Abstract
Diffusion of deuterium in indium is studied herein. In the temperature range 200–350 K, mass transfer is controlled predominantly by the mechanism of overbarrier atomic jumps; at temperatures from 80 to 120 K, by tunneling; whereas in the range from 120 to 200 K, there takes place a gradual transition from one migration mechanism to the other. These results are of fundamental significance since it is shown for the first time that quantum diffusion can be observed in a metal with a crystal lattice other than the body centered cubic one. Conditions are specified that are necessary for the observation of quantum diffusion of hydrogen: low values of Debye temperature, density of atomic packing in the lattice, and distance between the nearest equilibrium positions of hydrogen atoms. Moreover, data on the influence of point defects on hydrogen tunneling in solids are gained for the first time as well. The quantum diffusion coefficient is twice as high in the sample with enhanced vacancy concentration.
1. Introduction
Quantum diffusion of hydrogen in metals was first observed as far back as 50 years ago [1], and two mechanisms of atomic migration in solids are currently considered to exist: classical—overbarrier jumps and quantum—tunneling. Both mechanisms are realized simultaneously at any temperature, yet, the rate of classical diffusion is in majority of cases far higher, and it is a rare case when the mass transfer by tunneling dominates and can be experimentally examined. In view of this, quantum diffusion is poorly investigated, and its database contains only four results: for protium in Nb and Ta [1,2] and deuterium in Na [3] and K [4]. They were obtained at low temperatures —with respect to diffusion scaling—from 90 to 250 K. In the above cases, observation of quantum diffusion was based on the registration of bends on the temperature dependence of diffusion coefficients in coordinates ; at higher temperatures there dominates classical diffusion, whereas below the bend, a quantum one. Scarce experimental data on quantum diffusion are accounted for by fundamental regularities of quantum mechanics concerning tunneling and vibrational spectra of solids, which helps to explain, in particular that the tunneling is observed only in the case of hydrogen diffusion, the lightest element, in metals with rather a low Debye temperature () and at temperatures lower than [4]. Hydrogen is involved in many nature and engineering processes and data on its quantum diffusion are of interest for materials science, quantum chemistry, diffusion theory, low-temperature technologies, astrophysics, and other scientific and technical branches [5,6,7,8,9,10,11,12].
It is worth drawing attention to the fact that tunneling of hydrogen was observed only in metals with a body-centered cubic lattice (bcc). However, no evidence was presented that the type of crystal lattice is a fundamental condition for the observation of quantum mechanism of migration. For this reason, registration of tunneling in at least one metal with a crystal lattice other than bcc can give rise to multiple investigations of tunneling in solids with different crystal lattices, expand database on quantum diffusion, and raise the level of understanding of quantum mechanism of atomic migration. In view of this, the task of the current work was accumulation of experimental data on the hydrogen diffusion at cryogenic temperature in a metal, which according to the current theoretical conceptions, is promising for the observation of hydrogen quantum diffusion and has non-bcc crystal lattice.
When choosing an object for experiments, we took into consideration the results of theoretical work of Schober and Stoneham [13], in which the possibility of observation of hydrogen tunneling in Lu with a hexagonal close packed lattice (hcp) was predicted. In this work, quantum effects upon diffusion were accounted for in the small polaron model [14], the transition probability was found with the use of the Fermi golden rule expression for quantum transition rates, and for phonon physics, the Born-Oppenheimer approximation was employed. In later works [10,15,16], other models were used which confirmed the main result of work [13], according to which the necessary condition for the bend on the dependence to be observed is rather small, about 0.15 nm, distance between equilibrium positions of hydrogen atoms in the lattice, and, as a consequence, high probability of tunneling transition between them. Yet, this prediction for quantum diffusion of hydrogen in Lu may be erroneous since it does not take into consideration the height of energy barrier between the equilibrium positions of hydrogen atoms and characteristics of methods which are used for measuring diffusion coefficients. Each technique is characterized by a lower limit of meaningful values, let us denote it and the technique cannot be applied to observation of quantum diffusion in metals which possess at the Debye temperature. In this regard, metals with takes up inadmissibly high values had to be excluded from sampling. This is a nontrivial problem since for many metals, reliable experimental data on hydrogen diffusion are unavailable in the literature, first for metals with a very low hydrogen solubility and those in which hydrides can form when annealing in hydrogen.
