Research on the Selective Electrocatalytic Reduction of SO2 to Recover S0 by Pb Electrode
Abstract
1. Introduction
2. Materials and Methods
2.1. Chemicals and Reagents
2.2. Experimental Procedure
2.3. Analysis and Characterization
2.4. Electrode Sulfur Poisoning Analysis
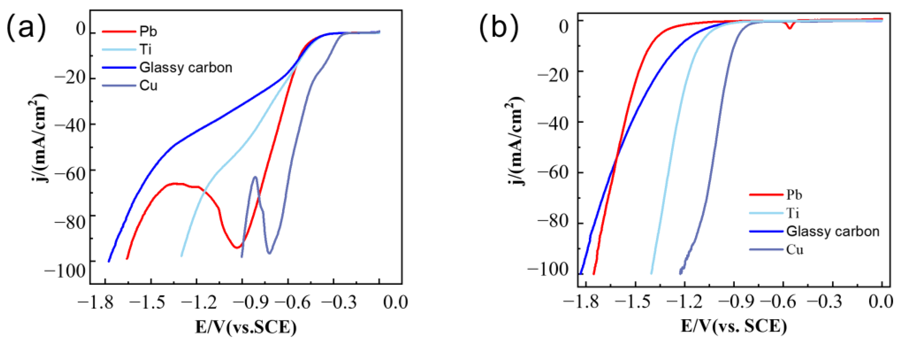
2.5. Screening of Electrode Materials
3. Results and Discussion
3.1. Surfactant Inhibition of Cathodic Sulfur Toxicity
3.1.1. Selection Basis of Surfactant
3.1.2. Effect of Surfactant on Inhibition of Cathode S0 Poisoning
3.1.3. Effect of Surfactants on Electrochemical Reduction of SO2
- (1)
- SDBS concentrations
- (2)
- Electrochemical reduction behavior of SO2 in SDBS solution
- (3)
- Effect of SDBS on the morphology of the product
3.2. Selectivity and Activity
4. Conclusions
- (1)
- Pb possess a good catalytic activity and high hydrogen potential for sulfur dioxide electro-reduction, which effectively inhibited the occurrence of hydrogen evolution side reactions and increased the selectivity of elemental sulfur.
- (2)
- The use of surfactants in the sulfur dioxide electrolysis system was reported for the first time. SDBS had the most notable inhibitory effect on cathode sulfur poisoning, which can reduce the content of sulfur on cathode from 31.82% to 2.17%.
- (3)
- A novel system for the electrolytic reduction of sulfur dioxide was developed. The Pb electrode was found to have high selectivity for elemental sulfur, good stability during prolonged electrolysis, and high catalytic activity for sulfur dioxide electro-reduction. The Faraday efficiency of elemental sulfur was optimized to 83.5% at pH = 0.25, E = −0.8 V (vs. SCE).
