Study on Flight Dynamics and Heat Transfer Solidification of Metal Droplets during Centrifugal Spray Deposition Forming Process
Abstract
:1. Introduction
2. Model Establishment
2.1. Introduction of Physical Model
- (1)
- Due to the small diameter of the droplet, the droplet is regarded as a uniform sphere under surface tension.
- (2)
- Due to the short flight time, as a rough estimate, the specific heat of the droplet at room temperature is taken as the research parameter.
- (3)
- The relationship between the Weber number and droplet fragmentation is not considered. Droplets are granulated at the edge of the centrifugal disc.
- (4)
- The velocity of the ambient gas is zero.
- (5)
- The droplets do not collide with each other in flight.
2.2. Kinetic Model
2.3. Heat Transfer Solidification Model
- (1)
- Liquid-phase cooling
- (2)
- Nucleation and recalescence
- (3)
- Segregation solidification
- (4)
- Eutectic transformation
- (5)
- Solid-phase cooling
3. Numerical Experiment
4. Results and Discussion
4.1. The Relationship between Rotational Speed and Droplet Diameter
4.2. Droplet Flight Trajectory
4.3. The Relationship between Droplet Flight Time and Motion Parameters
4.4. Relationship between Droplet Flight Time and Convective Heat Transfer Coefficient
4.5. The Relationship between Flight Time and Heat Transfer Solidification
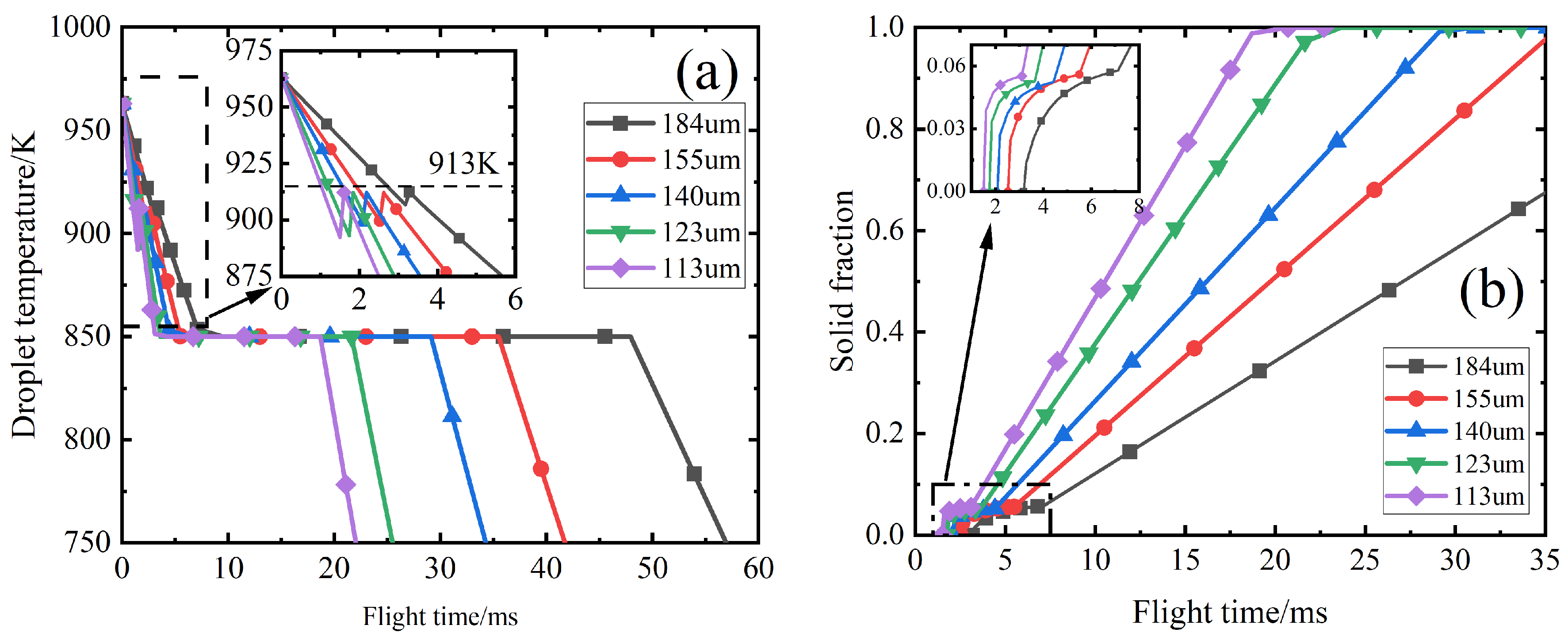
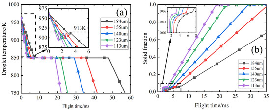
4.6. The Relationship between Droplet Solidification and Flight Time at Different Speeds
4.7. Effect of Superheat on Heat Transfer Solidification
4.8. The Relationship between Droplet Solidification and Flight Time under Different Superheats
5. Conclusions
- The droplet diameter decreases with an increase in rotational speed. When the rotational speed is lower than a certain value, the droplet diameter is greatly affected by the rotational speed. When the rotational speed is higher than this value, the influence of rotational speed on the droplet diameter is weakened.
