nm, and the largest was 1.56 µm. The orientation of the grains in the image was predominantly 110°. The XRD (Figure 7) revealed the presence of a ferrite/martensite phase (bcc structures) characteristic of H13 steel. The microhardness of the chip was 6.32 ± 0.48 GPa.

3.2. Powder Particles from Chips

The size of milling chips was not a problem for milling because the chips resulting from H13 steel have a high hardness associated with fragility. It was also shown that after 45 min of milling under 5% H2–Ar atmosphere, the chips with signals of surface oxidation turned into their characteristic color.
A planetary ball mill was selected with the capacity to operate with four jars simultaneously, where the PBR and atmosphere were constants. A two-stage milling was conducted in 45 min at 400 rpm, followed by 270 min at 300 rpm (condition A). Subsequently, the possibility of continuous milling was tested, i.e., without changing the programmed cycle, for 270 min at 300 rpm (condition B). Condition B was the methodology that induced the production of powders with the highest percentage of weight below 30 µm (Figure 8).
In this context, an increase in milling time is unlikely to result in an enhanced production of smaller particles. This is possibly due to the bonding effect between particles that may emerge during longer milling periods.
Sieved powder particles resulting from milling with a particle size of lower than 30 µm showed potential use in MEX. A concise characterization based on the powder particle 5Ss was performed to select the particle powders from chips. The morphology and the surface of the powder particles after milling are shown in Figure 9.
In general, the resulting powder particles had a nodular shape [59], and the average shape factor of 0.76. The curve of particle size distribution of the powder is shown in Figure 10. The comparisons of the particle size distribution, distribution slope parameter (Sw), and coefficient of friction (k) of the two types of powders are shown in Table 4.
All the particle size distributions were within the desirable parameters for extrusion, the distribution should not be too narrow or too wide, and the Sw parameter should be between 2 and 7 [58]. Commercial powder particles were significantly smaller than those resulting from the chips, which could lead to increased interparticle forces (such as van der Waals forces) and potentially higher friction due to high surface areas.
The microstructure of the resulting powders was analyzed by EBSD to see if the subtractive processes that originated them also influenced the powder particles after milling. The preliminary analysis did not reveal differences in grain size between the edges and the center of the particle, so the crystallographic maps in the selected zone of the particle were acquired (Figure 11). The high-angle grain boundaries (HAGBs) and low-angle grain boundaries (LAGBs) are shown in Figure 12.
The orientation of the grains was predominantly 45°. In terms of grain shape, there was a prevalence of elongated grains, with a notable increase in homogeneity in the shape of the grains as a result of milling.
XRD analysis indicated no phase change in the chip powder after milling (Figure 13).

3.3. From Powder to Filament

The filament has properties that result from the trinomial viscosity, flexibility, and rigidity, which should allow it to be processed and rolled up in a way suitable for continuous 3D printing (MEX).
The evaluation of the torque of the mixture as a function of the percentage of powder was carried out for the following types of powder: AISI H13 steel chip powder (50, 55, and 60% vol.) and commercial powder of the same steel (55% vol.; Figure 14). All the curves relating to the powder resulting from chip milling reached the stationary regime more easily and had values slightly higher than those of the commercial powder, even for particle contents equal to or lower than those of the commercial powder. The critical value of the powder content in the mixture (CPVC) was 55% vol. (chip powder). The CPVC value of 55% vol. was selected, keeping in mind the lower content of powder in the feedstocks resulting from chips, meaning a material economy.
Nevertheless, it must be highlighted that in the case of the mixture with commercial powder, the torque corresponding to the stationary regime was slightly lower (1.5 N.m) than the chip powder content (2.3 N.m). The behavior described may be related to the size and distribution of the granulometry, shape, and structure of the two types of powder particles. It should be noted that the critical volume of 55% vol. of powders in the raw material was included in the limits selected as raw material for MEX. On the other hand, the maximum torque value in all the selected cases was compatible with the rheological characteristics required to manufacture the filament and the 3D object (4 N.m).
In the thermal de-binding cycle, any differences in behavior between the commercial powder and the chip powder in the helium atmosphere were detected. Thermogravimetric analysis was carried out on the powder/binder/additive mixtures (Figure 15).
For the thermogravimetric curve of the 55% vol. mixture in a helium atmosphere, the organic degradation began at 240 °C. From this temperature onwards, the degradation started, in the case of the additives, at 384 °C, and of the binder at 443 °C, with the total effectiveness at 481 °C.
The filaments of 1.75 mm in diameter were produced in a single-screw extruder and are shown in Figure 16.
SEM and micro-CT allowed the evaluation of the powder particle distribution along the diameter and length of the filaments. The distribution was homogeneous, without any preferential orientation of the particles in the feedstock. This effect was corroborated by analyzing the cross-section of the filaments (Figure 17 and Figure 18). The significant differences in the filaments resulting from chips and (commercial) atomization were the shape factor and the size of the metal powder particles.
Microtomography enabled the assessment of defects present within the filament cross-section and longitudinal section, including both peripheral and internal areas, produced using various powder materials (Figure 19).
The microtomographic analysis of the filament based on the chip powder showed that there were apparently no defects higher than 10 µm. This result was confirmed by the low standard deviation of the maximum bending stress values measured in the filament (Figure 20). As far as the commercial filament is concerned, it had zones with different intensities, which could mean raw material with different densities, and the surface of the filament showed some irregularities.

