Modification of the Cu/W Interface Cohesion by Segregation
Abstract
:1. Introduction
2. Methodology
2.1. Interfaces
2.2. Atomistic Models
2.3. Calculation Parameters
2.4. Interface Energetics
3. Results and Discussion
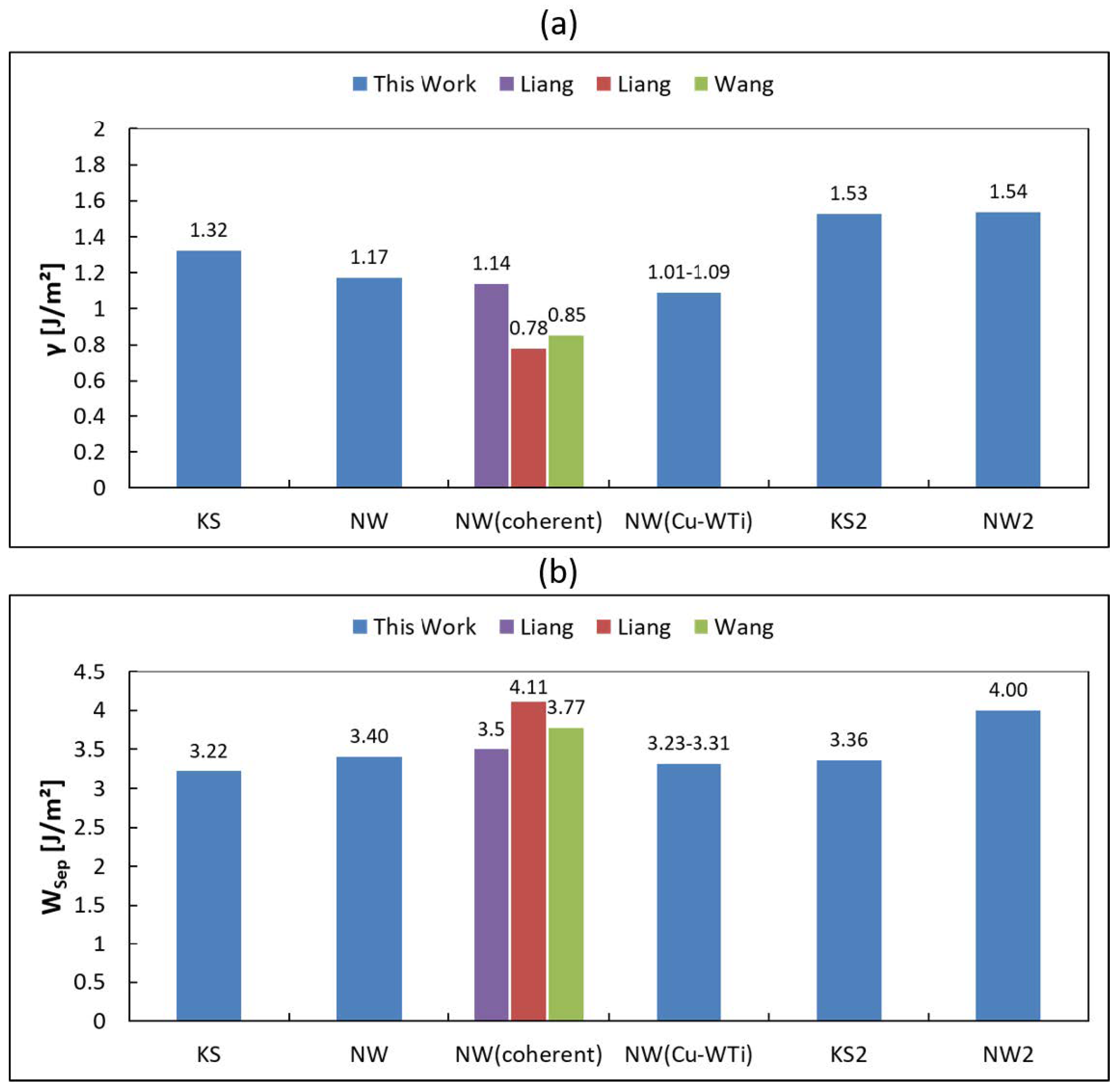
3.1. Interface Energy and Work of Separation
3.2. Segregation of Elements
3.2.1. GB Segregation
3.2.2. Segregation at the Cu/W Interface
3.2.3. Interface Positions
3.3. Cohesion
3.4. Cu/WTi Segregation and Cohesion
4. Conclusions
Author Contributions
Funding
Data Availability Statement
Conflicts of Interest
Appendix A. Remarks on Zr Segregation

References
- Chen, P.; Shen, Q.; Luo, G.; Wang, C.; Li, M.; Zhang, L.; Li, X.; Zhu, B. Effect of interface modification by Cu-coated W powders on the microstructure evolution and properties improvement for Cu–W composites. Surf. Coat. Technol. 2016, 288, 8–14. [Google Scholar] [CrossRef]
- Selvakumar, N.; Vettivel, S. Thermal, electrical and wear behavior of sintered Cu–W nanocomposite. Mater. Des. 2013, 46, 16–25. [Google Scholar] [CrossRef]
- Hou, C.; Song, X.; Tang, F.; Li, Y.; Cao, L.; Wang, J.; Nie, Z. W–Cu composites with submicron- and nanostructures: Progress and challenges. NPG Asia Mater. 2019, 11, 74. [Google Scholar] [CrossRef]
- Kong, Y.; Pi, J.; Xiao, S.; Du, Y. Asymmetric mixing behavior and stability of the predicted phases in the W-Cu system. Calphad Comput. Coupling Phase Diagr. Thermochem. 2016, 53, 116–121. [Google Scholar] [CrossRef]
- Chen, Y.; Liu, B. Alloy phases formed in immiscible CuMo and CuW systems by multilayer-technique. J. Alloys Compd. 1997, 261, 217–224. [Google Scholar] [CrossRef]
- Girault, B.; Eyidi, D.; Chauveau, T.; Babonneau, D.; Renault, P.O.; Le Bourhis, E.; Goudeau, P. Copper coverage effect on tungsten crystallites texture development in W/Cu nanocomposite thin films. J. Appl. Phys. 2011, 109, 014305. [Google Scholar] [CrossRef]
- Ma, G.C.; Fan, J.L.; Gong, H.R. Fundamental effects of hydrogen on cohesion properties of Cu/W interfaces. Solid State Commun. 2017, 250, 79–83. [Google Scholar] [CrossRef]
- Zong, R.L.; Wen, S.P.; Zeng, F.; Gao, Y.; Pan, F. Nanoindentation studies of Cu-W alloy films prepared by magnetron sputtering. J. Alloys Compd. 2008, 464, 544–549. [Google Scholar] [CrossRef]
- Tarancón, S.; Tejado, E.; Richou, M.; Pastor, J. Evaluation of tensile and elastic properties of W/Cu cold-spray coatings for application to the FGM DEMO divertor concept. Fusion Eng. Des. 2021, 171, 112719. [Google Scholar] [CrossRef]
- Moszner, F.; Cancellieri, C.; Chiodi, M.; Yoon, S.; Ariosa, D.; Janczak-Rusch, J.; Jeurgens, L. Thermal stability of Cu/W nano-multilayers. Acta Mater. 2016, 107, 345–353. [Google Scholar] [CrossRef]