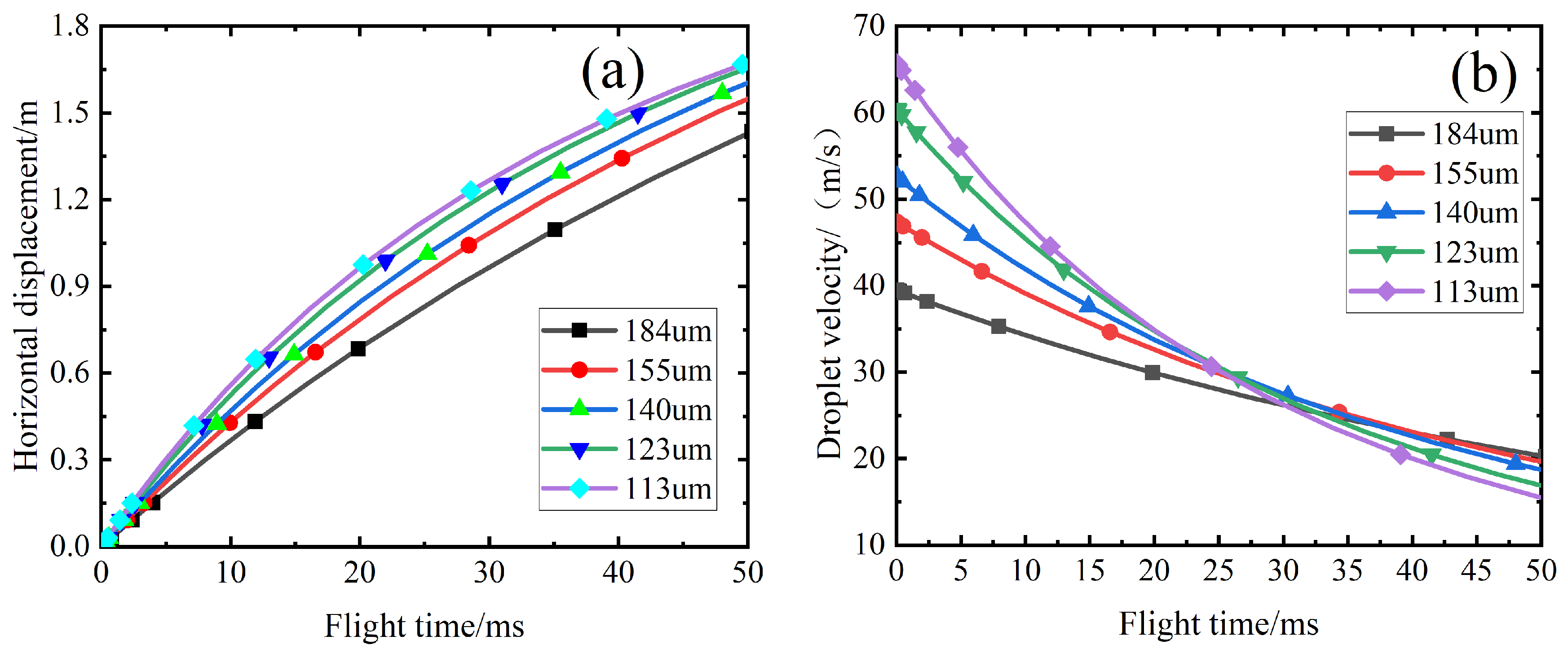
- The flight trajectory of the droplet is parabolic; the flight displacement, initial velocity, ambient gas resistance and convective heat transfer coefficient increase with an increase in speed, and the vertical displacement of the droplet is not influenced by the movement of the substrate during the forming process.