3.4. From Filament to 3D Object

The 3D objects were shaped using MEX from the selected filaments (chip powder and commercial powder (55% vol.)) and with the same binder and additive content (Figure 21). The de-binding and sintering stages were followed by a detailed comparison of the 3D objects produced from the different powders.
Due to the difficulty of interlayer adhesion, when shaping with the commercial powder filament, and after several parameter adjustments, it was necessary to increase the deposition speed. For this reason, the layers were more evident and, as can be seen in Figure 22, there were still gaps between the deposition lines in the longitudinal direction. However, under the same filament homogeneity and operation conditions, the powder from the chips produced 3D objects with a uniform interior quality. The apparent (da) and relative (dr) densities followed the discrepancies in defects identified in the two objects (Table 5).
The de-binding and sintering steps followed for the successfully shaped 3D objects (green). The de-binding stages selected were directly related to the degradation curve of the binder systems. A single cycle was carried out to prevent collapsing the brown part and to reduce energy costs. The selected sintering temperature was 1250 °C, the most used temperature for sintering AISI H13 steel parts produced by powder injection molding (PIM) [58,60]. The cycle was performed in 5% H2–He to prevent possible oxidation and to promote better diffusion between powder particles (Figure 23).
Table 6 shows the apparent density, relative density, and shrinkage (Figure 24) of sintered 3D objects, revealing that the conditions of thermal de-binding and sintering were favorable to the final parts’ quality, particularly in the case of chip powder feedstock.
The shape factor of the powder from milled chips seemed to improve the sintering ability. The nodular shape of particles had more points of interparticle contact and improved the volume diffusion.
Figure 25 shows the microstructures of 3D objects after sintering. The average grain size of the 3D object sintered with chip powder was around 6.7 µm, and the object sintered from commercial powder was 22.5 µm. Therefore, with the powder from milled chips, it was possible to obtain a sintered 3D object with a refined microstructure, and consequently with higher values of microhardness.
Microhardness values (CPVC = 55% vol.) of chip powder and commercial powder 3D objects are compared in Table 7.

4. Conclusions

The potential for industrial-scale milling is now a tangible possibility, with feasibility assessments of large-scale milling systems able to inform progress in reducing the environmental impact of energy consumption relative to ton production.
It is also noteworthy that hydrogenated helium has been demonstrated to be an effective atmosphere for achieving optimal extrinsic properties in 3D objects manufactured by MEX.
The methodology developed here undoubtedly makes it possible to fulfill the conditions as a powder raw material for indirect additive processes, such as MEX. However, transforming the steel chips into powders simultaneously produces particle sizes suitable for other additive processes that are less stringent concerning particle size and particle size distribution, such as powder bed fusion (PBF).

Author Contributions

Conceptualization, C.D.B. and M.T.F.V.; methodology, M.T.F.V.; formal analysis, M.T.F.V.; investigation, C.D.B.; data curation, C.D.B.; writing—original draft preparation, C.D.B.; writing—review and editing, M.T.F.V.; supervision, M.T.F.V.; funding acquisition, C.D.B. All authors have read and agreed to the published version of the manuscript.

Funding

This work was carried out within the framework of the “Agendas para a Inovação Empresarial” (Project No. 49, acronym “INOV.AM”, with reference PRR/49/INOV.AM/EE and operation code 02/C05-i01.01/2022.PC644865234-00000004), supported by the RRP—Recovery and Resilience Plan—and by the European Funds of Next-Generation EU: http://www.recuperarportugal.gov.pt/, accessed on 14 November 2024. FCT also supported this work through the following projects: UIDB/00285/2020, UIDB/04044/2020, and UIDP/04044/2020, and under the Associate Laboratory Advanced Production and Intelligent Systems, ARISE, with reference LA/P/0112/2020.

Data Availability Statement

The data that were used are confidential.

Acknowledgments

The authors thank Moldes R.P. from Marinha Grande for providing the AISI H13 chips and Rui Rocha from CEMUP—Materials Centre of the University of Porto, for EBSD data interpretation support.

Conflicts of Interest

The authors declare no conflicts of interest.

