Abstract
The kinetics of leaching zinc from hemimorphite was investigated. The factors that influence hemimorphite leaching were also evaluated, and a kinetic model was built. In addition, scanning electron microscopy-energy dispersive spectroscopy (SEM-EDS) was used to investigate the changes of surface morphology before and after leaching. By decreasing particle size and increasing temperature, 5-sulfosalicylic acid concentration, and stirring speed, the leaching rate of hemimorphite can be enhanced. The shrinkage nucleus model describes the surface chemistry of leaching. The activation energy of hemimorphite by 5-sulfosalicylic acid in the leaching process was determined as 55.244 kJ/mol. The reaction rate based on the shrinkage nucleus model can be expressed by the semi-empirical formula:. At the condition of 50 °C of leaching temperature, 0.175 mol/L of 5-sulfosalicylic acid concentration, 82.5 μm of particle size and 650 rpm of stirring speed, the high leaching rates of zinc were obtained. After the reaction time of 15 min, the leaching rate of zinc reached more than 95%. According to the SEM-EDS results, the hemimorphite and leaching residue are distributed in blocks, but the particle size of the leaching residue is smaller, and the atomic concentrations of Zn and Si in the leaching residue are significantly lower than those in the hemimorphite, so the leaching effect is remarkable. Therefore, 5-sulfosalicylic acid solution would be an excellent leaching agent for zinc extraction from hemimorphite.
1. Introduction
Zinc has good ductility, wear resistance, and corrosion resistance and these properties make it an important metal in industry and technology. Zinc ranks third in non-ferrous metal consumption, second only to copper and aluminum, and mainly in the form of zinc plating, zinc-based alloy. It is widely used in automobile, construction, household, and other industries [1,2,3,4,5].
Both in China and worldwide, an increasingly broad range of applications require the use of zinc and zinc compounds, necessitating in-depth research on the improvement of the methods for the extraction of zinc from ores. To date, metallic zinc has been mainly extracted from the zinc sulfide ore because zinc sulfide can be easily separated from gangue minerals by the traditional flotation process [6,7]. With the increasing development and growth of the Chinese economy, its demand for zinc has also increased continuously, leading to an ongoing increase in the use of zinc sulfide ores. This has given rise to a gradual exhaustion of the zinc sulfide ore resources, which has made zinc oxide ore resources increasingly important. In particular, zinc oxide ore occurs in the oxidation zone of lead-zinc sulfide deposits. It generally consists of oxidized products of sphalerite that coexist with smithsonite, galena, and limonite.
Hemimorphite is an important zinc oxide mineral with high zinc content, and its resources in zinc oxide ore are second only to smithsonite, which has high industrial value. Flotation method is one of the main methods to treat zinc oxide ore, which mainly includes sulfidation-amine and sulfidation-xanthate. Domestic and foreign researchers have carried out a lot of research work on the flotation of zinc oxide ore, and achieved certain results, but because of the shortcomings of these two methods, they have not been widely used in industry [8]. In the process of flotation zinc oxide minerals, sulfidation-amine is extremely sensitive to slime, resulting that in the actual production process there are problems such as large consumption of agents, large amount of foam, long life, stability, difficulty of elimination and often running of the tank, which seriously affect the normal production. Compared with the sulfidation-amine, the sulfidation-xanthate effectively avoids the influence of slime on flotation in practical application, but the sulfidation process of zinc oxide is more difficult, and after zinc oxide sulfidation, it needs to add metal ion activation, and then use xanthate to collect it. Therefore, the traditional sulfidation-amine is difficult to achieve efficient and economical recovery of zinc oxide ore resources.
In the past decades, pyrometallurgy investigations on low-grade zinc oxide ores have been conducted. However, pyrometallurgy at high temperature incurs severe pollution, high investment cost, and high energy consumption, hindering the development and practical application of this zinc extraction approach. The leaching method also has been used to extract zinc. Leaching is the initial stage in the hydrometallurgical method [9], and studying leaching kinetics is critical for optimizing metal extraction rates. Therefore, the treatment of zinc oxide ore by hydrometallurgy has attracted intense research attention with a particular focus on the study of the leaching kinetics of hemimorphite.