- In the forming process, the superheat has no obvious effect on the cooling and solidification process of the droplet, which is mainly affected by the speed of the centrifugal disc, and the time required for cooling and solidification decreases with the increase in speed.
- Under the same superheat, the speed of the centrifugal disc is negatively correlated with the time required for droplet solidification, where the droplet starts to solidify in a linear relationship with the speed, and the time required for complete solidification is a quadratic function of the speed.
- In the case of the same centrifugal disc speed, the superheat is positively correlated with the time required for the droplet to solidify, where the time required for the droplet to start solidifying and complete solidification is linear with the temperature.
Author Contributions
Funding
Institutional Review Board Statement
Informed Consent Statement
Data Availability Statement
Conflicts of Interest
Nomenclature
| initial velocity of the droplet (m/s) | |
| tangential velocity of the droplet (m/s) | |
| average radial velocity of droplets (m/s) | |
| rotation speed of the centrifugal disc (r/min) | |
| diameter of the centrifugal disc (m) | |
| metal density (kg/m3) | |
| flow rate of the liquid metal (m3/s) | |
| viscosity of the liquid metal (Pa·s) | |
| diameter of the droplet (μm) | |
| surface tension of the metal (N/m) | |
| gravity of the droplet (N) | |
| resistance of the droplets (N) | |
| mass of the droplets (kg) | |
| gas density (kg/m3) | |
| drag coefficient (-) | |
| velocity of the droplet (m·s−1) | |
| velocity projection of droplet in the x direction (m·s−1) | |
| velocity projection of the droplet in the y direction (m·s−1) | |
| velocity of the ambient gas (m·s−1) | |
| velocity projection of the ambient gas in the x direction (m·s−1) | |
| velocity projection of the ambient gas in the y direction (m·s−1) | |
| convective heat transfer coefficient (W·m−2·K−1) | |
| thermal conductivity of gas (W·m−1·K−1) | |
| specific heat capacity of the metal (J·kg−1·K−1) | |
| specific heat capacity of the gas (J·kg−1·K−1) | |
| angle between the velocity and horizontal direction (°) | |
| temperature of the metal droplet (K) | |
| temperature of the ambient gas (K) | |
| Stefan–Boltzmann constant (W·m−2·K−4) | |
| latent heat of metal melting (J·kg−1) | |
| solid–liquid interface energy (J·m−2) | |
| liquidus temperature of the metal (K) | |
| wetting angle (°) | |
| droplet cooling rate (K·s−1) | |
| nucleation temperature (K) | |
| droplet volume (m3) | |
| recalescence temperature (K) | |
| melting point of the pure alloy solvent (K) | |
| eutectic temperature (K) | |
| interfacial adhesion coefficient (m·s−1·K−1) | |
| constant value (-) | |
| Reynolds number (-) | |
| melting point of the pure alloy solvent (-) | |
| Prandtl number (-) | |
| maximum solid fraction (-) | |
| correlation coefficient (-) | |
| solid fraction (-) | |
| Boltzmann constant (-) | |
| emissivity of metal droplets (-) | 
References
- Cui, J.; Li, B.; Liu, Z.; Qi, F.; Zhang, B.; Zhang, J. Numerical Investigation of Segregation Evolution during the Vacuum Arc Remelting Process of Ni-Based Superalloy Ingots. Metals 2021, 11, 2046. [Google Scholar] [CrossRef]