- Ruffini, A.; Durinck, J.; Colin, J.; Coupeau, C.; Grilhé, J. Gliding at interface during thin film buckling: A coupled atomistic/elastic approach. Acta Mater. 2012, 60, 1259–1267. [Google Scholar] [CrossRef]
- Lloyd, J.R.; Clemens, J.; Snede, R. Copper metallization reliability. Microelectron. Reliab. 1999, 39, 1595–1602. [Google Scholar] [CrossRef]
- Chiou, J.C.; Juang, K.C.; Chen, M.C. TiW(N) as Diffusion Barriers Between Cu and Si. J. Electrochem. Soc. 1995, 142, 2326–2331. [Google Scholar] [CrossRef]
- Kleinbichler, A.; Todt, J.; Zechner, J.; Wöhlert, S.; Többens, D.; Cordill, M. Annealing effects on the film stress and adhesion of tungsten-titanium barrier layers. Surf. Coat. Technol. 2017, 332, 376–381. [Google Scholar] [CrossRef]
- Gao, Y.; Yang, T.; Xue, J.; Yan, S.; Zhou, S.; Wang, Y.; Kwok, D.T.; Chu, P.K.; Zhang, Y. Radiation tolerance of Cu/W multilayered nanocomposites. J. Nucl. Mater. 2011, 413, 11–15. [Google Scholar] [CrossRef]
- Gładyszewski, G.; Pacaud, J.; Goudeau, P.; Jaouen, C.; Naudon, A.; Grilhé, J. Interface of the Cu multilayers. Vacuum 1994, 45, 285–287. [Google Scholar] [CrossRef]
- Monclús, M.; Karlik, M.; Callisti, M.; Frutos, E.; LLorca, J.; Polcar, T.; Molina-Aldareguía, J. Microstructure and mechanical properties of physical vapor deposited Cu/W nanoscale multilayers: Influence of layer thickness and temperature. Thin Solid Films 2014, 571, 275–282. [Google Scholar]
- Zheng, S.; Carpenter, J.S.; McCabe, R.J.; Beyerlein, I.J.; Mara, N.A. Engineering interface structures and thermal stabilities via SPD processing in bulk nanostructured metals. Sci. Rep. 2014, 4, 4226. [Google Scholar]
- Kurdjumov, G.; Sachs, G. Over the mechanisms of steel hardening. Z. Phys. 1930, 64, 325–343. [Google Scholar]
- Nishiyama, Z. X-ray investigation of the mechanism of the transformation from face centered cubic lattice to body centered cubic. Sci. Rep. Tohoku Univ. 1934, 23, 637. [Google Scholar]
- Wang, J.; Zhang, R.F.; Zhou, C.Z.; Beyerlein, I.J.; Misra, A. Interface dislocation patterns and dislocation nucleation in face-centered-cubic and body-centered-cubic bicrystal interfaces. Int. J. Plast. 2014, 53, 40–55. [Google Scholar] [CrossRef]
- Beyerlein, I.; Mara, N.; Carpenter, J.; Nizolek, T.; Mook, W.; Wynn, T.; McCabe, R.; Mayeur, J.; Kang, K.; Zheng, S.; et al. Interface-driven microstructure development and ultra high strength of bulk nanostructured Cu-Nb multilayers fabricated by severe plastic deformation. J. Mater. Res. 2013, 28, 1799–1812. [Google Scholar] [CrossRef]