References

  1. Santos, R.F.; Farinha, A.R.; Rocha, R.; Batista, C.; Costa Rodrigues, G.; Vieira, M.T. High-Speed Machining Tool-Steel Chips as an Outstanding Raw Material for Indirect Additive Manufacturing? Results Mater. 2021, 11, 100207. [Google Scholar] [CrossRef]
  2. Samuel, M. A New Technique for Recycling Aluminium Scrap. J. Mater. Process. Technol. 2003, 135, 117–124. [Google Scholar] [CrossRef]
  3. Suśniak, M.; Karwan-Baczewska, J.; Dutkiewicz, J.; Actis Grande, M.; Rosso, M. Structure Investigation of Ball Milled Composite Powder Based on AlSi5Cu2 Alloy Chips Modified by SiC Particles. Arch. Metall. Mater. 2013, 58, 437–441. [Google Scholar] [CrossRef]
  4. Canakci, A.; Varol, T. A Novel Method for the Production of Metal Powders without Conventional Atomization Process. J. Clean. Prod. 2015, 99, 312–319. [Google Scholar] [CrossRef]
  5. Çuvalcı, O.; Varol, T.; Akçay, S.B.; Güler, O.; Çanakçı, A. Effect of Ball Mill Time and Wet Pre-Milling on the Fabrication of Ti Powders by Recycling Ti Machining Chips by Planetary Milling. Powder Technol. 2023, 426, 118637. [Google Scholar] [CrossRef]
  6. Uzun, R.O.; Durmuş, H. Effect of Mill Type on Morphology of AA6013 Aluminium Powder. Rev. Mater. 2016, 21, 647–655. [Google Scholar] [CrossRef]
  7. Rofman, O.V.; Prosviryakov, A.S.; Mikhaylovskaya, A.V.; Kotov, A.D.; Bazlov, A.I.; Cheverikin, V.V. Processing and Microstructural Characterization of Metallic Powders Produced from Chips of AA2024 Alloy. JOM 2019, 71, 2986–2995. [Google Scholar] [CrossRef]
  8. Yussoff, S.B.; Hafiez, N.; Nor, M.; Husain, H. Characterisation of Recycled Aluminium Swarf into Fine Powder for MIM Applications via Ball Milling. J. Mech. Eng. 2019, 8, 164–175. [Google Scholar]
  9. Rojas-Díaz, L.M.; Verano-Jiménez, L.E.; Muñoz-García, E.; Esguerra-Arce, J.; Esguerra-Arce, A. Production and Characterization of Aluminum Powder Derived from Mechanical Saw Chips and Its Processing through Powder Metallurgy. Powder Technol. 2020, 360, 301–311. [Google Scholar] [CrossRef]
  10. Pulido-Suárez, P.A.; Uñate-González, K.S.; Tirado-González, J.G.; Esguerra-Arce, A.; Esguerra-Arce, J. The Evolution of the Microstructure and Properties of Ageable Al-Si-Zn-Mg Alloy during the Recycling of Milling Chips through Powder Metallurgy. J. Mater. Res. Technol. 2020, 9, 11769–11777. [Google Scholar] [CrossRef]
  11. Hamilton, J.D.; Rivero, I.V. Recycling Aluminum Chips: Production of Additive Manufacturing Powder through Cryomilling. In Proceedings of the 2020IISE Annual Conference; Institute of Industrial and Systems Engineers: Peachtree Corners, GA, USA, 2020. [Google Scholar]
  12. Nogueira, A.; Dias, O.; Ribeiro Da Silva, M.; Silva, G. Influence of Ball Milling Parameters on Microstructure and Magnetic Properties of Aluminum Bronze Chips Reinforced with Vanadium Carbide. Int. J. Adv. Manuf. Technol. 2021, 115, 2205–2218. [Google Scholar] [CrossRef]
  13. Zafar, F.; Silva, P.; Lopes, C.; Reis, A.; Vieira, M.; Emadinia, O. Upcycling Aluminium Chips to Powder Feedstocks for Powder Metallurgy Applications. In Proceedings of the Euro PM2023 Proceedings, Lisbon, Portugal, 1–4 October 2023. EPMA: 2023. [Google Scholar]
  14. Enayati, M.H.; Bafandeh, M.R.; Nosohian, S. Ball Milling of Stainless Steel Scrap Chips to Produce Nanocrystalline Powder. J. Mater. Sci. 2007, 42, 2844–2848. [Google Scholar] [CrossRef]
  15. Fullenwider, B.; Kiani, P.; Schoenung, J.M.; Ma, K. Two-Stage Ball Milling of Recycled Machining Chips to Create an Alternative Feedstock Powder for Metal Additive Manufacturing. Powder Technol. 2019, 342, 562–571. [Google Scholar] [CrossRef]
  16. Razumov, N.G.; Masaylo, D.V.; Silin, A.O.; Borisov, E.V.; Ozerskoy, N.E.; Goncharov, I.S.; Popovich, A.A. Investigation of Additive Manufacturing from the Heat-Resistant Steel Powder Produced by Recycling of the Machining Chips. J. Manuf. Process. 2021, 64, 1070–1076. [Google Scholar] [CrossRef]