- Li, C.; Liu, F.; Yu, F.; Qiao, H.; Zheng, D.; Le, Q. The growth mechanism and morphology evolution of primary Si during slow cooling solidification of high purity Al–15Si alloy with Cr additions. J. Mater. Res. Technol. 2023, 23, 1204–1213. [Google Scholar]
- Kováčik, J.; Manonukul, A. New Insights of Powder Metallurgy: Microstructure, Durability and Properties. Materials 2023, 16, 2307. [Google Scholar] [PubMed]
- Torralba, J.M. Powder Metallurgy: A New Open Section in Metals. Metals 2021, 11, 1519. [Google Scholar]
- Ke, B.R.; Sun, Y.C.; Zhang, Y.; Wang, W.R.; Wang, W.M.; Ma, P.Y.; Ji, W.; Fu, Z.Y. Powder metallurgy of high-entropy alloys and related composites: A short review. Int. J. Miner. Metall. Mater. 2021, 28, 931–943. [Google Scholar]
- Zhang, R.; Wang, S.; Lu, W.; Sun, F.; Huang, L.; Bolzoni, L.; Geng, L.; Yang, F. Enhancing microstructure refinement and strengthening efficiency of TiBw/near α-Ti composites by combining solid-solution treatment with hot processing. Compos. Part B Eng. 2023, 257, 110696. [Google Scholar]
- Fan, Z.; Gao, F. Grain Initiation and Grain Refinement: An Overview. Metals 2022, 12, 1728. [Google Scholar]
- Ma, R.; Zhang, X. Refining the microstructure to strengthen casting titanium alloy by electric pulse. Mater. Sci. Eng. A 2022, 849, 143519. [Google Scholar]
- Yakovtseva, O.A.; Emelina, N.B.; Mochugovskiy, A.G.; Tabachkova, N.Y.; Prosviryakov, A.S.; Mikhaylovskaya, A.V. Influence of Pre-Milling on the Mn Solid Solubility in the Al-Mn-Cu Alloy during Mechanical Alloying. Metals 2023, 13, 756. [Google Scholar]
- Chen, H.; Morita, K. Solid solubility and site preference of Ti in 3C-SiC. Acta Mater. 2021, 212, 116927. [Google Scholar]
- Zuo, D.D.; Chang, J.; Liu, W.; Wang, H.P. Solid solubility extension and nano-mechanical properties of rapidly solidified Fe-Zr eutectic alloys under free fall condition. J. Alloys Compd. 2022, 896, 162928. [Google Scholar]
- Mao, F.; Zhang, P.; Wei, S.; Chen, C.; Zhang, G.; Xiong, M.; Wang, T.; Guo, J.; Wang, C. Interface Microstructure and Mechanical Properties of Al/Steel Bimetallic Composites Fabricated by Liquid-Solid Casting with Rare Earth Eu Additions. Materials 2022, 15, 6507. [Google Scholar] [PubMed]
- Rajendran, N.; Yurgel, C.C.; Misiolek, W.Z.; Alves de Sousa, R. Hot Forging Die Design Optimization Using FEM Analysis for Near-Net Forming of 18CrNiMo7-6 Steel Pinion Shaft. Metals 2023, 13, 815. [Google Scholar]
- Xu, C.; Cai, X.; Jiao, X.; Vu, K.L.; Shang, Z.; Feng, P. Near-net forming of porous Co-Al by isothermal treatment: Phase formation s equence and diffusion kinetics. Mater. Charact. 2023, 199, 112785. [Google Scholar]
- Bhaskaran Nair, R.; Supekar, R.; Morteza Javid, S.; Wang, W.; Zou, Y.; McDonald, A.; Mostaghimi, J.; Stoyanov, P. High-Entropy Alloy Coatings Deposited by Thermal Spraying: A Review of Strengthening Mechanisms, Performance Assessments and Perspectives on Future Applications. Metals 2023, 13, 579. [Google Scholar]
- Liu, Y.; Wang, Z.; Li, Y.; Yuan, H.; Li, F. The effect of thermal spraying on the forming performance of incremental sheet forming. J. Mater. Res. Technol. 2021, 12, 776–787. [Google Scholar]