Metallic mineral extraction has so far relied on techniques such as acid leaching, alkali leaching, and ammonia leaching [10,11,12]. The main process of ammonia leaching of zinc oxide ore involves the steps of purification, ammonia evaporation, ammonia recovery, and calcinations. Compared to acid leaching and alkali leaching, ammonia leaching can not only solve the problem of the presence of an insoluble silica gel in sulfuric acid leaching, but also avoid the corrosion of equipment by NaOH in alkali leaching. However, the use of ammonia also gives rise to the problem of toxic production environment due to the strong volatility of ammonia. Such a toxic environment makes it difficult to use ammonia leaching for large-scale industrial production. Furthermore, although ammonia leaching of zinc oxide minerals is selective, zinc oxide minerals often have a high content of zinc silicate minerals such as willemite and hemimorphite that are difficult to leach. Therefore, improvement of the zinc leaching rate has become a key challenge that is the bottleneck for the further development and application of ammonia leaching of zinc oxide minerals.
When alkali leaching is used, a better leaching effect can be achieved only using solutions with high NaOH concentration and with the reaction carried out at a higher temperature. Such high concentration of NaOH leads to strong corrosion of the production equipment. Acid leaching can be carried out using organic or inorganic acids. The inorganic acid leaching method, which utilizes an inorganic acid such as sulfuric acid, consumes a large amount of acid and produces a silica gel that is difficult to treat [13,14,15,16,17]. Organic acids are biodegradable and can reduce environmental pollution, making them a good choice as a leaching agent for zinc extraction [18,19,20].
For ammonia leaching of hemimorphite, Liu et al. studied the leaching kinetics and mechanism of hemimorphite in the NH3-(NH4)2SO4-H2O system. Their findings indicated that zinc remained semi-crystalline throughout the leaching process and dissipated rapidly in the NH3-(NH4)2SO4-H2O system. The leaching rate of zinc reached 95%.
5-sulfosalicylic acid belongs to the family of aryloxyacids [21,22,23]. It is highly soluble in water, enabling its use in many applications [24]. In particular, sulfosalicylic acid is an important complexing agent. Therefore, it is often used as a metal ion adsorption material and masking agent. In aqueous solutions, it can coordinate with zinc ions and undergo complexation reactions. Therefore, the complex reactions of metal materials with 5-sulfosalicylic acid and the corresponding metal complexes have been the focus of many biological studies [25,26,27]. Additionally, the functional groups in 5-sulfosalicylic acid can be partially or completely deprotonated to provide an acidic solution suitable for the dissolution of heteromorphite. Therefore, 5-sulfosalicylic acid can be used as a hemimorphite leaching agent based on this principle.
The leaching kinetics of hemimorphite in the leaching process was studied using 5-sulfosalicylic acid as a leaching agent in this study. The parameters that influence the leaching rate of zinc were investigated to provide guidance for zinc extraction from hemimorphite using 5-sulfosalicylic acid in the future. The leaching effect of 5-sulfosalicylic acid on hemimorphite was analyzed by SEM-EDS.
2. Materials and Methods
2.1. Materials and Reagents
Hemimorphite sample for this investigation was obtained from Yunnan Province, China. The crushed and ground sample was sieved to several fractions using typical test sieves. Figure 1 illustrates the X-ray diffraction patterns of the sample, and Table 1 lists the chemical compositions of the hemimorphite sample.
Figure 1.
X-ray diffraction pattern of the original hemimorphite.
Table 1.
Chemical composition of hemimorphite sample.
2.2. Experimental Procedures
The leaching reaction took place in a thermostat-controlled 1 L three-necked flask batch reactor. During the reaction, the substance in the container is maintained at a constant temperature using a thermostat. A digital mixer was also used to prevent the temperature loss in the flask. During the test, a mineral sample (5 g) was added to the newly prepared 5-sulfosalicylic acid solution (1 L). Then, the solution samples (5 mL) were precisely extracted from the mixture at regular time intervals and then analyzed. The rate of zinc extraction was determined by analyzing the concentration of zinc in the solution by inductively coupled plasma–atomic emission spectroscopy. At the end of the reaction, the residue was filtered and washed with de-ionized water. The residue was air-dried and then identified by SEM.
This experiment adopts the method of controlled variables. In the experiment, when studying the influence of a given parameter, the value of other parameters remained unchanged, and only that parameter was changed as indicated with asterisks in Table 2.
Table 2.
Leaching parameters and the ranges used in the leaching experiments.
2.3. SEM-EDS
Nava natosem 450 scanning electron microscope was used to analyze the differences in surface geometry and chemical composition of hemimorphite before and after leaching in 5-sulfosalicylic acid at 15 kV by SEM and EDS.