  17. Castanheira, L.; Gil, J.; Amaral, R.; Vieira, T.; Reis, A.; Emadinia, O. Parametrization and Characterization of DED Printings Using Recycled AISI 303 Powder Particles. Powder Technol. 2024, 435, 119453. [Google Scholar] [CrossRef]
  18. Godinho, S.C.; Farinha, A.R.; Trindade, B.; Vieira, M.T. From Chips to Powder Using Ball Milling. In Proceedings of the Euro PM2014—Powder Manufacturing and Processing, Salzburg, Austria, 21–24 September 2014. [Google Scholar]
  19. Verma, P.; Saha, R.; Chaira, D. Waste Steel Scrap to Nanostructured Powder and Superior Compact through Powder Metallurgy: Powder Generation, Processing and Characterization. Powder Technol. 2018, 326, 159–167. [Google Scholar] [CrossRef]
  20. Mahboubi Soufiani, A.; Enayati, M.H.; Karimzadeh, F. Fabrication and Characterization of Nanostructured Ti6Al4V Powder from Machining Scraps. Adv. Powder Technol. 2010, 21, 336–340. [Google Scholar] [CrossRef]
  21. Mahboubi Soufiani, A.; Enayati, M.H.; Karimzadeh, F. Mechanical Alloying Behavior of Ti6Al4V Residual Scraps with Addition of Al2O3 to Produce Nanostructured Powder. Mater. Des. 2010, 31, 3954–3959. [Google Scholar] [CrossRef]
  22. Umeda, J.; Mimoto, T.; Imai, H.; Kondoh, K. Powder Forming Process from Machined Titanium Chips via Heat Treatment in Hydrogen Atmosphere. Mater. Trans. 2017, 58, 1702–1707. [Google Scholar] [CrossRef]
  23. Dikici, T.; Sutcu, M. Effects of Disc Milling Parameters on the Physical Properties and Microstructural Characteristics of Ti6Al4V Powders. J. Alloys Compd. 2017, 723, 395–400. [Google Scholar] [CrossRef]
  24. Nazari, K.A.; Rahman Rashid, R.A.; Palanisamy, S.; Xia, K.; Dargusch, M.S. A Novel Ti-Fe Composite Coating Deposited Using Laser Cladding of Low Cost Recycled Nano-Crystalline Titanium Powder. Mater. Lett. 2018, 229, 301–304. [Google Scholar] [CrossRef]
  25. Shial, S.R.; Masanta, M.; Chaira, D. Recycling of Waste Ti Machining Chips by Planetary Milling: Generation of Ti Powder and Development of in Situ TiC Reinforced Ti-TiC Composite Powder Mixture. Powder Technol. 2018, 329, 232–240. [Google Scholar] [CrossRef]
  26. Ustundag, M.; Varol, R. Comparison of a Commercial Powder and a Powder Produced from Ti-6Al-4V Chips and Their Effects on Compacts Sintered by the Sinter-HIP Method. Int. J. Miner. Metall. Mater. 2019, 26, 878–888. [Google Scholar] [CrossRef]
  27. Dhiman, S.; Joshi, R.S.; Singh, S.; Gill, S.S.; Singh, H.; Kumar, R.; Kumar, V. Recycling of Ti6Al4V Machining Swarf into Additive Manufacturing Feedstock Powder to Realise Sustainable Recycling Goals. J. Clean. Prod. 2022, 348, 131342. [Google Scholar] [CrossRef]
  28. Afshari, E.; Ghambari, M. Characterization of Pre-Alloyed Tin Bronze Powder Prepared by Recycling Machining Chips Using Jet Milling. Mater. Des. 2016, 103, 201–208. [Google Scholar] [CrossRef]
  29. Claudney, M.; Adhimar, O.; Daniela, S.; Patricia, C.; Vander, R.; Mateus, J.; Mirian, M.; Gilbert, S. A New Method to Recycle Stainless–Steel Duplex UNS S31803 Chips. Metals 2018, 8, 546. [Google Scholar] [CrossRef]
  30. Cherkasova, M.; Samukov, A.; Goncharov, I.; Mezenin, A. Influence of the Metal Chips Disintegration Method on the Physical and Mechanical Properties of Metal Powders Obtained. Vibroeng. PROCEDIA 2020, 32, 32–37. [Google Scholar] [CrossRef]
  31. Pereira Mendonça, C.d.S.; Oliveira, A.F.; Oliveira, L.A.; da Silva, M.R.; Motta Melo, M.d.L.N.; Silva, G. Structural and Magnetic Properties of Duplex Stainless Steel (UNS S31803) Powders Obtained by High Energy Milling of Chips with Additions of NbC. Mater. Res. 2018, 21, e20170717. [Google Scholar] [CrossRef]
  32. Jackson, M.A.; Kim, A.; Manders, J.A.; Thoma, D.J.; Pfefferkorn, F.E. Production of Mechanically-Generated 316L Stainless Steel Feedstock and Its Performance in Directed Energy Deposition Processing as Compared to Gas-Atomized Powder. CIRP J. Manuf. Sci. Technol. 2020, 31, 233–243. [Google Scholar] [CrossRef]