- Wang, J.; Kang, K.; Zhang, R.; Zheng, S.; Beyerlein, I.; Mara, N. Structure and Property of Interfaces in ARB Cu/Nb Laminated Composites. JOM 2012, 64, 1208–1217. [Google Scholar] [CrossRef]
- Lejček, P.; Šob, M. An analysis of segregation-induced changes in grain boundary cohesion in bcc iron. J. Mater. Sci. 2014, 49, 2477–2482. [Google Scholar] [CrossRef]
- Lejcek, P. Grain Boundary Segregation in Metals; Springer Series in Materials Science; Springer: Berlin/Heidelberg, Germany, 2010. [Google Scholar]
- Divinski, S.V.; Edelhoff, H.; Prokofjev, S. Diffusion and segregation of silver in copper Σ5(310) grain boundary. Phys. Rev. B 2012, 85, 144104. [Google Scholar] [CrossRef]
- Hirsimäki, M.; Lampimäki, M.; Lahtonen, K.; Chorkendorff, I.; Valden, M. Investigation of the role of oxygen induced segregation of Cu during Cu2O formation on Cu100, Ag/Cu100 and Cu(Ag) alloy. Surf. Sci. 2005, 583, 157–165. [Google Scholar] [CrossRef]
- Surholt, T.; Mishin, Y.M.; Herzig, C. Grain-boundary diffusion and segregation of gold in copper: Investigation in the type-B and type-C kinetic regimes. Phys. Rev. B 1994, 50, 3577–3587. [Google Scholar] [CrossRef]
- Scheiber, D.; Pippan, R.; Puschnig, P.; Romaner, L. Ab initio calculations of grain boundaries in bcc metals. Model. Simul. Mater. Sci. Eng. 2016, 24, 035013. [Google Scholar] [CrossRef]
- Zhang, B.; Li, Y.H.; Zhou, H.B.; Deng, H.; Lu, G.H. Segregation and aggregation of rhenium in tungsten grain boundary: Energetics, configurations and strengthening effects. J. Nucl. Mater. 2020, 528, 151867. [Google Scholar] [CrossRef]
- Zhou, H.B.; Jin, S.; Zhang, Y.; Lu, G.H. Effects of hydrogen on a tungsten grain boundary: A first-principles computational tensile test. Prog. Nat. Sci. Mater. Int. 2011, 21, 240–245. [Google Scholar] [CrossRef]
- Setyawan, W.; Kurtz, R.J. Ab initio study of H, He, Li and Be impurity effect in tungsten Σ3112 and Σ27552 grain boundaries. J. Phys. Condens. Matter 2014, 26, 135004. [Google Scholar] [CrossRef]
- He, W.; Gao, X.; Zhou, L.; Yang, D.; Wang, Z. First-principles investigation of grain boundary structure effects on hydrogen solubility and segregation in tungsten. J. Nucl. Sci. Technol. 2021, 58, 207–217. [Google Scholar] [CrossRef]
- Gludovatz, B.; Wurster, S.; Weingärtner, T.; Hoffmann, A.; Pippan, R. Influence of impurities on the fracture behaviour of tungsten. Philos. Mag. 2011, 91, 3006–3020. [Google Scholar] [CrossRef]
- Razumovskiy, V.I.; Divinski, S.V.; Romaner, L. Solute segregation in Cu: DFT vs. Experiment. Acta Mater. 2018, 147, 122–132. [Google Scholar] [CrossRef]