3. Results and discussion
3.1. Leaching Reactions
Organic acid 5-sulfosalicylic acid is very acidic in aqueous solutions and reacts as follows:
The addition of hemimorphite to a 5-sulfosalicylic acid solution is expected to produce the following reaction during leaching:
Thus, the total leaching process can be described by:
3.2. Effect of Reaction Temperature
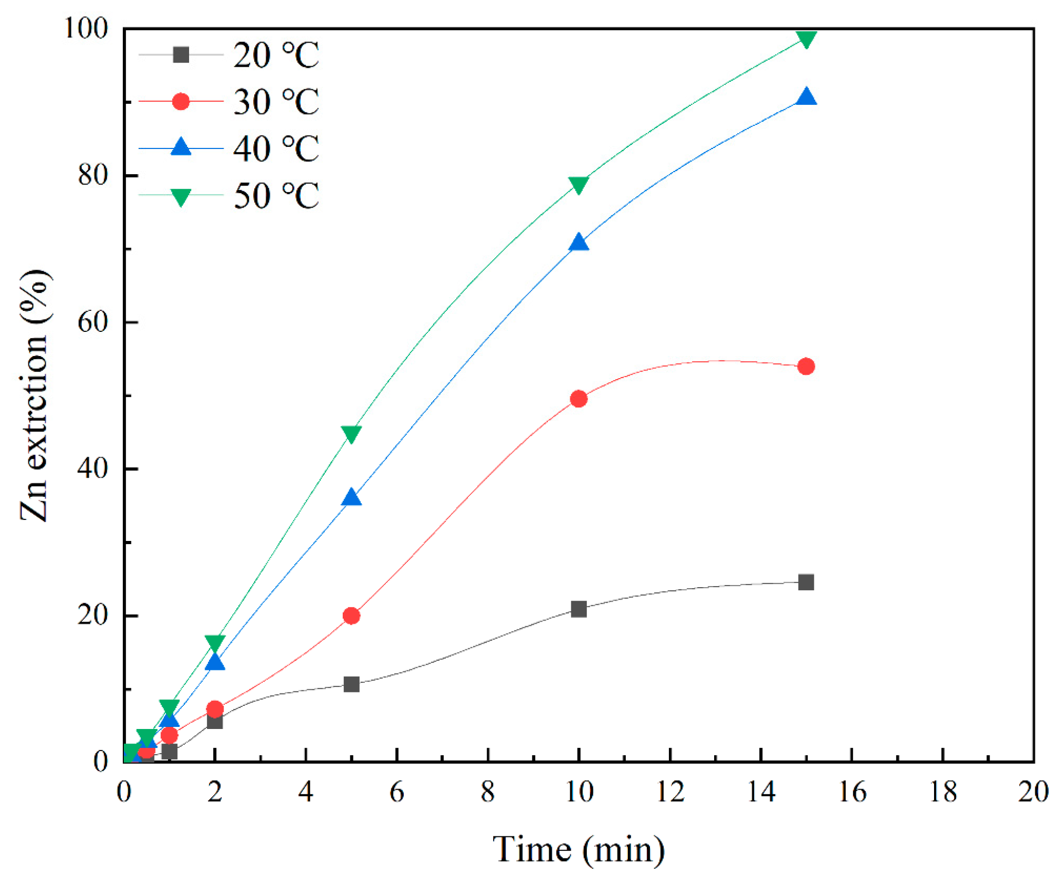
To determine the influence of the reaction temperature on the rate of zinc extraction, experiments with the duration of 15 min were carried out. The experiments were conducted at four distinct temperatures ranging from 293 to 323 K (20 to 50 °C). The concentration of 5-sulfosalicylic acid, sample particle size, and stirring speed were all kept constant in the tests at 0.151 mol/L, 152.5 μm, and 500 rpm, respectively. The results are presented in Figure 2, and it can be seen that as the reaction temperature raised, the rate of hemimorphite dissolution increased considerably. Only 24.56% of zinc was leached at 20 °C, whereas 98.8% was leached at 50 °C. These investigations demonstrated that a critical factor affecting zinc extraction from hemimorphite is the reaction temperature. Due to the thermal movement of molecules, the movement of leaching agent molecules is accelerated at high temperatures, which increases the chance of collision between leaching agent molecules and mineral particles, and increases the effective collision between molecules, thereby increasing the rate of chemical reaction and improving the leaching rate of hemimorphite.
Figure 2.
Effect of reaction temperature on the leaching of hemimorphite (The concentration of 5-sulfosalicylic acid, sample particle size, and stirring speed at 0.151 mol/L, 152.5 μm, and 500 rpm).