  33. Wei, L.K.; Abd Rahim, S.Z.; Al Bakri Abdullah, M.M.; Yin, A.T.M.; Ghazali, M.F.; Omar, M.F.; Nemeș, O.; Sandu, A.V.; Vizureanu, P.; Abdellah, A.E. Producing Metal Powder from Machining Chips Using Ball Milling Process: A Review. Materials 2023, 16, 4635. [Google Scholar] [CrossRef]
  34. Dhiman, S.; Joshi, R.S.; Singh, S.; Gill, S.S.; Singh, H.; Kumar, R.; Kumar, V. A Framework for Effective and Clean Conversion of Machining Waste into Metal Powder Feedstock for Additive Manufacturing. Clean. Eng. Technol. 2021, 4, 100151. [Google Scholar] [CrossRef]
  35. Uhlmann, E.; Polte, J.; Fasselt, J.M.; Müller, V.; Klötzer-Freese, C.; Kleba-Ehrhardt, R.; Biegler, M.; Rethmeier, M. A Comparative Evaluation of Powder Characteristics of Recycled Material from Bronze Grinding Chips for Additive Manufacturing. Materials 2024, 17, 3396. [Google Scholar] [CrossRef] [PubMed]
  36. Batista, C.D.; Fernandes, A.A.M.d.N.d.P.; Vieira, M.T.F.; Emadinia, O. From Machining Chips to Raw Material for Powder Metallurgy—A Review. Materials 2021, 14, 5432. [Google Scholar] [CrossRef] [PubMed]
  37. Mendonça, C.S.P.; Dias, A.N.O.; Melo, M.L.N.M.; Ribeiro, V.A.S.; da Silva, M.R.; Oliveira, A.F.; Silva, G. Evaluation of High-Energy Milling Efficiency in Stainless Steel with Addition of Vanadium Carbides. Int. J. Adv. Manuf. Technol. 2018, 95, 3093–3099. [Google Scholar] [CrossRef]
  38. Tadi, S.P.; Maddula, S.S.; Mamilla, R.S. Sustainability Aspects of Composite Filament Fabrication for 3D Printing Applications. Renew. Sustain. Energy Rev. 2024, 189, 113961. [Google Scholar] [CrossRef]
  39. Jackson, M.A.; Morrow, J.D.; Thoma, D.J.; Pfefferkorn, F.E. A Comparison of 316 L Stainless Steel Parts Manufactured by Directed Energy Deposition Using Gas-Atomized and Mechanically-Generated Feedstock. CIRP Ann. 2020, 69, 165–168. [Google Scholar] [CrossRef]
  40. Suwanpreecha, C.; Manonukul, A. A Review on Material Extrusion Additive Manufacturing of Metal and How It Compares with Metal Injection Moulding. Metals 2022, 12, 429. [Google Scholar] [CrossRef]
  41. Li, S.; Deng, H.; Lan, X.; He, B.; Li, X.; Wang, Z. Developing Cost-Effective Indirect Manufacturing of H13 Steel from Extrusion-Printing to Post-Processing. Addit. Manuf. 2023, 62, 103384. [Google Scholar] [CrossRef]
  42. Naranjo, J.A.; Berges, C.; Campana, R.; Herranz, G. Rheological and Mechanical Assessment for Formulating Hybrid Feedstock to Be Used in MIM & FFF. Results Eng. 2023, 19, 101258. [Google Scholar] [CrossRef]
  43. Abe, Y.; Kurose, T.; Santos, M.V.A.; Kanaya, Y.; Ishigami, A.; Tanaka, S.; Ito, H. Effect of Layer Directions on Internal Structures and Tensile Properties of 17-4PH Stainless Steel Parts Fabricated by Fused Deposition of Metals. Materials 2021, 14, 243. [Google Scholar] [CrossRef]
  44. Gonzalez-Gutierrez, J.; Godec, D.; Kukla, C.; Schlauf, T.; Burkhardt, C.; Holzer, C. Shapping, Debinding and Sintering of Components via Fused Filament Fabrication. In Proceedings of the 16th International Scientific Conference on Production Engineering, Zadar, Croatia, 8–10 June 2017. [Google Scholar]
  45. Gonzalez-Gutierrez, J.; Cano, S.; Schuschnigg, S.; Holzer, C. Highly-Filled Polymers for Fused Filament Fabrication. In Proceedings of the Leobener Kunststoff-Kolloquium 2018, Leoben, Austria, 19 April 2018; pp. 93–104. [Google Scholar]
  46. Naranjo, J.A.; Berges, C.; Gallego, A.; Herranz, G. A Novel Printable High-Speed Steel Filament: Towards the Solution for Wear-Resistant Customized Tools by AM Alternative. J. Mater. Res. Technol. 2021, 11, 1534–1547. [Google Scholar] [CrossRef]
  47. Strano, M.; Rane, K.; Briatico Vangosa, F.; Di Landro, L. Extrusion of Metal Powder-Polymer Mixtures: Melt Rheology and Process Stability. J. Mater. Process. Technol. 2019, 273, 116250. [Google Scholar] [CrossRef]