When solving this problem, we used results of works on the activation energy of diffusion of interstitial atoms in metals. In models based on the elasticity theory, the height of barrier is controlled by the atomic packing factor in a crystal lattice and elasticity modules of the metal [17,18]. For example, for a bcc lattice and for hcp and face-centered cubic lattices. These values are the results of simulation for solid atomic spheres. The choice of objects for the study was made, accounting for the possible values of their elasticity modules and Debye temperatures, as well as methodical characteristics for measuring the deuterium diffusion. In the work presented, the online mode of the method of nuclear reactions, NRAOL, was used for measuring deuterium diffusion coefficients. It is characterized by a lower limit of highly accurately measured values equal to 10–17 m2s–1 and surpasses other methods employed for measuring hydrogen diffusion coefficients at cryogenic temperatures. The analysis showed that at and , the NRAOL method provides measurements of quantum diffusion coefficients for all metals. At the same time, for , such a result cannot be guaranteed. Thus, in this way, we gained a reliable and available criterion for selecting a metal with a crystal lattice other than bcc that can be promising for observation of the quantum hydrogen diffusion. Please note that application of the parameter as a criterion can be experimentally verified, as was performed for In in this work.
The main arguments affecting the choice of In were as follows: (i)—it has the non-bcc crystal lattice, namely body-centered tetragonal (bct); (ii)—it meets the requirements for the values of Debye temperature for matrix [4], ; (iii)—in the crystal lattice of In there are closely located tetrahedral interstices, which can be equilibrium positions for hydrogen atoms; (iiii)—the density of atomic packing for the bct lattice of In is the same as for bcc metals, . Data on the diffusion coefficients for hydrogen isotopes in In are unavailable in the literature despite the fact that it is stable with respect to oxidation in air and does not form hydrides when annealed in hydrogen, i.e., it can be considered appropriate for diffusion studies. Perhaps, the reason for the absence of data on for hydrogen in In is low hydrogen solubility.
2. Experimental Methods
The specificity of the NRAOL technique, which was used for measuring the deuterium diffusion coefficients, is the simultaneous realization of three stages of diffusion experiments: formation of diffusion source, diffusion annealing of sample, and measurement of concentration profile , where is the deuterium concentration at a depth in the sample, is the duration of experiment. Accordingly, a sample is placed into a vacuum chamber of the accelerator setup and is continuously irradiated with deuterons; at the same time, sample in the chamber undergoes isothermal diffusion annealing and spectra of protons, products of nuclear reaction 2H(d,p)3H are registered. Using NRAOL, the deuterium diffusion coefficients in substances can be measured at any temperatures, including cryogenic ones. The range of measurable values of makes up 10−17 to 10−12 m2s−1 [19]; the method does not require hydrogen annealing of samples and can be applied to studies of deuterium diffusion in substances in which hydrogen is insoluble. The drawback of the method is its applicability to only one hydrogen isotope—deuterium. The method that we use in this work was the same as in our works [3,4,19]. In this regard, we give here only a brief description of it.
Experiments were performed on a 2 MV Van de Graaff accelerator. The energy of deuterons of the incident beam was 650 keV, the beam diameter was 2 mm, the current was kept constant within 10%. The statistical error in the determination of irradiation dose was about 1%. The sample surface was perpendicular to the incident beam. The internal source of deuterium diffusion, which formed upon irradiation of indium with deuterons, was located at a depth determined using the software SRIM [20]. To register protons, a silicon surface-barrier detector was used, the angle of registration being 160°. Mathematical processing of primary data were fulfilled via comparing spectra from the samples under study with the reference sample of deuteride ZrCr2D0.12 with a constant-in-depth deuterium concentration. In the indium samples under study, the concentration of impurities does not exceed 0.01 wt.%. The samples were 6 mm in diameter and 4 mm thick. To heat and cool samples into a chamber of accelerator, a resistive furnace and flow through liquid nitrogen, wherein temperature was the lower boundary of the diffusion studies, were used. The diffusion studies were performed at temperatures ranging from 85 to 345 K. The annealing temperature was varied by changing the heater power. The sample temperature in the diffusion annealing was kept constant and measured by a chromel-alumel thermocouple with an accuracy of ±1 K. Experimental methods are described in more detail in [3,4,19].