- Venkatachalapathy, V.; Katiyar, N.K.; Matthews, A.; Endrino, J.L.; Goel, S. A Guiding Framework for Process Parameter Optimisation of Thermal Spraying. Coatings 2023, 13, 713. [Google Scholar]
- Jalal, Z.; Al-Sultani, K.F.; Majdi, H.S. MWCNTs Addition to Al2O3-SiC Binary Coating Deposited by Plasma Thermal Spray on Low Carbon Steel Substrate. IOP Conf. Ser. Mater. Sci. Eng. 2021, 1094, 012158. [Google Scholar]
- Asmann, M.; Cook, R.F.; Heberlein, J.V.; Pfender, E. Chemical vapor deposition of an aluminum nitride–diamond composite in a triple torch plasma reactor. J. Mater. Res. 2001, 16, 469–477. [Google Scholar]
- Trelles, J.P.; Pfender, E.; Heberlein, J. Multiscale Finite Element Modeling of Arc Dynamics in a DC Plasma Torch. Plasma Chem. Plasma Process. 2006, 26, 557–575. [Google Scholar]
- Goutier, S.; Vardelle, M.; Fauchais, P. Comparison between metallic and ceramic splats: Influence of viscosity and kinetic energy on the particle flattening. Surf. Coat. Technol. 2013, 235, 657–668. [Google Scholar] [CrossRef]
- Xue, S.; Boulos, M. Transient heating and evaporation of metallic particles under plasma conditions. J. Phys. D Appl. Phys. 2019, 52, 454002. [Google Scholar] [CrossRef]
- Dolmaire, A.; Goutier, S.; Vardelle, M.; Geffroy, P.M.; Joulia, A. Investigations on Particle Behavior at the Stagnation Zone for a Suspension Particle Jet in Plasma Spray Conditions. J. Therm. Spray Technol. 2021, 30, 1001–1014. [Google Scholar] [CrossRef]
- Xu, P.; Coyle, T.W.; Pershin, L.; Mostaghimi, J. Fabrication of Superhydrophobic Ceramic Coatings via Solution Precursor Plasma Spray Under Atmospheric and Low-Pressure Conditions. J. Therm. Spray Technol. 2019, 28, 242–254. [Google Scholar] [CrossRef]
- Ivchenko, D.; Mariaux, G.; Vardelle, A.; Goutier, S.; Itina, T.E.; André, P. Feasibility Study of an Adaptive-Pressure Plasma Coating Process—Part 1: Model Description. J. Therm. Spray Technol. 2020, 29, 25–37. [Google Scholar]
- Fikus, B.; Senderowski, C.; Panas, A.J. Modeling of Dynamics and Thermal History of Fe-40Al Intermetallic Powder Particles Under Gas Detonation Spraying Using Propane–Air Mixture. J. Therm. Spray Technol. 2019, 28, 346–358. [Google Scholar]
- Senecal, P.K.; Schmidt, D.P.; Nouar, I.; Rutland, C.J.; Reitz, R.D.; Corradini, M.L. Modeling high-speed viscous liquid sheet atomization. Int. J. Multiph. Flow 1999, 25, 1073–1097. [Google Scholar] [CrossRef]
- Shemyakina, O.A.; Sheikhalieva, Z.I.; Sheikhaliev, S.M. Obtaining Solder Powders by Centrifugal Atomization of Melt. Russ. J. Non-Ferr. Met. 2010, 51, 250–254. [Google Scholar] [CrossRef]
- Gutierrez-Miravete, E.; Lavernia, E.J.; Trapaga, G.M.; Szekely, J.; Grant, N.J. A mathematical model of the spray deposition process. Metall. Trans. A 1989, 20, 71–85. [Google Scholar] [CrossRef]
- Grant, P.S.; Cantor, B.; Katgerman, L. Modelling of droplet dynamic and thermal histories during spray forming—I. Individual droplet behaviour. Acta Metall. Mater. 1993, 41, 3097–3108. [Google Scholar]
- Mathur, P.; Apelian, D.; Lawley, A. Analysis of the spray deposition process. Acta Metall. 1989, 37, 429–443. [Google Scholar] [CrossRef]
- Fu, X.-W.; Zhang, J.-S.; Sun, Z.-Q. Modeling and optimizing software of spray deposition process. Acta Metall. Sin. 1999, 35, 147–151. [Google Scholar]