  48. Kan, X.; Yang, D.; Zhao, Z.; Sun, J. 316L FFF Binder Development and Debinding Optimization. Mater. Res. Express 2021, 8, 116515. [Google Scholar] [CrossRef]
  49. Kukla, C.; Gonzalez-Gutierrez, J.; Cano, S.C.; Hampel, S.; Sondermaschinenbau, H. Fused Filament Fabrication (FFF) of PIM Feedstocks; Comité Español de Pulvimetalurgia: Ciudad Real, Spain, 2017. [Google Scholar]
  50. Thompson, Y.; Gonzalez-Gutierrez, J.; Kukla, C.; Felfer, P. Fused Filament Fabrication, Debinding and Sintering as a Low Cost Additive Manufacturing Method of 316L Stainless Steel. Addit. Manuf. 2019, 30, 100861. [Google Scholar] [CrossRef]
  51. Wang, Y.; Zhang, L.; Li, X.; Yan, Z. On Hot Isostatic Pressing Sintering of Fused Filament Fabricated 316L Stainless Steel-Evaluation of Microstructure, Porosity, and Tensile Properties. Mater. Lett. 2021, 296, 129854. [Google Scholar] [CrossRef]
  52. Cerejo, F.; Gatões, D.; Vieira, M.T. Optimization of Metallic Powder Filaments for Additive Manufacturing Extrusion (MEX). Int. J. Adv. Manuf. Technol. 2021, 115, 2449–2464. [Google Scholar] [CrossRef]
  53. Riecker, S.; Clouse, J.; Studnitzky, T.; Andersen, O.; Kieback, B. Fused Deposition Modeling-Opportunities for Cheap Metal AM. In Proceedings of the World PM2016, Hamburg, Germany, 9–13 October 2016. [Google Scholar]
  54. Sadaf, M.; Bragaglia, M.; Nanni, F. A Simple Route for Additive Manufacturing of 316L Stainless Steel via Fused Filament Fabrication. J. Manuf. Process. 2021, 67, 141–150. [Google Scholar] [CrossRef]
  55. Mousapour, M.; Salmi, M.; Klemettinen, L.; Partanen, J. Feasibility Study of Producing Multi-Metal Parts by Fused Filament Fabrication (FFF) Technique. J. Manuf. Process. 2021, 67, 438–446. [Google Scholar] [CrossRef]
  56. Hwang, K.S.; Lin, H.K.; Lee, S.C. Thermal, Solvent, and Vacuum Debinding Mechanisms of PIM Compacts. Mater. Manuf. Process 2007, 12, 593–608. [Google Scholar] [CrossRef]
  57. German, R.M.; Bose, A. Binder and Polymer Assisted Powder Processing; ASM International, Ed.; ASM International: Novelty, OH, USA, 2020. [Google Scholar]
  58. German, R.M. Injection Molding of Metals and Ceramics; Metal Powder Industries Federation, Ed.; Metal Powder Industries Federation (MPIF): Princeton, NJ, USA, 1997. [Google Scholar]
  59. International Organization for Standardization. ISO 3252:2023—Powder Metallurgy; Genebra, Suiça, 2023. Available online: https://www.iso.org/obp/ui/#iso:std:iso:3252:ed-6:v1:en (accessed on 12 November 2024).
  60. German, R.M.; Heaney, D.F.; Enneti, R.K.; Onbattuvelli, V.P.; Gulsoy, O.; Kate, K.H.; Atre, S.V.; Greene, C.D.; Banerjee, S.; Joens, C.J.; et al. Handbook of Metal Injection Molding; Heaney, D.F., Ed.; Woodhead Publishing: Duxford, UK, 2019. [Google Scholar]
Figure 1. Publications on chip milling: (a) evolution in the last years by the type of metallic material [2,3,4,5,6,7,8,9,10,11,12,13,14,15,16,17,18,19,20,21,22,23,24,25,26,27,28,29,30,31,32,33,34,35,36,37,38] and (b) by the milling process versus material [2,3,4,5,6,7,8,9,10,11,12,13,14,15,16,17,18,19,20,21,22,23,24,25,26,27,28,29,30,31,32,35,37].
Figure 1. Publications on chip milling: (a) evolution in the last years by the type of metallic material [2,3,4,5,6,7,8,9,10,11,12,13,14,15,16,17,18,19,20,21,22,23,24,25,26,27,28,29,30,31,32,33,34,35,36,37,38] and (b) by the milling process versus material [2,3,4,5,6,7,8,9,10,11,12,13,14,15,16,17,18,19,20,21,22,23,24,25,26,27,28,29,30,31,32,35,37].
Metals 14 01293 g001
Figure 2. AISI H13 steel chips.
Figure 2. AISI H13 steel chips.
Metals 14 01293 g002
Figure 3. Micrographs (SEM) of AISI H13 steel chips: (a) morphology, (b) front surface, and (c) back surface.
Figure 3. Micrographs (SEM) of AISI H13 steel chips: (a) morphology, (b) front surface, and (c) back surface.
Metals 14 01293 g003