- Hono, K.; Pickering, H.; Hashizume, T.; Kamiya, I.; Sakurai, T. Oxygen segregation and oxidation on a copper surface. Surf. Sci. 1989, 213, 90–102. [Google Scholar] [CrossRef]
- Nieh, T.G.; Nix, W.D. Embrittlement of copper due to segregation of oxygen to grain boundaries. Metall. Trans. A 1981, 12, 893–901. [Google Scholar] [CrossRef]
- Wang, J.W.; Fan, J.L.; Gong, H.R. Effects of Zr alloying on cohesion properties of Cu/W interfaces. J. Alloys Compd. 2016, 661, 553–556. [Google Scholar] [CrossRef]
- González, C.; Iglesias, R. Energetic analysis of He and monovacancies in Cu/W metallic interfaces. Mater. Des. 2016, 91, 171–179. [Google Scholar] [CrossRef]
- Chookajorn, T.; Schuh, C.A. Nanoscale segregation behavior and high-temperature stability of nanocrystalline W-20 at.% Ti. Acta Mater. 2014, 73, 128–138. [Google Scholar] [CrossRef]
- Ångqvist, M.; Rahm, J.M.; Gharaee, L.; Erhart, P. Structurally driven asymmetric miscibility in the phase diagram of W-Ti. Phys. Rev. Mater. 2019, 3, 073605. [Google Scholar] [CrossRef]
- Bodlos, R.; Dengg, T.; Ruban, A.V.; Dehghani, M.; Romaner, L.; Spitaler, J. Ab initio investigation of the atomic volume, thermal expansion, and formation energy of WTi solid solutions. Phys. Rev. Mater. 2021, 5, 043601. [Google Scholar] [CrossRef]
- Bodlos, R.; Fotopoulos, V.; Spitaler, J.; Shluger, A.; Romaner, L. Energies and structures of Cu/Nb and Cu/W interfaces from density functional theory and semi-empirical calculations. Materialia 2022, 21, 101362. [Google Scholar] [CrossRef]
- Cowley, J.M. An Approximate Theory of Order in Alloys. Phys. Rev. 1950, 77, 669–675. [Google Scholar] [CrossRef]
- Cowley, J.M. Short-Range Order and Long-Range Order Parameters. Phys. Rev. 1965, 138, A1384–A1389. [Google Scholar] [CrossRef]
- Warren, B. X-ray Diffraction; Dover Publication: New York, NY, USA, 1990; p. 381. [Google Scholar]
- Perdew, J.P.; Chevary, J.A.; Vosko, S.H.; Jackson, K.A.; Pederson, M.R.; Singh, D.J.; Fiolhais, C. Atoms, molecules, solids, and surfaces: Applications of the generalized gradient approximation for exchange and correlation. Phys. Rev. B 1992, 46, 6671. [Google Scholar]
- Popov, M.N.; Spitaler, J.; Mühlbacher, M.; Walter, C.; Keckes, J.; Mitterer, C.; Draxl, C. TiO2(100)/Al2O3(0001) interface: A first-principles study supported by experiment. Phys. Rev. B 2012, 86, 205309. [Google Scholar]
- Demkowicz, M.; Hoagland, R. Structure of Kurdjumov–Sachs interfaces in simulations of a copper–niobium bilayer. J. Nucl. Mater. 2008, 372, 45–52. [Google Scholar] [CrossRef]
- An, Q.; Yang, W.; Liu, B.; Zheng, S. Interface effects on the properties of Cu–Nb nanolayered composites. J. Mater. Res. 2020, 35, 2684–2700. [Google Scholar] [CrossRef]