3.3. Effects of 5-Sulfosalicylic Acid Concentration
Experiments lasting 15 min were conducted to investigate the effect of the 5-sulfosalicylic acid concentration on the rate of zinc leaching. The investigated concentrations were 0.1, 0.130, 0.151 and 0.175 mol/L, respectively. The other experimental parameters of leaching with 5-sulfosalicylic acid were held unchanged at 303 K (30 °C), 152.5 μm and 500 rpm. The results are shown in Figure 3 and it is observed that hemimorphite dissolution rates increased dramatically with the rising extractant concentration. After reaction for 15 min, for the concentration of 5-sulfosalicylic acid of 0.1 mol/L, only 17.89% of zinc was leached, while for the concentration of 0.175 mol/L, 76.55% of zinc was leached. Thus, the results of concentration experiments showed that the concentration of the extractant is an important factor that can affect zinc extraction from hemimorphite.
Figure 3.
Effect of 5-sulfosalicylic acid concentration on the leaching of hemimorphite (The reaction temperature, sample particle size, and stirring speed were held at 303 K (30 °C), 152.5 μm and 500 rpm).
3.4. Effects of Particle Size
To explore the effect of the particle size (radius) on the rate of zinc dissolution, experiments with four distinct particle sizes (215, 152.5, 107.5, and 82.5 μm) and a duration of 15 min were carried out. The other experimental parameters of 5-sulfosalicylic acid leaching were held unchanged at 303 K (30 °C), 0.151 mol/L and 500 rpm. The results are shown in Figure 4, and it can be seen that the hemimorphite leaching rate increased significantly with the decrease in particle size. After leaching time of 15 min, the zinc leaching rate in the ore was only 32.66% for the particle size of 215 μm, but reached 93.49% for the particle size of 82.5 μm. As a result of the particle size tests, zinc extraction from hemimorphite was influenced by particle size. As the mineral particle size decreases, the total specific surface area increases, and the contact area between mineral particles and the leaching agent also increases, which promotes the leaching reaction. In addition, smaller particles show higher chemical reactivity, which also promotes the acceleration of the leaching reaction rate. The smaller the particle size, the better the leaching effect.
Figure 4.
Effect of particle size on the leaching of hemimorphite (The reaction temperature, acid concentration, and stirring speed at 303 K (30 °C), 0.151 mol/L, and 500 rpm).
3.5. Effects of Stirring Speed
To investigate the effect of stirring speed on zinc dissolution, we conducted 15 min experiments at four different stirring speeds of 200, 350, 500, and 650 rpm, while maintaining the reaction temperature, concentration of 5-sulfosalicylic acid, and particle size at 303 K (30 °C), 0.151 mol/L, and 152.5 μm, respectively. The results are shown in Figure 5, and it is observed that the rate of hemimorphite dissolution increased significantly with the increase in stirring speed. The leaching rate of zinc for 15 min was only 17.98% at the stirring speed of 200 rpm, and was 98.60% at 650 rpm. Thus, the stirring rate test results show that the stirring speed is also an important factor that affects zinc extraction from hemimorphite. With the increase of stirring speed, the leaching rate also increases. When the mineral particle size is small and the specific surface area is large, there will be a phenomenon of “agglomeration” caused by the mutual attraction between particles caused by the charge of particles and the van der Waals force between molecules. In the case of slower stirring speed, the mechanical force provided by stirring cannot break up the “agglomeration” particles, resulting in a low leaching rate within a certain time. When the stirring speed is fast, the larger mechanical force will break up the “agglomeration” particles and re-disperse in the solution, and the increase in the stirring speed also increases the collision chance of mineral particles and leaching agent molecules, increases the effective collision, and improves the leaching rate of hemimorphite.
Figure 5.
Effect of stirring speed on the leaching of hemimorphite (The reaction temperature, acid concentration, and particle size at 303 K, 0.151 mol/L, and 152.5μm).
3.6. Investigation of Kinetics
To reduce the cost of zinc leaching, it is necessary to shorten the leaching time and improve the leaching rate. Using the above-described experimental results, the influencing factors of the leaching reaction were analyzed, the leaching kinetics equation was obtained, and the leaching kinetics model was determined. Such a model is highly significant for improving the zinc extraction process flow. The leaching reaction often does not obey the simple first-order and second-order kinetics. Therefore, the non-catalytic heterogeneous reaction model is usually used for the kinetic analysis of this kind of reaction. The dissolution reaction of hemimorphite in 5-sulfosalicylic acid solution is a liquid–solid heterogeneous dissolution reaction. Liquid–solid reactions can be roughly divided into three different types: (1) the products generated by the reaction can be dissolved in water, and the size of the solid particles decreases as the reaction proceeds; (2) the core shrinking model; (3) the solid reactants are dispersed in the soluble gangue, and the liquid reactants diffuse into the ore through the pores and fissures, so that the surface and internal leaching reactions occur simultaneously.