- Lee, E.S.; Ahn, S. Solidification progress and heat transfer analysis of gas-atomized alloy droplets during spray forming. Acta Metall. Mater. 1994, 42, 3231–3243. [Google Scholar] [CrossRef]
- Ganesan, S.; Poirier, D.R. Solute redistribution in dendritic solidification with diffusion in the solid. J. Cryst. Growth 1989, 97, 851–859. [Google Scholar]
- Wołczyński, W. Development of the jackson and hunt theory for rapid eutectic growth. Arch. Metall. Mater. 2018, 63, 65–72. [Google Scholar] [CrossRef] [PubMed]
- Xie, J.W.; Zhao, Y.Y.; Dunkley, J.J. Effects of processing conditions on powder particle size and morphology in centrifugal atomisation of tin. Powder Metall. 2004, 47, 168–172. [Google Scholar]
- Pijuan, J.; Cegarra, S.A.; Dosta, S.; Albaladejo-Fuentes, V.; Riera, M.D. Centrifugal Atomization of Glass-Forming Alloy Al86Ni8Y4.5La1.5. Materials 2022, 15, 8159. [Google Scholar] [CrossRef]
- Teunou, E.; Poncelet, D. Rotary disc atomisation for microencasulation applications—Prediction of the particle trajectories. J. Food Eng. 2004, 71, 345–353. [Google Scholar]
- Li, H.P. Droplet dynamic and solidification progress duringrotating disk centrifugal atomization. Trans. Nonferrous Met. Soc. China 2006, 16, 793–799. [Google Scholar]
- Mi, J.; Grant, P.S. Modelling the shape and thermal dynamics of Ni superalloy rings during spray forming/Part 2: Thermal modelling-Heat flow and solidification. Acta Mater. 2008, 56, 1597–1608. [Google Scholar]











| 1.1616 | 0.0258 | 1043.21 | 313.15 | 
| 2633 | 0.002 | 934 | 913 | 850 | 0.01 | 
| () | |||||
| 0.768 | 0.2298 | 865.8 | 0.14 | 0.01 | 
| Disclaimer/Publisher’s Note: The statements, opinions and data contained in all publications are solely those of the individual author(s) and contributor(s) and not of MDPI and/or the editor(s). MDPI and/or the editor(s) disclaim responsibility for any injury to people or property resulting from any ideas, methods, instructions or products referred to in the content. | 
© 2023 by the authors. Licensee MDPI, Basel, Switzerland. This article is an open access article distributed under the terms and conditions of the Creative Commons Attribution (CC BY) license (https://creativecommons.org/licenses/by/4.0/).
Share and Cite
Li, P.; Wei, S.; Lei, X.; Yang, L.; Sun, B. Study on Flight Dynamics and Heat Transfer Solidification of Metal Droplets during Centrifugal Spray Deposition Forming Process. Metals 2023, 13, 1446. https://doi.org/10.3390/met13081446
Li P, Wei S, Lei X, Yang L, Sun B. Study on Flight Dynamics and Heat Transfer Solidification of Metal Droplets during Centrifugal Spray Deposition Forming Process. Metals. 2023; 13(8):1446. https://doi.org/10.3390/met13081446
Chicago/Turabian StyleLi, Peng, Shizhong Wei, Xianqing Lei, Lu Yang, and Bo Sun. 2023. "Study on Flight Dynamics and Heat Transfer Solidification of Metal Droplets during Centrifugal Spray Deposition Forming Process" Metals 13, no. 8: 1446. https://doi.org/10.3390/met13081446
APA StyleLi, P., Wei, S., Lei, X., Yang, L., & Sun, B. (2023). Study on Flight Dynamics and Heat Transfer Solidification of Metal Droplets during Centrifugal Spray Deposition Forming Process. Metals, 13(8), 1446. https://doi.org/10.3390/met13081446
 
        


 
       