3. Results and Discussion
In Figure 1, proton spectra are given to testify to a high sensitivity of the NRAOL method to changes in the values of ; the output and spectral shape depend on temperature. The deuterium concentration in the diffusion zones under study was less than 2 at.%. Figure 2 presents some results on and at fixed annealing durations and depths, respectively. The values were found in treating the dependences and with the use of solutions for the diffusion equations for the initial and boundary conditions realized in experiment. At enhanced temperatures, , an internal diffusion source was solid solutions of deuterium in indium. In such case, the solution of diffusion equation has the form [3,4]
Figure 1.
Spectra of products of the nuclear reaction 2H(d,p)3H depending on the temperature of diffusion annealing T of indium samples: green line—at T = 273 K, red one, T = 353 K, and black, T = 77 K. Irradiation doses are the same.
Figure 2.
Deuterium concentration c as a function of annealing time t and depth x in the indium samples. Points show experimental data; lines 1 and 2, analytical dependences according to Equation (1), lines 3 and 4, to Equation (2). Curves 1, 2, 3, and 4 correspond to the annealing temperatures T = 293, 77, 203, and 103 K, respectively; curves 1 and 2, to the depths in the sample x = 1.58 and 4.04 µm, respectively; curves 3 and 4, to the annealing times t = 7847 and 5399 s, respectively. Deviations of experimental points from the analytical dependencies are mostly less than mean-square errors in the measurements of the deuterium content using the NRA method. The measurement errors are shown for the four experimental points; in all the other cases, the errors are also around 10%.
Here, is the flow of deuterium ions upon irradiation of sample. At , the sample was two-phase: the internal diffusion source was indium deuteride and upon irradiation of the sample with deuterons, deuterium atoms from it penetrate indium. In this case, when treating the dependences , the solution [3,4] was used for the impurity diffusion in a plate with a thickness and a constant concentration at the plate side
Deviations of experimental point from the analytical dependences in Figure 2 do not exceed the mean-square error in the determination of deuterium concentration with the nuclear reaction analysis (NRA) method. When studying the deuterium diffusion in Na [3] and K [4], the internal soured of diffusion also was solid solution of deuterium in metals at enhanced temperatures and deuteride at low temperatures. Data on the existence of indium hydrides are reported in many works, say [21]. Equations (1) and (2) are obtained under the assumption that the deuterium diffusion coefficients do not depend on the coordinate in the sample and the results in Figure 2 testify to the fulfillment of this condition despite the fact that upon NRAOL, in the sample there form radiation defects which generally can affect values [19]. In indium, radiation defects become annealed at [22] and only at these temperatures, they can affect the deuterium diffusion coefficients. This question will be treated below.