Figure 4. Micrographs (SEM) of Sandvick Osprey’s atomized AISI H13 steel powder at different magnifications: (a) 5000×, (b) 10,000×, and (c) 37,500×.
Figure 4. Micrographs (SEM) of Sandvick Osprey’s atomized AISI H13 steel powder at different magnifications: (a) 5000×, (b) 10,000×, and (c) 37,500×.
Metals 14 01293 g004
Figure 5. Chip EBSD.
Figure 5. Chip EBSD.
Metals 14 01293 g005
Figure 6. EBSD of chip with identification of LAGBs (5–15°; green) and HAGBs (15–180°; blue).
Figure 6. EBSD of chip with identification of LAGBs (5–15°; green) and HAGBs (15–180°; blue).
Metals 14 01293 g006
Figure 7. Chip diffractogram.
Figure 7. Chip diffractogram.
Metals 14 01293 g007
Figure 8. Size distribution at different milling conditions (A and B).
Figure 8. Size distribution at different milling conditions (A and B).
Metals 14 01293 g008
Figure 9. Micrography (SEM) of chip powders particles at different magnifications: (a) 500×, (b) 5000×, and (c) 10,000×.
Figure 9. Micrography (SEM) of chip powders particles at different magnifications: (a) 500×, (b) 5000×, and (c) 10,000×.
Metals 14 01293 g009
Figure 10. Particle size distribution of powder particles from chips with dmax < 30 µm.
Figure 10. Particle size distribution of powder particles from chips with dmax < 30 µm.
Metals 14 01293 g010
Figure 11. EBSD of powders from milling chips.
Figure 11. EBSD of powders from milling chips.
Metals 14 01293 g011
Figure 12. EBSD of the chip with identification of LAGBs (5–15°; green) and HAGBs (15–180°; blue).
Figure 12. EBSD of the chip with identification of LAGBs (5–15°; green) and HAGBs (15–180°; blue).
Metals 14 01293 g012
Figure 13. Chip powder diffractogram.
Figure 13. Chip powder diffractogram.
Metals 14 01293 g013
Figure 14. Variation of mixing torque of the different H13 steel powders and chip powder contents.
Figure 14. Variation of mixing torque of the different H13 steel powders and chip powder contents.
Metals 14 01293 g014
Figure 15. Thermogravimetric analysis of selected mixtures in He atmosphere.
Figure 15. Thermogravimetric analysis of selected mixtures in He atmosphere.
Metals 14 01293 g015
Figure 16. Filaments produced with feedstock from (a) chip powder (55% vol.) and (b) commercial powder (55% vol.).
Figure 16. Filaments produced with feedstock from (a) chip powder (55% vol.) and (b) commercial powder (55% vol.).
Metals 14 01293 g016
Figure 17. Micrographs (SEM) of the filament chip powder (55% vol.): (a) global, (b) edge, and (c) center.
Figure 17. Micrographs (SEM) of the filament chip powder (55% vol.): (a) global, (b) edge, and (c) center.
Metals 14 01293 g017
Figure 18. Micrographs (SEM) of the filament commercial powder (55% vol.): (a) global, (b) edge, and (c) center.
Figure 18. Micrographs (SEM) of the filament commercial powder (55% vol.): (a) global, (b) edge, and (c) center.
Metals 14 01293 g018
Figure 19. Microtomography of the filament (55% vol.) from (a) chip powder and (b) commercial powder.
Figure 19. Microtomography of the filament (55% vol.) from (a) chip powder and (b) commercial powder.
Metals 14 01293 g019
Figure 20. Maximum flexural strength of the filaments. Right: chip powder (55% vol.) and left: commercial powder (55% vol.).
Figure 20. Maximum flexural strength of the filaments. Right: chip powder (55% vol.) and left: commercial powder (55% vol.).
Metals 14 01293 g020
Figure 21. Cylinders produced through MEX from (a) chip powder and (b) commercial powder.
Figure 21. Cylinders produced through MEX from (a) chip powder and (b) commercial powder.
Metals 14 01293 g021
Figure 22. Micro-CT of a 3D-shaped green object from feedstock: (a) chip powder and (b) commercial powder.
Figure 22. Micro-CT of a 3D-shaped green object from feedstock: (a) chip powder and (b) commercial powder.
Metals 14 01293 g022
Figure 23. Thermal cycle of de-binding and sintering.
Figure 23. Thermal cycle of de-binding and sintering.
Metals 14 01293 g023