The leaching reaction (solid–liquid reaction) of the leaching agent acting on mineral particles is expressed by the following reaction equation:
where A and B represent the fluid reactant and dissolved solids, respectively, and a and b are the stoichiometric coefficients. The kinetics of the dissolution reaction are often described by the shrinking core model in which the outer surface of the solid reactants is initially surrounded by a liquid film, so that the reaction between the solid and the fluid reactants occurs in this region. This means that mass transfer between solid and bulk fluid is carried out through liquid film. As the reaction proceeds, the unreacted solid core shrinks to the solid center, and a porous product layer is formed around the unreacted core. However, as the leaching reaction continues, it is assumed that the initial external radius of the solid remains unchanged [28,29,30,31,32].
aAfluid + bBsolid → product,
If the leaching rate is controlled by liquid film diffusion, the integrated rate equation is written as:
If diffusion across the product layer controls the rate of the reaction, the integrated rate equation is provided by:
If the leaching rate is controlled by chemical reaction, the integrated rate equation for this step is stated as:
where x is the transformation efficiency of the solid particles, kd is the apparent speed constant for diffusion through the product layer, kl is the apparent rate constant for diffusion through the fluid film, kr is the apparent rate constant for surface chemical reactions, and t is the reaction time.
The data from the preceding experiments are summarized and analyzed. Table 3 summarizes the apparent rate constants and correlation coefficients calculated in the figure under experimental conditions. Clearly, the regression coefficients of Equations (4) and (5) are very low, indicating that these two processes are not the rate-controlling steps. The regression coefficient of Equation (6) is the best and is very close to 1, indicating that this model provides a good description of the factors controlling the leaching rate.
Table 3.
Apparent rate constants kr, and kd for the kinetic models and correlation coefficient values.
To assess the dissolving kinetic parameters and rate control stages of hemimorphite in 5-sulfosalicylic acid solution, and to determine the validity of the model described in Equation (6), the curves of experimental parameters with time were plotted against the left-hand side of Equation (6). The obtained curves are presented in Figure 6, Figure 7, Figure 8 and Figure 9. It is observed from the results in the figures that the kinetic model described in Equation (6) accurately represents the dissolution process of hemimorphite. Not only can the activation energy of the leaching process be determined as E = 55.244 kJ/mol using the Arrhenius equation, but also the Arrhenius diagram of the leaching process can be produced, as shown in Figure 10a.
Figure 6.
Plot of 1 − (1 − x)1/3 versus time for various temperatures.
Figure 7.
Plot of 1 − (1 − x)1/3 versus time for various 5-sulfosalicylic acid concentrations.
Figure 8.
Plot of 1 − (1 − x)1/3 versus time for various particle sizes.
Figure 9.
Plot of 1 − (1 − x)1/3 versus time for various stirring speeds.
Figure 10.
(a) Arrhenius plot of the leaching of hemimorphite. (b) Plot of ln k versus 5-sulfosalicylicacid concentrations. (c) Plot of ln k versus particle sizes. (d) Plot of ln k versus stirring speed.
The kinetic equation for the dissolution process can be written as:
where C, r0, SS, E, R, and T are the concentration, particle size, stirring speed, activation energy, universal gas constant, and temperature, respectively. Constants α, β, and γ are the reaction orders of the relevant parameters, and k0 is the attempt frequency factor or pre-exponential factor.
The values of α, β, and γ were determined to be 0.3385, −0.6083, and 0.4992 from Figure 10b–d. Therefore, the leaching kinetics of the hemimorphite can be represented by the following expression:
3.7. SEM-EDS Analysis
SEM-EDS can be used to observe the changes of mineral surface morphology and semi-quantitative analysis of minerals to determine the leaching effect. SEM-EDS was used to determine the leaching effect of 5-sulfosalicylic acid on hemimorphite. Figure 11a,b illustrates the surface SEM morphology of hemimorphite and leaching residue after leaching, respectively. It can be seen from Figure 11a that the hemimorphite is distributed in blocks, and the particle size is large. As shown in Figure 11b, the leaching residue is also distributed in blocks, but the particle size is much smaller than that of the hemimorphite. To further prove the chemical composition of hemimorphite and leaching residue, the surfaces of the two samples were analyzed by EDS, and the results are shown in Figure 12. It must be pointed that the C shown in the Figure 12 came from the conductive adhesive, so it was not analyzed. The energy spectrum in Figure 12a shows the peaks of O, Si and Zn, and the atomic concentration of Zn and Si are 25.9% and 3.8%, respectively. The energy spectrum of Figure 12b also shows the peaks of O, Si and Zn, but the atomic concentration of Zn is almost 0 and the atomic concentration of Si is 1.8%, indicating that almost all of Zn is leached and a small amount of Si is leached, so the leaching effect is remarkable.