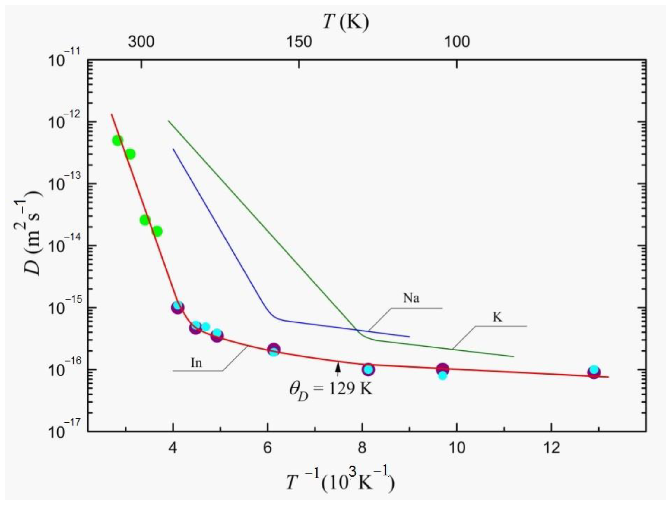
At all temperatures, the diffusion coefficients were determined from the dependences , whereas at , from the data on as well. The first method is more accurate; however, in two-phase samples, the rate of mass transfer can be bound, along with diffusion, to the reaction rate at the interphase boundaries as well, and an indicator of correct measurements is equality of the values found by two methods. As is seen from Figure 3, they do not differ within the statistical error. The mean-square error in the measurements was about 10%. Upon diffusion of deuterium in indium there took place a bend on the dependence , see Figure 3, which indicated the occurrence of quantum diffusion in the vicinity of Debye temperature of the metal, as in all other cases related to the quantum diffusion of protium and deuterium [1,2,3,4]. Please note that the bends in the diffusion plots for deuterium in sodium, potassium, and indium as well as for protium in niobium and tantalum are not associated with any phase changes in the samples. All the listed metals do not experience phase transformations when they are heated or cooled. The bend on the dependence is seen to not be connected with the effect of radiation defects on the diffusion coefficients. For In, the transition from classical diffusion to the quantum took place in the temperature range from 120 to 200 K and was broader than in the systems Nb–H, Ta–H, Na–D, and K–D [1,2,3,4]. In the theoretical work [13] on diffusion of protium in Lu, a broad temperature range for mass transfer with contributions of quantum and classical migration mechanisms was predicted to be about 60 K. For classical diffusion, above the bend temperature, the temperature dependence of the deuterium diffusion coefficients In In was described by expression and, in this case, the values of diffusion activation energy and frequency index were typical of the hydrogen diffusion in metals [1,3,4,15,16,23,24]. Below the Debye temperature, i.e., for the quantum migration mechanism, the diffusion activation energy was close to 0. In Figure 3, data on the temperature dependence of the diffusion coefficients for deuterium in Na and K, where quantum diffusion was observed as well, are shown for comparison. All the three systems demonstrate the same dependences .
Figure 3.
Temperature dependence of the diffusion coefficients D for deuterium in Na [3], K [4], and In. Points show experimental results of the current work on the deuterium diffusion in In: green points are obtained using Equation (1) and experimental data on c(t); blue and violet, using Equation (2); blue points were obtained using data on c(x), violet, c(t). Point sizes approximately equal the mean-square errors of measurements.
There are no available literature data on the influence of crystal lattice defects on the coefficients of hydrogen quantum diffusion, as well as theoretical and methodical works on this problem. At the same time, for classical diffusion, these research methods are traditional, and they serve as information sources on the interaction of hydrogen atoms with defects, formation of segregations, and their influence on the mechanical properties of the substances, etc. In the given work, using the NRAOL technique, experiments were carried out to judge on the influence of vacancies on the quantum diffusion of deuterium in In, based on the following reasons. As mentioned above, application of the NRAOL technique leads to the formation in the sample of radiation defects. In In, above 13 K, there dominate vacancies, and the maximal rate of their annealing is near 100 K [22]. Estimation of their impact on was fulfilled at a temperature of 103 K, at which the main mechanism of deuterium migration is tunneling. Experiments were designed in three steps. First, samples were continuously irradiated with deuterons for more than 4000 s, which made it possible to reach a stationary distribution of defects in the sample. In Figure 4, yellow line shows the dependence for the depth at this step. Then, the irradiation was stopped, the pause also being rather long, about 3500 s. The vacancy concentration in the sample during the pause decreased, while the deuterium diffusion continued. Section Appendix A presents a solution of the diffusion equation for this process (A8), which has the form:
Figure 4.
Time dependence of deuterium concentration c(t) in In at a depth of 4.04 µm: yellow line is calculation by Equation (2) for the sample continuously irradiated with deuterons; red, green, and blue lines are calculations by Equation (3) for D/D1 = 0.25, 0.55, and 1, respectively. Points are experimental data. The sample temperature is 103 K. Mean-square errors are shown for the four experimental points; in all the other cases, the errors are also around 10%.