Supplementary Materials
Author Contributions
Funding
Institutional Review Board Statement
Informed Consent Statement
Data Availability Statement
Conflicts of Interest
References
- Xu, D.J.; Huang, G.; Guo, L.; Chen, Y.J.; Ding, C.; Liu, C.C. Enhancement of catalytic combustion and thermolysis for treating polyethylene plastic waste. Adv. Compos. Hybrid Mater. 2022, 5, 113–129. [Google Scholar] [CrossRef]
- Zhang, L.; Yang, L.B.; Chen, J.B.; Zhou, X.F. Adsorption of SO2 and NH3 onto copper/graphene nanosheets composites: Statistical physics interpretations, thermodynamic investigations, and site energy distribution analyses. Chem. Eng. J. 2022, 446, 137224. [Google Scholar] [CrossRef]
- Contigiani, C.C.; Fornes, J.P.; Perez, O.G.; Bisang, J.M. Evaluation of a decaying swirling flow electrochemical reactor for the manufacture of colloidal sulphur by reduction of sulphur dioxide. Chem. Eng. Process. 2020, 157, 108111. [Google Scholar] [CrossRef]
- Zhang, H.P.; Zhang, R.; Ni, Y.X.; Chen, M.; Sun, C.H.; Dong, F.Q. SO2 adsorption and conversion on pristine and defected calcite {104} surface: A density functional theory study. Appl. Surf. Sci. 2022, 596, 153575. [Google Scholar] [CrossRef]
- He, J.B.; Impeng, S.; Zhang, J.; Zhang, J.P.; Wang, P.L.; Zhang, D.S. SO2-tolerant NOx reduction over SO42−-coordinated Cu-SAPO-34 catalysts via protecting the reduction and re-oxidation of Cu sites. Chem. Eng. J. 2022, 448, 137720. [Google Scholar] [CrossRef]
- Kateivas, K.S.B.; Cairo, P.A.R.; Neves, P.H.S.; Ribeiro, R.S.S.; Machado, L.M.; Leitao, C.A.E. The impact of NOx and SO2 emissions from a magnesite processing industry on morphophysiological and anatomical features of plant bioindicators. Acta Physiol. Plant. 2022, 44, 77. [Google Scholar] [CrossRef]
- Zhao, Y.; Duan, L.; Xing, J.; Larssen, T.; Nielsen, C.P.; Hao, J.M. Soil Acidification in China: Is Controlling SO2 Emissions Enough? Environ. Sci. Technol. 2009, 43, 8021–8026. [Google Scholar] [CrossRef] [PubMed]
- Quijada, C.; Morallon, E.; Vazquez, J.L.; Berlouis, L.E.A. Electrochemical behaviour of aqueous SO2 at polycrystalline gold electrodes in acidic media. A voltammetric and in-situ vibrational study. Part II. Oxidation of SO2 on bare and sulphur-modified electrodes. Electrochim. Acta 2000, 46, 651–659. [Google Scholar] [CrossRef]
- Hu, H.; Zhang, J.L.; Wang, W.C.; Lu, X. Experimental and mechanism studies on the catalytic reduction of SO2 by CO over Fe2O3/gamma-Al2O3 in the presence of H2O. React. Kinet. Mech. Catal. 2013, 110, 359–371. [Google Scholar] [CrossRef]
- Wang, G.J.; Qin, Y.N.; Ma, Z.; Qi, X.Z.; Ding, T. Study on the catalytic reduction of SO2 by CO and sulfurization process in the presence of oxygen over doped Cu-LaCoO3 catalysts. Chin. J. Inorg. Chem. 2006, 22, 571–576. [Google Scholar]
- Chai, L.Y.; Yang, B.T.; Liu, H.; Xiang, K.S.; Yang, S.; Peng, C. Se-catalyzed process of sodium bisulfite disproportionation. J. Chem. Technol. Biot. 2016, 91, 1023–1030. [Google Scholar] [CrossRef]
- Wang, G.J.; Qin, Y.N.; Ma, Z.; Qi, X.Z.; Ding, T. Study on the catalytic reduction mechanism of SO2 by CO over doped copper perovskite catalyst in presence of oxygen. React. Kinet. Catal. Lett. 2006, 89, 229–236. [Google Scholar] [CrossRef]
- Lan, T.; Zhang, X.W.; Yu, Q.N.; Lei, L.C. Study on the Relationship between Absorbed S(IV) and pH in the Seawater Flue Gas Desulfurization Process. Ind. Eng. Chem. Res. 2012, 51, 4478–4484. [Google Scholar] [CrossRef]