Figure 11.
Scanning electron micrographs of the samples of hemimorphite (a) Before leaching (b) Leaching residue.
Figure 12.
EDS spectra of raw ore and leaching residue of hemimorphite (a) Hemimorphite (b) Leaching residue of hemimorphite.
4. Conclusions
SEM analysis was used to investigate the dissolution kinetics of hemimorphite minerals in 5-sulfosalicylic acid solution, and the parameters that influence hemimorphite mineral dissolution. The rate of dissolution of hemimorphite increases when particle size decreases and temperature, 5-sulfosalicylic acid concentration, and stirring speed rise. The findings indicate that 5-sulfosalicylic acid can be employed as a good zinc leaching agent in hemimorphite. Temperature, 5-sulfosalicylic acid concentration, particle size, and stirring speed at 50 °C, 0.175 mol/L, 82.5 μm, and 650 rpm, respectively, produced the best leaching rate for the tested range of experimental variables. The zinc extraction rate was over 95% after 15 min of reaction time.
The nucleation model was shown to be consistent with the dissolution kinetics of hemimorphite in 5-sulfosalicylic acid solution. The disintegration rate is calculated as follows: . 0.3385, 0.6083, and 0.4992 are the response values to 5-sulfosalicylic acid concentration, particle size, and stirring rate, respectively.
According to the SEM-EDS data, the hemimorphite raw ore and leaching residue are distributed in blocks, but the leaching residue has a smaller particle size, and the atomic concentrations of Zn and Si in the leaching residue are significantly lower than those in the hemimorphite raw ore, so the leaching effect is remarkable.
Author Contributions
Y.L.: Conceptualization, data curation, investigation, methodology, software, writing—original draft; S.W.: visualization, investigation, funding acquisition; J.C.: literature retrieval, diagramming; D.W.: writing—reviewing and editing, supervision, validation, funding acquisition; Y.W.: methodology, software, writing-reviewing and editing. All authors have read and agreed to the published version of the manuscript.
Funding
This research was funded by the Ten Thousand Talent Plans for Young Top-notch Talents of Yunnan Province (No. YNWR-QNBJ-2019-131).
Data Availability Statement
Not applicable.
Acknowledgments
This research project was supported by Ten Thousand Talent Plans for Young Top-notch Talents of Yunnan Province (No. YNWR-QNBJ-2019-131), and Analysis and Testing Fund of Kunming University of Technology (No. 2019T20170076).
Conflicts of Interest
The authors declare no conflict of interest.
References
- Jia, K.; Lu, Y.; Liu, J.; Cheng, S.; Liu, S.; Cao, Y.; Li, G. Selective flotation separation of hemimorphite from quartz using the biosurfactant sodium N-lauroylsarcosinate as a novel collector. Miner. Eng. 2023, 198, 108073. [Google Scholar] [CrossRef]
- Zhang, X.; Deng, J.; Wang, Y.; Li, S.; Zhao, H.; Liu, C.; Sun, Z. Adsorption characteristics of Pb(Ⅱ)ions on sulfidized hemimorphite surface under ammonium sulfate system. J. Min. Sci. Technol. Engl. 2023, 33, 8. [Google Scholar] [CrossRef]
- Xing, D.; Huang, Y.; Lin, C.; Zuo, W.; Deng, R. Strengthening of sulfidization flotation of hemimorphite via fluorine ion modification. Sep. Purif. Technol. 2021, 269, 118769. [Google Scholar] [CrossRef]
- Cao, J.; Yang, J.; Wu, D.; Wang, Z.; Chen, H. Surface modification of hemimorphite by using ammonium carbamate and its response to flotation. Appl. Surf. Sci. 2022, 605, 154775. [Google Scholar] [CrossRef]