Here, and , are the coefficients of deuterium diffusion in In prior and after the pause, respectively, the number of deuterium atoms in the diffusion zone of the sample being considered constant. In Figure 4, the dependences during the pause calculated by Equation (3) are shown by red, green, and blue lines. At the third step, the concentration in the sample was measured, the result for a depth of 4.04 µm is shown in Figure 4 by green point. For measuring it, the sample was irradiated by deuterons in the short run, the deuterium input in the third step can be neglected.
As is seen in Figure 4, the coefficients and differ; for the quantum diffusion, it is twice as high for the sample with the enhanced vacancy concentration. This means than the presence of vacancies increases the probability of deuterium tunneling in the In crystal lattice. Please note that a strong influence of the distance between the equilibrium hydrogen positions on the values of tunneling matrix elements was reported in many works [10,11,13]. In our opinion, the results obtained testify to a potential of such research, which can help gaining new information on tunneling in solids. Topical are current theoretical works and development of improved techniques for studying the impact of point defects on the quantum diffusion of hydrogen.
4. Conclusions
Thus, experimental data on the quantum diffusion of hydrogen in a metal with a crystal lattice other than bcc, namely of deuterium in In with a bct lattice, have been obtained for the first time. The result obtained indicates that the type of crystal lattice is by no means an imperative factor specifying conditions for the observation of hydrogen quantum diffusion in many solids. It is the NRAOL technique applied that allows diffusion studies for deuterium in solids to be conducted at cryogenic temperatures and when hydrogen is insoluble in a material. Moreover, by now, the necessary conditions for the observation of hydrogen quantum diffusion have been determined. They are low Debye temperature of a matrix (), temperature of diffusion experiments below , rather low density of atomic packing and distance between the nearest equilibrium positions of hydrogen atoms in the crystal lattice. According to the results obtained, the atomic packing factor of the crystal lattice should not exceed 68%. The distance between nearest equilibrium positions of hydrogen atoms in metals in which quantum diffusion of protium and deuterium was observed ranged between 1.15 and 1.5 Å. In addition, data on the influence of a crystal lattice defects, namely vacancies in In, on the coefficients of hydrogen quantum diffusion are reported for the first time.
Author Contributions
Conceptualization, V.V.; Investigation, T.K., E.V. and O.N.; Writing—original draft preparation, V.V. All authors have read and agreed to the published version of the manuscript.
Funding
The research was carried out within the state assignment of Ministry of Science and Higher Education of the Russian Federation (theme “Function” No. АААА-А19-119012990095-0).
Institutional Review Board Statement
Not applicable.
Informed Consent Statement
Not applicable.
Data Availability Statement
Not applicable.
Conflicts of Interest
The authors declare no conflict of interest.
Appendix A. Diffusion Equation for the NRAOL Technique in the Mode of Irradiation Pause
In the conventional mode of the NRAOL technique, a sample is placed into a vacuum chamber of the accelerator setup and continuously irradiated with deuterons. Upon irradiation, deuterium enters into the sample, and, in the course of annealing, there forms a diffusion zone of deuterium atoms. Simultaneously, the concentration profile is measured using the nuclear reaction 2H(d,p)3H, which occurs when irradiating the sample with deuterons. The values of diffusion coefficients are determined from the dependences via solving diffusion equations for the initial and boundary conditions realized in experiment. On applying the NRAOL technique, in the sample there form radiation defects, which can be taken into account when analyzing the influence of defects on the deuterium diffusion coefficients. First, it is of interest for the temperature range where the quantum mechanism of migration dominates, since it is just the information that is lacking in the literature. To gain it in the work, an approach is proposed which combines two NRAOL modes: continuous irradiation of the sample with deuterons and the subsequent irradiation pause. It is suggested that in the course of the pause, deuterium diffusion goes on, whereas the defect concentration decreases.