- Li, Z.Y.; Chen, J.D.; Jiang, M.; Li, L.N.; Zhang, J.Y.; Duan, W.B.; Wen, J.J.; Wang, H.M.; Liu, M.; Zhang, Q.L.; et al. Study on SO2 Poisoning Mechanism of CO Catalytic Oxidation Reaction on Copper-Cerium Catalyst. Catal. Lett. 2021, 152, 2729–2737. [Google Scholar] [CrossRef]
- Liu, C.C.; Huang, Q.; Zheng, K.H.; Qin, J.W.; Zhou, D.C.; Wang, J. Impact of Lithium Salts on the Combustion Characteristics of Electrolyte under Diverse Pressures. Energies 2020, 13, 5373. [Google Scholar] [CrossRef]
- Fornes, J.P.; Bisang, J.M. Cathode depassivation using ultrasound for the production of colloidal sulphur by reduction of sulphur dioxide. Electrochim. Acta 2016, 213, 186–193. [Google Scholar] [CrossRef]
- Streeter, I.; Wain, A.J.; Davis, J.; Compton, R.G. Cathodic reduction of bisulfite and sulfur dioxide in aqueous solutions on copper electrodes: An electrochemical ESR study. J. Phys. Chem. B 2005, 109, 18500–18506. [Google Scholar] [CrossRef] [PubMed]
- Quijada, C.; Vazquez, J.L. Electrochemical reactivity of aqueous SO2 on glassy carbon electrodes in acidic media. Electrochim. Acta 2005, 50, 5449–5457. [Google Scholar] [CrossRef]
- Liu, C.C.; Xu, D.J.; Weng, J.W.; Zhou, S.J.; Li, W.J.; Wan, Y.Q.; Jiang, S.J.; Zhou, D.C.; Wang, J.; Huang, Q. Phase Change Materials Application in Battery Thermal Management System: A Review. Materials 2020, 13, 4622. [Google Scholar] [CrossRef] [PubMed]









| Electrolyte | Slope (Figure 3) | Electrode Surface Sulfur Content (%) (EDS Results) |
|---|---|---|
| Na2SO3 | 0.009 | 31.82 |
| IPA + Na2SO3 | 0.006 | 16.5 |
| PVP + Na2SO3 | 0.005 | 4.28 |
| SDBS + Na2SO3 | 0.003 | 2.17 |
Disclaimer/Publisher’s Note: The statements, opinions and data contained in all publications are solely those of the individual author(s) and contributor(s) and not of MDPI and/or the editor(s). MDPI and/or the editor(s) disclaim responsibility for any injury to people or property resulting from any ideas, methods, instructions or products referred to in the content. |
© 2023 by the authors. Licensee MDPI, Basel, Switzerland. This article is an open access article distributed under the terms and conditions of the Creative Commons Attribution (CC BY) license (https://creativecommons.org/licenses/by/4.0/).
Share and Cite
Liu, X.; Wang, X.; Long, J.; Xie, X.; Wu, L.; Wang, Z.; Fu, Y.; Chen, H.; Xiang, K.; Liu, H. Research on the Selective Electrocatalytic Reduction of SO2 to Recover S0 by Pb Electrode. Metals 2023, 13, 569. https://doi.org/10.3390/met13030569
Liu X, Wang X, Long J, Xie X, Wu L, Wang Z, Fu Y, Chen H, Xiang K, Liu H. Research on the Selective Electrocatalytic Reduction of SO2 to Recover S0 by Pb Electrode. Metals. 2023; 13(3):569. https://doi.org/10.3390/met13030569
Chicago/Turabian StyleLiu, Xudong, Xiaoyang Wang, Jiaqi Long, Xiaofeng Xie, Lin Wu, Zhujiang Wang, Yingxue Fu, Hao Chen, Kaisong Xiang, and Hui Liu. 2023. "Research on the Selective Electrocatalytic Reduction of SO2 to Recover S0 by Pb Electrode" Metals 13, no. 3: 569. https://doi.org/10.3390/met13030569
APA StyleLiu, X., Wang, X., Long, J., Xie, X., Wu, L., Wang, Z., Fu, Y., Chen, H., Xiang, K., & Liu, H. (2023). Research on the Selective Electrocatalytic Reduction of SO2 to Recover S0 by Pb Electrode. Metals, 13(3), 569. https://doi.org/10.3390/met13030569