Figure 24. Micro-CT of the 3D object after sintering from feedstock with (a) chip powder and (b) commercial powder.
Figure 24. Micro-CT of the 3D object after sintering from feedstock with (a) chip powder and (b) commercial powder.
Metals 14 01293 g024
Figure 25. Micrographs (OM) after etching by Nital reagent of 3D objects sintered from (a) chip powder and (b) commercial powder.
Figure 25. Micrographs (OM) after etching by Nital reagent of 3D objects sintered from (a) chip powder and (b) commercial powder.
Metals 14 01293 g025
Table 1. Cutting parameters from which the chips resulted (vc—cutting speed (m/min); fz—feed per tooth (mm); ap—axial depth of cut (mm); ae—radial depth of cut (mm); s—tool speed (rpm)).
Table 1. Cutting parameters from which the chips resulted (vc—cutting speed (m/min); fz—feed per tooth (mm); ap—axial depth of cut (mm); ae—radial depth of cut (mm); s—tool speed (rpm)).
Cutting Parameters
vcfzapaes
820.500.108.52009
Table 2. Clean up procedure applied to EBSD datasets (OIM AnalysisTM 5.2).
Table 2. Clean up procedure applied to EBSD datasets (OIM AnalysisTM 5.2).
Grain DilationNeighbor CI Correlation
Grain tolerance angleMinimum grain sizeMinimum confidence index
15°2 points0.1
Table 3. Chemical composition of the machined H13 steel and chips.
Table 3. Chemical composition of the machined H13 steel and chips.
SampleElemental Analysis (% wt.)
CSiMnCrMoVNi
Bulk0.391.05<0.83 *5.041.33n. a.0.33
Chipsn. a.0.960.404.991.410.960.33
AISI H13 reference limits0.32–0.450.80–1.200.20–0.504.75–5.501.10–1.750.80–1.20~0.3
* Quantification limit.
Table 4. Particle size distribution, slope parameter (Sw), and friction coefficient (k) of powder particles from a planetary ball mill and commercial powder.
Table 4. Particle size distribution, slope parameter (Sw), and friction coefficient (k) of powder particles from a planetary ball mill and commercial powder.
d10 (µm)d50 (µm)d90 (µm)Swk
Chip powder4.612.120.43.9112
Commercial powder2.8 *5.4 *9.5 *4.8268
* According to the batch datasheet.
Table 5. Apparent and relative densities of green 3D objects.
Table 5. Apparent and relative densities of green 3D objects.
Green 3D Objectsda (kg/m3)dr (kg/m3)
Chip powder4438 ± 1099.1
Commercial powder4425 ± 15993.7
Table 6. Apparent density, relative density, and shrinkage of sintered 3D objects.
Table 6. Apparent density, relative density, and shrinkage of sintered 3D objects.
Sintered 3D Objectsda (kg/m3)dr (kg/m3)xy Shrinkage (%)zz Shrinkage (%)
Chip powder764698.012.912.5
Commercial powder729893.615.614.9
Table 7. Microhardness of sintered 3D objects.
Table 7. Microhardness of sintered 3D objects.
Microhardness (GPa)
Chip powder4.5 ± 0.3
Commercial powder3.8 ± 0.2
Disclaimer/Publisher’s Note: The statements, opinions and data contained in all publications are solely those of the individual author(s) and contributor(s) and not of MDPI and/or the editor(s). MDPI and/or the editor(s) disclaim responsibility for any injury to people or property resulting from any ideas, methods, instructions or products referred to in the content.

Share and Cite

MDPI and ACS Style

Batista, C.D.; Vieira, M.T.F. Steel Chips as a Raw Material for MEX. Metals 2024, 14, 1293. https://doi.org/10.3390/met14111293

AMA Style

Batista CD, Vieira MTF. Steel Chips as a Raw Material for MEX. Metals. 2024; 14(11):1293. https://doi.org/10.3390/met14111293

Chicago/Turabian Style

Batista, Catarina Duarte, and Maria Teresa Freire Vieira. 2024. "Steel Chips as a Raw Material for MEX" Metals 14, no. 11: 1293. https://doi.org/10.3390/met14111293

APA Style

Batista, C. D., & Vieira, M. T. F. (2024). Steel Chips as a Raw Material for MEX. Metals, 14(11), 1293. https://doi.org/10.3390/met14111293

Note that from the first issue of 2016, this journal uses article numbers instead of page numbers. See further details here.

Article Metrics

Back to TopTop