The solution of diffusion equation was obtained for a sample in the shape of plane-parallel plate with coordinates and , where is the depth in the sample and is the depth at which internal diffusion source is located. The sample with such characteristics is generated at low temperatures and deuteride of a metal in which the deuterium quantum diffusion is investigated serves as an internal diffusion source. A differential equation of diffusion problem when the diffusion coefficient depends on time has the form
Let continuous irradiation of the sample be effected for the time and deuterium diffusion be described by the coefficient , which corresponds to the concentration of radiation defects accumulated upon prolonged irradiation. Diffusion Equation (A1) takes the form
On the right side of the sample, the deuterium concentration is kept constant
whereas on the left side, a deuterium flow through the sample is absent
The initial condition for the diffusion problem is the absence of deuterium in the sample is
The solution of Equations (A2)–(A5) has the form
Suppose that at an instant there starts an irradiation pause with the duration and coefficient of deuterium diffusion , the initial condition being specified by the concentration profile reached in the course of irradiation . Let the effective coefficients of quantum diffusion and be different because of a decrease in the defect concentration in the sample for the pause time. Then, it is obvious that the approach proposed for the estimation of the defect impact on the coefficient of quantum diffusion can be applied only when the defect mobility in the sample under experiment is rather high. In the preliminary experiments, it was obtained that the number of deuterium atoms in the diffusion zone is unchanged during the pause and the corresponding boundary condition has the form
In the mode of irradiation, deuterium atoms enter into the metallic sample from the metal deuteride, while during the pause, this does not occur, as is seen from Equation (A7). This testifies to a high binding energy of deuterium atoms in the deuteride in the given case. Fulfillment of condition Equation (A7) in each particular case can be easily checked experimentally. With the account for this boundary condition, the following solution of the diffusion equation for the NRAOL technique in the mode of pause when the time registration starts from the instant is as follows:
References
- Qi, Z.; Völkl, J.; Lässer, R.; Wenzl, H. Tritium diffusion in V, Nb and Ta. J. Phys. F Met. Phys. 1983, 13, 2053–2062. [Google Scholar] [CrossRef]
- Messer, R.; Blessing, A.; Dais, S.; Höpfel, D.; Majer, G.; Schmidt, C.; Seeger, A.; Zag, W.; Lässer, R. Nuclear magnetic resonance studies of hydrogen diffusion, trapping, and site occupation in metals. Z. Phys. Chem. 1986, 1986, 61–119. [Google Scholar] [CrossRef]
- Vykhodets, V.; Nefedova, O.; Kurennykh, T.; Obukhov, S.; Vykhodets, Y. Quantum diffusion of deuterium in sodium. J. Phys. Chem. A 2019, 123, 7536−7539. [Google Scholar] [CrossRef] [PubMed]
- Vykhodets, V.; Nefedova, O.; Kurennykh, T.; Obukhov, S.; Vykhodets, Y. Debye Temperature and Quantum Diffusion of Hydrogen in Body-Centered Cubic Metals. ACS Omega 2022, 7, 8385−8390. [Google Scholar] [CrossRef] [PubMed]
- Kimizuka, H.; Ogata, S.; Shiga, M. Unraveling anomalous isotope effect on hydrogen diffusivities in fcc metals from first principles including nuclear quantum effects. Phys. Rev. B Condens. Matter Mater. Phys. 2019, 100, 024104. [Google Scholar] [CrossRef]
- Kashlev, Y.A. Three regimes of diffusion migration of hydrogen atoms in metals. Theor. Math. Phys. 2005, 145, 1590–1603. [Google Scholar] [CrossRef]
- Fang, W.; Richardson, J.O.; Chen, J.; Li, X.-Z.; Michaelides, A. Simultaneous deep tunneling and classical hopping for hydrogen diffusion on metals. Phys. Rev. Lett. 2017, 119, 126001. [Google Scholar] [CrossRef]