- Yi, Y.; Li, P.; Zhang, G.; Feng, Q.; Han, G. Stepwise activation of hemimorphite surfaces with lead ions and its contribution to sulfidization flotation. Sep. Purif. Technol. 2022, 299, 121679. [Google Scholar] [CrossRef]
- Zuo, Q.; Yang, J.; Shi, Y.; Wu, D. Use of sodium sulfosalicylate as an activator in hemimorphite sulfidation xanthate flotation. Colloids Surfaces A Physicochem. Eng. Asp. 2022, 641, 128552. [Google Scholar] [CrossRef]
- Zuo, Q.; Yang, J.; Shi, Y.; Wu, D. Activating hemimorphite using a sulfidation-flotation process with sodium sulfosalicylate as the complexing agent. J. Mater. Res. Technol. 2020, 9, 10110–10120. [Google Scholar] [CrossRef]
- Yang, J.; Chen, L.; Wu, D.; Zeng, J. Sodium sulfosalicylate activation mechanism on sulfidation flotation of smithsonite using dodecylamine as a collector. Miner. Eng. 2023, 192, 107987. [Google Scholar] [CrossRef]
- Zhao, D.; Yang, S.; Chen, Y. Leaching of hemimorphite in neutral solution at high temperature. J. Min. Metall. Sect. B Metall. 2020, 56, 203–208. [Google Scholar] [CrossRef]
- Yang, K.; Sun, C.; Qu, H.; Shuo, L.; Luo, Y.; Zhang, L.; Ma, A. Recovery of Zinc from Oxide-Sulphide Zinc Ore Through Oxidation and Chelation//Materials Engineering—From Ideas to Practice: An EPD Symposium in Honor of Jiann-Yang Hwang; Springer International Publishing: Berlin/Heidelberg, Germany, 2021; pp. 161–169. [Google Scholar] [CrossRef]
- Kumaş, C.; Obut, A. Effect of heating on structure and leaching characteristics of a zinc carbonate ore. Physicochem. Probl. Miner. Process. 2021, 57, 23–32. [Google Scholar] [CrossRef]
- Soltani, F.; Darabi, H.; Aram, R.; Ghadiri, M. Leaching and solvent extraction purification of zinc from Mehdiabad complex oxide ore. Sci. Rep. 2021, 11, 1566. [Google Scholar] [CrossRef]
- Seo, S.; Han, K.S.; Lee, S.I.; Kim, M.J. The Recovery of Cu, Co, Zn, and Mn from a Complex Oxide Ore Using an Enhanced Reduction Leaching. Metals 2021, 11, 1636. [Google Scholar] [CrossRef]
- Ehsani, A.; Ehsani, I.; Obut, A. Preparation of different zinc compounds from a smithsonite ore through ammonia leaching and subsequent heat treatment. Physicochem. Probl. Miner. Process. 2021, 57, 96–106. [Google Scholar] [CrossRef]
- Long, H.; Tan, X.; Ni, S.; Ma, A.; Li, S.; Zhu, D. Ammoniacal leaching behavior and regularity of zinc ash. Int. J. Chem. React. Eng. 2022, 5, 87. [Google Scholar] [CrossRef]
- He, F.; Gao, L.; Chen, L.; Rao, B.; Shen, H.; Peng, K.; Gao, G.; Zhang, M. Study on the mechanism and kinetics of sulfuric acid leaching scandium from rich scandium anatase. Physicochem. Probl. Miner. Process. 2022, 58, 146171. [Google Scholar] [CrossRef]
- Koohestani, H.; Khatami, E.S.; Babaei, K. Comparative investigation of leaching of zinc from wastes of the zinc alloy production process. Miner. Process. Extr. Met. 2021, 130, 362–368. [Google Scholar] [CrossRef]
- Wang, L.; Gao, H.; Song, S.; Xue, N.; Zhang, J.; Yang, S.; Liu, C. Experimental and kinetic study of zinc leaching from metallurgical slag by 5-sulfosalicylic acid. Physicochem. Probl. Miner. Process. 2021, 57, 8–20. [Google Scholar] [CrossRef]
- Xin, C.F.; Xia, H.Y.; Zhang, Q.; Zhang, L.B.; Zhang, W. Leaching of zinc and germanium from zinc oxide dust in sulfuric acid-ozone media. Arab. J. Chem. 2021, 14, 103450. [Google Scholar] [CrossRef]
- Sun, Y.; Gu, Y.; Jiang, Y. Adsorption Behavior of a Tri-functionalized Imprinted Resin with High Selectivity for 5-Sulfosalicylic Acid:Batch Experiments and DFT Calculation. J. Hazard. Mater. 2021, 412, 125271. [Google Scholar] [CrossRef] [PubMed]