- Beyerlein, I.; Mara, N.; Wang, J.; Carpenter, J.; Zheng, S.; Han, W.; Zhang, R.; Kang, K.; Nizolek, T.; Pollock, T. Structure–property–functionality of bimetal interfaces. JOM 2012, 64, 1192–1207. [Google Scholar]
- Liang, C.P.; Fan, J.L.; Gong, H.R.; Liao, X.; Zhu, X.; Peng, S. Interface structure and work function of W-Cu interfaces. Appl. Phys. Lett. 2013, 103, 211604. [Google Scholar]
- Wang, A.Y.; Chen, B.; Fang, L.; Yu, J.J.; Wang, L.m. Influence of branched quaternary ammonium surfactant molecules as levelers for copper electroplating from acidic sulfate bath. Electrochim. Acta 2013, 108, 698–706. [Google Scholar] [CrossRef]
- Alfreider, M.; Bodlos, R.; Romaner, L.; Kiener, D. The influence of chemistry on the interface toughness in a WTi-Cu system. Acta Mater. 2022, 230, 117813. [Google Scholar] [CrossRef]










| Interface Model | Cu Atoms | W Atoms | Ti Atoms | l (X) | l (Y) | l (Z) |
|---|---|---|---|---|---|---|
| NW | 60 | 48 | 0 | 12.77 | 4.49 | 38.61 |
| NW WTi | 120 | 78 | 18 | 12.76 | 8.97 | 38.59 |
| KS | 84 | 72 | 0 | 2.70 | 31.15 | 38.61 |
| NW2 | 90 | 84 | 0 | 31.52 | 4.49 | 29.77 |
| KS2 | 90 | 84 | 0 | 31.52 | 2.70 | 41.46 |
Disclaimer/Publisher’s Note: The statements, opinions and data contained in all publications are solely those of the individual author(s) and contributor(s) and not of MDPI and/or the editor(s). MDPI and/or the editor(s) disclaim responsibility for any injury to people or property resulting from any ideas, methods, instructions or products referred to in the content. |
© 2023 by the authors. Licensee MDPI, Basel, Switzerland. This article is an open access article distributed under the terms and conditions of the Creative Commons Attribution (CC BY) license (https://creativecommons.org/licenses/by/4.0/).
Share and Cite
Bodlos, R.; Scheiber, D.; Spitaler, J.; Romaner, L. Modification of the Cu/W Interface Cohesion by Segregation. Metals 2023, 13, 346. https://doi.org/10.3390/met13020346
Bodlos R, Scheiber D, Spitaler J, Romaner L. Modification of the Cu/W Interface Cohesion by Segregation. Metals. 2023; 13(2):346. https://doi.org/10.3390/met13020346
Chicago/Turabian StyleBodlos, Rishi, Daniel Scheiber, Jürgen Spitaler, and Lorenz Romaner. 2023. "Modification of the Cu/W Interface Cohesion by Segregation" Metals 13, no. 2: 346. https://doi.org/10.3390/met13020346
APA StyleBodlos, R., Scheiber, D., Spitaler, J., & Romaner, L. (2023). Modification of the Cu/W Interface Cohesion by Segregation. Metals, 13(2), 346. https://doi.org/10.3390/met13020346