- Emin, D.; Baskes, M.I.; Wilson, W.D. Small-polaronic diffusion of light interstitials in bcc metals. Phys. Rev. Lett. 1979, 42, 791–794. [Google Scholar] [CrossRef]
- Schober, H.R.; Stoneham, A.M. Diffusion of hydrogen in niobium. Phys. Rev. Lett. 1988, 60, 2307–2310. [Google Scholar] [CrossRef]
- Sundell, P.G.; Wahnström, G. Activation energies for quantum diffusion of hydrogen in metals and on metal surfaces using delocalized nuclei within the density-functional theory. Phys. Rev. Lett. 2004, 92, 155901. [Google Scholar] [CrossRef]
- Di Stefano, D.; Mrovec, M.; Elsässer, C. First-principles investigation of quantum mechanical effects on the diffusion of hydrogen in iron and nickel. Phys. Rev. B Condens. Matter Mater. Phys. 2015, 92, 224301. [Google Scholar] [CrossRef]
- Kimizuka, H.; Ogata, S.; Shiga, M. Mechanism of fast lattice diffusion of hydrogen in palladium: Interplay of quantum fluctuations and lattice strain. Phys. Rev. B Condens. Matter Mater. Phys. 2018, 97, 014102. [Google Scholar] [CrossRef]
- Schober, H.R.; Stoneham, A.M. Diffusion of hydrogen in transition metals. J. Less-Common Met. 1991, 172–174, 538–547. [Google Scholar] [CrossRef]
- Flynn, C.P.; Stoneham, A.M. Quantum theory of diffusion with application to light interstitials in metals. Phys. Rev. B Condens. Matter Mater. Phys. 1970, 1, 3966–3978. [Google Scholar] [CrossRef]
- Johnson, D.F.; Carter, E.A. Hydrogen in tungsten: Absorption, diffusion, vacancy trapping, and decohesion. J. Mater. Res. 2010, 25, 315–327. [Google Scholar] [CrossRef]
- Jiang, D.E.; Carter, E.A. Diffusion of interstitial hydrogen into and through bcc Fe from first principles. Phys. Rev. B Condens. Matter Mater. Phys. 2004, 70, 064102. [Google Scholar] [CrossRef]
- Ferro, A. Theory of diffusion constants in interstitial solid solutions of b.c.c. Metals. J. Appl. Phys. 1957, 28, 895–900. [Google Scholar] [CrossRef]
- Vykhodets, V.B.; Kurennykh, T.E.; Lakhtin, A.S.; Fishman, A.Y. Diffusion of light elements in BCC, FCC and HCP metals. Solid State Phenom. 2008, 138, 119–132. [Google Scholar] [CrossRef]
- Vykhodets, V.B.; Nefedova, O.A.; Obukhov, S.I.; Kurennykh, T.E.; Danilov, S.E.; Vykhodets, E.V. Application of the nuclear reaction analysis online technique to study the diffusion of deuterium in metals. JETP Lett. 2018, 107, 211–215. [Google Scholar] [CrossRef]
- SRIM—The Stopping and Range of Ions in Matter. Available online: http://www.srim.org (accessed on 10 April 2019).
- Himmel, H.-J.; Manceron, L.; Downs, A.J.; Pullumbi, P. Formation and characterization of the gallium and indium subhydride molecules Ga2H2 and In2H2: A matrix isolation study. J. Am. Chem. Soc. 2002, 124, 4448–4457. [Google Scholar] [CrossRef]
- Ehrhart, P. Atomic Defects in Metals. In Landolt-Börnstein—Group III Condensed Matter (Atomic Defects in Metals); Ullmaier, H., Ed.; Springer: Berlin/Heidelberg, Germany, 1991; Volume 25, pp. 308–309. [Google Scholar] [CrossRef]
- Kimizuka, H.; Mori, H.; Ogata, S. Effect of temperature on fast hydrogen diffusion in iron: A path-integral quantum dynamics approach. Phys. Rev. B Condens. Matter Mater. Phys. 2011, 83, 094110. [Google Scholar] [CrossRef]
- Yoshikawa, T.; Takayanagi, T.; Kimizuka, H.; Shiga, M. Quantum−thermal crossover of hydrogen and tritium diffusion in α-iron. J. Phys. Chem. C 2012, 116, 23113–23119. [Google Scholar] [CrossRef]
Disclaimer/Publisher’s Note: The statements, opinions and data contained in all publications are solely those of the individual author(s) and contributor(s) and not of MDPI and/or the editor(s). MDPI and/or the editor(s) disclaim responsibility for any injury to people or property resulting from any ideas, methods, instructions or products referred to in the content. |
© 2023 by the authors. Licensee MDPI, Basel, Switzerland. This article is an open access article distributed under the terms and conditions of the Creative Commons Attribution (CC BY) license (https://creativecommons.org/licenses/by/4.0/).