- Li, M.-C.; Ghanbari, F.; Chang, F.-C.; Hu, C.; Lin, K.-Y.A.; Du, Y. Enhanced degradation of 5-sulfosalicylic acid using peroxymonosulfate activated by ordered porous silica-confined Co3O4 prepared via a solvent-free confined space strategy. Sep. Purif. Technol. 2020, 249, 116972. [Google Scholar] [CrossRef]
- Li, J.; Gao, Y.; Chen, Z.; Wang, R.; Xu, Z. Study on aluminum removal through 5-sulfosalicylic acid targeting complexing and D290 resin adsorption. Miner. Eng. 2020, 147, 106175. [Google Scholar] [CrossRef]
- Tunca, E.; Bülbül, M.; Ilkimen, H.; Canlıdinç, R.S.; Yenikaya, C. Investigation of the effects of the proton transfer salts of 2-aminopyridine derivatives with 5-sulfosalicylic acid and their Cu(II) complexes on cancer-related carbonic anhydrases: CA IX and CA XII. Chem. Pap. 2020, 74, 2365–2374. [Google Scholar] [CrossRef]
- Ristić, P.; Todorović, T.R.; Blagojević, V.; Klisurić, O.R.; Marjanović, I.; Holló, B.B.; Vulić, P.; Gulea, M.; Donnard, M.; Monge, M.; et al. 1D and 2D Silver-Based Coordination Polymers with Thiomorpholine-4-carbonitrile and Aromatic Polyoxoacids as Coligands: Structure, Photocatalysis, Photoluminescence, and TD-DFT Study. Cryst. Growth Des. 2020, 20, 4461–4478. [Google Scholar] [CrossRef]
- Islam, S.; Ansary, R.H.; Farooque, A.; Asraf, A. Synthesis and Characterization of Schiff Base Complexes of Cu(II), Co(II) and Cd(II) Derived from Ethylenediamine and Benzaldehyde Derivatives. Asian J. Appl. Chem. Res. 2020, 6, 34–46. [Google Scholar] [CrossRef]
- Ivanova, B.; Spiteller, M. Electrospray ionization stochastic dynamic mass spectrometric 3D structural analysis of ZnII–ion containing complexes in solution. Inorg. Nano-Metal Chem. 2021, 52, 1407–1429. [Google Scholar] [CrossRef]
- Ma, L.; Zhao, F.; Zhang, J.; Ma, G.; Zhao, Y.; Zhang, J.; Chen, G. Catalytic oxidation of polymer used in oilfield by supported Co(II) complex within a high pH range. Comptes Rendus Chim. 2022, 24, 61–68. [Google Scholar] [CrossRef]
- Liu, S.; Ding, E.; Ning, P.; Xie, G.; Yang, N. Vanadium extraction from roasted vanadium-bearing steel slag via pressure acid leaching. J. Environ. Chem. Eng. 2021, 9, 105195. [Google Scholar] [CrossRef]
- Shi, Y.; Zuo, Q.; Liu, D.; Wu, D. Dissolution kinetics of malachite in trichloroacetic acid solution. J. Iran. Chem. Soc. 2022, 19, 2581–2590. [Google Scholar] [CrossRef]
- Chen, Z.; Ye, G.; Xiang, P.; Tao, Y.; Tang, Y.; Hu, Y. Effect of activator on kinetics of direct acid leaching of vanadium from clay vanadium ore. Sep. Purif. Technol. 2022, 281, 119937. [Google Scholar] [CrossRef]
- Ilyas, S.; Srivastava, R.R.; Kim, H.; Ilyas, N. Biotechnological recycling of hazardous waste PCBs using Sulfobacillus thermosulfidooxidans through pretreatment of toxicant metals: Process optimization and kinetic studies. Chemosphere 2022, 286, 131978. [Google Scholar] [CrossRef]
- Ilyas, S.; Srivastava, R.R.; Kim, H. Mobilization of platinum and palladium from exhausted catalytic converters using bio-cyanide and an ionic-liquid as mass transport carriers. Green Chem. 2022, 24, 5204–5218. [Google Scholar] [CrossRef]
Disclaimer/Publisher’s Note: The statements, opinions and data contained in all publications are solely those of the individual author(s) and contributor(s) and not of MDPI and/or the editor(s). MDPI and/or the editor(s) disclaim responsibility for any injury to people or property resulting from any ideas, methods, instructions or products referred to in the content. |
© 2023 by the authors. Licensee MDPI, Basel, Switzerland. This article is an open access article distributed under the terms and conditions of the Creative Commons Attribution (CC BY) license (https://creativecommons.org/licenses/by/4.0/).











